Wettability of Wood Surface Layer Examined From Chemical Change Perspective
Abstract
1. Introduction
2. Materials and Methods
2.1. Preparation of Wood Specimens
2.2. Technological Background of Artificial Ageing
2.3. Contact Angle Measurements of Artificially Aged Wood Surfaces
2.4. Alcoholic Extraction and Determination of Total Phenolic and Total Soluble Carbohydrate Contents
2.5. Statistical Analysis
3. Results
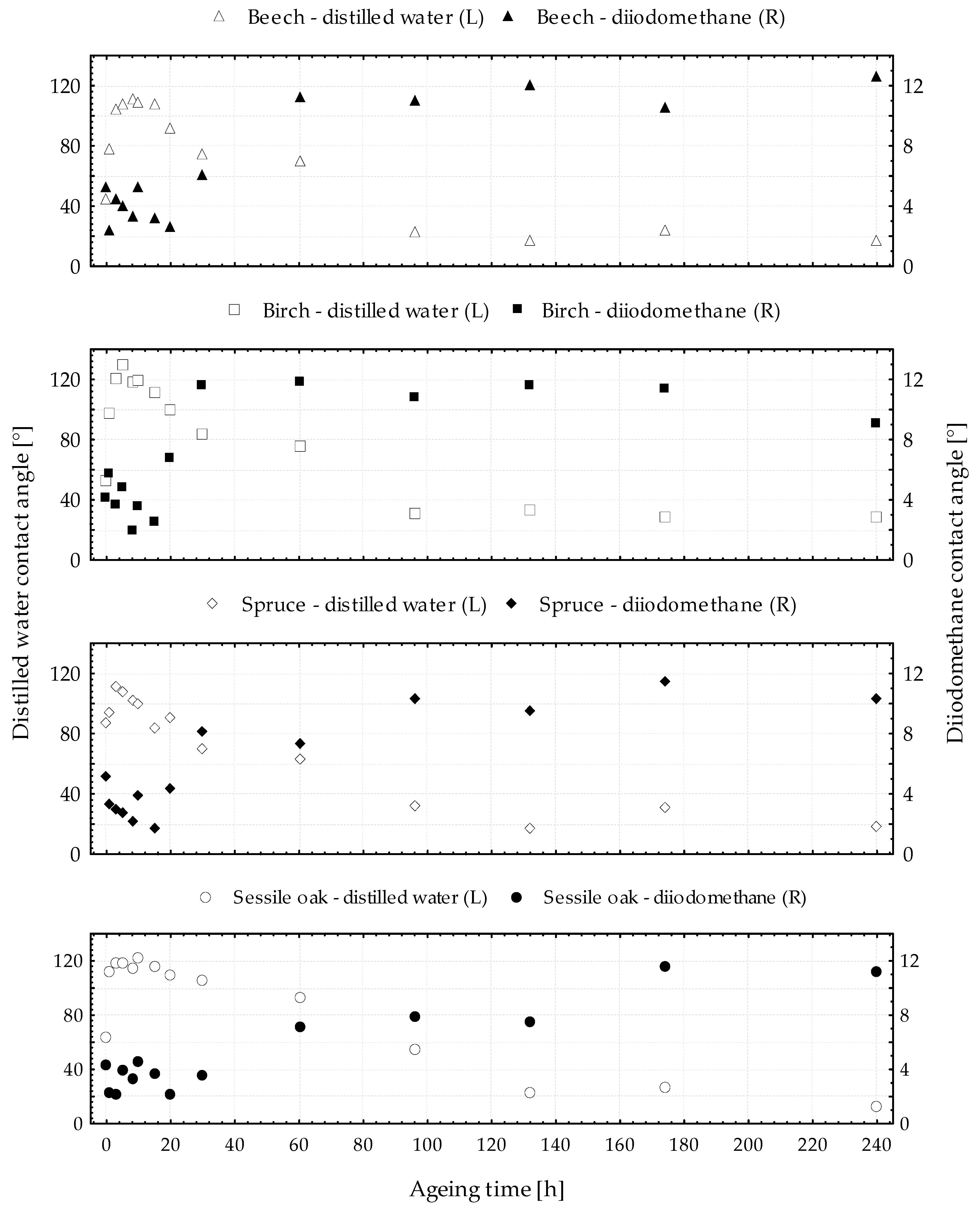
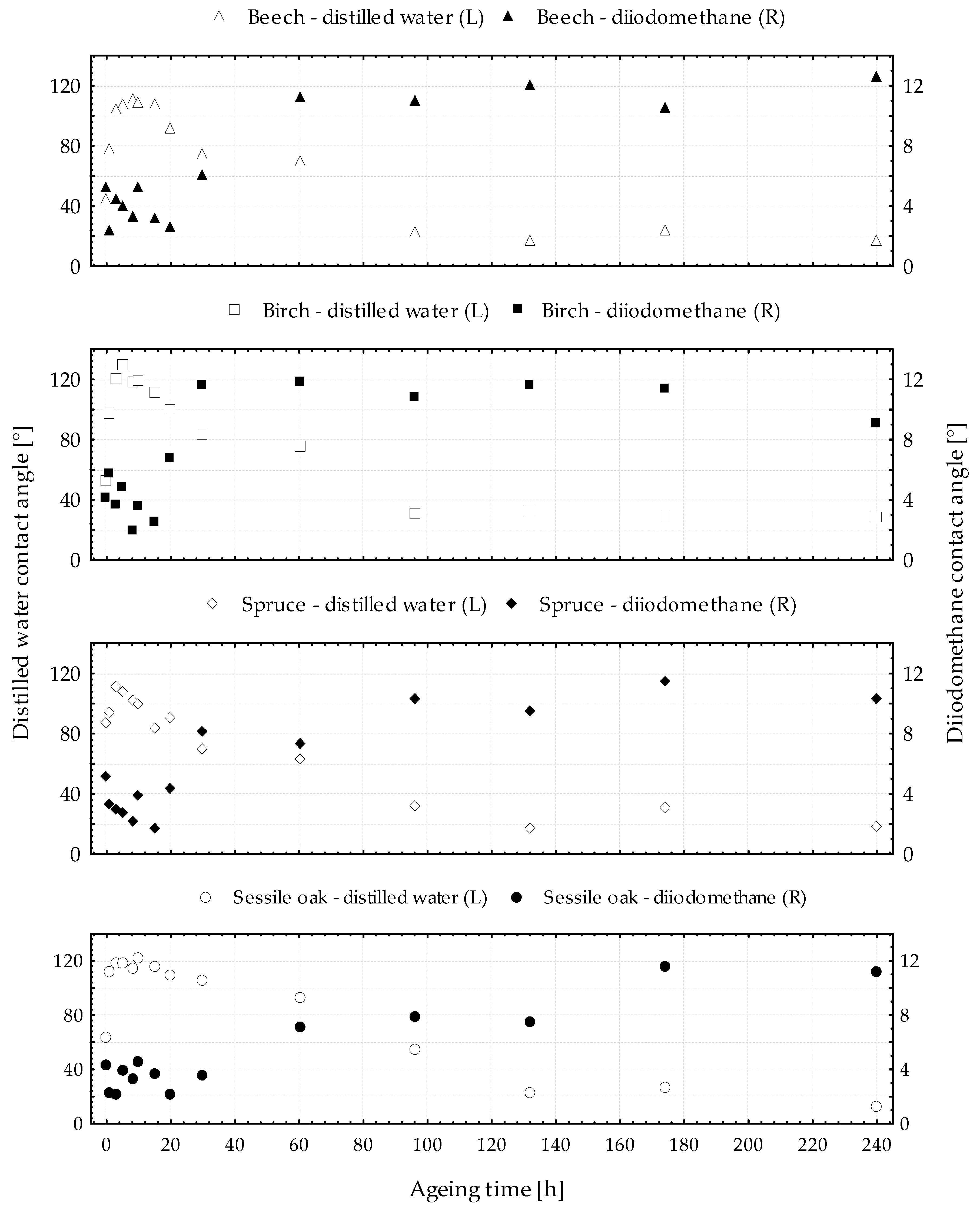
3.1. Contact Angle Changes due to Artificial Ageing
3.2. Total Phenolic and Total Soluble Carbohydrate Content of Artificially Aged Wood Surfaces
4. Discussion
5. Conclusions
Author Contributions
Funding
Acknowledgments
Conflicts of Interest
References
- Diouf, P.-N.; Merlin, A.; Perrin, D. Antioxidant properties of wood extracts and colour stability of woods. Ann. For. Sci. 2006, 63, 525–534. [Google Scholar] [CrossRef]
- Rowell, R.M.; Pettersen, R.; Han, J.S.; Rowell, J.S.; Tshabalala, M.A. Cell wall chemistry. In Handbook of Wood Chemistry and Wood Composites Part I, 1st ed.; Rowell, R.M., Ed.; Taylor and Francis CRC Press: Boca Raton, FL, USA, 2005; Volume 3, p. 53. [Google Scholar]
- Syofuna, A.; Banana, A.Y.; Nakabonge, G. Efficiency of natural wood extractives as wood preservatives against termite attack. Maderas Sci. Technol. 2012, 14, 155–163. [Google Scholar] [CrossRef]
- Umezawa, T. Chemistry of extractives. In Wood and Cellulosic Chemistry, 2nd ed.; Hon, D.N.S., Shiraishi, N., Eds.; Marcell-Decker: New York, NY, USA, 2001; pp. 213–241. [Google Scholar]
- Aloui, F.; Ayadi, N.; Charrier, F.; Charrier, B. Durability of European oak (Quercus petraea and Quercus robur) against white rot fungi (Coriolus versicolor): Relations with phenol extractives. Holz Als Roh Und Werkst. 2004, 62, 286–290. [Google Scholar] [CrossRef]
- Trapp, S.; Miglioranza, K.S.; Mosback, H. Sorption of lipophilic organic compounds to wood and implications for their environmental fate. Environ. Sci. Technol. 2001, 35, 1561–1566. [Google Scholar] [CrossRef]
- Young, R.A. Wettability of wood pulp fibers. Wood Fiber Sci. 1976, 8, 120–128. [Google Scholar]
- Hse, C.; Kuo, M. Influence of extractives on wood gluing and finishing—A review. For. Prod. J. 1988, 38, 52–56. [Google Scholar]
- Kajita, H.; Skaar, C. Wettability of the surfaces of some American softwoods species. Mokuzai Gakkaishi 1992, 38, 516–521. [Google Scholar]
- Wålinder, M.; Gardner, D.J. Acid-base characterization of wood and selected thermoplastics. J. Adhes. Sci. Technol. 2002, 16, 1625–1649. [Google Scholar] [CrossRef]
- Visi-Rajczi, E. The Production, Accumulation and Distribution of Beech (Fagus sylvatica L.) Extractives (in Hungarian). Ph.D. Thesis, University of West-Hungary, Sopron, Hungary, 2008. [Google Scholar]
- River, B.H.; Vick, C.B.; Gillespie, R.H. Treatise on adhesion and adhesives. In Wood as an Adherend, 1st ed.; Minford, J.D., Ed.; Marcel Decker: New York, NY, USA, 1991; Volume 7, pp. 134–162. [Google Scholar]
- Nussbaum, R.M. Surface Interactions of Wood with Adhesives and Coatings. Ph.D. Thesis, KTH—Royal Institute of Technology, Stockholm, Sweden, 2001. [Google Scholar]
- Nguyen, T.; Johns, W.E. The effects of aging and extractives on the surface free energy of Douglas-fir and redwood. Wood Sci. Technol. 1979, 13, 29–40. [Google Scholar] [CrossRef]
- Jaić, M.; Živanović, R.; Stevanović-Janežić, T.; Dekanski, A. Comparison of surface properties of beech and oak wood as determined by ESCA method. Holz Als Roh Und Werkst. 1996, 54, 37–41. [Google Scholar] [CrossRef]
- Mantanis, G.I.; Young, R.A. Wetting of wood. Wood Sci. Technol. 1997, 31, 339–353. [Google Scholar] [CrossRef]
- Gindl, M.; Sinn, G.; Gindl, W.; Reiterer, A.; Tschegg, S. A comparison of different methods to calculate the surface free energy of wood using contact angle measurements. Coll. Surf. 2001, 181, 279–287. [Google Scholar] [CrossRef]
- White, M.S.; Ifju, G.; Johnson, J.A. The role of extractives in the hydrophobic behavior of loblolly pine rhytidome. Wood Fiber Sci. 1974, 5, 353–363. [Google Scholar]
- Rossi, D.; Rossi, S.; Morin, H.; Bettero, A. Within-tree variations in the surface free energy of wood assessed by contact angle analysis. Wood Sci. Technol. 2012, 46, 287–298. [Google Scholar] [CrossRef]
- Nguyen, T.; Johns, W.E. Polar and dispersion force contributions to the total surface free energy of wood. Wood Sci. Technol. 1979, 12, 63–74. [Google Scholar] [CrossRef]
- Kalnins, M.A.; Katzenberger, C.; Schmieding, S.A.; Brooks, J.K. Contact angle measurement on wood using videotape technique. J. Colloid Interface Sci. 1988, 125, 344–346. [Google Scholar] [CrossRef]
- Kishino, M.; Nakano, T. Artificial weathering of tropical woods. Part 1: Changes in wettability. Holzforschung 2004, 58, 552–557. [Google Scholar] [CrossRef]
- Amorim, M.R.S.; Ribeiro, P.G.; Martins, S.A.; del Menezzi, C.H.S.; de Souza, M.R. Surface wettability and roughness of 11 Amazonian tropical hardwoods. Florest. Ambient. 2013, 20, 99–109. [Google Scholar] [CrossRef]
- Subedi, D.P. Contact angle measurement for the surface characterization of solids. Himal. Phys. 2011, 2, 1–4. [Google Scholar] [CrossRef]
- Snoeijer, J.H.; Andreotti, B. A microscopic view on contact angle selection. Phys. Fluid. 2008, 20, 1–11. [Google Scholar] [CrossRef]
- Rubina, T.; Stalidzans, E.; Diminš, F.; Kuka, P.; Morozovs, A. Determination of the characteristic value of the contact angle and surface energy for wood. Latv. Lauksaimn. Univ. Raksti 2009, 22, 100–112. [Google Scholar] [CrossRef]
- Good, R.J.; Chaudhury, M.K.; Yeung, C. A new approach for determining roughness by means of contact angles on solids. In First International Congress on Adhesion Science and Technology; Ooij, W.J., Anderson, H.R., Eds.; Mit. Festschr.: Utrecht, The Netherlands, 1998; pp. 181–197. [Google Scholar]
- Wålinder, M.; Ström, G. Measurement of wood wettability by the wilhelmy method—Part 2. determination of apparent contact angles. Holzforschung 2001, 55, 33–41. [Google Scholar] [CrossRef]
- Jirouš-Rajković, V.; Turkulin, H.; Miller, E.R. Depth profile of UV-induced wood surface degradation. Surf. Coat. Int. Part B Coat. Trans. 2004, 87, 235–308. [Google Scholar] [CrossRef]
- Gindl, M.; Reiterer, A.; Sinn, G.; Stanzl-Tschegg, S.E. Effects of surface ageing on wettability, surface chemistry and adhesion of wood. Holz Als Roh Und Werkst. 2004, 62, 273–280. [Google Scholar] [CrossRef]
- Herczeg, A. The wettability of wood. For. Prod. J. 1965, 15, 499–505. [Google Scholar]
- Nussbaum, R.M. Natural surface inactivation of scots pine and norway spruce evaluated by contact angle measurements. Holz Als Roh Und Werkst. 1999, 57, 419–424. [Google Scholar] [CrossRef]
- Borgin, K.; Faix, O.; Schweers, W. The effect of aging on lignins of wood. Wood Sci. Technol. 1975, 9, 207–211. [Google Scholar] [CrossRef]
- Wolkenhauer, H.; Avramidis, G.; Hauswald, E.; Militz, H.; Viol, W. Sanding vs. plasma treatment of aged wood—A comparison with respect to surface energy. Int. J. Adhes. Adhes. 2009, 29, 18–22. [Google Scholar] [CrossRef]
- Wiedenhoeft, A.C.; Miller, R.B. Structure and function of wood. In Handbook of Wood Chemistry and Wood Composites Part I, 1st ed.; Rowell, R.M., Ed.; Taylor and Francis CRC Press: Boca Raton, FL, USA, 2005; Volume 2, pp. 29–38. [Google Scholar]
- Campbell, M.M.; Sederoff, R.R. Variation in lignin content and composition. Plant Physiol. 1996, 110, 3–13. [Google Scholar] [CrossRef]
- Koch, G.W.; Sillett, S.C.; Jennings, G.M.; Davis, S.D. The limits to tree height. Nature 2004, 428, 851–854. [Google Scholar] [CrossRef]
- Williams, R.S.; Jourdain, C.; Daisey, G.I.; Springate, R.W. Wood properties affecting finish service life. J. Coat. Technol. 2000, 72, 35–42. [Google Scholar] [CrossRef]
- Müller, U.; Rätzsch, M.; Schwanninger, M.; Steiner, M.; Zöbl, H. Yellowing and IR-changes of spruce wood as result of UV-irradiation. J. Photochem. Photobiol. B Biol. 2003, 69, 97–105. [Google Scholar] [CrossRef]
- Németh, K. Degradation of Wood (in Hungarian), 1st ed.; Mezőgazdasági Szaktudás Kiadó: Budapest, Hungary, 1998; pp. 53–58. [Google Scholar]
- Pandey, K.K. A note on the influence of extractives on the photo-discoloration and photo-degradation of wood. Polym. Degrad. Stab. 2005, 87, 375–379. [Google Scholar] [CrossRef]
- Pandey, K.K. Study of the effect of photo-irradiation on the surface chemistry of wood. Polym. Degrad. Stab. 2005, 90, 9–20. [Google Scholar] [CrossRef]
- Tolvaj, L.; Varga, D. Photodegradation of timber of three hardwood species caused by different light sources. Acta Silv. Lignaria Hung. 2012, 8, 145–155. [Google Scholar] [CrossRef]
- Ramirez-Ramirez, G.; Lubbers, S.; Voilley, A.; Charpentier, C.; Feuillat, M.; Chassagne, D. Aroma compound sorption by oak wood in a model wine. J. Agric. Food Chem. 2001, 49, 3893–3897. [Google Scholar] [CrossRef]
- Salame, I.I.; Bandosz, J.T. Role of surface chemistry in adsorption of phenol on activated carbons. J. Colloid Interface Sci. 2003, 264, 307–312. [Google Scholar] [CrossRef]
- Ayadi, N. Vieillissement climatique d’un système bois-vernis-absorbeur UV inorganique (in French with English abstract), Université de Nantes—Sciences des Matériaux, France. 2004. Available online: https://scholar.google.com.hk/scholar?hl=zh-CN&as_sdt=0%2C5&q=Vieillissement+climatique+d%E2%80%99un+syst%C3%A8me+bois-vernis-absorbeur+UV+inorganique+%28in+French+with+English+abstract%29%2C+Universit%C3%A9+de+Nantes%E2%80%94Sciences+des+Mat%C3%A9riaux%2C+France%2C+2004&btnG=#d=gs_cit&u=%2Fscholar%3Fq%3Dinfo%3AzsCJnj1XHH4J%3Ascholar.google.com%2F%26output%3Dcite%26scirp%3D0%26hl%3Dzh-CN (accessed on 9 March 2020).
- Anjos, J.P.; Cardoso, M.G.; Saczk, A.A.; Dórea, H.S.; Santiago, W.D.; Machado, A.M.R.; Zacaroni, L.M.; Nelson, D.L. Evolution of the concentration of phenolic compounds in cachaça during aging in an oak (Quercus sp.) barrel. J. Braz. Chem. Soc. 2011, 22, 1307–1314. [Google Scholar] [CrossRef]
- Gindl, M.; Sinn, G.; Stanzl-Tschegg, S. The effects of ultraviolet light exposure on the wetting properties of wood. J. Adhes. Sci. Technol. 2006, 20, 817–828. [Google Scholar] [CrossRef]
- Kuo, M.; Hu, N. Ultrastructural changes of photodegradation of wood surfaces exposed to UV. Holzforschung 1991, 45, 347–353. [Google Scholar] [CrossRef]
- Williams, R.S. Weathering of wood. In Handbook of Wood Composites, 1st ed.; Rowell, R.M., Ed.; Taylor and Francis CRC Press: Boca Raton, FL, USA, 2005; Volume 7, pp. 142–178. [Google Scholar]
- Hon, D.N.S.; Ifju, G. Measuring penetration of light into wood by detection of photoinduced free radicals. Wood Sci. 1978, 11, 118–127. [Google Scholar]
- Németh, K.; Faix, O. Beobachtung der photodegradation des Holzes durch quantitative drift-Spektroskopie. Holz Als Roh Und Werkst. 1994, 52, 261–266. [Google Scholar] [CrossRef]
- Singleton, V.L.; Rossi, J.A. Colorimetry of total phenolics with phosphomolybdic-phosphotungstic acid reagents. Am. J. Enol. Vitic. 1965, 16, 144–158. [Google Scholar]
- Dubois, M.; Gilles, K.A.; Hamilton, J.K.; Rebers, P.A.; Smith, F. Colorimetric method for determination of sugars and related substances. Anal. Chem. 1956, 28, 350–356. [Google Scholar] [CrossRef]



| Beech, Spruce, Birch, Sessile oak | †DWCA-TFC |
| DWCA-TSCC | |
| ‡DMCA-TFC | |
| DMCA-TSCC | |
| TFC-TSCC | |
| DWCA-DMCA |
| Ageing Time [h] | Distilled Water Contact Angle Values [°] | |||||||
| Beech | Spruce | Birch | Sessile oak | |||||
| SD | SD | SD | SD | |||||
| 0 | 45.30 | 3.86 | 87.05 | 5.33 | 52.91 | 3.19 | 63.30 | 3.82 |
| 1 | 78.61 | 3.12 | 93.69 | 5.07 | 97.84 | 9.24 | 112.47 | 2.52 |
| 3 | 104.95 | 3.42 | 111.83 | 5.54 | 120.22 | 4.01 | 118.81 | 3.43 |
| 5 | 107.97 | 2.68 | 107.83 | 3.10 | 129.43 | 3.91 | 118.57 | 1.61 |
| 8 | 111.92 | 3.08 | 101.96 | 2.78 | 118.83 | 4.32 | 114.48 | 3.18 |
| 10 | 109.05 | 3.21 | 100.39 | 3.08 | 119.92 | 4.31 | 122.64 | 2.30 |
| 15 | 108.02 | 2.59 | 83.55 | 6.45 | 111.37 | 10.55 | 115.53 | 3.05 |
| 20 | 91.98 | 3.55 | 90.23 | 4.15 | 100.21 | 5.47 | 109.54 | 3.43 |
| 30 | 74.15 | 5.21 | 70.41 | 5.27 | 84.34 | 2.34 | 105.79 | 2.93 |
| 60 | 70.11 | 3.19 | 63.00 | 2.63 | 76.09 | 2.91 | 93.49 | 7.55 |
| 96 | 23.58 | 4.29 | 32.33 | 5.63 | 31.00 | 4.98 | 54.97 | 8.66 |
| 132 | 17.72 | 1.39 | 17.42 | 1.68 | 32.87 | 3.32 | 23.15 | 2.72 |
| 174 | 24.46 | 3.94 | 31.34 | 3.92 | 28.79 | 3.95 | 26.48 | 3.09 |
| 240 | 17.09 | 1.68 | 19.03 | 2.20 | 28.48 | 3.58 | 13.44 | 2.79 |
| Ageing time [h] | Diiodomethane Contact Angle Values [°] | |||||||
| Beech | Spruce | Birch | Sessile oak | |||||
| SD | SD | SD | SD | |||||
| 0 | 5.24 | 1.11 | 5.23 | 0.80 | 4.19 | 0.44 | 4.34 | 0.75 |
| 1 | 2.36 | 0.54 | 3.30 | 0.69 | 5.80 | 1.37 | 2.35 | 0.68 |
| 3 | 4.54 | 1.03 | 2.97 | 0.95 | 3.68 | 1.03 | 2.13 | 1.00 |
| 5 | 3.98 | 1.14 | 2.81 | 0.63 | 4.79 | 0.87 | 4.00 | 0.63 |
| 8 | 3.39 | 0.68 | 2.19 | 0.63 | 1.97 | 0.71 | 3.39 | 0.63 |
| 10 | 5.28 | 0.71 | 3.94 | 0.84 | 3.51 | 0.70 | 4.57 | 0.65 |
| 15 | 3.24 | 0.76 | 1.79 | 0.75 | 2.48 | 0.70 | 3.76 | 0.74 |
| 20 | 2.70 | 0.69 | 4.34 | 1.66 | 6.75 | 1.33 | 2.11 | 0.56 |
| 30 | 6.12 | 1.17 | 8.19 | 0.71 | 11.62 | 1.33 | 3.59 | 1.36 |
| 60 | 11.28 | 1.51 | 7.38 | 1.25 | 11.85 | 1.58 | 7.15 | 0.52 |
| 96 | 10.99 | 1.51 | 10.31 | 1.32 | 10.77 | 1.11 | 7.96 | 0.58 |
| 132 | 12.01 | 1.33 | 9.59 | 1.03 | 11.63 | 1.11 | 7.50 | 0.61 |
| 174 | 10.52 | 1.99 | 11.51 | 1.72 | 11.33 | 1.86 | 11.63 | 0.97 |
| 240 | 12.60 | 1.54 | 10.33 | 1.54 | 9.04 | 1.58 | 11.22 | 1.62 |
| Ageing Time [h] | TFC Values [mg/g] | |||||||
| Beech | Spruce | Birch | Sessile oak | |||||
| SD | SD | SD | SD | |||||
| 0 | 2.923 | 0.042 | 2.519 | 0.096 | 0.729 | 0.083 | 43.070 | 2.842 |
| 1 | 4.706 | 0.085 | 2.127 | 0.092 | 2.533 | 0.101 | 12.481 | 1.517 |
| 3 | 4.691 | 0.042 | 5.479 | 0.155 | 3.325 | 0.095 | 37.380 | 1.187 |
| 5 | 5.974 | 0.178 | 6.805 | 0.257 | 3.665 | 0.066 | 11.201 | 0.090 |
| 8 | 6.702 | 0.055 | 7.780 | 0.205 | 4.910 | 0.183 | 12.311 | 0.466 |
| 10 | 6.867 | 0.191 | 7.119 | 0.227 | 4.328 | 0.117 | 29.842 | 1.669 |
| 15 | 7.770 | 0.072 | 5.775 | 0.253 | 5.017 | 0.136 | 13.215 | 1.001 |
| 20 | 7.819 | 0.113 | 7.732 | 0.175 | 5.328 | 0.199 | 33.759 | 1.891 |
| 30 | 7.295 | 0.139 | 4.683 | 1.907 | 6.268 | 0.330 | 11.653 | 1.045 |
| 60 | 9.113 | 0.123 | 6.807 | 0.439 | 8.108 | 0.258 | 12.208 | 0.413 |
| 96 | 10.615 | 0.136 | 8.003 | 0.478 | 9.309 | 0.261 | 34.748 | 0.870 |
| 132 | 13.613 | 0.196 | 10.804 | 0.244 | 10.095 | 0.114 | 7.503 | 0.239 |
| 174 | 14.963 | 0.370 | 12.418 | 0.886 | 10.208 | 0.254 | 33.061 | 0.905 |
| 240 | 17.041 | 0.199 | 13.371 | 0.692 | 10.281 | 0.401 | 23.380 | 0.495 |
| Ageing Time [h] | TSCC Values [mg/g] | |||||||
| Beech | Spruce | Birch | Sessile oak | |||||
| SD | SD | SD | SD | |||||
| 0 | 19.762 | 0.504 | 9.255 | 0.402 | 17.177 | 2.157 | 50.172 | 3.595 |
| 1 | 23.731 | 4.575 | 6.773 | 0.755 | 9.078 | 0.829 | 28.889 | 0.976 |
| 3 | 21.906 | 2.880 | 11.468 | 1.086 | 10.058 | 2.493 | 37.681 | 7.343 |
| 5 | 35.616 | 5.721 | 12.569 | 2.080 | 14.373 | 2.557 | 29.903 | 3.324 |
| 8 | 33.638 | 2.732 | 15.849 | 2.621 | 20.624 | 1.430 | 39.438 | 10.706 |
| 10 | 33.858 | 2.186 | 16.681 | 2.880 | 17.628 | 0.174 | 40.276 | 0.554 |
| 15 | 33.459 | 3.573 | 15.555 | 3.330 | 19.073 | 0.561 | 31.259 | 2.626 |
| 20 | 34.883 | 0.163 | 17.769 | 3.698 | 24.459 | 0.950 | 43.858 | 2.782 |
| 30 | 32.876 | 5.870 | 20.903 | 3.423 | 23.505 | 3.657 | 38.251 | 5.158 |
| 60 | 43.517 | 3.090 | 25.110 | 2.013 | 37.897 | 2.891 | 44.040 | 0.488 |
| 96 | 47.914 | 1.348 | 25.370 | 7.367 | 39.954 | 0.797 | 47.991 | 1.972 |
| 132 | 58.020 | 3.653 | 29.226 | 4.664 | 41.100 | 3.795 | 30.234 | 1.348 |
| 174 | 54.711 | 1.643 | 38.010 | 1.481 | 53.740 | 5.197 | 52.610 | 6.920 |
| 240 | 61.471 | 6.214 | 41.353 | 8.009 | 49.826 | 2.215 | 57.729 | 3.781 |
© 2020 by the authors. Licensee MDPI, Basel, Switzerland. This article is an open access article distributed under the terms and conditions of the Creative Commons Attribution (CC BY) license (http://creativecommons.org/licenses/by/4.0/).
Share and Cite
Papp, E.A.; Csiha, C.; Makk, A.N.; Hofmann, T.; Csoka, L. Wettability of Wood Surface Layer Examined From Chemical Change Perspective. Coatings 2020, 10, 257. https://doi.org/10.3390/coatings10030257
Papp EA, Csiha C, Makk AN, Hofmann T, Csoka L. Wettability of Wood Surface Layer Examined From Chemical Change Perspective. Coatings. 2020; 10(3):257. https://doi.org/10.3390/coatings10030257
Chicago/Turabian StylePapp, Eva Annamaria, Csilla Csiha, Adam Nandor Makk, Tamas Hofmann, and Levente Csoka. 2020. "Wettability of Wood Surface Layer Examined From Chemical Change Perspective" Coatings 10, no. 3: 257. https://doi.org/10.3390/coatings10030257
APA StylePapp, E. A., Csiha, C., Makk, A. N., Hofmann, T., & Csoka, L. (2020). Wettability of Wood Surface Layer Examined From Chemical Change Perspective. Coatings, 10(3), 257. https://doi.org/10.3390/coatings10030257

