Optical, Electrochemical, Thermal, and Structural Properties of Synthesized Fluorene/Dibenzosilole-Benzothiadiazole Dicarboxylic Imide Alternating Organic Copolymers for Photovoltaic Applications
Abstract
1. Introduction
2. Experimental Section
2.1. Materials
2.2. Measurements
2.3. Monomers and Polymers Synthesis
2.3.1. Synthesis of 2,5-dibromothiophene (1)
2.3.2. Synthesis of 2,5-dibromo-3,4-dinitrothiophene (2)
2.3.3. Synthesis of 3′,4′-dinitro-2,2′:5′,2′′-terthiophene (3)
2.3.4. Synthesis of 3′,4′-diamino-2,2′:5,2′′-terthiophene (4)
2.3.5. Synthesis of 4,6-bis(2-thienyl)-thieno[3,4-c][1,2,5]-thiadiazole (5)
2.3.6. Synthesis of 4,7-di(thien-2-yl)-2,1,3-benzothiadiazole-5,6-dimethyl Ester (6)
2.3.7. Synthesis of 4,7-di(thien-2-yl)-2,1,3-benzothiadiazole-5,6-dicarboxylic Acid (7)
2.3.8. Synthesis of 4,7-di(thien-2-yl)-2,1,3-benzothiadiazole-5,6-dicarboxylic Anhydride (8)
2.3.9. Synthesis of 3,7-dimethyloctyl Bromide (9)
2.3.10. Synthesis of N-(3,7-dimethyloctyl)phthalimide (10)
2.3.11. Synthesis of 3,7-dimethyl-1-octanamine (11)
2.3.12. Synthesis of 4,7-di(thien-2-yl)-2,1,3-benzothiadiazole-5,6-N-(3,7-dimethyloctyl)dicarboxylic Imide (12)
2.3.13. Synthesis of 4,7-di(thien-2-yl)-2,1,3-benzothiadiazole-5,6-N-octyl-dicarboxylic Imide (13)
2.3.14. Synthesis of 4,7-di(5-bromo-thien-2-yl)-2,1,3-benzothiadiazole-5,6-N-(3,7-dimethyloctyl)dicarboxylic Imide (M1)
2.3.15. Synthesis of 4,7-di(5-bromo-thien-2-yl)-2,1,3-benzothiadiazole-5,6-N-octyl-dicarboxylic Imide (M2)
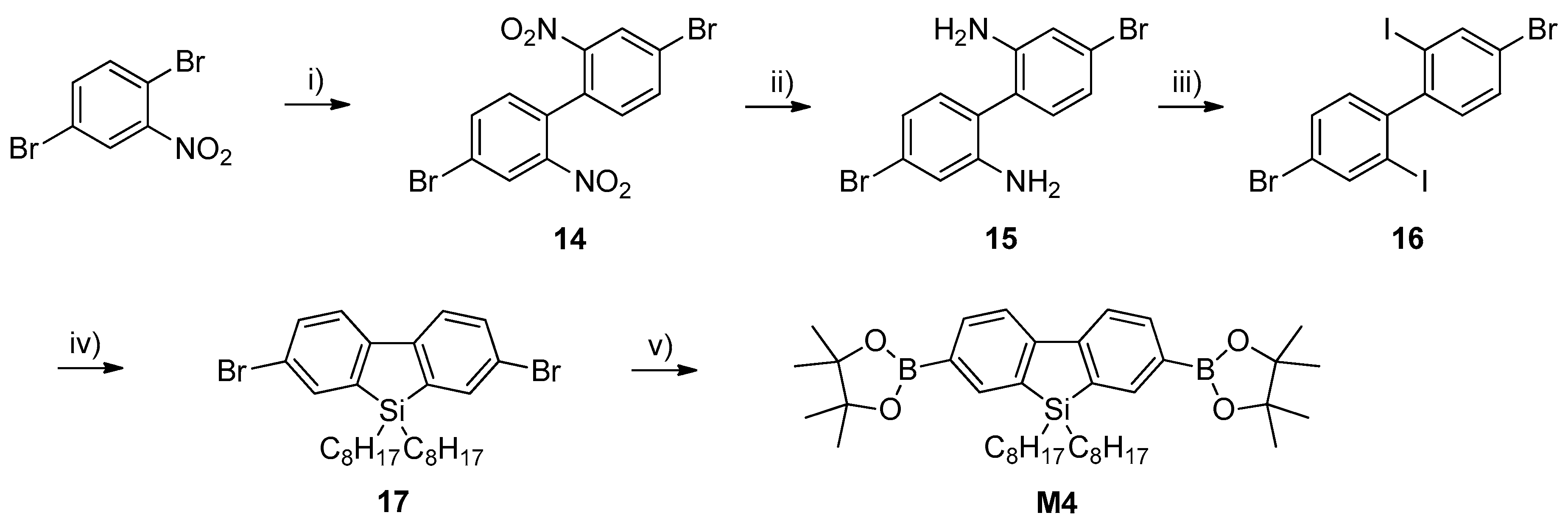
2.3.16. Synthesis of 4,4′-dibromo-2,2′-dinitrobiphenyl (14)
2.3.17. Synthesis of 4,4′-dibromobiphenyl-2,2′-diamine (15)
2.3.18. Synthesis of 4,4′-dibromo-2,2′-diiodobiphenyl (16)
2.3.19. Synthesis of 2,7-dibromo-9,9-dioctyldibenzosilole (17)
2.3.20. Synthesis of 9,9-dioctyl-2,7-bis(4,4,5,5-tetramethyl-1,3,2-dioxaborolan-2-yl)-dibenzosilole (M4)
2.3.21. Synthesis of poly[9,9-dioctyl-2,7-fluorene-alt-5,5-(4′,7′-bis(2-thienyl)-2′,1′,3′-benzothiadiazole-5,6-N-(3,7-dimethyloctyl)dicarboxylic imide)] (PFDTBTDI-DMO)
2.3.22. Synthesis of poly[9,9-dioctyl-2,7-fluorene-alt-5,5-(4′,7′-bis(2-thienyl)-2′,1′,3′-benzothiadiazole-5,6-N-octyl-dicarboxylic imide)] (PFDTBTDI-8)
2.3.23. Synthesis of poly[9,9-dioctyl-2,7-dibenzosilole-alt-5,5-(4′,7′-bis(2-thienyl)-2′,1′,3′-benzothiadiazole-5,6-N-(3,7-dimethyloctyl)dicarboxylic imide)] (PDBSDTBTDI-DMO)
2.3.24. Synthesis of poly[9,9-dioctyl-2,7-dibenzosilole-alt-5,5-(4′,7′-bis(2-thienyl)-2′,1′,3′-benzothiadiazole-5,6-N-octyl-dicarboxylic imide)] (PDBSDTBTDI-8)
3. Results and Discussions
3.1. Synthesis of Monomers and Polymers
3.2. Optical Properties
3.3. Electrochemical Properties
3.4. Thermal Properties
3.5. Powder X-ray Diffraction (XRD)
4. Conclusions
Supplementary Materials
Author Contributions
Funding
Conflicts of Interest
References
- Günes, S.; Neugebauer, H.; Sariciftci, N.S. Conjugated polymer-based organic solar cells. Chem. Rev. 2007, 107, 1324–1338. [Google Scholar] [CrossRef] [PubMed]
- Thompson, B.C.; Frechet, J.M. Polymer–fullerene composite solar cells. Angew. Chem. Int. Ed. 2008, 47, 58–77. [Google Scholar] [CrossRef] [PubMed]
- Cheng, Y.-J.; Yang, S.-H.; Hsu, C.-S. Synthesis of conjugated polymers for organic solar cell applications. Chem. Rev. 2009, 109, 5868–5923. [Google Scholar] [CrossRef]
- Duan, C.; Huang, F.; Cao, Y. Recent development of push–pull conjugated polymers for bulk-heterojunction photovoltaics: Rational design and fine tailoring of molecular structures. J. Mater. Chem. 2012, 22, 10416–10434. [Google Scholar] [CrossRef]
- Yu, G.; Gao, J.; Hummelen, J.C.; Wudl, F.; Heeger, A.J. Polymer photovoltiac cells: Enhanced efficiencies via a network of internal donor-acceptor heterojunctions. Science 1995, 270, 1789. [Google Scholar] [CrossRef]
- Yu, G.; Heeger, A.J. Charge separation and photovoltaic conversion in polymer composites with internal donor/acceptor heterojunctions. J. Appl. Phys. 1995, 78, 4510–4515. [Google Scholar] [CrossRef]
- Li, Y. Molecular design of photovoltaic materials for polymer solar cells: Toward suitable electronic energy levels and broad absorption. Acc. Chem. Res. 2012, 45, 723–733. [Google Scholar] [CrossRef] [PubMed]
- Zhang, Z.G.; Wang, J. Structures and properties of conjugated Donor–Acceptor copolymers for solar cell applications. J. Mater. Chem. 2012, 22, 4178–4187. [Google Scholar] [CrossRef]
- Kim, H.I.; Kim, M.J.; Choi, K.; Lim, C.; Kim, Y.H.; Kwon, S.K.; Park, T. Improving the Performance and Stability of Inverted Planar Flexible Perovskite Solar Cells Employing a Novel NDI-Based Polymer as the Electron Transport Layer. Adv. Energy Mater. 2018, 8, 1702872. [Google Scholar] [CrossRef]
- Chen, J.; Cao, Y. Development of novel conjugated donor polymers for high-efficiency bulk-heterojunction photovoltaic devices. Acc. Chem. Res. 2009, 42, 1709–1718. [Google Scholar] [CrossRef]
- Hou, J.; Chen, H.-Y.; Zhang, S.; Li, G.; Yang, Y. Synthesis, characterization, and photovoltaic properties of a low band gap polymer based on silole-containing polythiophenes and 2, 1, 3-benzothiadiazole. J. Am. Chem. Soc. 2008, 130, 16144–16145. [Google Scholar] [CrossRef] [PubMed]
- Zhu, Z.; Waller, D.; Gaudiana, R.; Morana, M.; Mühlbacher, D.; Scharber, M.; Brabec, C. Panchromatic conjugated polymers containing alternating donor/acceptor units for photovoltaic applications. Macromolecules 2007, 40, 1981–1986. [Google Scholar] [CrossRef]
- Huo, L.; Chen, H.-Y.; Hou, J.; Chen, T.L.; Yang, Y. Low band gap dithieno [3, 2-b: 2′, 3′-d] silole-containing polymers, synthesis, characterization and photovoltaic application. Chem. Commun. 2009, 37, 5570–5572. [Google Scholar] [CrossRef] [PubMed]
- Chen, M.H.; Hou, J.; Hong, Z.; Yang, G.; Sista, S.; Chen, L.M.; Yang, Y. Efficient polymer solar cells with thin active layers based on alternating polyfluorene copolymer/fullerene bulk heterojunctions. Adv. Mater. 2009, 21, 4238–4242. [Google Scholar] [CrossRef]
- Slooff, L.; Veenstra, S.; Kroon, J.; Moet, D.; Sweelssen, J.; Koetse, M. Determining the internal quantum efficiency of highly efficient polymer solar cells through optical modeling. Appl. Phys. Lett. 2007, 90, 143506. [Google Scholar] [CrossRef]
- Boudreault, P.-L.T.; Najari, A.; Leclerc, M. Processable low-bandgap polymers for photovoltaic applications. Chem. Mater. 2010, 23, 456–469. [Google Scholar] [CrossRef]
- Zhou, H.; Yang, L.; You, W. Rational design of high performance conjugated polymers for organic solar cells. Macromolecules 2012, 45, 607–632. [Google Scholar] [CrossRef]
- Svensson, M.; Zhang, F.; Inganäs, O.; Andersson, M. Synthesis and properties of alternating polyfluorene copolymers with redshifted absorption for use in solar cells. Synth. Met. 2003, 135, 137–138. [Google Scholar] [CrossRef]
- Zhou, P.; Zhang, Z.-G.; Li, Y.; Chen, X.; Qin, J. Thiophene-Fused Benzothiadiazole: A Strong Electron-Acceptor Unit to Build D–A Copolymer for Highly Efficient Polymer Solar Cells. Chem. Mater. 2014, 26, 3495–3501. [Google Scholar] [CrossRef]
- Nielsen, C.B.; Ashraf, R.S.; Treat, N.D.; Schroeder, B.C.; Donaghey, J.E.; White, A.J.; Stingelin, N.; McCulloch, I. 2, 1, 3-Benzothiadiazole-5, 6-Dicarboxylic Imide–A Versatile Building Block for Additive-and Annealing-Free Processing of Organic Solar Cells with Efficiencies Exceeding 8%. Adv. Mater. 2015, 27, 948–953. [Google Scholar] [CrossRef]
- Yi, H.; Al-Faifi, S.; Iraqi, A.; Watters, D.C.; Kingsley, J.; Lidzey, D.G. Carbazole and thienyl benzo [1, 2, 5] thiadiazole based polymers with improved open circuit voltages and processability for application in solar cells. J. Mater. Chem. 2011, 21, 13649–13656. [Google Scholar] [CrossRef]
- Zhou, H.; Yang, L.; Stuart, A.C.; Price, S.C.; Liu, S.; You, W. Development of fluorinated benzothiadiazole as a structural unit for a polymer solar cell of 7% efficiency. Angew. Chem. 2011, 123, 3051–3054. [Google Scholar] [CrossRef]
- Wang, L.; Cai, D.; Zheng, Q.; Tang, C.; Chen, S.-C.; Yin, Z. Low Band Gap Polymers Incorporating a Dicarboxylic Imide-Derived Acceptor Moiety for Efficient Polymer Solar Cells. ACS Macro Lett. 2013, 2, 605–608. [Google Scholar] [CrossRef]
- Li, H. A high voltage solar cell using a donor–acceptorconjugated polymer based on pyrrolo[3,4-f]-2,1,3-benzothiadiazole-5,7-dione. J. Mater. Chem. 2014, 2, 17925–17933. [Google Scholar] [CrossRef]
- Gadisa, A.; Mammo, W.; Andersson, L.M.; Admassie, S.; Zhang, F.; Andersson, M.R.; Inganäs, O. A new donor–acceptor–donor polyfluorene copolymer with balanced electron and hole mobility. Adv. Funct. Mater. 2007, 17, 3836–3842. [Google Scholar] [CrossRef]
- Zhang, F.; Mammo, W.; Andersson, L.M.; Admassie, S.; Andersson, M.R.; Inganäs, O. Low-bandgap alternating fluorene copolymer/methanofullerene heterojunctions in efficient near-infrared polymer solar cells. Adv. Mater. 2006, 18, 2169–2173. [Google Scholar] [CrossRef]
- Zhang, F.; Bijleveld, J.; Perzon, E.; Tvingstedt, K.; Barrau, S.; Inganäs, O.; Andersson, M.R. High photovoltage achieved in low band gap polymer solar cells by adjusting energy levels of a polymer with the LUMOs of fullerene derivatives. J. Mater. Chem. 2008, 18, 5468–5474. [Google Scholar] [CrossRef]
- Zhang, F.; Jespersen, K.G.; Bjoerstroem, C.; Svensson, M.; Andersson, M.R.; Sundström, V.; Magnusson, K.; Moons, E.; Yartsev, A.; Inganäs, O. Influence of solvent mixing on the morphology and performance of solar cells based on polyfluorene copolymer/fullerene blends. Adv. Funct. Mater. 2006, 16, 667–674. [Google Scholar] [CrossRef]
- Alghamdi, A.A.; Watters, D.C.; Yi, H.; Al-Faifi, S.; Almeataq, M.S.; Coles, D.; Kingsley, J.; Lidzey, D.G.; Iraqi, A. Selenophene vs. thiophene in benzothiadiazole-based low energy gap donor–acceptor polymers for photovoltaic applications. J. Mater. Chem. A 2013, 1, 5165–5171. [Google Scholar] [CrossRef]
- Watters, D.C.; Yi, H.; Pearson, A.J.; Kingsley, J.; Iraqi, A.; Lidzey, D. Fluorene-Based Co-polymer with High Hole Mobility and Device Performance in Bulk Heterojunction Organic Solar Cells. Macromol. Rapid Commun. 2013, 34, 1157–1162. [Google Scholar] [CrossRef]
- Pearson, A.J.; Watters, D.C.; Yi, H.; Sarjadi, M.S.; Reynolds, L.X.; Marchisio, P.P.; Kingsley, J.; Haque, S.A.; Iraqi, A.; Lidzey, D.G. Impact of dithienyl or thienothiophene units on the optoelectronic and photovoltaic properties of benzo [1, 2, 5] thiadiazole based donor–acceptor copolymers for organic solar cell devices. RSC Adv. 2014, 4, 43142–43149. [Google Scholar] [CrossRef]
- Chen, C.-H.; Hsieh, C.-H.; Dubosc, M.; Cheng, Y.-J.; Hsu, C.-S. Synthesis and characterization of bridged bithiophene-based conjugated polymers for photovoltaic applications: Acceptor strength and ternary blends. Macromolecules 2009, 43, 697–708. [Google Scholar] [CrossRef]
- Kitazawa, D.; Watanabe, N.; Yamamoto, S.; Tsukamoto, J. Quinoxaline-based pi-conjugated donor polymer for highly efficient organic thin-film solar cells. Appl. Phys. Lett. 2009, 95, 3701. [Google Scholar]
- Boudreault, P.L.T.; Michaud, A.; Leclerc, M. A New Poly (2, 7-Dibenzosilole) Derivative in Polymer Solar Cells. Macromol. Rapid Commun. 2007, 28, 2176–2179. [Google Scholar] [CrossRef]
- Wang, E.; Wang, L.; Lan, L.; Luo, C.; Zhuang, W.; Peng, J.; Cao, Y. High-performance polymer heterojunction solar cells of a polysilafluorene derivative. Appl. Phys. Lett. 2008, 92, 33307. [Google Scholar] [CrossRef]
- Chen, H.Y.; Hou, J.; Hayden, A.E.; Yang, H.; Houk, K.; Yang, Y. Silicon Atom Substitution Enhances Interchain Packing in a Thiophene-Based Polymer System. Adv. Mater. 2010, 22, 371–375. [Google Scholar] [CrossRef]
- Ponomarenko, S.; Muzafarov, A.; Borshchev, O.; Vodopyanov, E.; Demchenko, N.; Myakushev, V. Synthesis of bithiophenesilane dendrimer of the first generation. Russ. Chem. Bull. 2005, 54, 684–690. [Google Scholar] [CrossRef]
- Wen, L.; Rasmussen, S.C. Synthesis and structural characterization of 2, 5-dihalo-3, 4-dinitrothiophenes. J. Chem. Crystallogr. 2007, 37, 387–398. [Google Scholar] [CrossRef]
- Schwiderski, R.L.; Rasmussen, S.C. Synthesis and Characterization of Thieno [3, 4-b] pyrazine-Based Terthienyls: Tunable Precursors for Low Band Gap Conjugated Materials. J. Org. Chem. 2013, 78, 5453–5462. [Google Scholar] [CrossRef]
- Hailu, H.; Atsbeha, B.; Admassie, S.; Mammo, W.; Raju, V.; Chebude, Y. Variable denticity of a multidentate terthiophene derivative towards Ni (II) and Zn (II)–structural studies. Bull. Chem. Soc. Ethiop. 2011, 25, 221–231. [Google Scholar] [CrossRef]
- Delgado, M.R.; Hernandez, V.; Navarrete, J.L.; Tanaka, S.; Yamashita, Y. Combined spectroscopic and theoretical study of narrow band gap heterocyclic co-oligomers containing alternating aromatic donor and o-quinoid acceptor units. J. Phys. Chem. B 2004, 108, 2516–2526. [Google Scholar] [CrossRef]
- Lan, L.; Chen, Z.; Li, Y.; Ying, L.; Huang, F.; Cao, Y. Donor–acceptor conjugated polymers based on cyclic imide substituted quinoxaline or dibenzo [a, c] phenazine for polymer solar cells. Polym. Chem. 2015, 6, 7558–7569. [Google Scholar] [CrossRef]
- Matsueda, Y.; Xu, S.; Negishi, E.-I. A novel highly enantio-and diastereoselective synthesis of vitamin E side-chain. Tetrahedron Lett. 2015, 56, 3346–3348. [Google Scholar] [CrossRef]
- Thomson, A.; O’Connor, S.; Knuckley, B.; Causey, C.P. Synthesis, and in vitro evaluation of an activity-based protein profiling (ABPP) probe targeting agmatine deiminases. Bioorg. Med. Chem. 2014, 22, 4602–4608. [Google Scholar] [CrossRef]
- Yue, W.; Zhao, Y.; Shao, S.; Tian, H.; Xie, Z.; Geng, Y.; Wang, F. Novel NIR-absorbing conjugated polymers for efficient polymer solar cells: Effect of alkyl chain length on device performance. J. Mater. Chem. 2009, 19, 2199–2206. [Google Scholar] [CrossRef]
- Lu, G.; Usta, H.; Risko, C.; Wang, L.; Facchetti, A.; Ratner, M.A.; Marks, T.J. Synthesis, characterization, and transistor response of semiconducting silole polymers with substantial hole mobility and air stability. Experiment and theory. J. Am. Chem. Soc. 2008, 130, 7670–7685. [Google Scholar] [CrossRef]
- Yang, J.; Sun, N.; Huang, J.; Li, Q.; Peng, Q.; Tang, X.; Dong, Y.; Ma, D.; Li, Z. New AIEgens containing tetraphenylethene and silole moieties: Tunable intramolecular conjugation, aggregation-induced emission characteristics and good device performance. J. Mater. Chem. C 2015, 3, 2624–2631. [Google Scholar] [CrossRef]
- Keyworth, C.W.; Chan, K.L.; Labram, J.G.; Anthopoulos, T.D.; Watkins, S.E.; McKiernan, M.; White, A.J.; Holmes, A.B.; Williams, C.K. The tuning of the energy levels of dibenzosilole copolymers and applications in organic electronics. J. Mater. Chem. 2011, 21, 11800–11814. [Google Scholar] [CrossRef]
- Usta, H.; Lu, G.; Facchetti, A.; Marks, T.J. Dithienosilole-and dibenzosilole-thiophene copolymers as semiconductors for organic thin-film transistors. J. Am. Chem. Soc. 2006, 128, 9034–9035. [Google Scholar] [CrossRef]
- Chan, K.L.; McKiernan, M.J.; Towns, C.R.; Holmes, A.B. Poly (2, 7-dibenzosilole): A blue light emitting polymer. J. Am. Chem. Soc. 2005, 127, 7662–7663. [Google Scholar] [CrossRef]
- Kenning, D.D.; Mitchell, K.A.; Calhoun, T.R.; Funfar, M.R.; Sattler, D.J.; Rasmussen, S.C. Thieno[3,4-b]pyrazines: Synthesis, structure, and reactivity. J. Org. Chem. 2002, 67, 9073–9076. [Google Scholar] [CrossRef]
- McNamara, L.E.; Liyanage, N.; Peddapuram, A.; Murphy, J.S.; Delcamp, J.H.; Hammer, N.I. Donor-Acceptor-Donor Thienopyrazines via Pd-Catalyzed C-H Activation as NIR Fluorescent Materials. J. Org. Chem. 2015, 81, 32–42. [Google Scholar] [CrossRef] [PubMed]
- Heinze, J.; Frontana-Uribe, B.A.; Ludwigs, S. Electrochemistry of conducting polymers-persistent models and new concepts. Chem. Rev. 2010, 110, 4724–4771. [Google Scholar] [CrossRef] [PubMed]
- Hadi, J.M.; Aziz, S.B.; Nofal, M.M.; Hussen, S.A.; Hamsan, M.H.; Brza, M.A.; Abdulwahid, R.T.; Kadir, M.F.Z.; Woo, H.J. Electrical, dielectric property and electrochemical performances of plasticized silver ion-conducting chitosan-based polymer nanocomposites. Membranes 2020, 10, 151. [Google Scholar] [CrossRef] [PubMed]
- Aziz, S.B.; Hamsan, M.H.; Nofal, M.M.; San, S.; Abdulwahid, R.T.; Saeed, S.R.R.; Brza, M.A.; Kadir, M.F.Z.; Mohammed, S.J.; Al-Zangana, S. From Cellulose, Shrimp and Crab Shells to Energy Storage EDLC Cells: The Study of Structural and Electrochemical Properties of Proton Conducting Chitosan-Based Biopolymer Blend Electrolytes. Polymers 2020, 12, 1526. [Google Scholar] [CrossRef] [PubMed]
- Brza, M.A.; Aziz, S.B.; Anuar, H.; Ali, F.; Hamsan, M.H.; Kadir, M.F.Z.; Abdulwahid, R.T. Metal framework as a novel approach for the fabrication of electric double layer capacitor device with high energy density using plasticized Poly(vinyl alcohol): Ammonium thiocyanate based polymer electrolyte. Arab. J. Chem. 2020, 13, 7247–7263. [Google Scholar] [CrossRef]
- Aziz, S.B.; Abdulwahid, R.T.; Rsaul, H.A.; Ahmed, H.M. In situ synthesis of CuS nanoparticle with a distinguishable SPR peak in NIR region. J. Mater. Sci. Mater. Electron. 2016, 27, 4163–4171. [Google Scholar] [CrossRef]
- Abdulwahid, R.T.; Abdullah, O.G.; Aziz, S.B.; Hussein, S.A.; Muhammad, F.F.; Yahya, M.Y. The study of structural and optical properties of PVA:PbO2 based solid polymer nanocomposites. J. Mater. Sci. Mater. Electron. 2016, 27, 12112–12118. [Google Scholar] [CrossRef]
- Asnawi, A.S.F.M.; Aziz, S.B.; Nofal, M.M.; Hamsan, M.H.; Brza, M.A.; Yusof, Y.M.; Abdulwahid, R.T.; Muzakir, S.K.; Kadir, M.F.Z. Glycerolized Li+ ion conducting chitosan-based polymer electrolyte for energy storage EDLC device applications with relatively high energy density. Polymers 2020, 12, 1433. [Google Scholar] [CrossRef]
- Echeverri, M.; Hamad, C.; Kyu, T. Highly conductive, completely amorphous polymer electrolyte membranes fabricated through photo-polymerization of poly (ethylene glycol diacrylate) in mixtures of solid plasticizer and lithium salt. Solid State Ion. 2014, 254, 92–100. [Google Scholar] [CrossRef]
- Li, L.; Wang, X.; Zhu, P.; Li, H.; Wang, F.; Wu, J. The electron transfer mechanism between metal and amorphous polymers in humidity environment for triboelectric nanogenerator. Nano Energy 2020, 70, 104476. [Google Scholar] [CrossRef]







| Polymer | Toluene Fraction | Chloroform Fraction | ||||
|---|---|---|---|---|---|---|
| Mn (g·mol−1) | Mw (g·mol−1) | PDI | Mn (g·mol−1) | Mw (g·mol−1) | PDI | |
| PFDTBTDI-DMO | 16,000 | 33,000 | 2.0 | - | - | - |
| PFDTBTDI-8 | 11,200 | 29,100 | 2.5 | 24,900 | 74,400 | 2.9 |
| PDBSDTBTDI-DMO | 9400 | 19,400 | 2.0 | 20,000 | 44,900 | 2.2 |
| PDBSDTBTDI-8 | 10,000 | 26,200 | 2.6 | 16,100 | 38,700 | 2.4 |
| Polymer | ε (M−1·cm−1) | Solution | Film | ||
|---|---|---|---|---|---|
| λmax (nm) | λmax (nm) | λonset (nm) | Eg (eV) | ||
| PFDTBTDI-DMO | 26,200 | 550 | 572 | 685 | 1.81 |
| PFDTBTDI-8 | 22,900 | 551 | 585 | 696 | 1.78 |
| PDBSDTBTDI-DMO | 35,500 | 550 | 576 | 700 | 1.77 |
| PDBSDTBTDI-8 | 34,900 | 550 | 578 | 697 | 1.77 |
| Polymer | Td (°C) | Eox0 (V) | HOMO (eV) | Ered0 (V) | LUMO (eV) | Eg(elec) (eV) |
|---|---|---|---|---|---|---|
| PFDTBTDI-DMO | 409 | 0.87 | −5.59 | 1.27 | −3.44 | 2.15 |
| PFDTBTDI-8 | 367 | 0.87 | −5.59 | 1.27 | −3.44 | 2.15 |
| PDBSDTBTDI-DMO | 438 | 0.87 | −5.59 | 1.25 | −3.46 | 2.12 |
| PDBSDTBTDI-8 | 359 | 0.87 | −5.59 | 1.29 | −3.42 | 2.16 |
Publisher’s Note: MDPI stays neutral with regard to jurisdictional claims in published maps and institutional affiliations. |
© 2020 by the authors. Licensee MDPI, Basel, Switzerland. This article is an open access article distributed under the terms and conditions of the Creative Commons Attribution (CC BY) license (http://creativecommons.org/licenses/by/4.0/).
Share and Cite
R. Murad, A.; Iraqi, A.; Aziz, S.B.; N. Abdullah, S.; Abdulwahid, R.T.; Hussen, S.A. Optical, Electrochemical, Thermal, and Structural Properties of Synthesized Fluorene/Dibenzosilole-Benzothiadiazole Dicarboxylic Imide Alternating Organic Copolymers for Photovoltaic Applications. Coatings 2020, 10, 1147. https://doi.org/10.3390/coatings10121147
R. Murad A, Iraqi A, Aziz SB, N. Abdullah S, Abdulwahid RT, Hussen SA. Optical, Electrochemical, Thermal, and Structural Properties of Synthesized Fluorene/Dibenzosilole-Benzothiadiazole Dicarboxylic Imide Alternating Organic Copolymers for Photovoltaic Applications. Coatings. 2020; 10(12):1147. https://doi.org/10.3390/coatings10121147
Chicago/Turabian StyleR. Murad, Ary, A. Iraqi, Shujahadeen B. Aziz, Sozan N. Abdullah, Rebar T. Abdulwahid, and Sarkawt A. Hussen. 2020. "Optical, Electrochemical, Thermal, and Structural Properties of Synthesized Fluorene/Dibenzosilole-Benzothiadiazole Dicarboxylic Imide Alternating Organic Copolymers for Photovoltaic Applications" Coatings 10, no. 12: 1147. https://doi.org/10.3390/coatings10121147
APA StyleR. Murad, A., Iraqi, A., Aziz, S. B., N. Abdullah, S., Abdulwahid, R. T., & Hussen, S. A. (2020). Optical, Electrochemical, Thermal, and Structural Properties of Synthesized Fluorene/Dibenzosilole-Benzothiadiazole Dicarboxylic Imide Alternating Organic Copolymers for Photovoltaic Applications. Coatings, 10(12), 1147. https://doi.org/10.3390/coatings10121147

