In Situ Electrochemically Generating High-Valent Iron Species Activated by Nitrogen-Doped Biochar for Efficient Degradation of Antibiotics
Abstract
1. Introduction
2. Results and Discussion
2.1. Characterization of Biochar
2.2. Removal Efficiency of SMX in Various Systems
2.3. Influence of Reaction Conditions
2.4. Effect of Water Chemistry
2.5. Identification of the Dominant ROS and Electron Transfer
2.5.1. Identification of the Dominant ROS and Mechanism
2.5.2. Electron Transfer
2.6. Identification of Fe(IV)/Fe(V)
2.7. Stability and Renewability of NBC
2.8. Performance of E/Fe(III)/NBC System in Actual Aquatic Environment and SA Degradation Performance
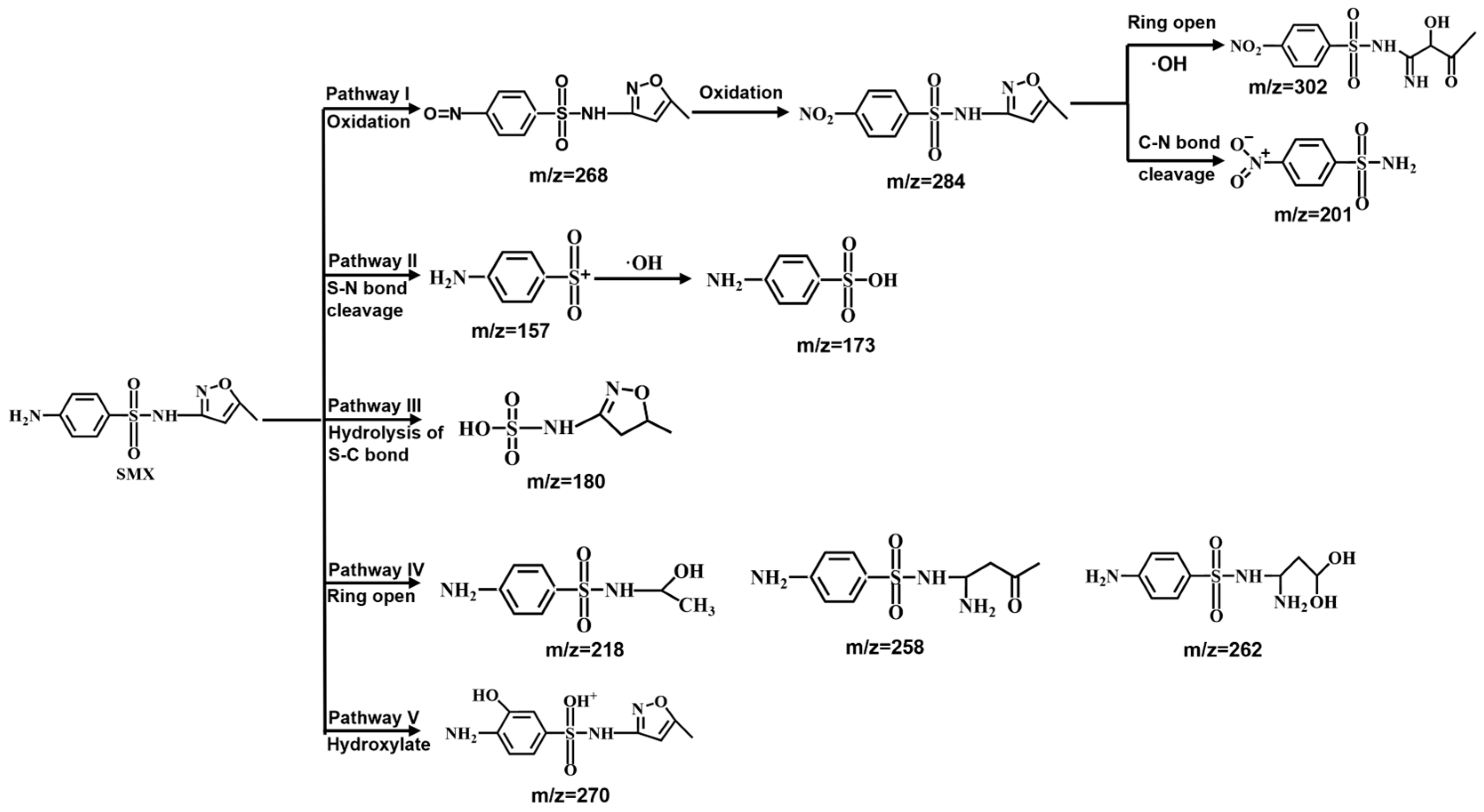
2.9. Possible Degradation Pathway of SMX
2.10. Toxicity Assessment of Degradation Products
2.11. Theoretical Calculations
3. Materials and Methods
3.1. Chemicals
3.2. Preparation of Biochar
3.3. Batch Experiments
3.4. DFT Calculation
4. Conclusions
Supplementary Materials
Author Contributions
Funding
Institutional Review Board Statement
Informed Consent Statement
Data Availability Statement
Conflicts of Interest
Abbreviations
| SMX | sulfamethoxazole |
| SDZ | sulfadiazine |
| SDX | sulfadoxine |
| SMP | sulfamethoxypyridazine |
| STZ | sulfathiazole |
| PMSO | methyl phenyl sulfoxide |
| PMSO2 | methyl phenyl sulfone |
| BC | corn stalk biochar |
| NBC | nitrogen-doped corn stalk biochar |
| UNBC | used NBC |
| TBA | tert-butanol |
| FFA | furfuryl alcohol |
| BQ | benzoquinone |
| HA | humic acid |
| DMPO | 5,5-dimethyl-1-pyran N-oxide |
| TEMP | 2,2,6,6-tetramethyl-4-piperidinol |
| ROS | reactive oxygen species |
| DFT | density functional theory |
| TPs | transformation products |
| AOPs | advanced oxidation processes |
| EPR | electron paramagnetic resonance |
References
- García-Galán, M.J.; Silvia Díaz-Cruz, M.; Barceló, D.; Barceló, D. Combining Chemical Analysis and Ecotoxicity to Determine Environmental Exposure and to Assess Risk from Sulfonamides. TrAC Trends Anal. Chem. 2009, 28, 804–819. [Google Scholar] [CrossRef]
- Klein, E.Y.; Milkowska-Shibata, M.; Tseng, K.K.; Sharland, M.; Gandra, S.; Pulcini, C.; Laxminarayan, R. Assessment of WHO Antibiotic Consumption and Access Targets in 76 Countries, 2000–2015: An Analysis of Pharmaceutical Sales Data. Lancet Infect. Dis. 2021, 21, 107–115. [Google Scholar] [CrossRef]
- Ngumba, E.; Gachanja, A.; Tuhkanen, T. Occurrence of Selected Antibiotics and Antiretroviral Drugs in Nairobi River Basin, Kenya. Sci. Total Environ. 2016, 539, 206–213. [Google Scholar] [CrossRef] [PubMed]
- Wang, J.; Wang, S. Microbial Degradation of Sulfamethoxazole in the Environment. Appl. Microbiol. Biotechnol. 2018, 102, 3573–3582. [Google Scholar] [CrossRef] [PubMed]
- Johansson, C.H.; Janmar, L.; Backhaus, T. Toxicity of Ciprofloxacin and Sulfamethoxazole to Marine Periphytic Algae and Bacteria. Aquat. Toxicol. 2014, 156, 248–258. [Google Scholar] [CrossRef]
- Wang, Y.; Yang, X.; Li, H.; Zhu, L.; Wang, H. Steel Slag Assists Potassium Ferrate to Improve SCFAs Production from Anaerobic Sludge Fermentation. J. Environ. Manag. 2023, 340, 117996. [Google Scholar] [CrossRef]
- Du, L.; Ahmad, S.; Liu, L.; Wang, L.; Tang, J. A Review of Antibiotics and Antibiotic Resistance Genes (ARGs) Adsorption by Biochar and Modified Biochar in Water. Sci. Total Environ. 2023, 858, 159815. [Google Scholar] [CrossRef]
- Wang, B.; Xu, M.; Chi, C.; Wang, C.; Meng, D. Degradation of Methyl Orange Using Dielectric Barrier Discharge Water Falling Film Reactor. J. Adv. Oxid. Technol. 2017, 20, 20170021. [Google Scholar] [CrossRef]
- Ding, H.; Deng, Z.; Ma, Y.; Xiang, X.; Xiang, M.; Zhang, Z. Self-Doped Biochar with Adsorbed Aqueous Nitrogen for Efficient Activation of Peroxymonosulfate to Degrade Sulfamethoxazole. Chem. Eng. J. 2025, 521, 166970. [Google Scholar] [CrossRef]
- Wang, X.; Liu, P.; Fu, M.; Ma, J.; Ning, P. Novel Sequential Process for Enhanced Dye Synergistic Degradation Based on Nano Zero-Valent Iron and Potassium Permanganate. Chemosphere 2016, 155, 39–47. [Google Scholar] [CrossRef]
- Wang, S.; Lin, Y.; Shao, B.; Dong, H.; Ma, J.; Guan, X. Selective Removal of Emerging Organic Contaminants from Water Using Electrogenerated Fe(IV) and Fe(V) under Near-Neutral Conditions. Environ. Sci. Technol. 2023, 57, 9332–9341. [Google Scholar] [CrossRef]
- McBeath, S.T.; Zhang, Y.; Hoffmann, M.R. Novel Synthesis Pathways for Highly Oxidative Iron Species: Generation, Stability, and Treatment Applications of Ferrate(IV/V/VI). Environ. Sci. Technol. 2023, 57, 18700–18709. [Google Scholar] [CrossRef]
- Liu, B.; Zhang, Z.; Guan, D.; Wang, B.; Zhou, S.; Chen, T.; Wang, J.; Li, Y.; Gao, B. Qualitative and Quantitative Analysis for Cd2+ Removal Mechanisms by Biochar Composites from Co-Pyrolysis of Corn Straw and Fly Ash. Chemosphere 2023, 330, 138701. [Google Scholar] [CrossRef]
- Duan, X.; Sun, H.; Wang, Y.; Kang, J.; Wang, S. N-Doping-Induced Nonradical Reaction on Single-Walled Carbon Nanotubes for Catalytic Phenol Oxidation. ACS Catal. 2015, 5, 553–559. [Google Scholar] [CrossRef]
- Ding, D.; Yang, S.; Qian, X.; Chen, L.; Cai, T. Nitrogen-Doping Positively Whilst Sulfur-Doping Negatively Affect the Catalytic Activity of Biochar for the Degradation of Organic Contaminant. Appl. Catal. B Environ. 2020, 263, 118348. [Google Scholar] [CrossRef]
- Zhang, K.; Yi, Y.; Fang, Z. Remediation of Cadmium or Arsenic Contaminated Water and Soil by Modified Biochar: A Review. Chemosphere 2023, 311, 136914. [Google Scholar] [CrossRef]
- Wang, W.; Chen, M. Catalytic Degradation of Sulfamethoxazole by Peroxymonosulfate Activation System Composed of Nitrogen-Doped Biochar from Pomelo Peel: Important Roles of Defects and Nitrogen, and Detoxification of Intermediates. J. Colloid Interface Sci. 2022, 613, 57–70. [Google Scholar] [CrossRef]
- Ma, Y.; Tang, J.; Chen, S.; Yang, L.; Shen, S.; Chen, X.; Zhang, Z. Ball Milling and Acetic Acid Co-Modified Sludge Biochar Enhanced by Electrochemistry to Activate Peroxymonosulfate for Sustainable Degradation of Environmental Concentration Neonicotinoids. J. Hazard. Mater. 2023, 444, 130336. [Google Scholar] [CrossRef]
- Zhang, Y.; Wang, T.; Zhang, X.; Sun, Y.; Fan, G.; Song, G.; Chai, B. Porous Pie-like Nitrogen-Doped Biochar as a Metal-Free Peroxymonosulfate Activator for Sulfamethoxazole Degradation: Performance, DFT Calculation and Mechanism. Appl. Surf. Sci. 2024, 647, 158965. [Google Scholar] [CrossRef]
- Li, D.; Duan, X.; Sun, H.; Kang, J.; Zhang, H.; Tade, M.O.; Wang, S. Facile Synthesis of Nitrogen-Doped Graphene via Low-Temperature Pyrolysis: The Effects of Precursors and Annealing Ambience on Metal-Free Catalytic Oxidation. Carbon 2017, 115, 649–658. [Google Scholar] [CrossRef]
- Wang, L.; Jiang, S.; Huang, J.; Jiang, H. Oxygen-Doped Biochar for the Activation of Ferrate for the Highly Efficient Degradation of Sulfadiazine with a Distinct Pathway. J. Environ. Chem. Eng. 2022, 10, 108537. [Google Scholar] [CrossRef]
- Jingjing, Y.; Jinling, W.; Hong, L.; Yurong, D.; Chen, Y.; Qing, Z.; Zhi, D. Nitrogen-Doped Biochar as Peroxymonosulfate Activator to Degrade 2,4-Dichlorophenol: Preparation, Properties and Structure–Activity Relationship. J. Hazard. Mater. 2022, 424, 127743. [Google Scholar] [CrossRef]
- He, D.; Zhu, K.; Huang, J.; Shen, Y.; Lei, L.; He, H.; Chen, W. N, S Co-Doped Magnetic Mesoporous Carbon Nanosheets for Activating Peroxymonosulfate to Rapidly Degrade Tetracycline: Synergistic Effect and Mechanism. J. Hazard. Mater. 2022, 424, 127569. [Google Scholar] [CrossRef]
- Przepiórski, J.; Karolczyk, J.; Takeda, K.; Tsumura, T.; Toyoda, M.; Morawski, A.W. Porous Carbon Obtained by Carbonization of PET Mixed with Basic Magnesium Carbonate: Pore Structure and Pore Creation Mechanism. Ind. Eng. Chem. Res. 2009, 48, 7110–7116. [Google Scholar] [CrossRef]
- Wang, Z.; Li, Y.; Shen, G.; Li, Y.; Zhang, X.; Gou, J.; Cheng, X. Synthesis of CMK/LDH and CMK/CLDH for Sulfamethoxazole Degradation by PS Activation: A Comparative Study of Characterization and Operating Parameter, Mechanism Pathway. Sep. Purif. Technol. 2021, 258, 118018. [Google Scholar] [CrossRef]
- Li, Z.; Sun, Y.; Yang, Y.; Han, Y.; Wang, T.; Chen, J.; Tsang, D.C.W. Biochar-Supported Nanoscale Zero-Valent Iron as an Efficient Catalyst for Organic Degradation in Groundwater. J. Hazard. Mater. 2020, 383, 121240. [Google Scholar] [CrossRef]
- Leng, L.; Xu, S.; Liu, R.; Yu, T.; Zhuo, X.; Leng, S.; Xiong, Q.; Huang, H. Nitrogen Containing Functional Groups of Biochar: An Overview. Bioresour. Technol. 2020, 298, 122286. [Google Scholar] [CrossRef]
- Jiang, T.; Wang, B.; Gao, B.; Cheng, N.; Feng, Q.; Chen, M.; Wang, S. Degradation of Organic Pollutants from Water by Biochar-Assisted Advanced Oxidation Processes: Mechanisms and Applications. J. Hazard. Mater. 2023, 442, 130075. [Google Scholar] [CrossRef]
- Zeng, C.; Ma, Y.; Zhou, Y.; Chen, X.; Deng, Z.; Liu, Y.; Zhang, Z. In-Situ Electrochemically Co-Generating Fe(IV), •OH, and SO4•- for Antibiotics Degradation in Waters. J. Environ. Chem. Eng. 2025, 13, 117340. [Google Scholar] [CrossRef]
- He, H.; Zhao, J. The Efficient Degradation of Diclofenac by Ferrate and Peroxymonosulfate: Performances, Mechanisms, and Toxicity Assessment. Env. Sci. Pollut. Res. 2023, 30, 11959–11977. [Google Scholar] [CrossRef] [PubMed]
- Huang, Z.-S.; Wang, L.; Liu, Y.-L.; Jiang, J.; Xue, M.; Xu, C.-B.; Zhen, Y.-F.; Wang, Y.-C.; Ma, J. Impact of Phosphate on Ferrate Oxidation of Organic Compounds: An Underestimated Oxidant. Environ. Sci. Technol. 2018, 52, 13897–13907. [Google Scholar] [CrossRef] [PubMed]
- Luo, C.; Feng, M.; Sharma, V.K.; Huang, C. Oxidation of Pharmaceuticals by Ferrate(VI) in Hydrolyzed Urine: Effects of Major Inorganic Constituents. Environ. Sci. Technol. 2019, 53, 5272–5281. [Google Scholar] [CrossRef] [PubMed]
- Ma, J.; Graham, N.J.D. Degradation of Atrazine by Manganese-Catalysed Ozonation—Influence of Radical Scavengers. Water Res. 2000, 34, 3822–3828. [Google Scholar] [CrossRef]
- Pan, B.; Feng, M.; McDonald, T.J.; Manoli, K.; Wang, C.; Huang, C.; Sharma, V.K. Enhanced Ferrate(VI) Oxidation of Micropollutants in Water by Carbonaceous Materials: Elucidating Surface Functionality. Chem. Eng. J. 2020, 398, 125607. [Google Scholar] [CrossRef]
- Deng, Z.; Zhu, J.; Zeng, C.; Mu, R.; Ma, Y.; Zhang, Z. Highly Efficient Activation of Ferrate (VI) via Corncob Biochar Assisted by Electrochemistry for the Removal of Sulfamethoxazole from Water. Chem. Eng. J. 2024, 484, 149479. [Google Scholar] [CrossRef]
- Shao, B.; Dong, H.; Sun, B.; Guan, X. Role of Ferrate(IV) and Ferrate(V) in Activating Ferrate(VI) by Calcium Sulfite for Enhanced Oxidation of Organic Contaminants. Environ. Sci. Technol. 2019, 53, 894–902. [Google Scholar] [CrossRef]
- Deng, Z.; Ma, Y.; Zhu, J.; Zeng, C.; Mu, R.; Liu, Y.; Li, P.; Zhang, Z. Novel Insights into Ferrate (VI) Activation by Mn-Modified Sludge Biochar for Sulfamethoxazole Degradation: Dominance of Hydroxyl Group and Mn-O Bond in the Non-Radical Pathway. Sep. Purif. Technol. 2024, 349, 127679. [Google Scholar] [CrossRef]
- Chu, D.; Dong, H.; Li, Y.; Jin, Z.; Xiao, J.; Xiang, S.; Dong, Q.; Hou, X. Enhanced Activation of Sulfite by a Mixture of Zero-Valent Fe-Mn Bimetallic Nanoparticles and Biochar for Degradation of Sulfamethazine in Water. Sep. Purif. Technol. 2022, 285, 120315. [Google Scholar] [CrossRef]
- Cao, J.; Du, Y.; Dai, X.; Liu, T.; Wang, Z.; Li, J.; Zhang, H.; Zhou, P.; Lai, B. Ferrate(VI)-Based Synergistic Oxidation Processes (Fe(VI)-SOPs): Promoted Reactive Species Production, Micropollutant/Microorganism Elimination, and Toxicity Reduction. Chem. Eng. J. 2024, 489, 151180. [Google Scholar] [CrossRef]
- Zhang, H.; Li, L.; Liu, X.; Zhang, X.; Liu, X.; Dong, L.; Li, P.; Xue, M.; Li, B.; Xia, G. Critical Impact of Biochar on Hydroxyl Radical Generation during Humin Oxidation. Chem. Eng. J. 2024, 500, 157479. [Google Scholar] [CrossRef]
- Liu, Z.; Zhao, C.; Wang, P.; Zheng, H.; Sun, Y.; Dionysiou, D.D. Removal of Carbamazepine in Water by Electro-Activated Carbon Fiber-Peroxydisulfate: Comparison, Optimization, Recycle, and Mechanism Study. Chem. Eng. J. 2018, 343, 28–36. [Google Scholar] [CrossRef]
- Cui, S.; Qi, Y.; Zhu, Q.; Wang, C.; Sun, H. A Review of the Influence of Soil Minerals and Organic Matter on the Migration and Transformation of Sulfonamides. Sci. Total Environ. 2023, 861, 160584. [Google Scholar] [CrossRef]
- Zeng, X.; Wang, X.; Shu, S.; Zhang, R.; Chen, J.; Wang, Y. Constructing a Z-Scheme β-Bi2O3/g-C3N4 Heterojunction with Enhancing Photocatalytic Activity for Sulfamethoxypyridazine Degradation. Mater. Sci. Semicond. Process. 2025, 189, 109273. [Google Scholar] [CrossRef]
- Su, C.; Zhang, N.; Zhu, X.; Sun, Z.; Hu, X. pH Adjustable MgAl@LDH-Coated MOFs-Derived Co2.25Mn0.75O4 for SMX Degradation in PMS Activated System. Chemosphere 2023, 339, 139672. [Google Scholar] [CrossRef]
- Wang, Y.; Song, Y.; Li, N.; Liu, W.; Yan, B.; Yu, Y.; Liang, L.; Chen, G.; Hou, L.; Wang, S. Tunable Active Sites on Biogas Digestate Derived Biochar for Sulfanilamide Degradation by Peroxymonosulfate Activation. J. Hazard. Mater. 2022, 421, 126794. [Google Scholar] [CrossRef] [PubMed]
- Chu, Y.; Xu, M.; Li, X.; Lu, J.; Yang, Z.; Lv, R.; Liu, J.; Lv, L.; Zhang, W. Oxidation of Emerging Contaminants by S(IV) Activated Ferrate: Identification of Reactive Species. Water Res. 2024, 251, 121100. [Google Scholar] [CrossRef]
- Zhang, Z.; Li, H.; Liu, J.; Hu, J.; Wang, S. Mechanistic Insights into the Role of N/O-Doped Biochar in Enhanced Phenolics Production during Biomass Pyrolysis. Green Energy Environ. 2025; in press. [Google Scholar] [CrossRef]
- Chen, D.; Wang, H. HOMO–LUMO Gaps of Homogeneous Polycyclic Aromatic Hydrocarbon Clusters. J. Phys. Chem. C 2019, 123, 27785–27793. [Google Scholar] [CrossRef]
- Yu, G.; Wang, Y.; Cao, H.; Zhao, H.; Xie, Y. Reactive Oxygen Species and Catalytic Active Sites in Heterogeneous Catalytic Ozonation for Water Purification. Environ. Sci. Technol. 2020, 54, 5931–5946. [Google Scholar] [CrossRef]
- Wang, Y.; Duan, X.; Xie, Y.; Sun, H.; Wang, S. Nanocarbon-Based Catalytic Ozonation for Aqueous Oxidation: Engineering Defects for Active Sites and Tunable Reaction Pathways. ACS Catal. 2020, 10, 13383–13414. [Google Scholar] [CrossRef]
- Yin, R.; Guo, W.; Wang, H.; Du, J.; Wu, Q.; Chang, J.-S.; Ren, N. Singlet Oxygen-Dominated Peroxydisulfate Activation by Sludge-Derived Biochar for Sulfamethoxazole Degradation through a Nonradical Oxidation Pathway: Performance and Mechanism. Chem. Eng. J. 2019, 357, 589–599. [Google Scholar] [CrossRef]
- Zhou, L.; Yan, Y.; Mao, H.; Zhou, S.; Hui, J.; Li, H.; Li, M.; Zhao, Y.; Zhang, Q.; Xia, S. Development of Attapulgite Based Catalytic Membrane for Activation of Peroxymonosulfate: A Singlet Oxygen-Dominated Catalytic Oxidation Process for Sulfamethoxazole Degradation. Sep. Purif. Technol. 2023, 312, 123382. [Google Scholar] [CrossRef]
- Hu, J.; Li, X.; Liu, F.; Fu, W.; Lin, L.; Li, B. Comparison of Chemical and Biological Degradation of Sulfonamides: Solving the Mystery of Sulfonamide Transformation. J. Hazard. Mater. 2022, 424, 127661. [Google Scholar] [CrossRef] [PubMed]









Disclaimer/Publisher’s Note: The statements, opinions and data contained in all publications are solely those of the individual author(s) and contributor(s) and not of MDPI and/or the editor(s). MDPI and/or the editor(s) disclaim responsibility for any injury to people or property resulting from any ideas, methods, instructions or products referred to in the content. |
© 2026 by the authors. Licensee MDPI, Basel, Switzerland. This article is an open access article distributed under the terms and conditions of the Creative Commons Attribution (CC BY) license.
Share and Cite
Lin, Y.; Ding, A.; Deng, Z.; Zhang, Y.-N.; Zeng, C.; Xie, F.; Luo, Y.; Li, M.; Ma, J.; Zhang, Z. In Situ Electrochemically Generating High-Valent Iron Species Activated by Nitrogen-Doped Biochar for Efficient Degradation of Antibiotics. Antibiotics 2026, 15, 254. https://doi.org/10.3390/antibiotics15030254
Lin Y, Ding A, Deng Z, Zhang Y-N, Zeng C, Xie F, Luo Y, Li M, Ma J, Zhang Z. In Situ Electrochemically Generating High-Valent Iron Species Activated by Nitrogen-Doped Biochar for Efficient Degradation of Antibiotics. Antibiotics. 2026; 15(3):254. https://doi.org/10.3390/antibiotics15030254
Chicago/Turabian StyleLin, Yuhang, Anting Ding, Zhikang Deng, Ya-Nan Zhang, Chenyu Zeng, Fuyu Xie, Yumu Luo, Minle Li, Junwei Ma, and Zulin Zhang. 2026. "In Situ Electrochemically Generating High-Valent Iron Species Activated by Nitrogen-Doped Biochar for Efficient Degradation of Antibiotics" Antibiotics 15, no. 3: 254. https://doi.org/10.3390/antibiotics15030254
APA StyleLin, Y., Ding, A., Deng, Z., Zhang, Y.-N., Zeng, C., Xie, F., Luo, Y., Li, M., Ma, J., & Zhang, Z. (2026). In Situ Electrochemically Generating High-Valent Iron Species Activated by Nitrogen-Doped Biochar for Efficient Degradation of Antibiotics. Antibiotics, 15(3), 254. https://doi.org/10.3390/antibiotics15030254

