Machine Learning Models to Establish the Risk of Being a Carrier of Multidrug-Resistant Bacteria upon Admission to the ICU
Abstract
1. Introduction
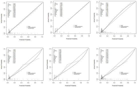
2. Results
3. Discussion
4. Materials and Methods
5. Conclusions
Author Contributions
Funding
Institutional Review Board Statement
Informed Consent Statement
Data Availability Statement
Conflicts of Interest
Abbreviations
| ATB | antibiotic |
| MDR | multidrug resistant bacteria |
| ICU | intensive care unit |
| RZ | Resistencia Zero Project |
| RF | risk factors |
| ESBL | extended-spectrum beta-lactamase-producing Enterobacterales |
| MRSA | methicillin-resistant Staphylococcus aureus |
| SEMICYUC | Sociedad Española de Medicina Intensiva y Unidades Coronarias |
| ML | machine learning |
| HUAV | Arnau de Vilanova University Hospital |
| DG | development group |
| VG | validation group |
| VRE | vancomycin-resistant Enterococcus spp. |
| DM | diabetes mellitus |
| COPD | chronic obstructive pulmonary disease |
| CKD | chronic kidney disease |
| ED | emergency department |
| LR | logistic regression |
| CHAID | Chi-square automatic interaction detection |
| SHAP | SHapley Additive exPlanations |
| S | sensitivity |
| E | specificity |
| PPV | positive predictive value |
| NPV | negative predictive value |
| AUC | area under the curve |
References
- Caǧlayan, Ç.; Barnes, S.L.; Pineles, L.L.; Harris, A.D.; Klein, E.Y. A Data-Driven Framework for Identifying Intensive Care Unit Admissions Colonized With Multidrug-Resistant Organisms. Front. Public Health 2022, 10, 853757. [Google Scholar] [CrossRef]
- Cosgrove, S.E.; Sakoulas, G.; Perencevich, E.N.; Schwaber, M.J.; Karchmer, A.W.; Carmeli, Y. Comparison of Mortality Associated with Methicillin-Resistant and Methicillin-Susceptible Staphylococcus aureus Bacteremia: A Meta-analysis. Clin. Infect. Dis. 2003, 36, 53–59. [Google Scholar] [CrossRef]
- DiazGranados, C.A.; Zimmer, S.M.; Klein, M.; Jernigan, J.A. Comparison of Mortality Associated with Vancomycin-Resistant and Vancomycin-Susceptible Enterococcal Bloodstream Infections: A Meta-analysis. Clin. Infect. Dis. 2005, 41, 327–333. [Google Scholar] [CrossRef]
- Cosgrove, S.E.; Qi, Y.; Kaye, K.S.; Harbarth, S.; Karchmer, A.W.; Carmeli, Y. The Impact of Methicillin Resistance in Staphylococcus aureus Bacteremia on Patient Outcomes: Mortality, Length of Stay, and Hospital Charges. Infect. Control Hosp. Epidemiol. 2005, 26, 166–174. [Google Scholar] [CrossRef]
- Song, X.; Srinivasan, A.; Plaut, D.; Perl, T.M. Effect of Nosocomial Vancomycin-Resistant Enterococcal Bacteremia on Mortality, Length of Stay, and Costs. Infect. Control Hosp. Epidemiol. 2003, 24, 251–256. [Google Scholar] [CrossRef]
- Maragakis, L.L.; Perencevich, E.N.; Cosgrove, S.E. Clinical and economic burden of antimicrobial resistance. Expert Rev. Anti-Infect. Ther. 2008, 6, 751–763. [Google Scholar] [CrossRef] [PubMed]
- Strich, J.R.; Palmore, T.N. Preventing Transmission of Multidrug-Resistant Pathogens in the Intensive Care Unit. Infect. Dis. Clin. N. Am. 2017, 31, 535–550. [Google Scholar] [CrossRef] [PubMed]
- Álvarez, A.A.; Lumbreras, D.J.; Valbuena, B.L.; Abellán, A.N.; Pérez, I.T.; Calderón, V.E.; Delgado, D.V.; Márquez, I.C.; Manzanedo, S.G.; Calvo, L.L.d.l.O.; et al. Analysis of the predictive value of preventive isolation criteria in the intensive care unit. Med. Intensiv. (Engl. Ed.) 2021, 45, 205–210. [Google Scholar]
- Carvalho-Brugger, S.; Torner, M.M.; Jiménez, G.J.; Badallo, O.; Lerma, F.Á.; Trujillano, J.; Casals, F.X.N.; Palomar, M. Preventive isolation criteria for the detection of multidrug-resistant bacteria in patients admitted to the Intensive Care Unit: A multicenter study within the Zero Resistance program. Med. Intensiv. (Engl. Ed.) 2023, 47, 629–637. [Google Scholar] [CrossRef]
- Padilla-Serrano, A.; Serrano-Castañeda, J.; Carranza-González, R.; García-Bonillo, M. Factores de riesgo de colonización por enterobacterias multirresistentes e impacto clínico. Rev. Esp. Quimioter. 2018, 31, 257–262. [Google Scholar]
- Ministerio de Sanidad, Servicios Sociales e Igualdad. Prevención de la Emerg. de Bact. Multirresistentes en el Paciente Crítico—“Proy. Resist. ZERO” (RZ). 2014. Available online: https://seguridaddelpaciente.sanidad.gob.es/practicasSeguras/seguridadPacienteCritico/docs/PROYECTO_RZ_-_VERSION_FINAL_26MARZO_2014.pdf (accessed on 4 April 2024).
- Montero, J.G.; Lerma, F.Á.; Galleymore, P.R.; Martínez, M.P.; Rocha, L.Á.; Gaite, F.B.; Rodríguez, J.Á.; González, M.C.; Moreno, I.F.; Baño, J.R.; et al. Combatting resistance in intensive care: The multimodal approach of the Spanish ICU “Zero Resistance” program. Crit. Care 2015, 19, 114. [Google Scholar] [CrossRef][Green Version]
- Yi, F.; Yang, H.; Chen, D.; Qin, Y.; Han, H.; Cui, J.; Bai, W.; Ma, Y.; Zhang, R.; Yu, H. XGBoost-SHAP-based interpretable diagnostic framework for alzheimer’s disease. BMC Med. Inform. Decis. Mak. 2023, 23, 137. [Google Scholar] [CrossRef]
- Ledoux, G.; Six, S.; Lawson, R.; Labreuche, J.; Blazejewski, C.; Wallet, F.; Duhamel, A.; Nseir, S. Impact of a targeted isolation strategy at intensive-care-unit-admission on intensive-care-unit-acquired infection related to multidrug-resistant bacteria: A prospective uncontrolled before–after study. Clin. Microbiol. Infect. 2016, 22, 888.e11–888.e18. [Google Scholar] [CrossRef]
- Kernéis, S.; Lucet, J.C. Controlling the Diffusion of Multidrug-Resistant Organisms in Intensive Care Units. Semin. Respir. Crit. Care Med. 2019, 40, 558–568. [Google Scholar] [CrossRef]
- Kalın, G.; Alp, E.; Chouaikhi, A.; Roger, C. Antimicrobial Multidrug Resistance: Clinical Implications for Infection Management in Critically Ill Patients. Microorganisms 2023, 11, 2575. [Google Scholar] [CrossRef]
- McCrink, K.A.; DeRonde, K.J.; Jimenez, A.; Rosello, G.; Natori, Y.; Claeys, K.C.; Martinez, O.V.; De Pascale, B.; Perez-Cardona, A.; Abbo, L.M.; et al. Impact of a real-time diagnostic and antimicrobial stewardship workflow on time to appropriate therapy for infections caused by multidrug-resistant Gram-negative organisms. Int. J. Antimicrob. Agents 2023, 61, 106811. [Google Scholar] [CrossRef]
- Gbaguidi-Haore, H.; Legast, S.; Thouverez, M.; Bertrand, X.; Talon, D. Ecological Study of the Effectiveness of Isolation Precautions in the Management of Hospitalized Patients Colonized or Infected With Acinetobacter baumannii. Infect. Control Hosp. Epidemiol. 2008, 29, 1118–1123. [Google Scholar] [CrossRef]
- Abad, C.; Fearday, A.; Safdar, N. Adverse effects of isolation in hospitalised patients: A systematic review. J. Hosp. Infect. 2010, 76, 97–102. [Google Scholar] [CrossRef]
- Marra, A.R.; Edmond, M.B.; Schweizer, M.L.; Ryan, G.W.; Diekema, D.J. Discontinuing contact precautions for multidrug-resistant organisms: A systematic literature review and meta-analysis. Am. J. Infect. Control 2018, 46, 333–340. [Google Scholar] [CrossRef] [PubMed]
- Morgan, D.J.; Wenzel, R.P.; Bearman, G. Contact precautions for endemic MRSA and VRE: Time to retire legal mandates. JAMA 2017, 318, 329–330. [Google Scholar] [CrossRef] [PubMed]
- Saint, S.; Higgins, L.A.; Nallamothu, B.K.; Chenoweth, C. Do physicians examine patients in contact isolation less frequently? A brief report. Am. J. Infect. Control 2003, 31, 354–356. [Google Scholar] [CrossRef] [PubMed]
- Thomas Stelfox, H.; Bates, D.W.; Redelmeier, D.A. Safety of Patients Isolated for Infection Control. JAMA 2003, 290, 1899–1905. Available online: http://jama.jamanetwork.com/ (accessed on 30 March 2024). [CrossRef] [PubMed]
- Zahar, J.R.; Garrouste-Orgeas, M.; Vesin, A.; Schwebel, C.; Bonadona, A.; Philippart, F.; Ara-Somohano, C.; Misset, B.; Timsit, J.F. Impact of contact isolation for multidrug-resistant organisms on the occurrence of medical errors and adverse events. Intensiv. Care Med. 2013, 39, 2153–2160. [Google Scholar] [CrossRef]
- Álvarez Lerma, F.; Granado Solano, J.; García Sanz, A.; López Martínez, C.; Herrera Sebastián, R.; Salvat Cobeta, C.; Rey Pérez, A.; Balaguer Blasco, R.M.; Plasencia, V.; Horcajada, J.P. Optimización de los aislamientos preventivos en una UCI polivalente mediante la aplicación de un plan de intervención. Med. Intensiv. 2015, 39, 543–551. [Google Scholar] [CrossRef] [PubMed]
- Cooper, B.S.; Stone, S.P.; Kibbler, C.C.; Cookson, B.D.; Roberts, J.A.; Medley, G.F.; Duckworth, G.; Lai, R.; Ebrahim, S. Isolation measures in the hospital management of methicillin resistant Staphylococcus aureus (MRSA): Systematic review of the literature. BMJ 2004, 329, 533. [Google Scholar] [CrossRef][Green Version]
- Djibré, M.; Fedun, S.; Le Guen, P.; Vimont, S.; Hafiani, M.; Fulgencio, J.-P.; Parrot, A.; Denis, M.; Fartoukh, M. Universal versus targeted additional contact precautions for multidrug-resistant organism carriage for patients admitted to an intensive care unit. Am. J. Infect. Control 2017, 45, 728–734. [Google Scholar] [CrossRef]
- Domenech De Cellès, M.; Zahar, J.R.; Abadie, V.; Guillemot, D. Limits of patient isolation measures to control extended-spectrum beta-lactamase-producing Enterobacteriaceae: Model-based analysis of clinical data in a pediatric ward. BMC Infect. Dis. 2013, 13, 187. Available online: http://www.biomedcentral.com/1471-2334/13/187 (accessed on 30 March 2024). [CrossRef]
- GTEIS—Semicyuc. Sociedad Española de Medicina Intensiva, Crítica y Unidades Coronarias Grupo de Trabajo de Enfermedades Infecciosas “Estudio Nacional de Vigilancia de Infección Nosocomial en uci”. Envin-Helics 2023. Available online: https://hws.vhebron.net/envin-helics/ (accessed on 31 March 2024).
- López-Pueyo, M.J.; Barcenilla-Gaite, F.; Amaya-Villar, R.; Garnacho-Montero, J. Multirresistencia antibiotica en unidades de criticos. Med. Intensiv. 2011, 35, 41–53. [Google Scholar] [CrossRef]
- Álvarez-Lerma, F.; Palomar, M.; Olaechea, P.; Otal, J.J.; Insausti, J.; Cerdá, E.; Grupo de estudio de Vigilancia de Infección Nosocomial en UCI. Estudio nacional de vigilancia de infección nosocomial en unidades de cuidados intensivos. Informe evolutivo de los años 2003–2005. Med Intensiv. 2007, 31, 6–17. [Google Scholar] [CrossRef]
- López-Pueyo, M.J.; Olaechea-Astigarraga, P.; Palomar-Martínez, M.; Insausti-Ordeñana, J.; Álvarez-Lerma, F. Quality control of the surveillance programme of ICU-acquired infection (ENVIN-HELICS registry) in Spain. J. Hosp. Infect. 2013, 84, 126–131. [Google Scholar] [CrossRef]
- Lucet, J.C.; Chevret, S.; Durand-Zaleski, I.; Chastang, C.; Régnier, B. Prevalence and Risk Factors for Carriage of Methicillin-Resistant Staphylococcus aureus at Admission to the Intensive Care Unit Results of a Multicenter Study. Arch. Intern. Med. 2003, 163, 181–188. Available online: http://archinte.jamanetwork.com/ (accessed on 12 October 2023). [CrossRef]
- Vasudevan, A.; Mukhopadhyay, A.; Li, J.; Yuen, E.G.Y.; Tambyah, P.A. A prediction tool for nosocomial multi-drug resistant gram-negative bacilli infections in critically ill patients - prospective observational study. BMC Infect. Dis. 2014, 14, 615. [Google Scholar] [CrossRef] [PubMed]
- Zasowski, E.J.; Trinh, T.D.; Claeys, K.C.; Dryden, M.; Shlyapnikov, S.; Bassetti, M.; Carnelutti, A.; Khachatryan, N.; Kurup, A.; Cejudo, A.P.; et al. International Validation of a Methicillin-Resistant Staphylococcus aureus Risk Assessment Tool for Skin and Soft Tissue Infections. Infect. Dis. Ther. 2022, 11, 2253–2263. [Google Scholar] [CrossRef]
- Collins, G.S.; Reitsma, J.B.; Altman, D.G.; Moons, K.G.M. Transparent reporting of a multivariable prediction model for individual prognosis or diagnosis (TRIPOD): The TRIPOD statement. BMJ 2015, 7, 350. [Google Scholar] [CrossRef] [PubMed]
- Lundberg, S.M.; Erion, G.; Chen, H.; DeGrave, A.; Prutkin, J.M.; Nair, B.; Katz, R.; Himmelfarb, J.; Bansal, N.; Lee, S.-I. From local explanations to global understanding with explainable AI for trees. Nat. Mach. Intell. 2020, 2, 56–67. [Google Scholar] [CrossRef] [PubMed]






| Variable | ALL PATIENTS n = 2459 | DEVELOPMENT n = 1750 | VALIDATION n = 709 | p-Value |
|---|---|---|---|---|
| Age (years) | 59.4 ± 16 | 59.0 ± 16 | 60.2 ± 16 | 0.089 |
| Gender (% male) | 1547 (62.9) | 1092 (62.4) | 455 (64.2) | 0.409 |
| Medical history | ||||
| DM | 646 (26.3) | 450 (25.7) | 196 (27.6) | 0.325 |
| COPD | 328 (13.3) | 229 (13.1) | 99 (14.0) | 0.562 |
| CKD | 729 (29.6) | 532 (30.4) | 197 (27.8) | 0.198 |
| Neutropenia | 33 (1.3) | 16 (2.3) | 17 (1.0) | 0.121 |
| Immunosuppression | 241 (9.8) | 177 (10.1) | 64 (9.0) | 0.411 |
| Neoplasia | 820 (33.3) | 572 (32.7) | 248 (35.0) | 0.275 |
| Cirrhosis | 94 (3.8) | 73 (4.2) | 21 (3.0) | 0.157 |
| Solid organ transplant | 21 (0.9) | 16 (1.0) | 17 (2.3) | 0.120 |
| Origin | 0.833 | |||
| ED | 1864 (75.8) | 1332 (76.1) | 532 (75.0) | |
| Nursing home | 24 (1.0) | 18 (1.0) | 6 (0.8) | |
| Hospital ward | 540 (22.0) | 377 (21.5) | 163 (23.0) | |
| Other ICU | 31 (1.3) | 23 (1.3) | 8 (1.1) | |
| Diagnostic | 0.763 | |||
| Medical | 1063 (43.2) | 764 (43.7) | 299 (42.2) | |
| Elective surgery | 800 (32.5) | 572 (32.7) | 228 (32.2) | |
| Urgent surgery | 261 (10.6) | 182 (10.4) | 79 (11.1) | |
| Trauma | 335 (13.6) | 232 (13.3) | 103 (14.5) | |
| TYPE (Medical + urgent surgery) | 1324 (53.8) | 946 (54.1) | 378 (53.3) | 0.738 |
| Any RZ criterion | 803 (32.7) | 575 (32.9) | 228 (32.2) | 0.738 |
| RZ isolation criterion | ||||
| Prior hospital admission | 635 (25.8) | 460 (26.3) | 175 (24.7) | 0.411 |
| Institutionalized | 51 (2.1) | 37 (2.1) | 14 (2.0) | 0.826 |
| Previous colonization | 65 (2.6) | 41 (2.3) | 24 (3.4) | 0.144 |
| Previous ATB treatment | 325 (13.2) | 232 (13.3) | 93 (13.1) | 0.926 |
| Dialysis | 25 (1.0) | 19 (1.1) | 6 (0.8) | 0.592 |
| Chronic patient | 60 (2.4) | 40 (2.3) | 20 (2.8) | 0.436 |
| ATB at ICU ADMISSION | 1326 (53.9) | 955 (54.6) | 371 (52.3) | 0.312 |
| APACHE II (score) | 12 (7–20) | 12 (7–20) | 13 (7–19) | 0.290 |
| ICU length of stay (days) | 3 (2–8) | 3 (2–7) | 3 (2–9) | 0.677 |
| Hospital mortality n (%) | 191 (7.8%) | 135 (7.7%) | 56 (7.9%) | 0.877 |
| Variable | ESBL n = 92 | MRSA n = 78 | P. aeruginosa n = 24 | A. baumannii n = 13 | OTHERS n = 15 |
|---|---|---|---|---|---|
| Age (years) | 61.7 ± 16 | 59.6 ± 16 | 63.9 ± 13 | 63.6 ± 13 | 67.0 ± 12 |
| Gender (% male) | 53 (57.6) | 55 (70.5) | 20 (83.3) | 11 (84.6) | 13 (86.7) |
| Medical history | |||||
| DM | 39 (42.4) | 30 (38.5) | 5 (20.8) | 3 (23.1) | 3 (20.0) |
| COPD | 22 (23.9) | 17 (21.8) | 6 (25.0) | 0 | 3 (20.0) |
| CKD | 40 (43.5) | 35 (44.9) | 13 (54.2) | 6 (46.2) | 10 (66.7) |
| Neutropenia | 0 | 1 (1.3) | 3 (12.5) | 0 | 0 |
| Inmunosuppression | 13 (14.1) | 3 (3.8) | 10 (41.7) | 2 (15.4) | 3 (20.0) |
| Neoplasia | 31 (33.7) | 16 (20.5) | 11 (45.8) | 3 (23.1) | 5 (33.3) |
| Cirrhosis | 8 (8.7) | 3 (3.8) | 2 (8.3) | 2 (15.4) | 2 (13.3) |
| Solid organ transplant | 0 | 2 (2.6) | 2 (8.3) | 3 (23.1) | 1 86.7) |
| Origin | |||||
| ED | 52 (56.5) | 50 (64.1) | 9 (37.5) | 8 (61.5) | 5 (33.3) |
| Nursing home | 2 (2.2) | 0 | 2 (8.3) | 0 | 0 |
| Hospital ward | 34 (37.0) | 26 (33.3) | 13 (54.2) | 5 (38.5) | 10 (66.7) |
| Other ICU | 4 (4.3) | 2 (2.6) | 0 | 0 | 0 |
| Diagnostic | |||||
| Medical | 63 (68.5) | 45 (57.7) | 15 (62.5) | 6 (46.2) | 8 (53.3) |
| Elective surgery | 14 (15.2) | 18 (23.1) | 4 (16.7) | 1 (7.7) | 0 |
| Urgent surgery | 10 (10.9) | 8 (10.3) | 4 (16.7) | 3 (23.1) | 6 (40.0) |
| Trauma | 5 (5.4) | 7 (9.0) | 1 (4.2) | 3 (23.1) | 1 (6.7) |
| TYPE (Medical + urgent surgery) | 73 (79.3) | 53 (67.9) | 19 (79.2) | 9 (69.2) | 14 (93.3) |
| Any RZ criterion | 61 (66.3) | 40 (51.3) | 23 (95.8) | 6 (46.2) | 13 (86.7) |
| RZ isolation criterion | |||||
| Prior hospital admission | 45 (48.9) | 30 (38.5) | 18 (75.0) | 6 (46.2) | 13 (86.7) |
| Institucionalized | 8 (8.7) | 5 (6.4) | 2 (8.3) | 0 | 0 |
| Previous colonization | 18 (19.6) | 17 (21.8) | 8 (33.3) | 0 | 1 (6.7) |
| Previous ATB treatment | 40 (43.5) | 20 (25.6) | 14 (58.3) | 4 (30.8) | 8 (53.3) |
| Dyalisis | 2 (2.2) | 4 (5.1) | 0 | 1 (7.7) | 0 |
| Chronic patient | 4 (4.3) | 4 (5.1) | 2 (8.3) | 0 | 0 |
| ATB at ICU ADMISSION | 67 (72.8) | 52 (66.7) | 20 (83.3) | 11 (84.6) | 14 (93.3) |
| APACHE II (score) | 17 (10–26) | 16 (11–23) | 19 (14–23) | 21 (10–27) | 23 (14–30) |
| Hospital mortality n (%) | 9 (9.8) | 9 (11.5) | 3 (12.5) | 2 (15.4) | 3 (20.0) |
| Variable | NO MRD n = 1600 | MRD n = 150 | p-Value | OR (CI 95%) | |
|---|---|---|---|---|---|
| Age (years) | 58.9 ± 16 | 60.2 ± 17 | 0.270 | 1.00 (0.90–1.01) | |
| Gender (% male) | 985 (61.6) | 107 (71.3) | 0.018 | 1.55 (1.07–2.24) | C |
| Medical history | |||||
| DM | 398 (24.9) | 52 (34.7) | 0.009 | 1.60 (1.12–2.28) | C |
| COPD | 199 (12.4) | 30 (20.0) | 0.009 | 1.76 (1.15–2.70) | C |
| CKD | 462 (28.9) | 70 (46.7) | <0.001 | 2.15 (1.53–3.02) | C |
| Neutropenia | 15 (0.9) | 2 (1.3) | 0.636 | 1.42 (0.32–6.30) | |
| Inmunosuppression | 154 (9.6) | 23 (15.3) | 0.027 | 1.70 (1.05–2.73) | C |
| Neoplasia | 528 (33.0) | 44 (29.3) | 0.360 | 0.84 (0.58–1.22) | |
| Cirrhosis | 60 (3.8) | 13 (8.7) | 0.004 | 2.44 (1.30–4.55) | C |
| Solid organ tarnsplant | 11 (0.7) | 6 (4.0) | <0.001 | 6.01 (2.19–16.5) | C |
| Origin | <0.001 | C | |||
| ED | 1246 (77.9) | 86 (57.3) | |||
| Nursing home | 15 (0.9) | 3 (2.0) | |||
| Hospital ward | 322 (20.1) | 55 (36.7) | |||
| Other ICU | 17 (1.1) | 6 (4.0) | |||
| Diagnostic | <0.001 | ||||
| Medical | 674 (42.1) | 90 (60.0) | |||
| Elective surgery | 550 (34.4) | 22 (14.7) | |||
| Urgent surgery | 160 (10.0) | 22 (14.7) | |||
| Trauma | 216 (13.5) | 16 (10.7) | |||
| TYPE (Medical + Urgent surgery) | 834 (52.1) | 112 (74.7) | <0.001 | 2.70 (1.85–3.96) | C |
| Any RZ criterion | 481 (30.1) | 94 (62.7) | <0.001 | 3.90 (2.76–5.53) | |
| RZ isolation criterion | |||||
| Prior hospital admission | 384 (24.0) | 76 (50.7) | <0.001 | 3.25 (2.31–4.57) | C |
| Institucionalized | 28 (1.8) | 9 (6.0) | <0.001 | 3.58 (1.66–7.74) | C |
| Previous colonization | 18 (1.1) | 23 (15.3) | <0.001 | 15.9 (8.37–30.2) | C |
| Previous ATB treatment | 174 (10.9) | 58 (38.7) | <0.001 | 5.17 (3.59–7.44) | C |
| Dialysis | 16 (1.0) | 3 (2.0) | 0.258 | 2.02 (0.58–7.01) | |
| Chronic patient | 35 (2.2) | 5 (3.3) | 0.369 | 1.54 (0.59–3.58) | |
| ATB at ICU ADMISSION | 845 (52.8) | 110 (73.3) | <0.001 | 2.46 (1.69–3.58) | C |
| APACHE II (score) | 12 (7–19) | 16 (11–25) | <0.001 | ||
| ICU length of stay (days) | 3 (2–7) | 5 (2–9) | 0.001 | ||
| Hospital mortality n (%) | 119 (7.4) | 16 (10.7) | 0.156 |
| Variable | β Coefficient | OR (CI 95 %) | p-Value | Score |
|---|---|---|---|---|
| Previous colonization | 2.267 | 9.7 (4.8–19.3) | <0.001 | 4 |
| Previous ATB treatment | 1.034 | 2.8 (1.8–4.4) | <0.001 | 2 |
| Institucionalizad patient | 1.014 | 2.8 (1.2–6.5) | 0.019 | 2 |
| ATB at ICU admission | 0.575 | 1.8 (1.2–2.7) | 0.006 | 1 |
| Prior hospital admission | 0.519 | 1.7 (1.1–2.5) | 0.016 | 1 |
| Renal failure | 0.427 | 1.5 (1.1–2.2) | 0.025 | 1 |
Disclaimer/Publisher’s Note: The statements, opinions and data contained in all publications are solely those of the individual author(s) and contributor(s) and not of MDPI and/or the editor(s). MDPI and/or the editor(s) disclaim responsibility for any injury to people or property resulting from any ideas, methods, instructions or products referred to in the content. |
© 2025 by the authors. Licensee MDPI, Basel, Switzerland. This article is an open access article distributed under the terms and conditions of the Creative Commons Attribution (CC BY) license (https://creativecommons.org/licenses/by/4.0/).
Share and Cite
Carvalho-Brugger, S.; Miralbés Torner, M.; Jiménez, G.J.; Vallverdú Vidal, M.; Balsera Garrido, B.; Casals, X.N.; Martínez, M.P.; Trujillano Cabello, J. Machine Learning Models to Establish the Risk of Being a Carrier of Multidrug-Resistant Bacteria upon Admission to the ICU. Antibiotics 2025, 14, 889. https://doi.org/10.3390/antibiotics14090889
Carvalho-Brugger S, Miralbés Torner M, Jiménez GJ, Vallverdú Vidal M, Balsera Garrido B, Casals XN, Martínez MP, Trujillano Cabello J. Machine Learning Models to Establish the Risk of Being a Carrier of Multidrug-Resistant Bacteria upon Admission to the ICU. Antibiotics. 2025; 14(9):889. https://doi.org/10.3390/antibiotics14090889
Chicago/Turabian StyleCarvalho-Brugger, Sulamita, Mar Miralbés Torner, Gabriel Jiménez Jiménez, Montserrat Vallverdú Vidal, Begoña Balsera Garrido, Xavier Nuvials Casals, Mercedes Palomar Martínez, and Javier Trujillano Cabello. 2025. "Machine Learning Models to Establish the Risk of Being a Carrier of Multidrug-Resistant Bacteria upon Admission to the ICU" Antibiotics 14, no. 9: 889. https://doi.org/10.3390/antibiotics14090889
APA StyleCarvalho-Brugger, S., Miralbés Torner, M., Jiménez, G. J., Vallverdú Vidal, M., Balsera Garrido, B., Casals, X. N., Martínez, M. P., & Trujillano Cabello, J. (2025). Machine Learning Models to Establish the Risk of Being a Carrier of Multidrug-Resistant Bacteria upon Admission to the ICU. Antibiotics, 14(9), 889. https://doi.org/10.3390/antibiotics14090889

