Next Article in Journal
Gene emrC Associated with Resistance to Quaternary Ammonium Compounds Is Common among Listeria monocytogenes from Meat Products and Meat Processing Plants in Poland
Next Article in Special Issue
Combatting Pseudomonas aeruginosa with β-Lactam Antibiotics: A Revived Weapon?
Previous Article in Journal
The Effect of Antibiotics on the Eradication of Multidrug-Resistant Organisms in Intestinal Carriers—A Systematic Review with Meta-Analysis
Previous Article in Special Issue
Antimicrobial Metabolites of Caucasian Medicinal Plants as Alternatives to Antibiotics
 
 
Font Type:
Arial Georgia Verdana
Font Size:
Aa Aa Aa
Line Spacing:
Column Width:
Background:
Article

Anticandidal Properties of Launaea sarmentosa among the Salt Marsh Plants Collected from Palk Bay and the Gulf of Mannar Coast, Southeastern India

by
Smriti Das
1,†,
Karuppannagounder Rajan Priyanka
1,
Kolandhasamy Prabhu
1,
Ramachandran Vinayagam
2,†,
Rajendran Rajaram
1,* and
Sang Gu Kang
2,*
1
Department of Marine Science, School of Marine Sciences, Bharathidasan University, Tiruchirappalli 620 024, Tamil Nadu, India
2
Department of Biotechnology, Institute of Biotechnology, College of Life and Applied Sciences, Yeungnam University, 280 Daehak-Ro, Gyeongsan 38541, Gyeongsangbuk-do, Republic of Korea
*
Authors to whom correspondence should be addressed.
These authors contributed equally to this work.
Antibiotics 2024, 13(8), 748; https://doi.org/10.3390/antibiotics13080748
Submission received: 28 June 2024 / Revised: 6 August 2024 / Accepted: 7 August 2024 / Published: 9 August 2024

Abstract

Tidal wetlands, commonly known as salt marshes, are highly productive ecosystems in temperate regions worldwide. These environments constitute a unique flora composed primarily of salt-tolerant herbs, grasses, and shrubs. This study investigated the therapeutic properties of ten salt marsh plants collected mainly from Palk Bay and Mannar Gulf against Candida disease. This study examined the changes in natural plant products associated with their anti-Candida growth activity during two distinct seasonal changes—monsoon and summer. The potential of the salt marshes to inhibit the growth of five different Candida strains was assessed using four solvents. In phytochemical analysis, the extracts obtained from a Launaea sarmentosa exhibited the highest results compared to the other plant extracts. Fourier transform infrared spectroscopy revealed 12 peaks with alkane, aldehyde, amine, aromatic ester, phenol, secondary alcohol, and 1,2,3,4-tetrasubstituted. Gas-chromatography–mass spectrometry detected 30 compounds. Cyclotetracosane, lupeol, β-amyrin, and 12-oleanen-3-yl acetate showed the highest peak range. In particular, plant samples collected during the monsoon season were more effective in preventing Canda growth than the summer plant samples. In the monsoon season, the salt marsh plant extracted with ethyl acetate showed a high anti-Candida growth activity, while in the summer, the acetone extract exhibited a higher anti-Candida growth activity than the other solvents. The hexane extract of L. sarmentosa showed the highest inhibition zone against all Candidal strains. Furthermore, compounds, such as β-amyrin, lupeol, and oxirane, from the hexane extract of L. sarmentosa play a vital role in anti-Candida activity. This paper reports the potential of tidal marsh plant extracts for developing new antifungal agents for Candida infections.

1. Introduction

Candida, a yeast under the kingdom fungi, is a typical organism found all over the body, including the oral cavity and mucous membrane of reproductive and gastrointestinal organs. Up to 80% of people with good health have been susceptible to the most prevalent fungal infections, such as candidiasis. The severity of invasive candidiasis can range from mild candidemia with limited symptoms to a life-threatening condition of fulminant sepsis, where the associated mortality rate exceeds 70% [1]. Among the 150 distinct varieties of Candida spp., few have the potential to infect humans. Among these, Candida albicans is the most pathogenic [2] and one of the crucial fungal pathogens in humans, which is normally not harmful but a symbiotic organism. For individuals with compromised immune systems, it is an opportunistic pathogen that is responsible for painful mucosal infections, such as vaginitis for women and oropharyngeal candidiasis for AIDS patients. Several steps are essential for preventing the spread of Candida, including maintaining good hygiene and utilizing appropriate infection control measures in healthcare settings [3,4].
The marine environment has an astonishing array of life forms, ranging from microscopic to massive organisms. Marine ecosystems harbor over 80% of the world’s species, with many still undiscovered [5]. Marine wetlands are a prosperous and significant ecosystem that delivers a variety of cultural and environmental advantages and are now categorized as an ecosystem servicer, which provides services, namely water quality maintenance, C-sequestration, atmospheric gas regulation, shoreline protection, and maintaining distinctive indigenous biota [6]. Nevertheless, these ecosystems comprise only 1.5% of the planet’s surface, while providing 40% of the ecosystem services worldwide [7]. Recently, wetlands have attracted increasing attention from ecology and conservation standpoints. Halophytes, a wetland vegetation that can thrive and grow in extreme salt environments, are globally distributed and serve as a great ecosystem with huge productivity, mainly in equatorial regions. As a transitional region, salt marshes can be found among terrestrial and marine ecosystems [8]. Salt marsh plants have long been used for medicinal purposes owing to their unique biochemical properties and adaptations to harsh saline environments. Salt marsh plants have been used in various industries, such as the food and cosmetics industries, owing to their bioactive compounds and tolerance adaptability [8]. Many salt marsh plants have promising antioxidant, antimicrobial, anti-inflammatory, and anticancer properties, with additional recreational and pharmaceutical uses. Recently, researchers have been exploring the potential of salt marsh plants as sources of novel compounds with biological activities. Several studies have evaluated anticandidal compounds in terrestrial plants [9,10], but no compound-level studies have been conducted in salt marsh plants. Hence, this study focused primarily on the anticandidal properties of different salt marsh plants collected from southeastern coastal India.

2. Results and Discussion

The results highlight the phytochemical constituents and anticandidal potential of various salt marsh plant extracts collected during two distinct seasons (monsoon and summer) and tested against five distinct Candidal strains using four solvents—ethyl acetate, acetone, hexane, and methanol. During sample collection, regular monitoring of salt marsh plants was carried out to determine the availability of the samples in the sampling sites. The resulting activity based on the seasonal variation is reported in table form. Ethyl acetate exhibited promising activity for all plant extracts against most of the Candida strains, but the hexane extract of L. sarmentosa showed higher activity against all Candida species.

2.1. Phytochemical Screening

This study examined the most active solvent extracts from salt marsh plants among 10 samples. The extracts showed the maximum efficacy when the acetone, ethyl acetate, and hexane extracts derived from H. curassavicum, S. portulacastrum, S. maritima, and Launaea sarmentosa were used. The acetone and ethyl acetate extract of H. curassavicum, S. portulacastrum, S. maritima, and L. sarmentosa, as well as the hexane extract of Launaea sarmentosa, exhibited various phytochemical components with significant importance in the pharmaceutical field. The phytochemical components tested were alkaloids, glycosides, flavonoids, steroids, phenolic groups, saponins, coumarin, quinines, tannins, and terpenoids, as shown in Table 1 and Figures S5–S7. The extracts obtained from L. sarmentosa showed maximum activity for all the chemical constituents compared to the other plant extracts. The ethyl acetate extract of L. sarmentosa contained almost all of its chemical constituents. Kader et al. [11] conducted a phytochemical screening and antimicrobial evaluation of various fractions of the ethanolic extract of L. sarmentosa to search for possible candidates for killing multidrug-resistant microbes. They reported the presence of alkaloids, flavonoids, glycosides, steroids, terpenoids, phenolic compounds, and carbohydrates in the ethyl acetate extract of Launaea sarmentosa, but reported the absence of tannins and saponins. In contrast, in this investigation, the ethyl acetate extract of the same species did contained tannin. After L. sarmentosa, S. maritima exhibited the maximum presence of all the constituents. Among all the extracts of S. maritima, the acetone extract showed the maximum result for almost all constituents. Akbar et al. [12] explained that the ethyl acetate extract of H. curassavicum confirmed the presence of alkaloids, saponins, tannins, flavonoids, steroids, terpenoids, glycosides, phenols, and coumarin but the absence of quinone. In contrast, the current study confirmed the presence of quinone, but saponin was absent in the H. curassavicum extract. Among all the phytochemical constituent alkaloids, tannin and terpenoids are present in every solvent extract. On the other hand, saponin exhibited the lowest level among all extracts. During this investigation, phenolic groups were observed in every crude extract, indicating the antifungal activities in these plants.

2.2. Anticandidal Assay

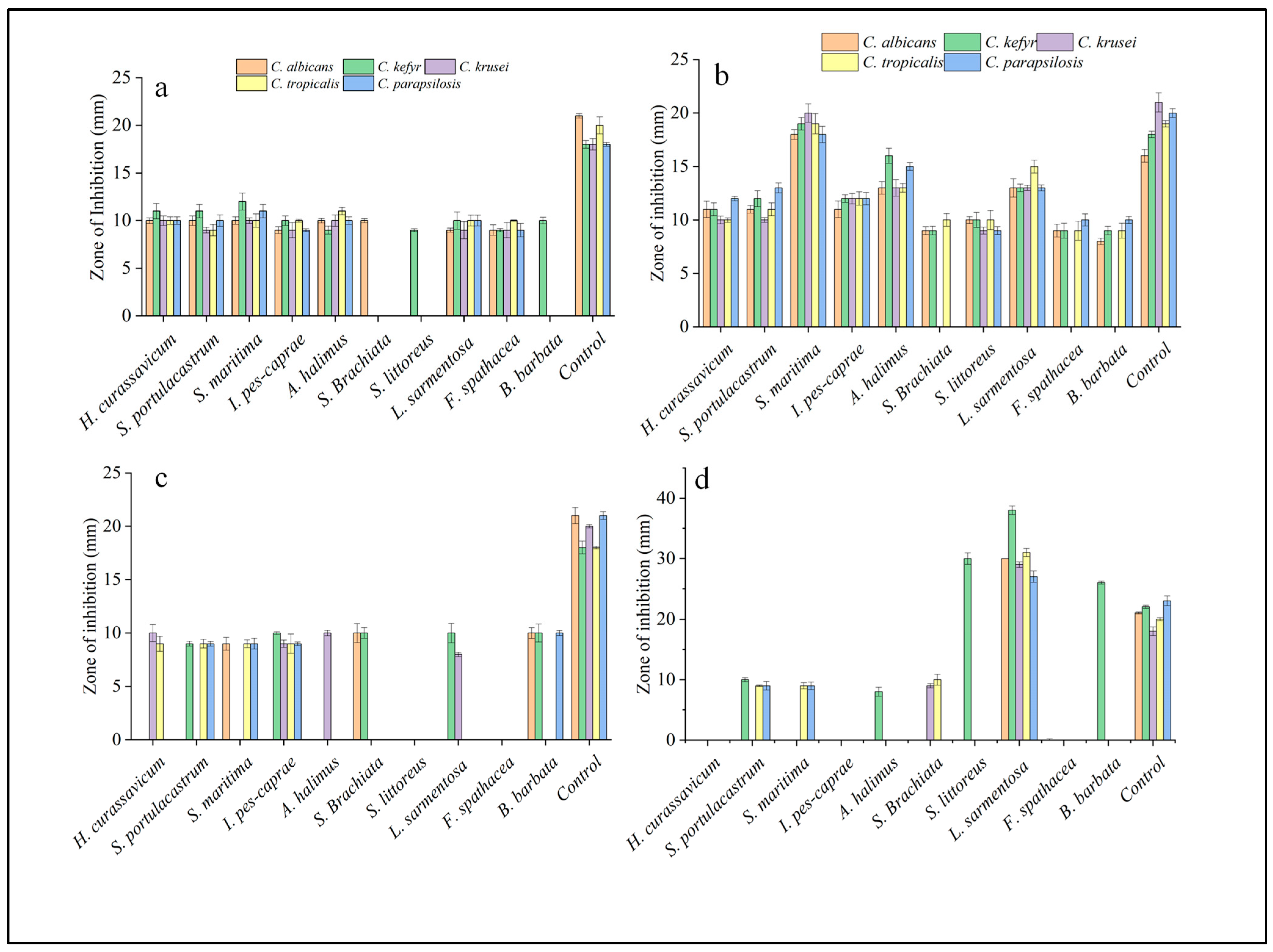
Regarding the samples obtained during the monsoon period, ethyl acetate and acetone extracts exhibited the highest activity, followed by methanol and hexane (Figures S1–S4). The extracts obtained from ethyl acetate for all the samples showed promising results. Among them, S. maritima demonstrated the maximum inhibition zone against C. krusei (20 ± 0.86 mm), followed by Atriplex halimus against C. kefyr (16 ± 0.7 mm) and L. sarmentosa against C. tropicalis (15 ± 0.61 mm). Mohamed et al. [13] expressed S. maritima as a traditional medicine used to treat malaria. Atriplex halimus, as reported by El-Aasr et al. [14], exhibited a wide-ranging antimicrobial effect through the isolation of four flavanol glycosides, isorhamnetin 3-O-β-D-rutinoside (narcissin), syringetin 3-Oβ-D-rutinoside, artiplexoside A, and syringetin 3-O-β-D-glucopyranoside, in which artiplexoside A is an anticandidal agent. Kader et al. [11] reported that the ethyl acetate extract of L. sarmentosa has a potential antifungal activity (13 ± 0.87 mm against C. albicans). The acetone extract of S. maritima showed the highest activity against C. kefyr (12 ± 0.9 mm); the acetone extract of S. littoreus showed minimum activity against all pathogenic strains followed by B. barbata. Although hexane showed less activity, the extract from Launaea sarmentosa showed an impressive result with a maximum inhibition zone against C. kefyr (38 ± 0.71 mm) and with minimum inhibition against C. parapsilosis (27 ± 0.94 mm) (Table 2). Fluconazole was used as the positive control. Based on the present investigation, compared to the positive control, the hexane extract of L. sarmentosa showed a higher zone of inhibition. The maximum zone of inhibition in fluconazole was 23 ± 0.8 mm, whereas L. sarmentosa showed 29 ± 0.46–38 ± 0.71 mm inhibition against the tested Candida strains. Kader et al. [11] reported that L. sarmentosa exhibited antibacterial and antifungal potentiality with the presence of several phytochemical constituents, such as flavonoids, alkaloids, steroids, tannins, and phenolic compounds, which demonstrates the possibility for the formulation of innovative and potent antimicrobial treatments. In addition, the hexane extract of S. littoreus and B. barbata exhibited a promising result against C. kefyr. The activity sequence of the extract taken in the monsoon was ethyl acetate > acetone > methanol > hexane (Figure 1). The summer sample exhibited less activity than the monsoon sample. In summer, the acetone solvent extract exhibited maximum potential, followed by ethyl acetate, methanol, and hexane (Table 3). The activity sequence of solvent extracts in the summer season was acetone > ethyl acetate > methanol > hexane (Figure 2).
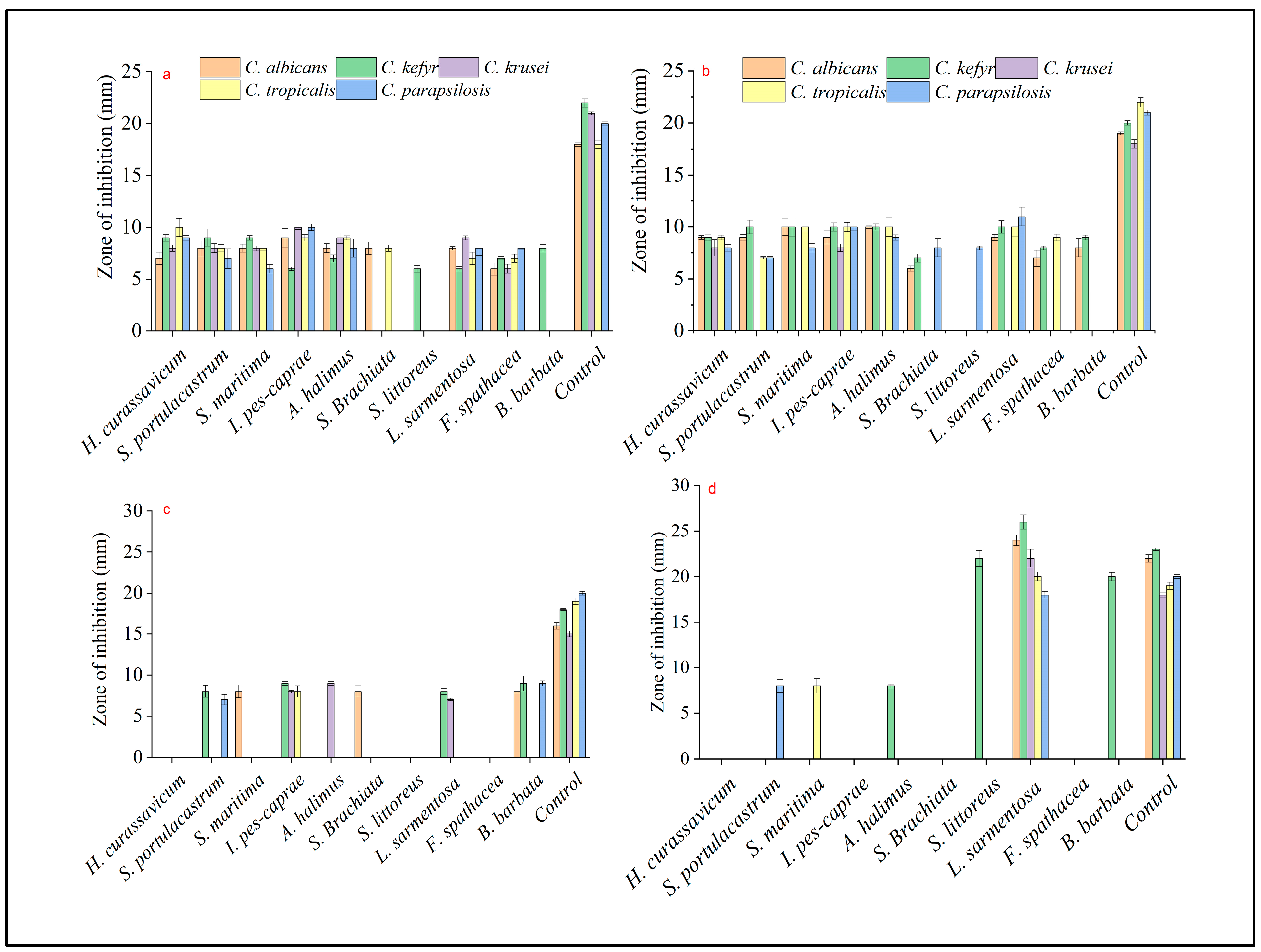
Among all the acetone extracts, H. curassavicum showed the maximum inhibition zone against C. tropicalis (10 ± 0.87 mm), while S. littoreus barely showed any activity. Ghori et al. [15] examined H. curassavicum, an important medicinal plant used traditionally for various purposes, such as for skin diseases, poisonous bites, gout, inflammation, and menstrual disorders. In contrast, this plant has significant biological properties, such as antiviral, wound healing, antitumor, phytotoxicity, and anti-inflammatory activities, with important pharmacogenetic properties. Ethyl acetate showed good results for almost all the Candidal pathogens. Among them, the extract of L. sarmentosa showed the maximum inhibition zone against C. parapsilosis (11 ± 0.9 mm), while S. Brachiata exhibited the lowest inhibition zone against C. albicans. The Spinifex littoreus extract barely showed any activity. The methanol solvent extract showed an average activity against all the Candidal pathogens. Although hexane showed less activity overall, the L. sarmentosa extract combined with hexane showed the highest activity among the four solvent extracts (summer sample) with a maximum zone of inhibition (26 ± 0.78 mm) against C. kefyr. In contrast, the same extract showed the minimum inhibition zone against C. parapsilosis (Figure 3). Prapasanobol [16] reported that L. sarmentosa has potential anti-mycobacterium tuberculosis activity with alkaloids, steroids, and flavonoids. The hexane extract of L. sarmentosa was examined based on the anticandidal analysis. The activity sequence of the extract in the monsoon season was ethyl acetate > acetone > methanol > hexane, and the activity sequence of the solvent extract in the summer season was acetone > ethyl acetate > methanol > hexane. The monsoon samples showed more activity than the summer samples.

2.3. FT-IR Spectroscopy

The spectrum of the hexane extract of L. sarmentosa exhibited 12 peaks. The first peak at 2916.81 cm−1 was assigned to the N–H stretching vibration, which shows amine salt. The C–H stretching and C–H bending vibrations were observed at 2849.31 and 1461.78 cm−1, respectively; the presence of flavonoids and tannins was signaled by these bands [17]. The band region of other peaks at 802.242, 1027.87, and 1260.25 cm−1 were attributed to the 1,4-disubstituted or 1,2,3,4-tetrasubstituted, amine, and aromatic ester groups. Figure 4 and Table 4 show the peaks with the corresponding groups. The strong and sharp band, along with the N–H stretching vibration, indicated the presence of aromatic and aliphatic amine groups.

2.4. GC-MS Analysis

GC-MS was used to examine the composition of chemical constituents present in the hexane extract of L. sarmentosa. Figure 5 and Table 5 show the 30 active compounds identified from the hexane extract of L. sarmentosa. The major compounds characterized included β-amyrin, lupeol, oxirane, pentadecane, cyclotetracosane, and hexadecane, followed by cyclopropane, 2-bromo-1,1,3-trimethyl-2,6,10-trimethyl-, tetradecyl fluoride, 1-methoxy-3-(2-hydroxyethyl)nonane, cyclotrisiloxane, trimethyl[4-(1,1,3,3,-tetramethylbutyl) phenoxy]silane, heptadecane, hexadecane, and silane. Despite the insufficient data for L. sarmentosa species, Hanh et al. [18] examined the methanolic root extract of L. sarmentosa. They reported compounds such as α- and β-amyrin and Lupeol, similar to the current investigation. According to Melo et al. [19], the β-amyrin obtained from the wood resin of Protium heptaphyllum exhibits an inhibitory activity against acute pancreatitis. Ahsan et al. [20] obtained eicosane from Streptomyces, which helps to control tobacco leaf spot disease. Beema Shafreen et al. [21] used the molecular docking method to determine that eicosane emerged as a potent inhibitor for the growth of Candida albicans. The purified compounds octacosane and eicosane from Marantodes pumilum fraction A exhibited wound-healing properties in diabetic-induced animals [22].

3. Materials and Methods

3.1. Collection and Identification of Samples

Salt marsh plants were collected from the Gulf of Mannar and Palk Bay coastal region (Mandapam and Dhanushkodi), Southeast coast of India (Figure 6 and Table 6). The plant species were monitored periodically and samples were collected in two seasons—the monsoon (mid-June to December) and summer (March to May). Ten species of salt marsh plants were collected in eight sampling sites (Table 7). The collected samples comprised one coastal creeping herb and two estuarine grass species (tidal fringe wetland) identified through established guidelines outlined in the following manuals [18,23,24,25,26,27,28]. The collected samples included Heliotropium curassavicum L., Sesuvium portulacastrum (L.) L., Suaeda maritima (L.) Dum., Ipomoea pes-caprae (L.) R. Br., Atriplex halimus L., Salicornia Brachiata Roxb., Spinifex littoreus (Burm.f.) Merr., Launaea sarmentosa (Willd.) Kuntze, Fimbristylis spathacea Roth, and Bulbostylis barbata (Rottb.) C.B.Clarke (Figure 7).

3.2. Processing and Preparation of Samples

The collected salt marsh plants were washed thoroughly with seawater immediately after collection. The collected samples were brought to the laboratory and were continuously washed with fresh water to remove salt and other debris attached to them. They were allowed to dry in air at room temperature. The dried samples were weighed and ground with a grinder and stored in a sealed container for future purposes. To extract the finely ground salt marsh plant powder, four distinct solvents—methanol, acetone, ethyl acetate, and hexane were added to each flask. The solution was soaked in the solvents and agitated in an orbital shaker for 46 h. The extracts were filtered through Whatman filter paper and kept for evaporation [29].

3.3. Chemical, Strains, and Media

Analytical grade solvents, such as methanol, acetone, ethyl acetate, and hexane, were purchased from HI media. Whatman filter paper (Grade 1) was purchased from HI Media. Five Candida strains that were used through all experiments, including Candida albicans, Candida parapsilosis, Candida kefyr, Candida krusei, and Candida tropicalis, were obtained from the National Culture Collection of Pathogenic Fungi (NCCPF) for this anticandidal study.

3.4. Phytochemical Analysis

Initially, phytochemical screening was performed using the standard method [30,31,32,33,34,35,36].

3.4.1. Alkaloid Detection (Wagner’s Test)

A 1 mL sample of plant extract was combined with one to two drops of Wagner’s reagent. The formation of a reddish-brown precipitate or coloration indicates the presence of alkaloid.

3.4.2. Flavonoid Identification (Alkaline Reagent Test)

A 2 mL sample of plant extract was mixed with 2 mL of 5% NaOH, and 1 mL of 50% H₂SO4 was then added. The initial yellow coloration that fades or becomes colorless upon acidification indicates the presence of flavonoids.

3.4.3. Cardiac Glycoside Assay (Keller–Killiani Test)

A 2 mL sample of the extract was combined with 0.5 mL glacial acetic acid containing FeCl3, and was layered with 1 mL of concentrated H₂SO4. The formation of deep blue coloration at the interface of the two liquids indicates the presence of cardiac glycosides.

3.4.4. Phenolic Compound Detection (Ferric Chloride Test)

A 1 mL sample of the extract was mixed with 2 mL 5% FeCl3 solution. The development of dark blue coloration indicates the presence of phenolic compounds.

3.4.5. Saponin Analysis (Froth Test)

A 5 mL sample of crude extract was combined with 20 mL of distilled water and was shaken vigorously for 15 min. The persistence of a foam layer on the liquid surface after agitation indicated the presence of saponins.

3.4.6. Steroid (Salkowski’s Test)

A 1.5 mL sample of the extract was mixed with 1 mL chloroform and was layered with 1.5 mL of concentrated H₂SO4. Reddish-brown coloration at the interface between aqueous and organic phases indicates the presence of steroids.

3.4.7. Tannin Detection (Ferric Chloride Test)

A 1 mL sample of the extract was combined with 1 mL of 10% FeCl3 solution. The formation of blue-black or brownish-green coloration indicates the presence of tannins.

3.4.8. Terpenoid Assay (Salkowski Test)

A 5 mL sample of the extract was mixed with 2 mL of chloroform and was layered with 3 mL of concentrated H₂SO4. A reddish-brown coloration at the interface between aqueous and organic phases indicates the presence of terpenoid compounds.

3.4.9. Coumarin Detection

A 1 mL sample of the extract was mixed with 1 mL of a 10% NaOH solution. The development of yellow coloration upon mixing indicates the presence of coumarin.

3.4.10. Quinone

A 1 mL sample of the extract was combined with 1 mL of concentrated H₂SO4. The formation of red coloration in the mixture indicates the presence of quinone.

3.5. Anticandidal Screening

All fungal strains were kept in Yeast Peptone Dextrose agar medium, which was prepared at a 1:2:1 ratio in glycerol stock for further studies. The effectiveness of suppressing candida cells with the help of salt marsh plant extract was initially assessed using the agar diffusion method [29]. Under an ascetic atmosphere, the sterilized plates of potato dextrose agar were prepared. The prepared plate was swabbed with the 24 h-cultured Candida strains. The crude extract obtained from the extraction of salt marsh was inoculated in the punctured wells (6 mm) and placed in the incubator at 37 °C for one day [4,29]. The anticandidal activity of the salt marsh extract was determined by measuring the zone of inhibition using the zone of inhibition scale. Triplicate measures were carried out to verify the effectiveness of salt marsh plant extracts. The MS Excel (Windows 11) application was used to convert the data of the triplicates into the mean and standard deviation [29]. Further investigations were conducted only on the particular samples based on the zone of inhibition obtained from the collected samples.

3.6. FTIR

Salt marsh plants that exhibit maximum inhibition were processed and recorded using Fourier transform infrared (FTIR, JASCO FT/IR-6600) spectroscopy to analyze the functional groups in the selected salt marsh extracts. The extracts from salt marsh plants were dissolved in the required solvent, and the absorbance was recorded from 4000 to 400 cm−1 [37].

3.7. GC-MS

The compounds in the selected salt marsh plant sample were quantified using gas chromatography–mass spectrometry (GC-MS, Agilent, Santa Clara, CA, USA, GC 7890A/MS5975C). The peaks were detected with a column length of 30 m, an internal diameter of 0.25 mm, and a film thickness of 0.25 μm. The NIST library was used to identify the compounds present in the analyzed saltmarsh samples. The extracts from the salt marsh plants were dissolved with the required solvent, filtered using a GC filter, and were placed in a GC vial for further analysis. The chromatograph was run for 20 min, and the compounds eluted are reported in table and spectra form [38].

4. Conclusions

The different extracts from the collected salt marsh plants exhibit varying degrees of antifungal activity against Candida strains, with some showing consistent efficacy throughout different seasons. Phytochemical analysis showed that the extract of L. sarmentosa showed the highest activity compared to the other extracts. All plant extracts confirmed the strong presence of phenolic groups, indicating the antifungal activity of these crude extracts derived from plants. In the monsoon season, the ethyl acetate sample showed potential against five pathogenic strains. In summer, the acetone sample showed more activity than the other three solvents. Compared to the other solvent extracts tested, the hexane extract showed less activity, but in L. sarmentosa, the hexane extract exhibited the highest activity against all candidal strains, in both seasons. The evaporation of the volatile compound in excess heat is the main reason that the summer samples have a lower activity. Compounds such as β-amyrin, lupeol, and oxirane play a significant role in biological applications. These findings highlight the potential of these salt marsh plant extracts as sources for the further development of novel antifungal agents to combat azole-resistant Candida infections. Nevertheless, further studies will be needed to explore their full potential and elucidate the underlying mechanisms of action via in silico and in vivo analysis.

Supplementary Materials

The following supporting information can be downloaded at https://www.mdpi.com/article/10.3390/antibiotics13080748/s1, Supplementary Figure S1 Shows the zone of inhibition (mm) based on the methanol solvent extract from 10 different salt marshes species. Supplementary Figure S2 shows Zone of inhibition (mm) based on the hexane solvent extract from salt marshes. Supplementary Figure S3 shows the Zone of inhibition (mm) based on the acetone solvent extract from salt marshes. Supplementary Figure S4 shows the Zone of inhibition (mm) based on the ethyl acetate solvent extract from salt marshes. Supplementary Figure S5A,B shows the phytochemical analysis acetone and ethyl acetate extract of SM1-Heliotropium curassavicum. Supplementary Figure S6A,B shows the phytochemical analysis acetone and ethyl acetate extract of SM2-Sesuvium portulacastrum. Supplementary Figure S7A,B show the phytochemical analysis acetone and ethyl acetate extract of SM3-Suaeda maritima. Supplementary Figure S8A–C show the phytochemical analysis acetone, ethyl acetate and hexane extract of SM8-Launaea sarmentosa.

Author Contributions

Conceptualization, S.D., R.R. and K.R.P.; methodology, investigation, S.D. and K.R.P.; formal analysis, K.R.P.; investigation, K.P.; writing—original draft preparation, S.D. and K.R.P.; visualization, R.V.; supervision, funding acquisition, R.R.; data curation, writing—review and editing, R.R., K.P., R.V. and S.G.K. All authors have read and agreed to the published version of the manuscript.

Funding

UGC, Savitribhai Jyotirao Phule fellowship for a single girl child (Reg. No: 202223-UGCES-22-OB-TAM-F-SJSGC-1012), for providing the financial assistance.

Institutional Review Board Statement

Not applicable.

Informed Consent Statement

Not applicable.

Data Availability Statement

The data that support the findings of this study are available from the corresponding author upon reasonable request.

Acknowledgments

The authors thank the authorities of the Bharathidasan University for the facility provided. Special thanks to the DST-PURSE program (Phase-2), Instrumentation Centre USIC, and DST-FIST for the support to the Department of Marine Science, Bharathidasan University, Tiruchirappalli-24, Tamil Nadu, India (SR/FST/ES-1/2019/62—TPN-29356).

Conflicts of Interest

The authors declare no conflicts of interest.

References

  1. Pappas, P.G.; Lionakis, M.S.; Arendrup, M.C.; Ostrosky-Zeichner, L.; Kullberg, B.J. Invasive candidiasis. Nat. Rev. Dis. Primers 2018, 4, 18026. [Google Scholar] [CrossRef] [PubMed]
  2. Hani, U.; Shivakumar, H.G.; Vaghela, R.; Osmani, A.M.; Shrivastava, A. Candidiasis: A fungal infection-current challenges and progress in prevention and treatment. Infect. Disord.-Drug Targets (Former. Curr. Drug Targets-Infect. Disord.) 2015, 15, 42–52. [Google Scholar] [CrossRef] [PubMed]
  3. Pappas, P.G.; Kauffman, C.A.; Andes, D.; Benjamin, D.K., Jr.; Calandra, T.F.; Edwards, J.E., Jr.; Filler, S.G.; Fisher, J.F.; Kullberg, B.-J.; Zeichner, L.O. Clinical practice guidelines for the management of candidiasis: 2009 update by the Infectious Diseases Society of America. Clin. Infect. Dis. Off. Publ. Infect. Dis. Soc. Am. 2009, 48, 503. [Google Scholar] [CrossRef] [PubMed]
  4. Arumugam, G.; Rajendran, R.; Khaleelullah, N.S.; Ramanathan, S. Anticandidal and anti-virulence efficiency of selected seaweeds against azole resistance Candida albicans. Biocatal. Agric. Biotechnol. 2019, 20, 101195. [Google Scholar] [CrossRef]
  5. Munn, C.B. Marine Microbiology: Ecology & Applications; CRC Press: Boca Raton, FL, USA, 2019. [Google Scholar]
  6. Bhowmik, S. Ecological and economic importance of wetlands and their vulnerability: A review. In Research Anthology on Ecosystem Conservation and Preserving Biodiversity; CRC Press: Boca Raton, FL, USA, 2022; pp. 11–27. [Google Scholar]
  7. Zedler, J.B.; Kercher, S. Wetland resources: Status, trends, ecosystem services and restorability. Annu. Rev. Environ. Resour. 2005, 30, 39–74. [Google Scholar] [CrossRef]
  8. Anjum, N.A.; Ahmad, I.; Valega, M.; Mohmood, I.; Gill, S.S.; Tuteja, N.; Duarte, A.C.; Pereira, E. Salt marsh halophyte services to metal–metalloid remediation: Assessment of the processes and underlying mechanisms. Crit. Rev. Environ. Sci. Technol. 2014, 44, 2038–2106. [Google Scholar] [CrossRef]
  9. Bora, L. Anticandidal activity of medicinal plants and Pseudomonas aeruginosa strains of clinical specimens. J. Microbiol. Immunol. Infect. 2016, 49, 276–280. [Google Scholar] [CrossRef] [PubMed][Green Version]
  10. Potente, G.; Bonvicini, F.; Gentilomi, G.A.; Antognoni, F. Anti-Candida activity of essential oils from Lamiaceae plants from the Mediterranean area and the Middle East. Antibiotics 2020, 9, 395. [Google Scholar] [CrossRef]
  11. Kader, M.A.; Hasan, M.R.; Parvez, G.M.; Parvin, S. Phytochemical Screening and Antimicrobial Evaluation of Various Fractionates of Ethanolic Extract of Launaea sarmentosa (Willd.), in the Search of Possible Candidates to Multidrug Resistant Microbes. J. Pharm. Sci. Res. 2022, 14, 811–817. [Google Scholar]
  12. Akbar, W.A.S.; Arokiarajan, M.S.; Christopher, J.J.; Ahmed, N.Z.; Meena, R. Evaluation of bioactive compounds as antimicrobial and antidiabetic agent from the crude extract of Heliotropium curassavicum L. Biocatal. Agric. Biotechnol. 2023, 50, 102745. [Google Scholar]
  13. Mohamed, N.A.F.; Al-Touby, S.S.; Hossain, M.A. Evaluation of cytotoxic and antioxidant activities of different polarities extracts of Suaeda maritima. Biocatal. Agric. Biotechnol. 2022, 42, 102370. [Google Scholar] [CrossRef]
  14. El-Aasr, M.; Kabbash, A.; El-Seoud, K.A.A.; Al-Madboly, L.A.; Ikeda, T. Antimicrobial and Immunomodulatory Activities of Flavonol Glycosides Isolated from Atriplex halimus L. Herb. J. Pharm. Sci. Res. 2016, 8, 1159. [Google Scholar]
  15. Ghori, M.K.; Ghaffari, M.A.; Hussain, S.N.; Manzoor, M.; Aziz, M.; Sarwer, W. Ethnopharmacological, phytochemical and pharmacognostic potential of genus Heliotropium L. Turk. J. Pharm. Sci. 2016, 13, 143–168. [Google Scholar] [CrossRef]
  16. Prapasanobol, V. Biological activities and preliminary phytochemical examination of the roots of the twelve zodiac signs. Sci. Technol. Nakhon Sawan Rajabhat Univ. J. 2018, 10, 89–100. [Google Scholar]
  17. Makauki, E.; Mtavangu, S.G.; Basu, O.D.; Rwiza, M.; Machunda, R. Facile biosynthesis of Ag–ZnO nanocomposites using Launaea cornuta leaf extract and their antimicrobial activity. Discov. Nano 2023, 18, 142. [Google Scholar] [CrossRef]
  18. Hanh, L.H.; Dung, P.D.; Huy, L.D.; Duong, N.T.T.; Wacharasindhu, S.; Phung, N.K.P.; Chi, H.B.L. Chemical constituents of Launaea sarmentosa roots. Vietnam. J. Chem. 2020, 58, 637–642. [Google Scholar] [CrossRef]
  19. Melo, C.M.; Morais, T.C.; Tomé, A.R.; Brito, G.A.C.; Chaves, M.H.; Rao, V.S.; Santos, F.A. Anti-inflammatory effect of α,β-amyrin, a triterpene from Protium heptaphyllum, on cerulein-induced acute pancreatitis in mice. Inflamm. Res. 2011, 60, 673–681. [Google Scholar] [CrossRef] [PubMed]
  20. Ahsan, T.; Chen, J.; Zhao, X.; Irfan, M.; Wu, Y. Extraction and identification of bioactive compounds (eicosane and dibutyl phthalate) produced by Streptomyces strain KX852460 for the biological control of Rhizoctonia solani AG-3 strain KX852461 to control target spot disease in tobacco leaf. AMB Express 2017, 7, 54. [Google Scholar] [CrossRef]
  21. Beema Shafreen, R.M.; Seema, S.; Alagu Lakshmi, S.; Srivathsan, A.; Tamilmuhilan, K.; Shrestha, A.; Muthupandian, S. In vitro and in vivo antibiofilm potential of eicosane against Candida albicans. Appl. Biochem. Biotechnol. 2022, 194, 4800–4816. [Google Scholar] [CrossRef]
  22. Balachandran, A.; Siyumbwa, S.N.; Froemming, G.R.; Beata, M.M.; Małgorzata, J.; Lavilla, C.A., Jr.; Billacura, M.P.; Okechukwu, P.N. In Vitro Antioxidant and Fibroblast Migration Activities of Fractions Eluded from Dichloromethane Leaf Extract of Marantodes pumilum. Life 2023, 13, 1409. [Google Scholar] [CrossRef]
  23. Gopi, M.; Kumar, M.P.; Jeevamani, J.J.J.; Raja, S.; Muruganandam, R.; Samuel, V.D.; Simon, N.T.; Viswanathan, C.; Abhilash, K.; Krishnan, P.; et al. Distribution and biodiversity of tropical saltmarshes: Tamil Nadu and Puducherry, Southeast coast of India. Estuar. Coast. Shelf Sci. 2019, 229, 106393. [Google Scholar] [CrossRef]
  24. Viswanathan, C.; Purvaja, R.; Jeevamani, J.J.J.; Samuel, V.D.; Sankar, R.; Abhilash, K.R.; Geevargheese, G.A.; Muruganandam, R.; Gopi, M.; Raja, S.; et al. Salt marsh vegetation in India: Species composition, distribution, zonation pattern and conservation implications. Estuar. Coast. Shelf Sci. 2020, 242, 106792. [Google Scholar] [CrossRef]
  25. Ramesh, R.; Nammalwar, P.; Gowri, V.S. Database on Coastal Information of Tamilnadu; Report submitted to Environmental Information System (ENVIS); Institute for Ocean Management, Anna University: Chennai, India; Department of Environment, Government of Tamilnadu: Chennai, India, 2008; 133p. [Google Scholar]
  26. Banerjee, L.K.; Sastry, A.R.K.; Nayar, M.P. Mangroves in India: Identification Manual; Botanical Survey of India: Howrah, India, 1989. [Google Scholar]
  27. Selvam, V.; Eganathan, P.; Karunagaran, V.M.; Ravishankar, T.; Ramasubramanian, R. Mangrove Plants of Tamil Nadu; MS Swaminathan Research Foundation: Chennai, India, 2004; 56p. [Google Scholar]
  28. Salih, Y.; Harisha, C.R.; Shukla, V.J.; Acharya, R. Pharmacognostical evaluation of Launaea sarmentosa (Willd.) schultz-bip. ex Kuntze root. Ayu 2013, 34, 90. [Google Scholar] [CrossRef] [PubMed]
  29. Priyanka, K.R.; Rajaram, R. Preliminary screening on anticandidal properties of marine macroalgae collected from Palk Bay and Gulf of Mannar, southeast coast of India. Biomass Convers. Biorefinery 2022, 1–10. [Google Scholar] [CrossRef]
  30. Ramasar, R.; Naidoo, Y.; Dewir, Y.H.; El-Banna, A.N. Seasonal change in phytochemical composition and biological activities of Carissa macrocarpa (Eckl.) A. DC. leaf extract. Horticulturae 2022, 8, 780. [Google Scholar] [CrossRef]
  31. Surendra, T.V.; Roopan, S.M.; Arasu, M.V.; Al-Dhabi, N.A.; Sridharan, M. Phenolic compounds in drumstick peel for the evaluation of antibacterial, hemolytic and photocatalytic activities. J. Photochem. Photobiol. B Biol. 2016, 161, 463–471. [Google Scholar] [CrossRef] [PubMed]
  32. María, R.; Shirley, M.; Xavier, C.; Jaime, S.; David, V.; Rosa, S.; Jodie, D. Preliminary phytochemical screening, total phenolic content and antibacterial activity of thirteen native species from Guayas province Ecuador. J. King Saud Univ.-Sci. 2018, 30, 500–505. [Google Scholar] [CrossRef]
  33. Kancherla, N.; Dhakshinamoothi, A.; Chitra, K.; Komaram, R.B. Preliminary analysis of phytoconstituents and evaluation of anthelminthic property of Cayratia auriculata (in vitro). Maedica 2019, 14, 350. [Google Scholar]
  34. Das, B.K.; Al-Amin, M.M.; Russel, S.M.; Kabir, S.; Bhattacherjee, R.; Hannan, J.M.A. Phytochemical screening and evaluation of analgesic activity of Oroxylum indicum. Indian J. Pharm. Sci. 2014, 76, 571. [Google Scholar]
  35. Sofowora, A. Research on medicinal plants and traditional medicine in Africa. J. Altern. Complement. Med. 1996, 2, 365–372. [Google Scholar] [CrossRef]
  36. Harborne, A.J. Phytochemical Methods a Guide to Modern Techniques of Plant Analysis; Springer Science and Business Media: Berlin/Heidelberg, Germany, 1998. [Google Scholar]
  37. Aravinth, A.; Mohan, P.K.; Perumal, P.; Dhanasundaram, S.; Kamaraj, C.; Rajaram, R. Phyto-fabrication of brown seaweed Dictyota ciliolata extract towards silver nanoparticles synthesis and evaluation of mosquito-larvicidal potential of the synthesized AgNPs. J. Appl. Phycol. 2024, 36, 2311–2323. [Google Scholar] [CrossRef]
  38. Pourakbar, L.; Moghaddam, S.S.; Enshasy, H.A.E.; Sayyed, R.Z. Antifungal activity of the extract of a macroalgae, Gracilariopsis persica, against four plant pathogenic fungi. Plants 2021, 10, 1781. [Google Scholar] [CrossRef] [PubMed]
Figure 1. Anticandial properties of salt marsh plants exhibited as the zone of inhibition against Candidal strains during the monsoon season ((a)—Acetone; (b)—Ethyl Acetate; (c)—Methonal and (d)—Hexane).
Figure 1. Anticandial properties of salt marsh plants exhibited as the zone of inhibition against Candidal strains during the monsoon season ((a)—Acetone; (b)—Ethyl Acetate; (c)—Methonal and (d)—Hexane).
Antibiotics 13 00748 g001
Figure 2. Anticandidal properties of salt marsh plants exhibiting zone of inhibition against Candidal strains during the summer season ((a)—Acetone; (b)—Ethyl acetate; (c)—Methanol; and (d)—Hexane).
Figure 2. Anticandidal properties of salt marsh plants exhibiting zone of inhibition against Candidal strains during the summer season ((a)—Acetone; (b)—Ethyl acetate; (c)—Methanol; and (d)—Hexane).
Antibiotics 13 00748 g002
Figure 3. Anticandidal activity of saltmarsh plant Launaea sarmentosa extract exhibits the highest inhibition (CA—Candida albicans; CR—Candida kefyr; CKr—Candida krusei; CT—Candida tropicalis; CP—Candida parapsilosis).
Figure 3. Anticandidal activity of saltmarsh plant Launaea sarmentosa extract exhibits the highest inhibition (CA—Candida albicans; CR—Candida kefyr; CKr—Candida krusei; CT—Candida tropicalis; CP—Candida parapsilosis).
Antibiotics 13 00748 g003
Figure 4. FT−IR spectrum showing the peaks obtained from the hexane extract of salt marsh Launaea sarmentosa.
Figure 4. FT−IR spectrum showing the peaks obtained from the hexane extract of salt marsh Launaea sarmentosa.
Antibiotics 13 00748 g004
Figure 5. GC-MS showing the peaks obtained from the hexane extract of saltmarsh Launaea sarmentosa.
Figure 5. GC-MS showing the peaks obtained from the hexane extract of saltmarsh Launaea sarmentosa.
Antibiotics 13 00748 g005
Figure 6. Sampling sites of salt marsh plants collected from Palk Bay and the Gulf of Mannar.
Figure 6. Sampling sites of salt marsh plants collected from Palk Bay and the Gulf of Mannar.
Antibiotics 13 00748 g006
Figure 7. Salt marsh plants collected from Palk Bay and the Gulf of Mannar ((A) Ipomoea pes-caprae, (B) Suaeda maritima, (C) Sesuvium portulacastrum, (D) Heliotropium curassavicum, (E) Launaea sarmentosa, (F) Bulbostylis barbata, (G) Salicornia brachiata, (H) Spinifex littoreus, (I) Fimbristylis spathacea, and (J) Artiplex halimus).
Figure 7. Salt marsh plants collected from Palk Bay and the Gulf of Mannar ((A) Ipomoea pes-caprae, (B) Suaeda maritima, (C) Sesuvium portulacastrum, (D) Heliotropium curassavicum, (E) Launaea sarmentosa, (F) Bulbostylis barbata, (G) Salicornia brachiata, (H) Spinifex littoreus, (I) Fimbristylis spathacea, and (J) Artiplex halimus).
Antibiotics 13 00748 g007
Table 1. Phytochemical constituents of salt marshes collected in Palk Bay and Gulf of Mannar waters.
Table 1. Phytochemical constituents of salt marshes collected in Palk Bay and Gulf of Mannar waters.
TestsHeliotropium curassavicumSesuvium portulacastrumSuaeda maritimaLaunaea sarmentosa
AcetoneEthyl AcetateAcetoneEthyl AcetateAcetoneEthyl AcetateAcetoneEthyl AcetateHexane
Alkaloids++++++++++++++++++
Flavonoids-++-++++++-++-
Glycosides-++++-++-++++-
Phenolic groups-++---++-++++
Saponins--------++
Steroids++++-++++++++++++
Tannins++++++++++++++++++
Terpenoids++++++++++++++++++
Coumarins++-++++++++++++++
Quinones++-++-++-++++-
“++” indicates the presence, and “-” indicates the absence of phytochemical constituents.
Table 2. Zone of inhibition (mm) of salt marsh plants collected during the monsoon season against the candidal strains (CA—Candida albicans; CK—Candida kefyr; CKr—Candida krusei; CT—Candida tropicalis; CP—Candida parapsilosis).
Table 2. Zone of inhibition (mm) of salt marsh plants collected during the monsoon season against the candidal strains (CA—Candida albicans; CK—Candida kefyr; CKr—Candida krusei; CT—Candida tropicalis; CP—Candida parapsilosis).
Sample IDSM1SM2SM3SM4SM5SM6SM7SM8SM9SM10Control
AcetoneCA10 ± 0.310 ± 0.510 ± 0.59 ± 0.410 ± 0.3610 ± 0.23-9 ± 0.219 ± 0.55-21 ± 0.24
CK11 ± 0.811 ± 0.712 ± 0.910 ± 0.59 ± 0.41-9 ± 0.1610 ± 0.99 ± 0.1710 ± 0.3518 ± 0.4
CKr10 ± 0.59 ± 0.310 ± 0.39 ± 0.810 ± 0.6--9 ± 0.69 ± 0.8-18 ± 0.6
CT10 ± 0.79 ± 0.510 ± 0.410 ± 0.611 ± 0.62--10 ± 0.910 ± 0.9-20 ± 0.6
CP10 ± 0.410 ± 0.611 ± 0.79 ± 0.1510 ± 0.39--10 ± 0.579 ± 0.7-18 ± 0.2
Ethyl acetateCA11 ± 0.7611 ± 0.3618 ± 0.4511 ± 0.7813 ± 0.599 ± 0.3710 ± 0.3213 ± 0.879 ± 0.68 ± 0.316 ± 0.6
CK11 ± 0.612 ± 0.7419 ± 0.5912 ± 0.3616 ± 0.79 ± 0.410 ± 0.7113 ± 0.359 ± 0.79 ± 0.418 ± 0.3
CKr10 ± 0.3610 ± 0.2220 ± 0.8612 ± 0.4913 ± 0.77-9 ± 0.3313 ± 0.25--21 ± 0.9
CT10 ± 0.2111 ± 0.619 ± 0.912 ± 0.6713 ± 0.4110 ± 0.610 ± 0.915 ± 0.619 ± 0.99 ± 0.719 ± 0.3
CP12 ± 0.2113 ± 0.4618 ± 0.7612 ± 0.5815 ± 0.36-9 ± 0.3613 ± 0.2810 ± 0.5710 ± 0.3320 ± 0.41
MethanolCA--9 ± 0.6--10 ± 0.9---10 ± 0.5121 ± 0.76
CK-9 ± 0.23-10 ± 0.12-10 ± 0.5-10 ± 0.91-10 ± 0.8418 ± 0.6
CKr10 ± 0.8--9 ± 0.3510 ± 0.26--8 ± 0.2--20 ± 0.16
CT9 ± 0.79 ± 0.419 ± 0.369 ± 0.9-------18 ± 0.12
CP-9 ± 0.229 ± 0.59 ± 0.17-----10 ± 0.2421 ± 0.36
HexaneCA-------30 ± 0.23--21 ± 0.16
CK-10 ± 0.33--8 ± 0.75-30 ± 0.9538 ± 0.71-26 ± 0.6522 ± 0.26
CKr-----9 ± 0.36-29 ± 0.46--18 ± 0.71
CT-9 ± 0.149 ± 0.5--10 ± 0.9--31 ± 0.67-20 ± 0.25
CP-9 ± 0.79 ± 0.62-----27 ± 0.94-23 ± 0.8
SM1—Heliotropium curassavicum, SM2—Sesuvium portulacastrum, SM3—Suaeda maritima, SM4—Ipomoea pes-caprae, SM5—Atriplex halimu, SM6—Salicornia brachiata, SM7—Spinifex littoreus, SM8—Launaea sarmentosa, SM9—Fimbristylis spathacea, SM10—Bulbostylis barbata. Values with ± denote mean and SD values.
Table 3. Zone of inhibition (mm) of salt marsh plants collected during the summer season against the Candidal strains (CA—Candida albicans;CK—Candida kefyr; CKr—Candida krusei; CT—Candida tropicalis; CP—Candida parapsilosis).
Table 3. Zone of inhibition (mm) of salt marsh plants collected during the summer season against the Candidal strains (CA—Candida albicans;CK—Candida kefyr; CKr—Candida krusei; CT—Candida tropicalis; CP—Candida parapsilosis).
Sample IDSM1SM2SM3SM4SM5SM6SM7SM8SM9SM10Control
AcetoneCA7 ± 0.68 ± 0.88 ± 0.49 ± 0.98 ± 0.458 ± 0.61-8 ± 0.156 ± 0.63-18 ± 0.21
CK9 ± 0.319 ± 0.819 ± 0.226 ± 0.177 ± 0.36-6 ± 0.326 ± 0.217 ± 0.168 ± 0.3722 ± 0.4
CKr8 ± 0.328 ± 0.458 ± 0.2310 ± 0.219 ± 0.55--9 ± 0.196 ± 0.43-21 ± 0.14
CT10 ± 0.878 ± 0.368 ± 0.239 ± 0.39 ± 0.198 ± 0.32-7 ± 0.67 ± 0.4-18 ± 0.4
CP9 ± 0.227 ± 0.966 ± 0.410 ± 0.318 ± 0.9--8 ± 0.78 ± 0.13-20 ± 0.24
Ethyl acetateCA9 ± 0.189 ± 0.310 ± 0.89 ± 0.6310 ± 0.166 ± 0.25-9 ± 0.287 ± 0.88 ± 0.919 ± 0.14
CK9 ± 0.3110 ± 0.6510 ± 0.8710 ± 0.4110 ± 0.307 ± 0.4-10 ± 0.68 ± 0.179 ± 0.2220 ± 0.23
CKr8 ± 0.8--8 ± 0.37------18 ± 0.41
CT9 ± 0.217 ± 0.1210 ± 0.3810 ± 0.4410 ± 0.9--10 ± 0.879 ± 0.31-22 ± 0.44
CP8 ± 0.337 ± 0.118 ± 0.4110 ± 0.369 ± 0.258 ± 0.98 ± 0.1711 ± 0.9--21 ± 0.24
MethanolCA--8 ± 0.8--8 ± 0.7---8 ± 0.216 ± 0.4
CK-8 ± 0.75-9 ± 0.25---8 ± 0.37-9 ± 0.918 ± 0.14
CKr---8 ± 0.179 ± 0--7 ± 0.14--15 ± 0.34
CT---8 ± 0.70------19 ± 0.4
CP-7 ± 0.64-------9 ± 0.3320 ± 0.23
HexaneCA-------24 ± 0.58--22 ± 0.42
CK----8 ± 0.21-22 ± 0.8726 ± 0.78-20 ± 0.4523 ± 0.17
CKr-------22 ± 0.98--18 ± 0.29
CT--8 ± 0.8----20 ± 0.47--19 ± 0.4
CP-8 ± 0.70------18 ± 0.37-20 ± 0.22
SM1—Heliotropium curassavicum, SM2—Sesuvium portulacastrum, SM3—Suaeda maritima, SM4—Ipomoea pes-caprae, SM5—Atriplex halimu, SM6—Salicornia brachiata, SM7—Spinifex littoreus, SM8—Launaea sarmentosa, SM9—Fimbristylis spathacea, SM10—Bulbostylis barbata. Values with ±denote mean and SD values.
Table 4. FTIR results obtained from the hexane extract of Launaea sarmentosa.
Table 4. FTIR results obtained from the hexane extract of Launaea sarmentosa.
S. NoAbsorption (cm−1)Vibration ModeCompound Class
12916.81N–H stretchingamine salt
22849.31C–H stretchingAlkane
32361.41O=C=O stretchingcarbon dioxide
41735.62C=O stretchingAldehyde
51461.78C–H bendingAlkane
61378.85O–H bendingPhenol
71260.25C–O stretchingaromatic ester
81094.4C–O stretchingsecondary alcohol
91027.87C–N stretchingAmine
10879.381C=C bendingAlkene
11802.242C–H bending1,4-disubstituted, 1,2,3,4-tetrasubstituted
12719.318C=C bendingAlkene
Table 5. Compounds present in the hexane extract of Launaea sarmentosa, analyzed using GC-MS.
Table 5. Compounds present in the hexane extract of Launaea sarmentosa, analyzed using GC-MS.
PeaksRT (min)Area %Molecular WeightMolecular FormulaCompound Names
14.4420.47163.06C6H11BrCyclopropane, 2-bromo-1,1,3-trimethyl-
26.5420.33254.5C18H38Pentadecane, 2,6,10-trimethyl-
37.5090.27216.38C14H29FTetradecyl fluoride
411.8190.59202.33C12H26O21-Methoxy-3-(2-hydroxyethyl)nonane
514.4630.3138.3H6O3Si3Cyclotrisiloxane
615.3850.27278.5C17H30OsiTrimethyl[4-(1,1,3,3,-tetramethylbutyl)phenoxy]silane
715.8081.08240.5C17H36Heptadecane
816.3190.5226.44C16H34Hexadecane
916.5190.28222.4C13H22OsiSilane, trimethyl[5-methyl-2-(1-methylethyl)phenoxy]-
1016.8191.18282.5C20H42Eicosane
1117.1520.39222.46C6H18O3Si3Cyclotrisiloxane, hexamethyl-
1217.2960.55250.48C13H22OSi22,4,6-Cycloheptatrien-1-one, 3,5-bis-trimethylsilyl
1317.532.54366.6C24H46O2(Z)-14-Tricosenyl formate
1417.86319.03336.6C24H48Cyclotetracosane
1518.0961.07264.46C13H20N2SSi1,2-Benzisothiazol-3-amine tbdms
1618.4180.54222.47C12H22Si2Silane, 1,4-phenylenebis[trimethyl
1718.7415.32282.5C19H38OOxirane, heptadecyl
1819.1070.56346.6C20H42O2SDi-n-decylsulfone
1919.1741.04207.27C12H17NO2hexahydropyridine, 1-methyl-4-[4,5 -dihydroxyphenyl]-
2019.4850.55264.43C15H24O2SiTrimethyl[4-(2-methyl-4-oxo-2-pentyl)phenoxy]silane
2120.3746.4268.5C18H36OOctadecanal
2220.6510.85310.68C10H30O3Si4Tetrasiloxane, decamethyl-
2321.0070.41242.65C14H7ClO29-Fluorenone-4-carbonyl chloride
2421.2850.61250.38C16H26O2Hexanoic acid, 2,7-dimethyloct-7-en-5-yn-4-yl ester
2521.5072.97218.33C15H22O2(1H)Naphthalenone, 3,5,6,7,8,8a-hexahydro-4,8a-dimethyl-6-(1-methylethenyl)-
2621.86212.66426.7C30H50Oβ-amyrin
2722.0513.71218.25C16H10OBenzo[b]naphtho[2,3-d]furan
2822.42924.16426.7C30H50OLupeol
2922.6181310.68C10H30O3Si4Methyltris(trimethylsiloxy)silane
3022.87310.35468.8C32H52O212-Oleanen-3-yl acetate
Table 6. The location of salt marshes collected from in the study area.
Table 6. The location of salt marshes collected from in the study area.
LocationSitesLatitudeLongitude
RameswaramSite 19°16′54.5″ N79°11′04.5″ E
Site 29°16′55.2″ N79°11′19.3″ E
Site 39°16′52.2″ N79°11′21.4″ E
DhanushkodiSite 49°12′07.2″ N79°22′38.9″ E
RameswaramSite 59°17′02.1″ N79°10′41.5″ E
DhanushkodiSite 69°10′04.6″ N79°25′46.0″ E
Site 79°09′58.7″ N79°25′53.2″ E
Site 89°09′56.7″ N79°25′54.3″ E
Table 7. Distribution of salt marsh plants in the study area.
Table 7. Distribution of salt marsh plants in the study area.
Sample IDName of the SpeciesSite 1Site 2Site 3Site 4Site 5Site 6Site 7Site 8
SM1Heliotropium curassavicum+
SM2Sesuvium portulacastrum+
SM3Suaeda maritima+
SM4Ipomoea pes-caprae +
SM5Atriplex halimus +
SM6Salicornia brachiata +
SM7Spinifex littoreus +
SM8Launaea sarmentosa +
SM9Fimbristylis spathacea +
SM10Bulbostylis barbata +
“+” indicates the availability of salt marsh plants in sampling sites.
Disclaimer/Publisher’s Note: The statements, opinions and data contained in all publications are solely those of the individual author(s) and contributor(s) and not of MDPI and/or the editor(s). MDPI and/or the editor(s) disclaim responsibility for any injury to people or property resulting from any ideas, methods, instructions or products referred to in the content.

Share and Cite

MDPI and ACS Style

Das, S.; Priyanka, K.R.; Prabhu, K.; Vinayagam, R.; Rajaram, R.; Kang, S.G. Anticandidal Properties of Launaea sarmentosa among the Salt Marsh Plants Collected from Palk Bay and the Gulf of Mannar Coast, Southeastern India. Antibiotics 2024, 13, 748. https://doi.org/10.3390/antibiotics13080748

AMA Style

Das S, Priyanka KR, Prabhu K, Vinayagam R, Rajaram R, Kang SG. Anticandidal Properties of Launaea sarmentosa among the Salt Marsh Plants Collected from Palk Bay and the Gulf of Mannar Coast, Southeastern India. Antibiotics. 2024; 13(8):748. https://doi.org/10.3390/antibiotics13080748

Chicago/Turabian Style

Das, Smriti, Karuppannagounder Rajan Priyanka, Kolandhasamy Prabhu, Ramachandran Vinayagam, Rajendran Rajaram, and Sang Gu Kang. 2024. "Anticandidal Properties of Launaea sarmentosa among the Salt Marsh Plants Collected from Palk Bay and the Gulf of Mannar Coast, Southeastern India" Antibiotics 13, no. 8: 748. https://doi.org/10.3390/antibiotics13080748

APA Style

Das, S., Priyanka, K. R., Prabhu, K., Vinayagam, R., Rajaram, R., & Kang, S. G. (2024). Anticandidal Properties of Launaea sarmentosa among the Salt Marsh Plants Collected from Palk Bay and the Gulf of Mannar Coast, Southeastern India. Antibiotics, 13(8), 748. https://doi.org/10.3390/antibiotics13080748

Note that from the first issue of 2016, this journal uses article numbers instead of page numbers. See further details here.

Article Metrics

Back to TopTop