Next Article in Journal
Synthesis of Temporin-SHa Retro Analogs with Lysine Addition/Substitution and Antibiotic Conjugation to Enhance Antibacterial, Antifungal, and Anticancer Activities
Previous Article in Journal
Restoring Multidrug-Resistant Escherichia coli Sensitivity to Ampicillin in Combination with (−)-Epigallocatechin Gallate
 
 
Font Type:
Arial Georgia Verdana
Font Size:
Aa Aa Aa
Line Spacing:
Column Width:
Background:
Review

Bisindole Compounds—Synthesis and Medicinal Properties

Department of Organic Chemistry, Biochemistry and Catalysis, Faculty of Chemistry, University of Bucharest, Soseaua Panduri, 030018 Bucharest, Romania
Antibiotics 2024, 13(12), 1212; https://doi.org/10.3390/antibiotics13121212
Submission received: 15 November 2024 / Revised: 9 December 2024 / Accepted: 10 December 2024 / Published: 13 December 2024
(This article belongs to the Section Novel Antimicrobial Agents)

Abstract

The indole nucleus stands out as a pharmacophore, among other aromatic heterocyclic compounds with remarkable therapeutic properties, such as benzimidazole, pyridine, quinoline, benzothiazole, and others. Moreover, a series of recent studies refer to strategies for the synthesis of bisindole derivatives, with various medicinal properties, such as antimicrobial, antiviral, anticancer, anti-Alzheimer, anti-inflammatory, antioxidant, antidiabetic, etc. Also, a series of natural bisindole compounds are mentioned in the literature for their various biological properties and as a starting point in the synthesis of other related bisindoles. Drawing from these data, we have proposed in this review to provide an overview of the synthesis techniques and medicinal qualities of the bisindolic compounds that have been mentioned in recent literature from 2010 to 2024 as well as their numerous uses in the chemistry of materials, nanomaterials, dyes, polymers, and corrosion inhibitors.

Graphical Abstract

1. Introduction

The indole ring holds a preferred position among aromatic heterocyclic compounds that contain nitrogen [1,2,3]. This is due to the fact that both natural [4,5,6,7] and synthetic compounds [8,9,10,11] are becoming more and more well known and reported in the literature for their medicinal properties [2,12,13], both as compounds with a single indole nucleus [14,15] or other heterocyclic nuclei [16,17,18]; with organic functional groups [19,20,21,22,23]; and as materials [24,25], nanoparticles [26,27,28], encapsulates [29,30], photosensitizers [31,32], polymers [33,34], resins [35,36], coatings [37], or nanocomposites [38] (Figure 1), which define their scope of use and place them at the top of the heterocycles with a wide range of biological uses and applications. Simple natural compounds, such as Tryptophan—an essential amino acid; Indole-3-carbinol—found in cruciferous vegetables with anti-carcinogenic, antioxidant, and anti-atherogenic effects; Serotonin—a tissue hormone and neurotransmitter widespread in nature and found in plantains, pineapples, banana, kiwis, plums, tomatoes, and cocoa; Melatonin—a hormone produced from Serotonin in the pineal gland with an important role in coordinating the circadian rhythmic processes in the body; Indole-3-acetic acid; and the most common naturally occurring phytohormones, are among the most famous and important indoles. The recent literature (2010–2024) reviewed in this article mentions new indolic structures, synthesized in the laboratory, with remarkable therapeutic properties.
Among the natural compounds, a series of indole alkaloids stand out; these come from vegetable sources (plants) [39,40,41], marine sources [42,43], or microorganisms [44] and are metabolites of particular biological importance [45,46]. Indole natural compounds possess a variety of pharmacological activities, including anticancer, antibacterial, antiviral, antimalarial, antifungal, anti-inflammatory, antidepressant, antiplatelet, analgesic, hypotensive, anticholinesterase, antidiarrheal, spasmolytic, antileishmanial, lipid-lowering, and antidiabetic activities [40,41,47]. Also, synthetic indoles show a variety of therapeutic activities, such as antitumor [48,49], antidiabetic [50], antihypertensive [13], antimicrobial [51,52,53,54,55,56], antiviral [57,58,59], antimalarial [60] antiparasitic [61], tuberculostatic [62,63], anticonvulsant [64], calcium channel blocking [65,66], antidepressant [67,68,69], anti-Alzheimer [70,71,72], efflux pump inhibiting [73], antioxidant [74], anti-inflammatory and analgesic [75,76], AchE and GTS inhibiting [77], and metallo-β-lactamase inhibiting [78]. Last but not least, in a series of studies, new indole compounds were mentioned as anti-SARS-CoV-2 agents, with particular importance in the context of the recent pandemic, which has further stimulated the study of synthesis methods, antiviral properties, and structure–property relations [79,80,81].
In addition, the interest of the scientific community in bisindoles has further increased due to their increased applications compared to indoles, being also reported as fluorescent sensors for biothiol, Cu+, Cu2+, Fe2+, and Hg2+ [82]; dyes [83]; and corrosion inhibitors [84] (Figure 1).
The present study of bisindolic compounds started from the knowledge of some natural bisindolic compounds with remarkable therapeutic properties, such as anticancer agents (vincristine, vinblastine, vinorelbine), antimicrobials (spongotin C, dihydrospongotin C, dibromodeoxytopsentin, Rhodozepinone), antimalarials (Flinderole A, Flinderole B), antivirals (topsentin, bromotopsentoin), antidiabetics (Vindolicine), anti-inflammatories (caulerpin, bromotopsentin), analgesics (caulerpin) (Figure 2), and so on [6,40,43,85].
In this study, the synthesis techniques of bisindoles published in the literature are referred to, along with their varied therapeutic properties, as a continuation of the research reported on the synthesis and medicinal qualities of indoles. The bisindolic compounds analyzed in this article possess remarkable medicinal properties, being mentioned as anticancer, antimicrobial, antitubercular, antimalarial, antileishmanial, antiviral, analgesic, anti-Alzheimer, antidiabetic, carbonic anhydrase II inhibiting, anti-inflammatory, and antioxidant agents (Figure 3). This review aims to present synthetic bisindoles and not the natural ones.
The abundance of bisindolic compounds with exceptional antibacterial and antiviral capabilities, including novel anti-SARS-CoV-2 medicines, is the primary driving force behind the selection of this review topic. In light of the recent pandemic, the need to find novel anti-SARS-CoV-2 drugs has grown, prompting research into the synthesis processes, antimicrobial characteristics, structure–property relationships, and biological activities of bisindole compounds [79,80,81]. Also, new bisindoles with antitumor properties, which are necessary for the treatment of cancer, as well as bisindole derivatives that possess other therapeutic properties, are discussed in this review.
The database search strategy for this review included searching a number of websites, including ACS Publications, PubMed, MDPI, Science Direct, Springer, The Royal Society of Chemistry, and Taylor & Francis, using keywords, such as indole, bisindole, multicomponent reaction, indole hybrids, antimicrobial, antiviral, antitumoral, or therapeutic properties. Scientific studies over the last fifteen years were chosen based on the innovations of bisindolic compounds and their potential medical uses.
Given the evolution of synthesis methods, we begin this discussion by going over the various ways bisindoles can be synthesized before examining how they can be utilized to produce derivatives with therapeutic properties.

2. Synthetic Strategies for Bisindolic Compounds

2.1. Synthesis of Bisindolic Compounds by Electrophilic Substitution at 3-Position of Indole with Various Aryl/Heteroaryl Aldehydes

The synthesis of bisindolic compounds 3 from indole 1 and aromatic aldehydes 2, in the presence of catalysts and various reaction conditions, is one of the main methods of their synthesis. Scheme 1 lists a few of the aldehydes that could be utilized. A number of catalysts for this reaction that produce adequate to outstanding yields are mentioned in the current literature, as can be seen in Table 1 [86,87,88,89,90,91,92,93,94,95,96,97,98,99,100,101,102,103].

2.2. Synthesis of Bisindole Compounds by Alkylation of Indoles with Alcohols Under Air

Nguyen et al. (2024) developed a convenient method for the synthesis of bis(3-indolyl)methane derivatives 6 by LiOt-Bu-promoted alkylation of indoles 4 with alcohols 5 under solvent-free conditions in air (Scheme 2). They also successfully used unactivated aliphatic alcohols, such as n-hexanol and n-octanol, as indole alkylation reagents, with good yields of 75% and 60% of the desired products, respectively [104].

2.3. Synthesis of Bis(indolyl)methane Phosphonates by Coupling of Indoles with Acyl Phosphonates

Dasbasi et al. (2011) described an efficient, high selectivity, and high catalytic activity protocol for synthesis of bis(indolyl)methane phosphonates 9 from N-methylindoles 7 and acyl phosphonates 8 using 10 mol % of In(OTf)3 as a catalyst (Scheme 3). The most effective Lewis acid for this conversion was determined to be In(OTf)3 (10 mol%), while other Lewis acids, including Bi(OTf)3, Cu(OTf)2, InCl3, InBr3, InI3, YCl3, Y(OTf)3, Sc(OTf)3, and BiCl3, were also examined [105].

2.4. Regioselective Synthesis of 3,3-Bis(indolyl)propanoic Acid Derivatives by Iron(III)-Catalyzed Hydroarylation Reaction of Electron-Deficient Propynoic Acid Derivatives with Indoles

Kutubi and Kitamura (2011) found that the catalytic system of FeCl3/AgOTf in acetic acid media can be efficiently used for the double hydroarylation reaction of electron-deficient propynoic acid derivatives 11 with indoles 10 (Scheme 4). The hydroarylation reaction occurs regioselectively at the 3-position of indoles 10 to give 3,3′-bis(indol-3-yl) propanoates 12 in high yields [106].

2.5. Synthesis of Bis(indolyl)methanes by Electrophilic Substitution in the 3-Position of Indoles with Ketones

Yuan et al. (2019) proposed synthesis of bis(indolyl)methanes 14 reaction of indole 1 with ketones 13 using various catalysts, Amberlyst-15 [107], Silzic (ZnCl2/SiO2) [108], scandium triflate Sc(OTf)3, and p-toluenesulfonic acid (p-TSA) [109] (Scheme 5). The method’s gentle reaction conditions, straightforward processing, and generally high yields make it advantageous.

2.6. Synthesis of Bisindole Derivatives by Reaction of Indoles with Electron-Deficient Alkenes in Aqueous Media

Rahimi et al. (2015) developed a facile approach to the synthesis of bisindole derivatives 16 by the reaction of indole 1 with electron-deficient alkenes 15 (Scheme 6) catalyzed by 12-tungstophosphoric acid as a highly stable, efficient and readily available catalyst under silent and ultrasound irradiation conditions. The benefits of this process are low reaction temperatures, quick reaction times, excellent yields, and the avoidance of hazardous solvents and catalysts [110].

2.7. Synthesis of Bis(2-phenyl-1H-indol-3-yl)methanes Through a Domino Gold (I) Chloride Catalyzed Cycloisomerization of 1-Methyl-2-(phenylethynyl)benzene

In order to synthesize bis(indolyl)methane 19, Praveen et al. (2009) described a chemoselective process that uses 2-(phenylethynyl)benzenamine 17, aldehyde 18, and 5 mol% of AuCl in acetonitrile under reflux (Scheme 7). The reaction proceeded smoothly, with a wide range of functionalized aldehydes, including those containing ether, phenol, carboxylic acid, and polyaromatic and heteroaromatic groups [111].

2.8. Synthesis of Homo-bis(indolyl)methanes via Indole-3-alkoxides In Situ Generated Indole-3-alkoxides

Chinta and Baire (2016) developed synthesis of homo-bis(indolyl)methanes 22 and 25 via indole-3-alkoxides in situ generated from RMgX 21 (Scheme 8) or RLi 24 (Scheme 9) [112]. Also, they carried out a study of various alkynyl lithium reagents 27 as well as aldehyde substrates 26 (Scheme 10) at 0 °C. All the aldehydes and alkynyl lithiums smoothly underwent the cascade reaction and gave homo-bis(indolyl)methanes 28 in varying amounts (56–91% yields).

2.9. Synthesis of 1-Hydroxyiminomethyl-bis(indolyl) Methanes via Bis-hetero-Diels-Alder Reactions

Grosso et al. (2017) reported a one-pot regioselective and stereoselective synthesis of bis(indolyl) oximes 31 (Scheme 11) and bis(indolyl) hydrazones 34 (Scheme 12) via bis-hetero-Diels-Alder reactions of conjugated 2,2-dibromo-1-(4-bromophenyl)ethanone oxime 29 or hydrazone 32 with indoles 30 and 33. Compounds 31 showed anti-tumoral activity, in particular against lymphoma cell lines [113].

2.10. Synthesis of Bisindoles via Multicomponent Reactions

Harichandran et al. (2018) reported the synthesis of bisindoles 37 via a multicomponent reaction, with indole 1, aromatic aldehydes 35, secondary amines 36, and Amberlite IRA-400 Cl resin as catalysts (Scheme 13). Although the yields were modest, the method is valuable due to its efficiency and easy handling of the catalyst [114].

2.11. Synthesis of Isatin Bisindoles

Yu et al. (2014) reported an efficient synthesis of 3,3-bis(1H-indol-3-yl)indolin-2-ones 40 via a reaction of various isatins 38 with indoles 39 in the presence of p-TSA in CH2Cl2 at room temperature (Scheme 14). Also, a series of 2,2-bis(1H-indol-3-yl)-2H-acenaphthen-1-ones were synthesized the same way [115]. Bonvicini et al. (2022) reported synthesis of isatin bisindoles 43 by the reaction of isatines 41 with indoles 42 in the presence of molecular iodine (Scheme 15) [116].

2.12. Synthesis of Acenaphthen Bisindoles

Ziarani et al. (2015) reported synthesis of 2,2-bis(1H-indol-3-yl)-2H-acenaphthen-1-ones 46 by condensing acenaphthenequinone 44 and indoles 45 in the presence of a catalytic amount of amino-functionalized silica (SBA-Pr-NH2) under solvent-free conditions at 100 °C (Scheme 16). The use of solvent-free conditions makes the process economical and environmentally friendly [117].
Feng (2010) reported synthesis of symmetrical 2,2-bis(1H-indol-3-yl)acenaphthen- 1(2H)-ones 48 in excellent yields using a catalytic amount of ceric ammonium nitrate (CAN) (Scheme 17) as well as synthesis of unsymmetrical 2,2-bis(1H-indol-3-yl) acenaphthen-1(2H)-ones 51 from the reaction of 2-hydroxy-2-indolylacenaphthen-1(2H)-one 49 with indoles 50 (Scheme 18). The author reported that the presence of electron-donating groups on the indole ring led to increased reaction yields, while electron-withdrawing groups, which deactivated the indole ring, had decreased yields [118].

2.13. The Reaction Between Amino-Indoles and Acid Chlorides of Dicarboxylic Acids

Halawa et al. (2018) reported synthesis of new amide bisindoles 54, 55, and 57 by treatment of tryptamine 52 or 5-aminoindole 56 with oxalyl chloride 53a or adipoyl chloride 53b (Scheme 19). All bisindoles showed cytotoxic activity against human cervix carcinoma cell line (KB-3-1) [119].

2.14. Synthesis of Bisindoles via One-Pot Masuda Borylation–Suzuki Coupling Sequence

Kruppa et al. (2022) converted 3-iodo-5-methoxy-1-tosyl-1H-indole 58 to pinacolyl boronate intermediate 59 by Masuda borylation in the presence of tetrakis(triphenyl phosphane) palladium(0), pinacolyl borane (HBpin), and triethylamine in dry 1,4-dioxane (Scheme 20). After full conversion of the indole 58, methanol was added to scavenge the remaining excess of HBpin. The subsequent addition of cesium carbonate and half an equivalent of 3,5-dibromopyridine 60 initiated the Suzuki coupling reaction in the same reaction vessel. The addition of potassium hydroxide cleaved the tosyl group, and the alkaloid precursor O,O′-dimethyl scalaridine A 61 was obtained in a yield of 64%. The reaction is important for the synthesis of natural compounds, especially those from marine fauna [120].

3. Medicinal Properties of Bisindole Compounds

3.1. Bisindolic Compounds with Antimicrobial Properties

Since resistant microbes have emerged as a result of the overuse of antibiotics in many industries in recent decades, researchers are becoming more interested in the synthesis, investigation, and development of novel antimicrobial drugs [121,122]. The subject showed its importance especially in the context of the COVID-19 pandemic, which faced one of the most pressing problems in clinical practice in the context of finding new effective antimicrobial and antiviral compounds against multiresistant pathogens [123,124]. The antibiotic resistance problem is amplified by the ability of bacteria to grow in an adherent state, developing microbial communities called biofilms that exhibit a phenotypic resistance, i.e., tolerance, rendering them 1000-fold more resistant to antibiotic treatments with respect to their planktonic counterparts [125].
Kamal et al. (2009) synthesized a series of bisindoles 62 in good yields (75–96%), using method in Section 2.1 with aluminum triflate (0.5%) as a catalyst in acetonitrile (Figure 4). 5-Nitro heteroaryl containing bisindoles 62a and 62c exhibited significant antibacterial activity, and compound 62e was found to be the most active from this series against all tested strains: Escherichia coli MTCC 443, Pseudomonas aeruginosa MTCC 1688, Pseudomonas oleovorans MTCC 617, and Klebsiella pneumoniae MTCC 618 as Gram-negative bacteria and Bacillus subtilis MTCC 441 and Staphylococcus aureus MTCC 96 as Gram-positive bacteria. Also, compounds 62a62e demonstrated significant antifungal activity against all tested fungi: Candida albicans MTCC 227, Rhizopus oryzae MTCC-262, and Aspergillus niger MTCC 1344 [126]. Using indium chloride as a catalyst (10 mol%) in isopropanol at 80 °C, Roy et al. (2014) similarly synthesized 3,3′-bis(indolyl)methanes 63a and 63b, which showed MIC values of 6.5–62.5 µg mL−1 against all tested bacteria: S. aureus, B. subtilis, L. lactis, Rhodococcus sp., A. protophormiae, M. smegmatis, P. aeroginosa, S. flexneri, P. mirabilis, and E. coli. Their higher antibacterial activity in comparison to the other compounds with lower activity was associated with the presence of the -OH group and the 3-pyridyl ring [127]. Beginning with the same reactants, Sarva et al. (2016) synthesized a series of compounds 64 by microwave irradiation in solvent-free conditions. Compounds 64a64c exhibited the strongest antibacterial activity against a strain of Staphylococcus aureus. [128]. Bahe et al. (2020) found that from a series of eight bisindoles, compound 65 had the highest antibacterial activity against Staphylococcus aureus with a MIC value of 40 μg mL−1 compared to Kanamycin as standard. Bisindole 65 was obtained in the presence of 5.0 mol% p-toluene sulfonic acid in acetonitrile at room temperature [129]. Campana et al. (2020) reported similar synthesis for compounds 66 and 67, and the minimum inhibitory concentration (MIC) of them against the MRSA (S. aureus CH 10850) and the MSSA (S. aureus ATCC 29213) strains is reported in Table 2, along with their hemolytic activity. Bisindole 67 showed greater disaggregating activity (up to 56% for the examined strains) on preformed biofilm compared to the natural alkaloid 66. In addition, compound 67 enabled a 256-fold reduction in the MIC of oxacillin for the clinical MRSA strain. The presence of the two halogen atoms, Br and F in compounds 66 and 67, respectively, was linked to their strong antibacterial activity [130]. The conjugate addition of indole and its derivatives to ene-1,4-dione derived from isatin and acetophenone in the presence of a catalytic amount of molecular iodine in acetonitrile under mild conditions gave 3-(1-(1H-indol-3-yl)-2-oxo-2-phenylethyl)indolin-2-one derivatives 68 in good yields (75–90%) (Figure 5). All compounds showed modest antibacterial activity against Bacillus subtilis MTCC 441, Staphylococcus aureus MTCC 96, Staphylococcus epidermidis, Klebsiella pneumoniae MTCC 618, and Escherichia coli MTCC 443 strains of 75–150 µg mL−1 and a very good antibacterial activity against the strain Pseudomonas aeruginosa MTCC 741 of 9.375 µg mL−1 [131]. Compounds 69 were obtained by Singh et al. (2011) from 2-(1H-Indol/5-bromo-1H-indol -3-yl)-2-oxoacetyl chloride in two steps: reaction with various amines in presence of K2CO3 in acetonitrile and 0.5 equivalent of alkane dibromides in presence of NaH in dry acetonitrile at 0–5° C in 16–30% yields. Bisindole 70 resulted from the reaction in the second step of the intermediate i. with α,α’-dibromo-p-xylene using NaH as base. Compounds 69a and 70 with 4 mm higher zone inhibition than the solvent control (DMSO + acetone) against Candida albicans and 69b and 70 with IC50 of 78 µM and 20 µM, respectively, against Escherichia coli were found to be the most promising antifungal and antibacterial candidates [132]. By treating 1-substituted indole-3-carboxylic acid 71 with one of the indolic amines 72 or 73, two series of bisindoles, 74a74j and 75a75j (Scheme 21), resulted. All compounds had good antimicrobial activity, as seen in Table 3. The investigation of antibacterial screening revealed that all the newly synthesized compounds showed moderate to good inhibition at 6.25–25 µg mL−1 in DMSO compared to Ciprofloxacin as standard. Compounds 74a, 74e, 74h, 75b, 75f, 75i, and 75j showed good activity against E. coli and P. aeruginosa, and compounds 74b, 74e, 74j, 75b, 75e, and 75j showed good activity against S. aureus and S. pyogenes. Compounds 74a, 74e, 74h, 74i, 74j, 75b, 75f, 75i, and 75j showed good activity against K. pneumoniae. Antifungal activity of bisindoles 74 and 75 against all tested fungi, A. flavus NCIM 524, A. fumigatus NCIM 902, P. marneffei recultured, T. mentagrophytes recultured, and Candida albicans was also good, with values in the range of 6.25–25 µg mL−1 compared to ciclopiroxolamine.
SAR studies showed that in compounds 74 and 75, the presence of the halogen and the trifluoromethyl group improved their lipophilicity, while the presence of the amide group was the essential element for hydrogen bonding with the receptor [133]. Kumari and Singh (2013) reported the classic synthesis of two series of bisindole Schiff bases 76 and 77 in good yields (71–77%) (Figure 6). All compounds showed good antibacterial activities against all strains tested, S. aureus, B. subtilis, P. aeruginosa, E. coli, S. epidermis, and P. vulgaris, with a MIC of 10–30 µg mL−1. The compounds were often shown to be more potent against Gram-negative bacteria than Gram-positive bacteria according to SAR studies. Furthermore, these Schiff bases’ better antibacterial action was linked to the presence of hydrogen donor-acceptor sites and electron-withdrawing groups [134]. Caspar et al. (2014) reported bisindole compounds 7981 active against Francisella tularensis subsp. holarctica, with MIC50 of 4 µg mL−1 for compounds 7980 and 2 µg mL−1 for compound 81. According to SAR investigations, compounds 7981′s strong antibacterial properties were associated with the presence of bromine at the indole ring’s “5” position [135]. Imran et al. (2014) reported synthesis of a series of bisindole Schiff bases 82 by condensation of 4-(di(1H-indol-3-yl) methyl) benzenamine with substituted benzaldehydes. Compounds 82a82e specifically inhibited Salmonella typhi, S. paratyphi A, and Salmonella paratyphi B bacterial strains [136]. Sharma et al. (2014) reported synthesis of bis(indolyl)methanes 83, using different substituted indoles and carbonyl compounds (ketones and aldehydes) in a solvent-free reaction at 90 °C for 10–30 min in good yields (81–96%). Antimicrobial screening of all compounds showed bisindoles 83a83d were the most potent inhibitors, exhibiting MIC as well as MBC values equal to or less than those of Ciprofloxacin, of 0.5–2 µg mL−1 against Staphylococcus aureus, MRSA (Methicillin-Resistant Staphylococcus aureus), and VRE (Vancomycin-resistant Enterococcus). Additionally, SAR investigations demonstrated a strong association between the presence of Br, CN, and NO2 groups in the indole’s “5” position and the OH group in the molecule’s “4” phenyl nucleus and outstanding antibacterial properties [137]. Caspar et al. (2015) reported synthesis of a new series of 24 bisindole amides 84 in good yields (40–96%). Minimum inhibitory concentrations (MICs) ranged from 1 to 32 µg mL−1 for these compounds against all tested strains, S. aureus ATCC 25923, S. aureus ATCC 29213, S. aureus ATCC 9144, S. aureus ATCC 6538, S. aureus CIP 65.6, S. aureus CIP 103428, S. aureus CIP 65.25 (MRSA), S. aureus ATCC 33592 (MRSA), S. aureus ATCC 106414 (VISA), S. aureus SA-1199B (FQR), S. epidermidis ATCC 12228, S. epidermidis CIP 81.55, and S. epidermidis CIP 103627 (MRSE), the most active being 84a84f, with MICs ranging from 1 to 2 µg mL−1. For the three compounds 84a, 84e, and 84f, one MSSA, one MRSA, and 41 CoNS (Coagulase-negative staphylococci) strains belonging to 12 different species were tested. All these strains were susceptible to 84a, 84e, and 84f, with MICs of 1–4 µg mL−1. The lowered antibacterial properties of certain compounds 84 were found to be associated with a high hydrophobicity index and high plasma protein binding according to studies of the structure–activity relationship (SAR) [138]. Halawa et al. (2017) synthesized via microwave irradiation nine bisindole derivatives based on p-phenylenediamine and 4,4′-ethylenedianiline in very good yields (80–98%). Their antibacterial activity against Gram-positive bacteria Bacillus subtilis, Micrococcus luteus, and Staphylococcus warneri as well as Gram-negative bacteria Escherichia coli and Pseudomonas agarici were screened by the agar diffusion method and compared to Gentamycin as positive control and dimethyl sulfoxide (DMSO) as negative control. Compound 86 showed the best antibacterial activity against all strains tested, delivering inhibition diameters of 7–14 mm, with the best activity achieved against B. subtilis, and compound 87 exhibited moderate activity against E. coli, M. luteus, and S. warneri, with inhibition diameters of 7–8 mm (Figure 7) [139]. Almutairi et al. (2018) synthesized in good yields (60–94%) nine indole-isatin hybrids 88 by the reaction between 5-methoxy-1H-indole-2-carbohydrazide and the appropriate isatin derivative in absolute ethyl alcohol and a catalytic amount of glacial acetic. All compounds were screened for their antimicrobial activity using DIZ (diameter of inhibition zone) and MIC assays. Compound 88b was the most active congener against P. aeruginosa with a MIC50 value of 3.9 µg mL−1, compound 88d was the most active congener against A. niger (MIC50 = 7.8 µg mL−1), and compounds 88a and 88c were the most active and equipotent against P. notatum with a MIC value of 7.8 µg mL−1 DFT analysis showed that the good antibacterial properties of bisindoles 88a88b are positively correlated with the presence of halogen atoms F, Cl, and Br in position “5” of the indole ring [140]. By condensing indole-3-substituted acylhydrazides with 5-substituted-1H-indole-3-carbaldehyde in the presence of EtOH and a catalytic amount of glacial acetic acid under refluxing conditions for 20 to 45 min, Choppara et al. (2019) produced a series of N’-((5-substituted-1H-indol-3-yl)methylene)-n-(1H-indol-3-yl) alkanehydrazides 89. Similarly, a series of N′-((5-substituted-1-(3-methylbut-2-enyl) -1Hindol-3-yl)methylene)-n-(1H-indol-3-yl) acetohydrazide 90 was obtained. Compound 89a had good antimicrobial activity against B. subtilis, K. pneumonia, P. aeruginosa, and Aspergillus sps, compound 89c had good antibacterial activity against E. coli, and compound 90c had good antifungal activity against C. albicans [141]. Holland et al. (2024) synthesized compound 93 from 6-bromo-1H-indole 91 in two steps: the reaction with 2-oxoacetic acid on AlCl3 (20 mol%) catalyst in EtOH to afford 2,2-bis(6-bromo-1H-indol-3-yl)acetic acid 92 and the reaction of 92 with thionyl chloride in MeOH for 2 h at 0–5 °C to obtain methyl 2,2-bis(6-bromo-1H-indol-3-yl)acetate 93 (Scheme 22). The MIC50 promising values of MSSA (Methicillin-susceptible Staphylococcus aureus) ATCC 25923 and MRSA (Methicillin-resistant Staphylococcus aureus) ATCC 43300 activities obtained for bisindole acetate 93, of 8.7 µM and 17.3 µM, respectively, confirmed the proposed cheminformatics predictions in relation to MIA (marine indole alkaloids) chemical similarity analyses coupled with reported bioactivity. The chemical predictions made by MIA chemical similarity analysis were validated by the encouraging MSSA and MRSA activity discovered for 6-dibrominated bisindole 93. Furthermore, the SAR analysis made it abundantly evident that dibrominated molecule 93 and brominated bisindoles were both preferred over non-brominated ones [142].
Soltani et al. (2020) reported synthesis of bis(indolyl)methane derivatives 94a94d by condensation of 4,4′-(butane-1,4-diylbis(oxy)) dibenzaldehyde with indole under solvent-free conditions in the presence of various quantities of benzylsulfamic acid at various temperatures (Figure 8). The results showed that antimicrobial activity decreased in the order 94d > 94b > 94a > 94c against all tested strains, Pseudomonas aeruginosa MTCC 1688, Escherichia coli MTCC 443, Pseudomonas oleovorans MTCC 617, Staphylococcus aureus MTCC 96, and Bacillus subtilis MTCC 441, compared to Streptomycin as standard. The SAR studies revealed that the presence of nitrile group in compounds 94d and 94b contributed to a superior antimicrobial activity compared to compounds 94a and 94c (Figure 8) [143]. Semenova et al. (2021) synthesized a series of iodinated heptamethine bisindole dyes 95 containing carboxylic function and reported the photodynamic eradication of Gram-positive (Staphylococcus aureus) and Gram-negative (Escherichia coli, Pseudomonas aeruginosa) microbial pathogens. According to studies, the effectiveness of uncharged, zwitterionic cyanides in photoeradicating S. aureus increases as the number of iodine atoms grows up to two; stays about constant for dyes that are two-, three-, and four-iodinated; and decreases when hexaiodinated cyanine is used. Additionally, the mono-iodinated dye had the strongest phototoxic effect on P. aeruginosa and E. coli. Furthermore, a triethylammonium group adds an extra positive charge that enhances the inactivation of P. aeruginosa and E. coli while decreasing the photokilling of S. aureus. According to SAR research, the carboxylic function may allow these dyes to bind to a variety of carriers in the future [144]. The bisindoles 96 isolated by Kahn et al. (2022) from the sponge Spongosorites calcicola were bactericidal to MRSA and gastroenteric pathogen Vibrio parahaemolyticus. These compounds were synergistic in combination with conventional antibiotics. Antimicrobial activity of bisindole alkaloids 96 was due to rapid disruption and permeabilization of the bacterial cell membrane [145]. Khan et al. (2023) synthesized in three steps twelve bisindole-based triazine derivatives 97, starting from 1,2-di(1H-indol-2-yl)ethane-1,2-dione. Five of the synthesized compounds, 97a97e, showed good antibacterial activity against E. coli with an inhibition of 35–38% compared with the inhibitory profile of the standard drug Streptomycin (40.33%) [146]. Mokariya et al. (2023) synthesized bisindole-1,2,3-triazole hybrids 98 in very good yields (90–96%) via Cu-catalysed azide-alkyne cycloaddition click reaction. The antimicrobial activity of the compounds was examined against three Gram-negative (Escherichia coli, Pseudomonas aeruginosa, Klebsiella pneumonia), three Gram-positive (Bacillus subtilis, Staphylococcus aureus, Streptococcus pyogenes), and two fungal strains (Candida albicans, Aspergillus niger). Compound 98e was shown to be the best antibacterial agent with a MIC of 25 μg mL−1 against E. coli among all hybrids 98. In the SAR analysis, the presence of the Cl atom and NO2 group was linked to compounds 98’s enhanced antibacterial activity. The interactions between compound 98e and the DNA gyrase active site were discovered by the molecular docking investigation. According to the SwissADME webserver study, most synthetic bisindoles 98 follow the guidelines for drug-likeness [147]. Bisindole dye 99, which is utilized in numerous assays and imaging applications, has a strong phototoxicity to S. aureus, even at 1 nM and low light doses of 33 J⋅cm−2, according to Prakash et al. (2023). The dark toxicity of compound 99 against E. coli at 10 μM, however, can significantly impact biomedical research that uses this dye [148]. Ranjabari et al. (2023) synthesized in four steps, from indole and 4-nitrobenzaldehyde, ten β-lactam bisindoles 100. Bisindoles 100a100e showed the best antibacterial activity against tested strains (E. coli ATCC 25922, P. aeruginosa 9027, S. aureus ATCC 25923) among all tested compounds, even better than the reference Gentamycin. In SAR studies, it was discovered that the nitro group or the chlorine atom at the “4” position of the benzene ring was necessary for their biological activity. The biological activity is more improved when the substituent is present at the “4” position than when it is present at the “2” or “3” positions. Molecular docking studies confirmed the binding modes of these compounds into enzymes and showed the interactions of the active molecules with the main residues to be favorable. Also, molecular docking experiments revealed that bisindole-β-lactam derivatives 100 may inhibit Bcl-2 protein via a hydrogen bond and hydrophobic interactions. Thus, compound 100e forms a hydrogen bond between the NH of the indole ring and the oxygen of the carbonyl group of Asp35 (NH…O, 2.91 Å) in isoform 1 and two hydrogen bonds with Glu13 and Arg12 in isoform 2 (Figure 9) [149]. Sofan et al. (2023) reported the synthesis of bisindoles 101a and 101b and their antimicrobial activity against Bacillus cereus ATCC6633, Staphylococcus aureus ATCC25923, and Candida albicans ATCC10231, compared to the standard drug Penicillin G. Compounds 101a and 101b’s decreased and inhibited antibacterial activity (MIC50 = 5–9 µg mL−1) may be related to the steric hindrance of these bulky molecules. Bisindole 101a was more efficient against Gram-positive bacteria because of its less steric hindrance than compound 101b.
The decreased antifungal efficacy of compound 101b against Candida albicans as well as the moderate efficacy of compound 101a (6 ± 0.14 µg mL−1) in comparison to the drug Fluconazole (16 ± 0.06 µg mL−1) may also be caused by the same steric hindrance effect [150]. A series of in silico-designed bisindolylglyoxylamide derivatives were verified by Lipinski’s rules and ADMET criteria through successive refinements using three DFT optimization schemes [151].

3.2. Bisindolic Compounds with Antitubercular Properties

The high mortality due to tuberculosis, of 1 million deaths annually, led the scientific community to look for new treatment remedies; however, finding new effective antituberculosis compounds requires an extremely long treatment program [152]. Some data from the literature regarding antituberculous bisindoles are presented in the following.
Walmik and Saundane (2014) reported the synthesis of bisindole 102 by refluxing between 5-chloro-3-phenyl-1H-indole-2-carbohydrazide and 2-phenyl-1H-indole-3- carbaldehyde using a catalytic amount of acetic acid in methanol (Figure 10). Compound 102 on cyclocondensation with chloroacetyl chloride and a catalytic amount of triethyl amine in dry benzene under reflux conditions afforded 5-chloro-N-(3-chloro-2-oxo-4- (2-phenyl-1H-indol-3-yl)cyclobutyl)-3-phenyl-1H-indole-2-carboxamide 103. Both compounds had a very good antitubercular activity against Mycobacterium tuberculosis H37Rv, the first having MIC50 of 0.2 µg mL−1 and the second MIC of 6.5 µg mL−1 compared to Streptomycin with MIC50 of 6.5 µg mL−1 [153]. Khadkikar et al. (2018) reported for the first time an efficient and facile green synthesis under ultrasonic irradiation using ammonium molybdate as the catalyst in solvent water of a series of 20 bis(indolyl)methanes as potential Mycobacterium tuberculosis (Mtb) filamenting temperature-sensitive protein Z (FtsZ) inhibitors. MtbFtsZ inhibition studies of these bisindoles indicated that compounds 104 and 105 showed good inhibition of MtbFtsZ, of 62.26% and 56.86%, and they increased the length of M. smegmatis and B. subtilis by two folds. Compound 104 inhibited Mtb growth with a MIC of 37.5 μg mL−1. The authors also carried out detailed molecular docking studies to support the biological activity. Molecular docking calculations using Glide revealed that bisindoles 104 and 105 showed interaction with Asp184, Arg140, Glu136, and Phe180 residues, which are essential for antitubercular activity [154].

3.3. Bisindolic Compounds with Antimalarial Properties

Malaria, an infectious disease caused predominantly by Plasmodium falciparum, which is widespread in Asia, Africa, and Latin America, is treated with specific drugs depending on the type and severity of the disease, but most therapies applied nowadays are from decades ago. Therefore, there is a need to discover new antimalarial drugs and to establish new strategies to treat this parasitic disease that causes hundreds of thousands of deaths annually [155].
Fernandez et al. (2008) and Vallakati et al. (2012) isolated from the Australian plant Flindersia acuminata Flinderoles A–C 106108 with good antimalarial activities, having IC50 values between 0.08 and 1.42 μM against the Dd2 (chloroquine-resistant) P. falciparum strain, which they selectivity assessed using the HEK-293 mammalian cell line [156,157]. Robertson et al. (2017) isolated from Flindersia pimenteliana bisindoles 109, 110, and 111 with IC50 (Dd2) antiplasmodial activities against chloroquine-resistant Plasmodium falciparum strains (Dd2) of 0.34 ± 0.11, 0.22 ± 0.13, and 0.19 ± 0.04 μM, respectively [158] (Figure 11).

3.4. Bisindolic Compounds with Antileishmanial Properties

Leishmaniasis is caused by protozoan parasites of the genus Leishmania and is one of 13 neglected tropical parasitic diseases designated by the World Health Organization’s Tropical Disease Research Program. It has a profound impact on the lives of 12 million individuals globally, primarily affecting the world’s most impoverished populations [159]. In the field of antileishmanial chemotherapy, the importance of N-heterocyclic compounds, and particularly of bisindolic compounds, is evident, as seen in the results of numerous studies [160]. Taha et al. (2019) synthesized a series of 27 bisindole analogues 112–138 and evaluated them for their antileishmanial potential. The synthesis of the compounds was performed in three steps: synthesis of methyl 4-(di(1H-indol-3-yl) methyl)benzoate using the method mentioned in 2.1., followed by transformation of it to 4-(di(1H-indol-3-yl) methyl)benzohydrazide by treatment with hydrazine hydrate in ethanol for 3–4 h at 78 °C, and finally, synthesis of N-substituted 5-(4-(di(1H-indol -3-yl)methyl)phenyl)-1,3,4-thiadiazol-2-amine by reaction of the second intermediate with the corresponding isothiocyanate in ethanol (Scheme 23, Figure 12). All bisindoles showed excellent inhibitory potential with IC50 values ranging from 0.7 ± 0.01 to 13.30 ± 0.50 μM when compared with standard Pentamidine with IC50 value of 7.20 ± 0.20 μM (Table 4). Molecular docking studies of these bisindole derivatives on pteridine reductase (PTR) shows that all the active compounds tend to adopt a similar binding mode, as depicted in Figure 13. Comparison of the binding mode of the most active compound 119 with the standard pentamidine used in the study showed that bisindole 119 interacts with the key residues of the PTR active site, establishing hydrophilic and hydrophobic contacts, while pentamidine interacts with fewer hydrophobic residues. This shows that these synthetic bisindoles could be potential candidates as therapeutics against leishmaniasis. According to SAR studies, the antileishmanial activity is enhanced to varying degrees by the presence of certain substituents on the phenyl nucleus. The following substituents are among the most effective: OH, di(OH)2, NO2, F, Cl, and OCH3. Additionally, where they occur on the phenyl ring is crucial. In contrast to other sites, it appears that their presence in the phenyl ring’s “2” position significantly increases the biological activity [161]. Filho et al. (2023) reported synthesis of 1,2-di(1H-indol-3-yl) diselane 139 in two steps, as seen in Scheme 24. The study showed that seleno-bisindole 139 has good antileishmanial activity, with an IC50 value of 20.70 µM, and can act by interfering with membrane integrity, which leads to mitochondrial dysfunction and the production of ROS (reactive oxygen species) [162].

3.5. Bisindolic Compounds with Antiviral Properties

Viral infections are a real threat to each organism at any age, depending on the extent of the disease and the victim [163]. Moreover, in the context of the recent SARS-CoV pandemic and its current consequences, it is necessary to find new antiviral compounds to meet the increasingly diverse requirements on a global level. Indole compounds, and more recently, bisindole ones, have proven to be good antiviral agents, which is reflected in the research we present below [164].
Zhou et al. (2014) reported synthesis in three steps of a series of bisindoles 140 (Scheme 25), which were evaluated for their potential to inhibit HIV-1 in binding, cell fusion, and viral replication assays. The most active bisindole, 140j, exhibited a binding affinity with KI of 0.6 μM and EC50 of 0.2 μM in cell−cell fusion inhibition and viral replication inhibition. Bisindoles 140’s SAR investigations showed that in order to enter into the hydrophobic pocket, a certain shape, bound conformation, charge, and hydrophobic contact surface were needed. Improved binding affinity, viral replication, and cell–cell fusion inhibition were the outcomes of optimization. The most active molecule, 140j, had submicromolar activity [165]. In another study, Zhou et al. (2019) reported molecule 141 with promising anti-HIV-1 activity, a value IC50 of 0.8 µM, a molecular weight < 500 da, and reduced logP (6.8) compared to previous compounds (Figure 14). The study demonstrated how a small compound intervened in glycoprotein 41’s (gp41) hydrophobic pocket. SubmM’s inhibitory effect against HIV-1 fusion was shown to require both a strong hydrophobic character (logP ≈ 7) and a bisindole core of molecule 141. Enhancing hydrophobicity did not increase potency over the mid-nM threshold. The hydrogen bonds between the Boc carbonyl group and the Gln 575 pocket, which have the ability to increase specificity and drug affinity, may be the cause of bisindole 141’s superior antiviral activity when compared to other three-ring compounds [166]. Also, Zhou’s group (2021) reported that bisindole 142 is an inhibitor of HIV-1 fusion with an IC50 < 100 nM and its interaction with a hydrophobic pocket of glycoprotein-41 (Figure 15). Docking studies suggested an orientation of 142 in the hydrophobic pocket in which one indole group and one benzoic acid moiety fit into the deepest part of the pocket, and the second indole and benzoate extended along a groove bordered by Leu, Gln, and Trp residues, with possible π–π interactions with Trp571 (Figure 15). To accommodate side chain flexibility, especially along the groove, docking was performed using an induced fit model in which Gln 575 and Trp 571 side chains were allowed to move. A large number of non-polar interactions were identified between 142 and residues forming the pocket, and both a hydrogen bond and a salt bridge were predicted between the ligand carboxylic acid and Lys-574 ε-NH2. In Figure 15, the different colors on the protein refer to the different charges, positive or negative, highlighted in blue and red, and the amino acids involved in the interaction with the pharmacophore molecule 142 are specified [167]. Gao et al. (2023) reported the synthesis and antiviral activity against tobacco mosaic virus (TMV) of bisindole 143 by the classical method mentioned in point 2.1, with a yield of 71%. Compound 143 exerted a superior inhibitory effect in comparison to the commercial antiviral agent Ribavirin, and therefore it could become a novel antiviral candidate. Molecular docking research and molecular biology experiments found that the potential target of compound 143 was the TMV coat protein [168].

3.6. Bisindole Compounds with Anticancer Properties

Cancer refers to a series of diseases that occur through uncontrolled cell growth and cell division, when the cells of the body evolve after undergoing successive endogenous and extrinsic mutational processes that lead to abnormal cell proliferation [169]. The number of people with cancer is extremely high; therefore, the World Health Organization (WHO) estimates a number of 29.5 million new cancer cases reported by 2040 [170]. As a result of these literature data, one of the major directions of research is the synthesis of compounds with anticancer properties, and among them, nitrogen heterocyclic compounds occupy a central place due to their remarkable properties, low toxicity, and very extensive therapeutic applications on several types of cancers [171,172,173]. The many kinds of bisindolic anticancer compounds that have been described in the recent literature are therefore presented in more detail. A series of bisindole sulfonamide derivatives were synthesized using the classic reaction (see Section 2.1) and evaluated for their cytotoxic activity by Pingaew et al. (2013). Among all the compounds, the chloro bisindole 144 and trisindole 145 provided 3-fold and 2-fold stronger activity, respectively, against HepG2 cells than Etoposide, with IC50 of 8.62 ± 1.04 and 12.52 ± 0.58, respectively, compared to 30.92 ± 5.35 μM (Figure 16). Moreover, chloro bisindole 144 was the most potent compound against HuCCA-1 and A549 cell lines, affording IC50 of 7.75 ± 0.37 and 8.74 ± 0.79 μM, respectively. Para substitution (R = Cl) on benzenesulfonamide in compounds 144 and 145 had a higher inhibitory potency than analogues with o-, m-, and p-nitro groups, according to SAR studies [174]. El Sayed et al. (2015) synthesized a series of bisindoles by the classic reaction, in high yields of 86–98% (see Section 2.1). The bisindoles 146 and 147 showed the best anticancer activities of all six tested compounds. Bisindole 146 exhibited good anticancer activities against leukemia cancer cell MOLT-4 (IC50 = 6.44 µM); non-small lung cancer cell NCIeH460 (IC50 = 5.35 µM); colon cancer cells HCT-116 and HT29 with IC50 values of 5.05 µM and 4.74 µM, respectively; melanoma cancer cell M14 (IC50 = 3.91 µM); ovarian cancer cell IGROV1 (IC50 = 6.98 µM); and renal cancer cells (CAKI-1 and UO-31) with IC50 values of 4.78 µM and 3.2 µM. Compound 147 showed the highest antipoliferative activity in a nanomolar scale towards the three selected cancers cell lines; non-small lung cell NCIeH460 with a GI50 of 616 nM, ovarian cancer cell line OVCAR-4 with a GI50 of 562 nM, and breast cancer cell line MCF7 with a GI50 of 930 nM. The methoxy group’s presence in the para position (compound 146) is significantly more efficient than its presence in the meta or ortho positions, according to SAR studies. Furthermore, the methoxy and benzyloxy groups in compound 146 primarily contribute to its enhanced activity. While its activities in renal cancer cells showed distinct anticancer activities comparable to compound 146, the basic substituent NMe2 (compound 147) proved unfavorable in terms of overall anticancer activities [175]. Bisindole polyamines 148 and 149 have been synthesized (Scheme 26) by Szumilak et al. (2017). Their cytotoxic activities (IC50) against the PC-3 prostate adenocarcinoma cell line, the DU-145 prostate carcinoma cell line, and the MCF-7 mammary gland adenocarcinoma cell line were determined in the range of 15.51–35.72 µM (Table 5); therefore, it has lower anticancer activity compared to Doxorubicin. However, compounds 148 and 149 presented favorable drug-like properties according to Lipinski’s Rule in the preliminary in silico ADMET screening, thus providingerefore, a promising basis for the further development of potential anticancer drugs. In terms of plasma protein binding (PPB), SAR analyses showed that chemicals 148 and 149 were probably highly bound to plasma proteins (%PPB > 90%). Since the pharmacological activity is typically attributed to a free fraction of the drug, this trait is undesirable because it reduces the efficacy of the “active molecule” [176]. Eldehna et al. (2020) synthesized a series of bisindoles as Topsentin and Nortopsentin analogs. The most potent congeners 150 and 151 against MCF-7 cells (IC50 = 0.44 ± 0.01 and 1.28 ± 0.04 µM, respectively) induced apoptosis in MCF-7 cells (23.7- and 16.8-fold increase in the total apoptosis percentage), as evidenced by the externalization of the plasma membrane phosphatidylserine detected by the Annexin V-FITC/PI assay [177]. Pingaew et al. (2021) investigated cytotoxic activities of a series of bisindole compounds against four cancer cell lines (HuCCA-1, HepG2, A549, and MOLT-3). The most promising anticancer compounds were noted to be hydroxyl-bearing bisindoles 152 and 153, containing CF3 and NO2 groups, respectively, with the best anticancer properties (Figure 16). Molecular docking revealed that the promising anticancer compound 153 could occupy the active site of the EGFR in a similar manner with that of the cocrystallized ligand Ibrutinib (Figure 17). In Figure 17, the different subunits and protomers of the proteins that interact specifically with the studied molecules 152 and 153 are represented in different colors: green, magenta, and light pink [178]. Parthiban et al. (2022) synthesized the curcumin derivatives 154156 through a three-component reaction (Scheme 27). All synthesized compounds exhibited anticancer properties against Hep-2, A549, and HeLa cell lines and also antioxidant properties, as can be seen in Table 6. The profound anti-cancer and antioxidant activity of methoxy-substituted indole 156 become evident. Molecular docking studies also confirmed the anticancer potential of 154 and 155 by showing the binding interaction with Bcr-Abl and GSK-3β proteins (Figure 18). Compound 156 has a high degree of chemical reactivity, as indicated by the smaller energy gap between the HOMO and LUMO in DFT investigations. Consequently, methoxy substituted indole curcumin 156 was found to be a promising compound, and additional clinical research would determine whether or not the compound might be used medicinally [179].
Budovska et al. (2023) reported that bisindole 157 significantly inhibited the proliferation of lung cancer cell line A549 (IC50 = 8.7 µM) with minimal effects on non-cancer cells. Compound 157 was also shown to induce autophagy by upregulating Beclin-1, LC3A/B, Atg7, AMPK, and ULK1. Furthermore, compound 157 in combination with chloroquine (an autophagy inhibitor) decreased cell proliferation and induced G1 cell cycle arrest and apoptosis. Compound 157 also caused GSH depletion and significantly potentiated the antiproliferative effect of cisplatin (Figure 19) [180]. Gonçalves et al. (2023) reported that the triphenylamine bisindole derivative 158 (see Section 2.1) displayed an IC50 of 3.93 µM against the HT-29 cancer cell line. Also, compound 158 showed antiparasitic activity, with an IC50 of 3.21 and 3.30 µM against Trypanosoma brucei and Leishmania major, respectively [86]. Taha et al. (2018) reported that thymidine phosphorylase inhibitors 159162 had an excellent inhibitory effect, i.e., IC50 range of 3.5 to 12.6 μM against EcTP (thymidine phosphorylase from E. coli), in comparison to the medical standard, 7-Deazaxanthine (Table 7). Docking simulations of compounds 159162 suggest that the optimal inhibitors form interactions with key residues: Lys115, His116, Ser117, His150, Arg202, Val208, Ser217, Ile214, Lys221, and Val241 (Figure 20). The computed GOLD score values (using GOLD docking program 5.4.1) have shown a rational correlation with experimental inhibitory activity of compounds towards thymidine phosphorylase. The chlorine group’s crucial presence in the indole’s “5” position was demonstrated by SAR analyses. Based on the calculated IC50 values, Table 7 demonstrates that the 1,3,4-oxadiazole ring has phenyl-OH groups. The presence of 2,4-dihydroxyphenyl is very advantageous, as seen by compound 159’s IC50 of 3.50 ± 0.01 μM. Moreover, significant inhibitory activity was lost upon conversion to -OCH3 or removal of one of the -OH groups [92].
Naidu et al. (2013) reported synthesis of bisindoles 163166 in excellent yields using the electrophilic substitution reaction of indole with aromatic aldehydes in the presence of polymer-supported dichlorophosphate (PEG-OPOCl2) as an efficient green catalyst with a short reaction time (2–10 min) at room temperature. Their anticancer properties were evaluated against colon, breast, and cervical cancer cell lines. As shown in Table 8, bisindole 163 showed good anticancer activity on three kinds of cancer cells [94]. Grosso et al. (2017) reported the anticancer activity of bis(indolyl) oximes 31a31d (Scheme 11) and bis(indolyl) hydrazones 34a34e (Scheme 12) against three tumoral and one non-tumoral cell lines (S17) (Table 9). The best IC50 values for these compounds are highlighted in green in Table 9. Two IC50 values determined for the compounds, 3.23 mM for 31c on the EL4 cell line and 7.65 for 34b on the non-tumor S17 line, were better than the positive control, etoposide [113]. Jin et al. (2021) reported that the bisindole alkaloid 167 (spondomine) showed excellent cytotoxicity against K562 cell lines with an IC50 value of 2.2 μmol L−1 (Figure 19) [181]. Voura et al. (2022) reported the synthesis of a series of bisindole alkaloids 168179 as new MARK4 inhibitors (Figure 21). The compounds proved to be MARK4 inhibitors according to enzyme inhibition assays, with IC50 values in the low micromolar range (Table 10). Moreover, the experiments showed that bisindoles 168 and 176 induce early to late apoptotic events in A549 cells. In the SAR study, the presence of the chlorine atom in the “5” position of the indole was found to be essential, as well as the COOH and COOCH3 substituents in the “2” and “5” positions of the pyrrole ring. The Autodock Vina software in conjunction with PyRx was used to perform docking studies on bisindoles 168179 in order to anticipate molecular interactions with the catalytic region of MARK4 (PDB: 5ES1). With binding affinities ranging from 7.2 to 10.7 kcal mol−1, it was found that all compounds were stabilized by a variety of non-covalent interactions, including hydrogen bonds with residues within the MARK4 active site. The pyrrole moiety’s NH group is pointed in the direction of the phosphate pocket, where Glu182 interacts with it. In compounds 169 and 170, a hydrogen bond was also established with the residue Lys64 [182]. Ranjabari et al. (2023) reported a moderate antiproliferative activity on the MCF-7 tumor line, with IC50 values of 12.42–32.30 µM for bisindoles 100a100e (Figure 8). The inclusion of a xanthene group at the C-3 position of the β-lactam ring increased the anticancer bioactivity according to SAR studies. Cytotoxicity activity was reduced when the para position on the phenyl ring substituent in 100c was substituted for the meta-nitro group on 100b. This is explained by the enzyme’s active site’s incorrect geometric orientation and altered hydrogen bond interactions with the essential amino acids [149]. Midya et al. (2023) reported the iron-catalyzed synthesis of the fluorescent enyne bisindoles 180 and 181 (Scheme 28). The trans-enyne 181 investigated for its potential to trigger cell death in cancer cells exhibits cytotoxic effects on HepG2 cancer cells and halted the cell cycle during the G2/M phase [183].

3.7. Bisindolic Compounds with Anti-Inflammatory Properties

Medicines with anti-inflammatory properties reduce the inflammation produced by an inflammatory agent. Unlike opioids, which have an impact on the central nervous system, anti-inflammatory drugs represent about half of analgesics, which relieve pain by reducing inflammation [184]. The literature mentions a series of bisindoles with anti-inflammatory properties [185], which are presented below. The therapeutic anti-inflammatory action of these nonsteroidal anti-inflammatory drugs (NSAIDs) is achieved by blocking the synthesis of prostaglandins and selectively inhibiting cyclooxygenase.
Sarva et al. (2016) reported the anti-inflammatory activity of bisindoles 188193 and their significant anti-inflammatory effects at two different concentrations, 50 µg mL−1 and 100 µg mL−1 (Figure 22). Moreover, bisindoles 188, 190, 191, and 192 exhibited significantly greater anti-inflammatory effects compared to the reference drug Diclofenac (Table 11) [128]. Qu et al. (2013) reported the anti-inflammatory activity of bisindole alkaloid 194 isolated from Gelsemium elegans. Bisindole 194 (Geleganimine B) demonstrated anti-inflammatory properties by inhibiting lipopolysaccharide-induced proinflammatory factors in BV2 microglial cells, showing an IC50 value of 10.2 μM (Figure 23) [186]. Sujatha et al. (2009) reported bisindoles 195197 with enhanced anti-inflammatory activity (51.38–52.18% inhibition of edema IE) without ulcerogenic liability considering Indometacin (76.66% IE) as the standard [187]. Mizobuti et al. (2022) conducted in vivo studies and morphological analyses of the anti-inflammatory effects of indigo 198 on the dystrophic DIA muscle. The mdxIND group exhibited a significant decrease in inflammatory area (by 36.5%) and macrophage infiltration area (by 87.2%) when compared to the mdx muscle cells [188]. Zhang et al. (2021) showed that treatment with bisindole 199 effectively reduced Iba-1-positive microglia cells in the cerebral cortex and hippocampus after cerebral ischemia. The treatment with 199 significantly improved neuroinflammation, as characterized by Interleukin (IL)-6, tumor necrosis factor (TNF)-α, and oxidative stress, characterized by reactive oxygen species (ROS) and superoxide dismutase (SOD), in comparison to the model group [189].

3.8. Bisindolic Compounds with Anti-Alzheimer Properties

According to Shim et al. (2019), a small bisindole 200 (Ro 31-8220) restored tau-induced memory impairment, enhanced midge motor functions, and decreased phosphorylated tau species both in vitro and in vivo. Furthermore, 200 decreased tau phosphorylation and PKC activity in a human neuroblastoma cell line, thus being a good inhibitor of tau protein-induced neurotoxicity (Figure 24) [190]. Bharate et al. (2012) reported a bisindolic alkaloid 201 (Fascaplysin) as an AChE inhibitor, with an IC50 of 1.5 μM [191], and also as a protector against Aβ oligomer-induced neuronal death. Molecular modeling investigations were carried out to ascertain the conformation, orientation, and interaction of bisindole 201 in the AChE active site. The structure and orientation of 201 in the AChE active site were discovered by docking experiments. The structure of Fascaplysin (201) is planar. Upon docking in the AChE active site, it was discovered to occupy the AChE active site, which is a deep and narrow gorge that contains two ligand binding sites: an acylation site (also known as a catalytic anionic site, or CAS) at the gorge’s base and a peripheral site (also known as a peripheral anionic site) close to the gorge entrance [192]. Pan et al. (2019) synthesized bisindoles 202 and 203 as the most potent inhibitors of AChE from the synthesized series, which reduced neurotoxicity in the nanomolar range. By lowering pro-inflammatory cytokine expression and preventing Aβ-induced tau hyperphosphorylation in vivo, compounds 202 and 203 showed improvement in mice’s cognitive impairment brought on by scopolamine or Aβ oligomers [193]. Angelova et al. (2023) synthesized melatonin-containing bisindole 204 by the reaction between 5-methoxy-1H-indole-3-carbaldehyde and 2-(1H-indol-3-yl)aceto hydrazide in absolute EtOH for 1–2 h (Scheme 29). Compound 204 showed promising butyrylcholinesterase (BChE)-inhibitory activity, with an IC50 of 21.12 ± 1.48 µM, better than the control Galantamine with an IC50 of 29.55 ± 0.96 µM. Compound 204 was anticipated by an in silico pharmacokinetics analysis to be well absorbed, digested, and eliminated, with the majority of it being able to pass across the blood–brain barrier. Additionally, compound 204 was assessed for blood–brain barrier permeabilities using the parallel artificial membrane permeability test (PAMPA). Future uses of bisindole 204 as a Multi-Target Directed Ligand (MTDL) in complicated disorders such as severe depression and AD that target melatonin MT1 and MT2 receptors as well as AChE and/or BChE enzymes are suggested by docking studies [194]. Nadeem et al. (2022) reported that bisindoles 205208 have AChE inhibition in the range of micromolar concentrations (Figure 24) and also excellent MAO-B inhibition. Bisindole 205 was found to be one of the most potent inhibitors of human MAO-B with an IC50 value of 0.13 μM. The methoxy substituent gives compound 208 its enhanced anti-Alzheimer activity, and the docking investigation showed that the presence of heteroatoms on the bisindole core, thiazolone, and pyrimidine rings is crucial for the interaction with the receptor. Docking investigations were conducted on MAO isoforms to assess the binding orientations and interaction patterns of bisindole 205. Figure 25a displays the 2D interaction plot of bisindole 205 within the binding site of MAO-A. Compound 205 interacts with Phe208, Gly66, Phe352,Cys323, Tyr407, Cys406, and Tyr444. Amino acids Ala68 and Tyr69 engage in hydrogen bond interactions, whereas cysteine residues (Cys323 and Cys406) interact through π−sulfur interactions. The interaction diagram of bisindole 205 within the binding site of MAO-B is displayed in Figure 25b [195,196].

3.9. Bisindolic Compounds with Antioxidant Properties

Reactive oxygen species (ROS) and reactive nitrogen species (RNS) are associated with numerous pathologies and conditions, including rheumatoid arthritis, cancer, atherosclerosis, Alzheimer’s disease, Parkinson’s disease, and others. The development of antioxidant molecules that can neutralize ROS and RNS, thereby reducing radical-induced oxidative injury, has been the prudent approach used until now to prevent diseases associated with oxidative stress [197]. We present below a series of bisindoles with antioxidant properties mentioned in the literature.
Estevão et al. (2010) reported that bisindole 209 has excellent antioxidant activity against peroxynitrite anion (ONOO) in the presence of NaHCO3, with an IC50 of 14 ± 16.8 µM. This indicates that 209 is an efficient scavenger of RNS and, in addition, this radical stabilization is highly dependent on the type of substituents on the indole moiety and their relative positions (Figure 26) [198]. Silveira et al. (2013) synthesized di(1H-indol-3-yl)sulfanes by the reaction of benzimidazole with 4-methylbenzenesulfonic thioanhydride in DMA (dimethylacetamide) under microwave irradiation (160 °C) and Ce(III) as the promoter (1.0 mmol) (Scheme 30). The IC50 value (sample concentration required to inhibit 50% of radicals) of 22.5 ± 10.2 µM and maximum inhibition (Imax) of 89.9 ± 2.5% were found for bisindole 210 in the DPPH assay [199]. Mizobuti et al. (2022) reported the in vitro and in vivo activity of indigo. Comparing the indigo-treated group to the mdx group in in vitro experiments revealed a significant decrease in SOD-2, GPX-1, and GSH levels (36.6%, 61.4%, and 15.1%, respectively). The experimental groups’ levels of GSR and catalase did not differ significantly from one another. Regarding the impact of indigo on the antioxidant defense system in the dystrophic DIA muscle, in vivo studies showed that the mdxIND group significantly reduced the levels of SOD-2 (by 62.1%), CAT (by 42.3%), GPX-1 (by 57.1%), GSR (by 38.6%), and GSH (by 29.3%) in comparison to the mdx group [188]. Ranjabari et al. (2023) reported the antioxidant activity of bisindoles 100a100e using the DPPH assay and ascorbic acid as the standard molecule. All compounds showed good antioxidant activity, with IC50 values in the range of 179–223 µg mL−1, as seen in Table 12. Additionally, SAR investigations found that the compounds’ varying levels of antioxidant activity are caused by the C-3 and C-4 substituents of the β-lactam [151].

3.10. Bisindole Compounds with Antidiabetic Properties

Diabetes mellitus, characterized by high blood sugar and dyslipidemia, is a chronic disease spread all over the world and that is expanding at an alarming rate. Type 2 diabetes is primarily caused by insulin resistance, although the specific deficiencies in insulin action are still unknown. Neuropathy, nephropathy, retinopathy, and cardiovascular disease are among the long-term complications that patients with diabetes mellitus are most likely to experience [200]. Therefore, it is imperative to find new antidiabetic compounds to meet the continuing demands of this widespread disease. Below, we present some bisindole compounds reported in the literature to have antidiabetic properties.
Ki et al. (2016) reported the synthesis of the non-cytotoxic bisindole vanadyl-Schiff base 211 using a one-pot synthetic method as indicated in Scheme 31. According to the trials, 211 has strong anti-inflammatory and insulin-mimetic properties. In particular, bisindole 211 is able to control insulin signaling by deactivating JNK-1 and adding a phosphate group to the tyrosine part in order to activate IRS (insulin receptor substrate) [201]. A new series of oxadiazole-trisindole hybrids was reported by Taha and colleagues (2017). Compound 212 showed the best antidiabetic activity by inhibiting α-glucosidase (Figure 27). In the SAR investigation, the presence of the chlorine atom on bisindole molecule 212 was linked to its higher antidiabetic activity. Docking analyses of the binding mode of compound 212 (IC50 = 2.00 ± 0.01 µM) showed that it adopts a binding mode that will fit the entire furrow of the binding site of α-glucuronidas,e and the chloro group of 212 is strongly bound to the active site of α-glucosidase. The high inhibitory activity on α-glucosidase is due to the creation of a powerful hydrogen bond [202]. Cavdar et al. (2012) reported synthesis of cyclohexene-linked bisindole 213 in two steps (Scheme 32). Bisindole 213 exhibited moderate β-glycosidase inhibition assay, with an IC50 value of 67.7 µM [203]. Wang et al. (2017) reported a series of 3,3′-bisindole derivatives with inhibitory activity on α-glucosidase. Compound 214, which contains group 2-fluorobenzyl, showed the best antidiabetic activity, with an IC50 value of 5.98 ± 0.11 µM [204]. Mayati et al. (2015) reported a series of bisindolymaleimides, analogs of Staurosporine as Protein Kinase C beta inhibitors (PKC-b1 and b2). Bisindole 215 (Ruboxistaurin) exhibited excellent antidiabetic activity. The same research group reported three series of cyclic indole compounds as orally available selective PKC-b inhibitors [205]. Indirubin 216, a major component of Polygonum tinctorium, synthesized by Sugai et al. (2020), accelerates the differentiation of 3T3-L1 cells by increasing triglyceride accumulation in the cells, thus becoming a good activator of peroxisome proliferator-activated receptor gamma (PPARg), and could be used for the treatment of type 2 diabetes [206,207]. Docking and ADMET prediction revealed that 6-bromoindirubin-3-oxime 217 could be a potential inhibitor of GSK-3 and therefore an antidiabetic compound [208]. Other researchers have identified two more structures, indirubin-3′-monoxyme 218 and indirubin-5-sulfonic acid 219, as selective inhibitors of GSK-3β [209].

3.11. Bisindolic Compounds with Analgesic Properties

The term “analgesics” refers to a group of pharmaceuticals used to manage and treat pain, including opioids, acetaminophen, nonsteroidal anti-inflammatory drugs [210,211], antidepressants, antiepileptics, and local anesthetics [212,213,214,215]. Bisindole compounds are also notable as analgesics. Several structures of bisindoles with analgesic properties are presented below.
Li et al. (2009) synthesized analgesic bisindoles 220a and 220b with yields of 60% and 34%, respectively (Scheme 33). N-cyclopropylmethyl-bisindole 220b demonstrated moderate affinity at all three opioid receptors, whereas N-Me-bisindole 220a lost affinity at the d receptor but maintained some affinity at the l receptor. With a Ki value of 34 nM, compound 220b has greater potency at the l receptor and is selective against the d and j receptors by two and four times, respectively. SAR studies evaluated bisindoles 220a and 220b for their binding affinity at all three opioid receptors (µ, δ, and k) using a specific procedure. These studies revealed that bisindole 220a showed partial agonistic stimulation at the µ receptor, while its N-cyclopropylmethyl-congener 220b produced good agonistic stimulation at all the three opioid receptors, indicated that it is a universal opioid receptor partial agonist possessing EC50 values of 46–110 nM [216].

3.12. Bisindolic Compounds as Carbonic Anhydraze II Inhibitors

The enzymes known as carbonic anhydrases are members of the family that catalyzes the interconversion of carbon dioxide, water, and the dissociated ions of carbonic acid (i.e., hydrogen and bicarbonate ions). They are categorized as metalloenzymes because the majority of carbonic anhydrases have a zinc ion in their active site [217]. These enzymes assist in moving carbon dioxide and preserving the acid–base equilibrium. According to research, human carbonic anhydrase is crucial for many physiological functions, and aberrant enzyme activity is connected to a number of illnesses, including glaucoma, leukemia, and epilepsy [218].
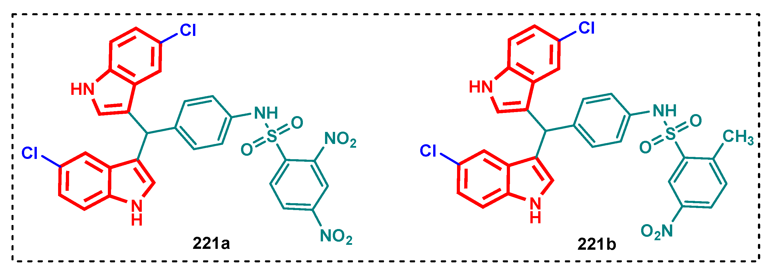
Imran et al. (2016) synthesized 45 sulfonamide-bis(indolyl)methanes using a three-step procedure. Some of the compounds showed carbonic anhydrase II inhibition activity. Thus, pharmacophore studies indicate that the bis(indolyl)methane moiety has a major role in the suppression of carbonic anhydrase II activity. According to docking studies, molecules containing nitro substituents (221a and 221b, Figure 28) can interact with Zn2+ ions, Thr199, His94, His96, and His119, interfering with the hydrogen bond network of ZnAOHAThr199AGlu106. Compound 221a’s bulky nitro substituent at the ortho position (IC50 = 15.6 ± 0.79 µM) stops it from interacting with other residues, such as Thr199 and Thr200. Because compound 221b’s methyl substituent at the ortho position (IC50 = 14.3 ± 2.4) reduces the steric hindrance effect, the second oxygen atom of sulfonamide can bind with Thr199 (2.51 Å). Increased stability of the ligand-receptor complex may result from hydrogen bonding between NH on the indole ring and Glu69. The nitro substituent at the para position of compound 221a fits into the core of the active site according to docking studies for active compounds of the sulfonamide class [219].

4. Conclusions and Perspectives

In this review, we have tried to review the general and special synthesis methods of bisindoles as well as their medicinal properties, with the results reported so far in the literature. The bisindole core has proven to be an essential part in directing the therapeutic properties of the synthesized compounds. It practically determines the wide range of biological properties presentedŞ antimicrobial, antituberculosis, antileishmanial, antimalarial, anticancer, antioxidant, anti-Alzheimer, anti-inflammatory, antidiabetic, carbonic anhydrase II inhibiting, etc. The need for functionalization of indole nuclei with various functional groups, such as NO2, NH2, COOH, CONH, halogens, Cl, Br, and I, to obtain compounds with remarkable therapeutic properties has been clearly formulated so far. Furthermore, the significance of functionalizing bisindoles’ indole rings and other benzene or aromatic nuclei has been emphasized by SAR investigations. The docking experiments stated above emphasize how crucial it is to functionalize the indole rings with polar groups in order to create hydrogen bonds between the protein binding site and the pharmacophore, which is the bisindole molecule. The results presented so far in the literature represent an open door to new research, the synthesis of new bisindole compounds, the study of the mechanisms of action, the conduct of several in vivo studies, as well as preliminary research for bringing some of these compounds to the market as drugs for the treatment of various diseases. May this review serve as a springboard for a plethora of studies and a window into the state of affairs in this area.

Funding

This research received no external funding.

Institutional Review Board Statement

Not applicable.

Informed Consent Statement

Not applicable.

Data Availability Statement

Not applicable.

Acknowledgments

The author is thankful to Department of Inorganic Chemistry, Organic Chemistry, Biochemistry and Catalysis, for providing necessary facilities to carry out this research work.

Conflicts of Interest

The authors declare no conflicts of interest.

References

  1. Thanikachalam, P.V.; Maurya, R.K.; Garg, V.; Monga, V. An insight into the medicinal perspective of synthetic analogs of indole: A review. Eur. J. Med. Chem. 2019, 180, 562–612. [Google Scholar] [CrossRef]
  2. Kumar, S.; Ritika. A brief review of the biological potential of indole derivatives. Future J. Pharm. Sci. 2020, 6, 121. [Google Scholar] [CrossRef]
  3. Kazemi, Z.; Rudbari, H.A.; Moini, N.; Momenbeik, F.; Carnamucio, F.; Micale, N. Indole-Containing Metal Complexes and Their Medicinal Applications. Molecules 2024, 29, 484. [Google Scholar] [CrossRef]
  4. Hareeri, R.H.; Aldurdunji, M.M.; Abdallah, H.M.; Alqarni, A.A.; Mohamed, S.G.A.; Mohamed, G.A.; Ibrahim, S.R.M. Aspergillus ochraceus: Metabolites, Bioactivities, Biosynthesis, and Biotechnological Potential. Molecules 2022, 27, 6759. [Google Scholar] [CrossRef]
  5. Umer, S.M.; Solangi, M.; Khan, K.M.; Saleem, R.S.Z. Indole-Containing Natural Products 2019–2022: Isolations, Reappraisals, Syntheses, and Biological Activities. Molecules 2022, 27, 7586. [Google Scholar] [CrossRef]
  6. Hu, Y.; Chen, S.; Yang, F.; Dong, S. Marine Indole Alkaloids—Isolation, Structure and Bioactivities. Mar. Drugs 2021, 19, 658. [Google Scholar] [CrossRef] [PubMed]
  7. Rosales, P.F.; Bordin, G.S.; Gower, A.E.; Moura, S. Indole alkaloids: 2012 until now, highlighting the new chemical structures and biological activities. Fitoterapia 2020, 143, 104558. [Google Scholar] [CrossRef]
  8. Mathada, B.S.; Somappa, S.B. An insight into the recent developments in anti-infective potential of indole and associated hybrids. J. Mol. Struct. 2022, 1261, 132808. [Google Scholar] [CrossRef]
  9. Dhuguru, J.; Skouta, R. Role of Indole Scaffolds as Pharmacophores in the Development of Anti-Lung Cancer Agents. Molecules 2020, 25, 1615. [Google Scholar] [CrossRef]
  10. Dhiman, A.; Sharma, R.; Singh, R.K. Target-based anticancer indole derivatives and insight into structure–activity relationship: A mechanistic review update (2018–2021). Acta Pharm. Sin. B 2022, 12, 3006–3027. [Google Scholar] [CrossRef]
  11. Singh, A.K.; Kumar, A.; Singh, H.; Sonawane, P.; Paliwal, H.; Thareja, S.; Pathak, P.; Grishina, M.; Jaremko, M.; Emwas, A.-H.; et al. Concept of Hybrid Drugs and Recent Advancements in Anticancer Hybrids. Pharmaceuticals 2022, 15, 1071. [Google Scholar] [CrossRef] [PubMed]
  12. Salerno, S.; Barresi, E.; Baglini, E.; Poggetti, V.; Da Settimo, F.; Taliani, S. Target-Based Anticancer Indole Derivatives for the Development of Anti-Glioblastoma Agents. Molecules 2023, 28, 2587. [Google Scholar] [CrossRef] [PubMed]
  13. Tan, C.; Yang, S.-J.; Zhao, D.-H.; Li, J.; Yin, L.-Q. Antihypertensive activity of indole and indazole analogues: A review. Arab. J. Chem. 2022, 15, 103756. [Google Scholar] [CrossRef]
  14. Ramarajan, R.; Ramalingam, A.; Duraisamy, C.; Sambandam, S.; Issaoui, N.; Al-Dossary, O.M.; Bousiakoug, L.G. Catalytic multicomponent synthesis, biological evaluation, molecular docking and in silico ADMET studies of some novel 3-alkyl indoles. J. King Saud Univ. Sci. 2023, 35, 102475. [Google Scholar] [CrossRef]
  15. Kesteleyn, B.; Bardiot, D.; Bonfanti, J.-F.; De Boeck, B.; Goethals, O.; Kaptein, S.J.F.; Stoops, B.; Coesemans, E.; Fortin, J.; Muller, P.; et al. Discovery of Acyl-Indole Derivatives as Pan-Serotype Dengue Virus NS4B Inhibitors. J. Med. Chem. 2023, 66, 8808–8821. [Google Scholar] [CrossRef] [PubMed]
  16. Mendogralo, E.Y.; Nesterova, L.Y.; Nasibullina, E.R.; Shcherbakov, R.O.; Myasnikov, D.A.; Tkachenko, A.G.; Sidorov, R.Y.; Uchuskin, M.G. Synthesis, Antimicrobial and Antibiofilm Activities, and Molecular Docking Investigations of 2-(1H-Indol-3-yl)-1H-benzo[d]imidazole Derivatives. Molecules 2023, 28, 7095. [Google Scholar] [CrossRef] [PubMed]
  17. Al-Wabli, R.I.; Alsulami, M.A.; Bukhari, S.I.; Moubayed, N.M.S.; Al-Mutairi, M.S.; Attia, M.I. Design, Synthesis, and Antimicrobial Activity of Certain New Indole-1,2,4 Triazole Conjugates. Molecules 2021, 26, 2292. [Google Scholar] [CrossRef]
  18. Gogisetti, G.; Allaka, T.R.; Kanna, U.; Basireddy, S.; Ganta, R.K.; Sharma, V.; Tadiboina, B.R. Synthesis, Anticancer Activity and Computational Docking Techniques of Some Novel Derivatives Based on Indole Bearing Oxadiazole–Triazole Moieties. Russ. J. Bioorg. Chem. 2023, 49, 629–644. [Google Scholar] [CrossRef]
  19. Mushtaq, I.; Ahmed, A. Synthesis of biologically active sulfonamide-based indole analogs: A review. Future J. Phrm. Sci. 2023, 9, 46. [Google Scholar] [CrossRef]
  20. Demir-Yazıcı, K.; Güzel-Akdemir, Ö.; Angeli, A.; Supuran, C.T.; Akdemir, A. Novel Indole-Based Hydrazones as Potent Inhibitors of the α-class Carbonic Anhydrase from Pathogenic Bacterium Vibrio cholerae. Int. J. Mol. Sci. 2020, 21, 3131. [Google Scholar] [CrossRef]
  21. Yeye, E.A.; AkintundeAdeniyi-Akee, M.; Ahmed, A.S.; Aboaba, S.A. In silico studies and antimicrobial investigation of synthesised novel N-acylhydrazone derivatives of indole. Sci. Afr. 2023, 19, e01463. [Google Scholar] [CrossRef]
  22. Mo, X.; Rao, D.P.; Kaur, K.; Hassan, R.; Abdel-Samea, A.S.; Farhan, S.M.; Bräse, S.; Hashem, H. Indole Derivatives: A Versatile Scaffold in Modern Drug Discovery—An Updated Review on Their Multifaceted Therapeutic Applications (2020–2024). Molecules 2024, 29, 4770. [Google Scholar] [CrossRef]
  23. Kudličková, Z.; Michalková, R.; Salayová, A.; Ksiažek, M.; Vilková, M.; Bekešová, S.; Mojžiš, J. Design, Synthesis, and Evaluation of Novel Indole Hybrid Chalcones and Their Antiproliferative and Antioxidant Activity. Molecules 2023, 28, 6583. [Google Scholar] [CrossRef] [PubMed]
  24. Dang, X.; Yu, Z.; Wang, X.; Li, N. Eco-Friendly Cellulose-Based Nonionic Antimicrobial Polymers with Excellent Biocompatibility, Nonleachability, and Polymer Miscibility. ACS Appl. Mater. Interfaces 2023, 15, 50344–50359. [Google Scholar] [CrossRef]
  25. Dang, X.; Yu, Z.; Wang, X.; Du, Y.; Wang, C. Sustainable one-pot synthesis of novel soluble cellulose-based nonionic biopolymers for natural antimicrobial materials. Chem. Eng. J. 2023, 468, 143810. [Google Scholar] [CrossRef]
  26. Russo, E.; Grondona, C.; Brullo, C.; Spallarossa, A.; Villa, C.; Tasso, B. Indole Antitumor Agents in Nanotechnology Formulations: An Overview. Pharmaceutics 2023, 15, 1815. [Google Scholar] [CrossRef] [PubMed]
  27. Butova, V.V.; Baurer, T.V.; Polyakov, V.A.; Minkina, T.M. Advances in nanoparticle and organic formulations for prolonged controlled release of auxins. Plant Physiol. Biochem. 2023, 201, 107808. [Google Scholar] [CrossRef] [PubMed]
  28. Olikkavi, K.; Vennila, L.; Subashchandrabose, S.; Sutharsan, P.; Sindhu, G.; Dhandapani, A. Synthesis and characterization of poly indole-iron oxide nanoparticles for biomedical applications. Inorg. Chem. Commun. 2024, 61, 112121. [Google Scholar] [CrossRef]
  29. Bomzan, P.; Roy, N.; Sharma, A.; Rai, V.; Ghosh, S.; Kumar, A.; Roy, M.N. Molecular encapsulation study of indole-3-methanol in cyclodextrins: Effect on antimicrobial activity and cytotoxicity. J. Mol. Struct. 2021, 1225, 129093. [Google Scholar] [CrossRef]
  30. Tan, Q.; Li, Y.; Li, T.; Huang, Y.; Xing, E.; Bi, Y.; Zhang, X.; Chen, Q.; Li, W. Zeolite beta in situ encapsulation of indole and its derivatives as controlled release formulations for antibacterial. Microporous Mesoporous Mater. 2021, 325, 111342. [Google Scholar] [CrossRef]
  31. Ebaston, T.M.; Nakonechny, F.; Talalai, E.; Gellerman, G.; Patsenker, L. Iodinated xanthene-cyanine NIR dyes as potential photosensitizers for antimicrobial photodynamic therapy. Dye. Pigment. 2021, 184, 108854. [Google Scholar] [CrossRef]
  32. Liu, R.; Qian, Y. NIR ditriphenylamine Indole-BODIPY photosensitizer: Synthesis, photodynamic therapy in A549 cells and two-photon fluorescence imaging in zebrafish. Spectrochim. Acta A Mol. Biomol. 2024, 304, 123387. [Google Scholar] [CrossRef]
  33. Chaubisa, P.; Dharmendra, D.; Vyas, Y.; Chundawat, P.; Jangid, N.K.; Ameta, C. Synthesis and characterization of PANI and PANI-indole copolymer and study of their antimalarial and antituberculosis activity. Polym. Bull. 2024, 81, 3333–3353. [Google Scholar] [CrossRef] [PubMed]
  34. Cadelis, M.M.; Liu, T.; Sue, K.; Rouvier, F.; Bourguet-Kondracki, M.-L.; Brunel, J.M.; Copp, B.R. Structure–Activity Relationship Studies of Indolglyoxyl-Polyamine Conjugates as Antimicrobials and Antibiotic Potentiators. Pharmaceuticals 2023, 16, 823. [Google Scholar] [CrossRef]
  35. Tang, Q.; Yuan, L.; Kang, M.; Huang, Y.; Yang, L.; Yin, Q.; Chang, G. A toughening indole-based epoxy film with efficient anti-counterfeiting properties driven by cation–π interaction. Polym. Int. 2024, 73, 319–325. [Google Scholar] [CrossRef]
  36. Du, M.; Houck, H.A.; Yin, Q.; Xu, Y.; Huang, Y.; Lan, Y.; Yang, L.; Du Prez, F.E.; Chang, G. Force–reversible chemical reaction at ambient temperature for designing toughened dynamic covalent polymer networks. Nat. Commun. 2022, 13, 3231. [Google Scholar] [CrossRef] [PubMed]
  37. Li, X.; Wang, X.; Subramaniyan, S.; Liu, Y.; Rao, J.; Zhang, B. Hyperbranched Polyesters Based on Indole- and Lignin-Derived Monomeric Aromatic Aldehydes as Effective Nonionic Antimicrobial Coatings with Excellent Biocompatibility. Biomacromolecules 2022, 23, 150–162. [Google Scholar] [CrossRef] [PubMed]
  38. Pradeep, H.; Bindu, M.; Suresh, S.; Thadathil, A.; Periyat, P. Recent trends and advances in polyindole-based nanocomposites as potential antimicrobial agents: A mini review. RSC Adv. 2022, 12, 8211–8227. [Google Scholar] [CrossRef]
  39. Dhavale, D.D.; Matin, M.M.; Sharma, T.; Sabharwal, S.G. Synthesis and evaluation of glycosidase inhibitory activity of octahydro-2H-pyrido [1,2-a] pyrimidine and octahydro-imidazo [1,2-a] pyridine bicyclic diazasugars. Bioorg. Med. Chem. 2004, 12, 4039–4044. [Google Scholar] [CrossRef] [PubMed]
  40. Omar, F.; Tareq, A.M.; Alqahtani, A.M.; Dhama, K.; Sayeed, M.A.; Emran, T.B.; Simal-Gandara, J. Plant-Based Indole Alkaloids: A Comprehensive Overview from a Pharmacological Perspective. Molecules 2021, 26, 2297. [Google Scholar] [CrossRef] [PubMed]
  41. Plazas, E.; Faraone, N. Indole Alkaloids from Psychoactive Mushrooms: Chemical and Pharmacological Potential as Psychotherapeutic Agents. Biomedicines 2023, 11, 461. [Google Scholar] [CrossRef] [PubMed]
  42. Zhang, Y.-H.; Du, H.-F.; Liu, Y.-F.; Cao, F.; Luo, D.-Q.; Wang, C.-Y. Novel anti-inflammatory diketopiperazine alkaloids from the marine-derived fungus Penicillium brasilianum. Appl. Microbiol. Biotechnol. 2024, 108, 194. [Google Scholar] [CrossRef] [PubMed]
  43. Sun, H.; Sun, K.; Sun, J. Recent Advances of Marine Natural Indole Products in Chemical and Biological Aspects. Molecules 2023, 28, 2204. [Google Scholar] [CrossRef] [PubMed]
  44. Zhang, D.; Li, S.; Fan, M.; Zhao, C. The Novel Compounds with Biological Activity Derived from Soil Fungi in the Past Decade. Drug Des. Dev. Ther. 2022, 16, 3493–3555. [Google Scholar] [CrossRef]
  45. Zhou, Y.; Chen, Y.; He, H.; Peng, M.; Zeng, M.; Sun, H. The role of the indoles in microbiota-gut-brain axis and potential therapeutic targets: A focus on human neurological and neuropsychiatric diseases. Neuropharmacology 2023, 239, 109690. [Google Scholar] [CrossRef]
  46. Liu, Y.; Pei, Z.; Pan, T.; Wang, H.; Chen, W.; Lu, W. Indole metabolites and colorectal cancer: Gut microbial tryptophan metabolism, host gut microbiome biomarkers, and potential intervention mechanisms. Microbiol. Res. 2023, 272, 127392. [Google Scholar] [CrossRef]
  47. Ferrer, L.; Mindt, M.; Wendisch, V.F.; Cankar, K. Indoles and the advances in their biotechnological production for industrial applications. Syst. Microbiol. Biomanuf. 2023, 4, 511–527. [Google Scholar] [CrossRef]
  48. Salama, E.E.; Youssef, M.F.; Aboelmagd, A.; Boraei, A.T.A.; Nafie, M.S.; Haukka, M.; Barakat, A.; Sarhan, A.A.M. Discovery of Potent Indolyl-Hydrazones as Kinase Inhibitors for Breast Cancer: Synthesis, X-ray Single-Crystal Analysis, and In Vitro and In Vivo Anti-Cancer Activity Evaluation. Pharmaceuticals 2023, 16, 1724. [Google Scholar] [CrossRef] [PubMed]
  49. Al-Wahaibi, L.H.; Mohammed, A.F.; Abdelrahman, M.H.; Trembleau, L.; Youssif, B.G.M. Design, Synthesis, and Antiproliferative Activity of New 5-Chloro-indole-2-carboxylate and Pyrrolo[3,4-b]indol-3-one Derivatives as Potent Inhibitors of EGFRT790M/BRAFV600E Pathways. Molecules 2023, 28, 1269. [Google Scholar] [CrossRef]
  50. Taha, M.; Alrashedy, A.S.; Almandil, N.B.; Iqbal, N.; Anouar, E.A.; Nawaz, M.; Uddin, N.; Chigurupati, S.; Wadood, A.; Rahim, F.; et al. Synthesis of indole derivatives as diabetics II inhibitors and enzymatic kinetics study of α-glucosidase and α-amylase along with their in-silico study. Int. J. Biol. Macromol. 2021, 190, 301–318. [Google Scholar] [CrossRef]
  51. Arumugam, N.; Al-Shemaimari, K.I.; Altaf, M.; Ponmurugan, K.; Premnath, D.; Djearamane, S.; Wong, L.S.; Kayarohanam, S. Antimicrobial evaluation of spirooxindolopyrrolidine engrafted indoles against multidrug resistant ESKAPE clinical pathogens. J. King Saud Univ. Sci. 2024, 36, 102996. [Google Scholar] [CrossRef]
  52. Lavekar, A.G.; Thakare, R.; Saima; Equbal, D.; Chopra, S.; Sinha, A.K. Indole-based aryl sulfides target the cell wall of Staphylococcus aureus without detectable resistance. Drug. Dev. Res. 2024, 58, e22123. [Google Scholar] [CrossRef]
  53. Bhattarai, P.; Hegde, P.; Li, W.; Prathipati, P.K.; Stevens, C.M.; Yang, L.; Zhou, H.; Pandya, A.; Cunningham, K.; Grissom, J.; et al. Structural Determinants of Indole-2-carboxamides: Identification of Lead Acetamides with Pan Antimycobacterial Activity. J. Med. Chem. 2023, 66, 170–187. [Google Scholar] [CrossRef] [PubMed]
  54. Yamali, C.; Sevin, S.; Nenni, M.; Sakarya, M.T.; Uyar, R.; Aygul, A.; Ulger, M.; Ilhan, R.; Levent, S.; Gul, H.I. Design, synthesis, and assessment of pharmacological properties of indole-based fluorinated chalcones and their benzenesulfonamide analogs. Chem. Pap. 2023, 77, 7903–7918. [Google Scholar] [CrossRef]
  55. Agrawal, K.; Patel, T.; Patel, R. Synthesis, biological activity of newly designed sulfonamide based indole derivative as antimicrobial agent. Future J. Phar. Sci. 2023, 9, 17. [Google Scholar] [CrossRef]
  56. Kornicka, A.; Gzella, K.; Garbacz, K.; Jarosiewicz, M.; Gdaniec, M.; Fedorowicz, J.; Balewski, Ł.; Kokoszka, J.; Ordyszewska, A. Indole-Acrylonitrile Derivatives as Potential Antitumor and Antimicrobial Agents—Synthesis, In Vitro and In Silico Studies. Pharmaceuticals 2023, 16, 918. [Google Scholar] [CrossRef]
  57. Dorobabu, A. Indole–a promising pharmacophore in recent antiviral drug discovery. RSC Med. Chem. 2020, 11, 1335–1353. [Google Scholar] [CrossRef]
  58. Arumugam, G.S.; Damodharan, K.; Doble, M.; Thennarasu, S. Significant perspectives on various viral infections targeted antiviral drugs and vaccines including COVID-19 pandemicity. Mol. Biomed. 2022, 3, 21. [Google Scholar] [CrossRef] [PubMed]
  59. Verzola, M.M.S.A.; de Almeida Marques, D.P.; da Silva, E.B.; Serafim, M.S.M.; Ferreira, R.S.; Fajtová, P.; Kohlhoff, M.; O’Donoghue, A.J.; Maltarollo, V.G.; Coelho-dos-Reis, J.G.A.; et al. Synthesis of indole-based ferulic acid derivatives and in vitro evaluation of antiviral activity against SARS-CoV-2. Med. Chem. Res. 2023, 32, 2256–2267. [Google Scholar] [CrossRef]
  60. Upadhyay, D.P.; Mokariya, J.A.; Patel, P.J.; Patel, S.G.; Das, A.; Nandi, A.; Nogales, J.; More, N.; Kumar, A.; Rajani, D.P.; et al. Indole clubbed 2,4-thiazolidinedione linked 1,2,3-triazole as a potent antimalarial and antibacterial agent against drug-resistant strain and molecular modeling studies. Arch. Der Pharm. 2024, 257, e2300673. [Google Scholar] [CrossRef] [PubMed]
  61. Pacheco, P.A.F.; Santos, M.M.M. Recent Progress in the Development of Indole-Based Compounds Active against Malaria, Trypanosomiasis and Leishmaniasis. Molecules 2022, 27, 319. [Google Scholar] [CrossRef]
  62. Bajad, N.G.; Singh, S.K.; Singh, S.K.; Singh, T.D.; Singh, M. Indole: A promising scaffold for the discovery and development of potential anti-tubercular agents. Curr. Res. Pharm. Drug Discov. 2022, 3, 100119. [Google Scholar] [CrossRef] [PubMed]
  63. Konas, D.W.; Cho, S.; Thomas, O.D.; Bhatti, M.M.; Hernandez, K.L.; Moran, C.; Booter, H.; Candela, T.; Lacap, J.; McFadden, P.; et al. Investigating the Roles of Active Site Residues in Mycobacterium tuberculosis Indole-3-glycerol Phosphate Synthase, a Potential Target for Antitubercular Agents. ACS Bio Med Chem Au 2023, 3, 438–447. [Google Scholar] [CrossRef]
  64. Hashemi, S.M.; Emami, S.; Masihi, P.H.; Shakiba, A.; Dehestani, L.; Ahangar, N. Synthesis of 2-aryl-3-triazolyl-indoles from phenacyltriazole-derived hydrazones: Exploring new scaffolds for anticonvulsant activity. J. Mol. Struct. 2023, 1276, 134704. [Google Scholar] [CrossRef]
  65. Zohny, Y.M.; Awad, S.M.; Rabie, M.A.; Alsaidan, O.A. Design, Synthesis, Molecular Modeling, and Biological Evaluation of Novel Pyrimidine Derivatives as Potential Calcium Channel Blockers. Molecules 2023, 28, 4869. [Google Scholar] [CrossRef]
  66. Romero, F.; Palacios, J.; Jofré, I.; Paz, C.; Nwokocha, C.R.; Paredes, A.; Cifuentes, F. Aristoteline, an Indole-Alkaloid, Induces Relaxation by Activating Potassium Channels and Blocking Calcium Channels in Isolated Rat Aorta. Molecules 2019, 24, 2748. [Google Scholar] [CrossRef] [PubMed]
  67. Bampi, S.R.; Casaril, A.M.; Fronza, M.G.; Domingues, M.; Vieira, B.; Begnini, K.R.; Seixas, F.K.; Collares, T.V.; Lenardão, E.J.; Savegnago, L. The selenocompound 1-methyl-3-(phenylselanyl)-1H-indole attenuates depression-like behavior, oxidative stress, and neuroinflammation in streptozotocin-treated mice. Brain Res. Bull. 2020, 161, 158–165. [Google Scholar] [CrossRef] [PubMed]
  68. Pan, S.; Ma, Y.; Yang, R.; Lu, X.; You, Q.; Ye, T.; Huang, C. Indole-3-Carbinol Selectively Prevents Chronic Stress- Induced Depression-but not Anxiety-Like Behaviors via Suppressing Pro-Inflammatory Cytokine Production and Oxido-Nitrosative Stress in the Brain. Front. Pharmacol. 2022, 13, 829966. [Google Scholar] [CrossRef]
  69. Zvozilova, A.; Reichova, A.; Mach, M.; Bakos, J.; Koprdova, R. Effect of a New Substance with Pyridoindole Structure on Adult Neurogenesis, Shape of Neurons, and Behavioral Outcomes in a Chronic Mild Stress Model in Rats. Int. J. Mol. Sci. 2024, 25, 845. [Google Scholar] [CrossRef] [PubMed]
  70. Gondal, H.Y.; Tariq, S.; Akhter, S.; Raza, A.R.; ur Rehman, M.F.; Rubab, S.L. Synthesis, characterization, and in vitro anticholinesterase screening of novel indole amines. RSC Adv. 2023, 13, 1203–1215. [Google Scholar] [CrossRef]
  71. Bon, L.; Banaś, A.; Dias, I.; Melo-Marques, I.; Cardoso, S.M.; Chaves, S.; Santos, M.A. New Multitarget Rivastigmine–Indole Hybrids as Potential Drug Candidates for Alzheimer’s Disease. Pharmaceutics 2024, 16, 281. [Google Scholar] [CrossRef] [PubMed]
  72. Li, J. Indole-3-acetic acid, a potential therapeutic target in Alzheimer’s disease. Sci. Bull. 2024, 69, 146–147. [Google Scholar] [CrossRef]
  73. Philoppes, J.N.; Abdelgawad, M.A.; Abourehab, M.A.S.; Sebak, M.; Darwish, M.A.; Lamie, P.F. Novel N-methylsulfonyl-indole derivatives: Biological activity and COX-2/5-LOX inhibitory effect with improved gastro protective profile and reduced cardio vascular risks. J. Enzyme Inhib. Med. Chem. 2023, 38, 246–266. [Google Scholar] [CrossRef] [PubMed]
  74. Kandemir, H.; Izgi, S.; Cınar, R.; Cebeci, F.; Dirican, E.; Saglam, M.F.; Sengul, I.F. Methoxy-activated indole-7-carbohydrazides; synthesis, antioxidant, and anticancer properties. J. Heterocycl. Chem. 2023, 60, 74–85. [Google Scholar] [CrossRef]
  75. Siddique, S.; Ahmad, K.R.; Nawaz, S.K.; Ahmad, S.N.; Ali, R.; Inayat, I.; Suleman, S.; Kanwal, M.A.; Usman, M. Evaluation of the anti-inflammatory, analgesic, anti-pyretic and anti-ulcerogenic potentials of synthetic indole derivatives. Sci. Rep. 2023, 13, 8639. [Google Scholar] [CrossRef]
  76. Mohsin, N.A.; Irfan, M. Selective cyclooxygenase-2 inhibitors: A review of recent chemical scaffolds with promising anti-inflammatory and COX-2 inhibitory activities. Med. Chem. Res. 2020, 29, 809–830. [Google Scholar] [CrossRef]
  77. Cetin, A.; Toptas, M.; Türkan, F. Synthesis, biological evaluation, and bioinformatics analysis of indole analogs on AChE and GST activities. Med. Chem. Res. 2022, 31, 2119–2131. [Google Scholar] [CrossRef]
  78. Baran, A.; Kuzmins, J.; Kuznecovs, J.; Farley, A.J.M.; Panduwawala, T.; Parkova, A.; Donets, P.A.; Brem, J.; Suna, E.; Schofield, C.J.; et al. Optimized Synthesis of Indole Carboxylate Metallo-β-Lactamase Inhibitor EBL-3183. Org. Process Res. Dev. 2023, 27, 692–706. [Google Scholar] [CrossRef]
  79. Hattori, S.-I.; Higashi-Kuwata, N.; Hayashi, H.; Allu, S.R.; Raghavaiah, J.; Bulut, H.; Das, D.; Anson, B.J.; Lendy, E.K.; Takamatsu, Y.; et al. A small molecule compound with an indole moiety inhibits the main protease of SARS-CoV-2 and blocks virus replication. Nat. Commun. 2021, 12, 668. [Google Scholar] [CrossRef] [PubMed]
  80. Ansari, M.A.; Taha, M.; Uddin, N.; Rahim, F.; Jamal, Q.M.S.; Alomary, M.N.; Alshabrmi, F.M.; Almatroudi, A.; Atwah, B.; Alhindi, Z.; et al. Synthesis of indole-based oxadiazoles and their interaction with bacterial peptidoglycan and SARS-CoV-2 main protease: In vitro, molecular docking and in silico ADME/Tox study. J. Saudi Chem. Soc. 2022, 26, 101474. [Google Scholar] [CrossRef]
  81. Centofanti, F.; Alonzi, T.; Latini, A.; Spitalieri, P.; Murdocca, M.; Chen, X.; Cui, W.; Shang, Q.; Goletti, D.; Shi, Y.; et al. Indole-3-carbinol in vitro antiviral activity against SARS-Cov-2 virus and in vivo toxicity. Cell Death Discov. 2022, 8, 491. [Google Scholar] [CrossRef]
  82. Mohammadi Ziarany, G.; Khademi, M.; Mohajer, F.; Badiei, A.; Varma, R.S. The Synthesis of 2,2-bis(1-indol-3-yl)acenaphthylene-1(2)-ones using nanocatalysis: Fluorescent sensing for Cu2+ ions. Ecol. Chem. Eng. S 2022, 29, 463–475. [Google Scholar] [CrossRef]
  83. Ullrich, R.; Poraj-Kobielska, M.; Herold-Majumdar, O.M.; Vind, J.; Hofrichter, M. Synthesis of Indigo-Dyes from Indole Derivatives by Unspecific Peroxygenases and Their Application for In-Situ Dyeing. Catalysts 2021, 11, 1495. [Google Scholar] [CrossRef]
  84. Kamal, C.; Sethuraman, M.G. Caulerpin-A bis-Indole Alkaloid As a Green Inhibitor for the Corrosion of Mild Steel in 1 M HCl Solution from the Marine Alga Caulerpa racemosa. Ind. Eng. Chem. Res. 2012, 51, 10399–10407. [Google Scholar] [CrossRef]
  85. Hu, W.; Yan, G.; Ding, Q.; Cai, J.; Zhang, Z.; Zhao, Z.; Lei, H.; Zhu, Y.Z. Update of Indoles: Promising molecules for ameliorating metabolic diseases. Biomed. Pharmacother. 2022, 150, 112957. [Google Scholar] [CrossRef] [PubMed]
  86. Gonçalves, R.C.R.; Peñalver, P.; Costa, S.P.G.; Morales, J.C.; Raposo, M.M.M. Polyaromatic Bis(indolyl)methane Derivatives with Antiproliferative and Antiparasitic Activity. Molecules 2023, 28, 7728. [Google Scholar] [CrossRef] [PubMed]
  87. Lafzi, F.; Kilic, H.; Ertugrul, B.; Arik, M.; Saracoglu, N. Bis(indolyl)methane substituted tetraphenylethylene derivatives as AIE active materials. J. Luminiscence 2019, 208, 174–182. [Google Scholar] [CrossRef]
  88. Kamble, V.T.; Kadam, K.R.; Joshi, N.S.; Muley, D.B. HClO4–SiO2 as a novel and recyclable catalyst for the synthesis of bis-indolylmethanes and bis-indolylglycoconjugates. Catal. Commun. 2007, 8, 498–502. [Google Scholar] [CrossRef]
  89. Chen, D.; Yu, L.; Wang, P.G. Lewis Acid-Catalyzed Reactions in Protic Media. Lanthanide-Catalyzed Reactions of Indoles with Aldehydes or Ketones. Tetrahedron Lett. 1996, 37, 4467–4470. [Google Scholar] [CrossRef]
  90. Khatab, T.K.; Abdelghany, A.M.; Shaker, N.; Osama, Y.; Kandil, E.M. Evaluation of the Optical and Structural Properties of Constructed Bis-indole Derivatives Using (Sm2O3/SiO2) Catalyst. Silicon 2018, 10, 2173–2179. [Google Scholar] [CrossRef]
  91. Olyaei, A.; Vaziri, M.; Razeghi, R.; Shams, B.; Bagheri, H. A novel approach to bis(indolyl)methanes using nickel nanoparticles as a reusable catalyst under solvent-free conditions. J. Serb. Chem. Soc. 2013, 78, 463–468. [Google Scholar] [CrossRef]
  92. Taha, M.; Rashid, U.; Imran, S.; Ali, M. Rational design of bis-indolylmethane-oxadiazole hybrids as inhibitors of thymidine phosphorylase. Bioorg. Med. Chem. 2018, 26, 3654–3663. [Google Scholar] [CrossRef] [PubMed]
  93. Chavan, K.A.; Shukla, M.; Chauhan, A.N.S.; Maji, S.; Mali, G.; Bhattacharyya, S.; Erande, R.D. Effective Synthesis and Biological Evaluation of Natural and Designed Bis(indolyl)methanes via Taurine-Catalyzed Green Approach. ACS Omega 2022, 7, 10438–10446. [Google Scholar] [CrossRef]
  94. Naidu, K.R.M.; Khalivulla, S.I.; Rasheed, S.; Fakurazi, S.; Arulselvan, P.; Lasekan, O.; Abas, F. Synthesis of Bisindolylmethanes and Their Cytotoxicity Properties. Int. J. Mol. Sci. 2013, 14, 1843–1853. [Google Scholar] [CrossRef]
  95. Kalla, R.M.N.; John, J.V.; Park, H.; Kim, I. Tetramethyl guanidinium chlorosulfonate as a highly efficient and recyclable organocatalyst for the preparation of bis(indolyl)methane derivatives. Catal. Commun. 2014, 57, 55–59. [Google Scholar] [CrossRef]
  96. Khaksar, S.; Ostad, S.M. Pentafluorophenylammonium triflate as an efficient, environmentally friendly and novel organocatalyst for synthesis of bis-indolyl methane derivatives. J. Fluor. Chem. 2011, 132, 937–939. [Google Scholar] [CrossRef]
  97. Firouzabadi, H.; Iranpoor, N.; Jafari, A.A. Aluminumdodecatungstophosphate (AlPW12O40), a versatile and a highly water tolerant green Lewis acid catalyzes efficient preparation of indole derivatives. J. Mol. Cat. A Chem. 2006, 244, 168–172. [Google Scholar] [CrossRef]
  98. Yadav, J.S.; Reddy, B.V.S.; Sunitha, S. Efficient and Eco-Friendly Process for the Synthesis of Bis(1H-indol-3-yl)methanes using Ionic Liquids. Adv. Synth. Catal. 2003, 345, 349–352. [Google Scholar] [CrossRef]
  99. Rad-Moghadam, K.; Sharifi-Kiasaraie, M. Indole 3-alkylation/vinylation under catalysis of the guanidinium ionic liquids. Tetrahedron 2009, 65, 8816–8820. [Google Scholar] [CrossRef]
  100. Das, P.J.; Das, J. Synthesis of aryl/alkyl(2,2′-bis-3-methylindolyl) methanes and aryl(3,3′-bisindolyl)methanes promoted by secondary amine based ionic liquids and microwave irradiation. Tetrahedron 2012, 53, 4718–4720. [Google Scholar] [CrossRef]
  101. Kalla, R.M.N.; Hong, S.C.; KIm, I. Synthesis of Bis(indolyl) methanes Using Hyper-Cross-Linked Polyaromatic Spheres Decorated with Bromomethyl Groups as Efficient and Recyclable Catalysts. ACS Omega 2018, 3, 2242–2253. [Google Scholar] [CrossRef] [PubMed]
  102. Patil, R.C.; Damate, S.A.; Zambare, D.N.; Patil, S.S. Chickpea leaf exudates: A green Brønsted acid type biosurfactant for bis(indole)methane and bis(pyrazolyl)methane synthesis. New J. Chem. 2021, 45, 9152–9162. [Google Scholar] [CrossRef]
  103. Tornquist, B.L.; de Paula Bueno, G.; Manzano Willig, J.C.; de Oliveira, I.M.; Stefani, H.A.; Rafique, J.; Saba, S.; Iglesias, B.A.; Botteselle, G.V.; Manarin, F. Ytterbium (III) triflate/Sodium Dodecyl Sulfate: A Versatile Recyclable and Water-Tolerant Catalyst for the Synthesis of Bis(indolyl)methanes (BIMs). Chem. Sel. 2018, 3, 6358–6363. [Google Scholar] [CrossRef]
  104. Nguyen, H.Y.; Tran, T.H.; Do, H.N.; Do, D.V.; Ngo, Q.-A.; Tien, N.Q.; Nga, T.T.T.; Nguyen, H.; Hung, T.Q.; Dang, T.T. LiOtBu-promoted synthesis of bis (3-indolyl) methanes by the alkylation of indoles with alcohols under air. RSC Adv. 2024, 14, 2341–2345. [Google Scholar] [CrossRef]
  105. Dasbasi, T.; Polat-Cakir, S.; Abdullah, M.; Demir, A.S. Indium triflate-catalyzed coupling of indoles with acyl phosphonates: Synthesis of bis(indolyl)methane phosphonates. Tetrahedron 2011, 67, 3355–3359. [Google Scholar] [CrossRef]
  106. Kutubi, M.S.; Kitamura, T. Regioselective synthesis of 3,3-bis(indolyl)propanoic acid derivatives by iron(III)-catalyzed hydroarylation of propynoic acid derivatives with indoles. Tetrahedron 2011, 67, 8140–8145. [Google Scholar] [CrossRef]
  107. Yuan, X.; Wu, L.; Xu, C.; Pan, Z.; Shi, L.; Yang, G.; Wang, C.; Fan, S. A consecutive one-pot two-step approach to novel trifluoromethylsubstituted bis(indolyl)methane derivatives promoted by Sc(OTf)3 and p-TSA. Tetrahedron Lett. 2019, 60, 151329. [Google Scholar] [CrossRef]
  108. Feng, X.-L.; Guan, C.-J.; Zhao, C.-X. Ion exchange resin catalyzed condensation of indole and carbonyl compounds—Synthesis of bis-indolylmethanes. Synth. Commun. 2004, 34, 487–492. [Google Scholar] [CrossRef]
  109. Soliman, H.A.; Mubarak, A.Y.; Elmorsy, S.S. An efficient synthesis of bis(indolyl) methanes and N,N0-alkylidene bisamides by Silzic under solvent free conditions. Chin. Chem. Lett. 2016, 27, 353–356. [Google Scholar] [CrossRef]
  110. Rahimi, S.; Amrollahi, M.A.; Kheilkordi, Z. An efficient ultrasound-promoted method for the synthesis of bis(indole) derivatives. Comptes Rendus. Chim. 2015, 18, 558–563. [Google Scholar] [CrossRef]
  111. Praveen, C.; Karthikeyan, K.; Perumal, P.T. Efficient synthesis of 3-substituted indoles through a domino gold(I) chloride catalyzed cycloisomerization/C3-functionalization of 2-(alkynyl)anilines. Tetrahedron 2009, 65, 9244–9255. [Google Scholar] [CrossRef]
  112. Chinta, B.S.; Baire, B. Reactivity of indole-3-alkoxides in the absence of acids: Rapid synthesis of homo-bisindolylmethanes. Tetrahedron 2016, 72, 8106–8116. [Google Scholar] [CrossRef]
  113. Grosso, C.; Cardoso, A.L.; Rodrigues, M.J.; Marques, C.; Barreira, L.; Lemos, A.; Pinho e Melo, T.M.D.V. Hetero-Diels-Alder approach to Bis(indolyl)methanes. Bioorg. Med. Chem. 2017, 25, 1122–1131. [Google Scholar] [CrossRef] [PubMed]
  114. Harichandran, G.; Amalraj, S.D.; Shanmugam, P. Amberlite IRA-400 Cl resin catalyzed synthesis of secondary amines and transformation into N-((1H-indol-3-yl)(heteroaryl) methyl)-N-heteroaryl benzenamines and bis-Indoles via Multicomponent Reaction. J. Saudi Chem. Soc. 2018, 22, 208–217. [Google Scholar] [CrossRef]
  115. Yu, J.; Shen, T.; Lin, Y.; Zhou, Y.; Song, Q. Rapid and Efficient Synthesis of 3,3-Di(1H-indol-3-yl)indolin-2-ones and 2,2-Di(1H-indol-3-yl)-2Hacenaphthen-1-ones Catalyzed by p-TSA. Synth. Commun. 2014, 44, 2029–2036. [Google Scholar] [CrossRef]
  116. Bonvicini, F.; Locatelli, A.; Morigi, R.; Leoni, A.; Gentilomi, G.A. Isatin Bis-Indole and Bis-Imidazothiazole Hybrids: Synthesis and Antimicrobial Activity. Molecules 2022, 27, 5781. [Google Scholar] [CrossRef] [PubMed]
  117. Ziarani, G.M.; Hajiabbasi, P.; Badiei, A. Application of SBA-Pr-NH2 as a nanoporous base silica catalyst in the development of 2,2-Bis(1H-indol-3-yl)acenaphthen-1(2H)-ones syntheses. J. Iran. Chem. Soc. 2015, 12, 1649–1654. [Google Scholar] [CrossRef]
  118. Feng, G.-L. Facile synthesis of 2,2-bis(1H-indol-3-yl)acenaphthen-1(2H)-one derivatives catalysed by ceric ammonium nitrate. J. Chem. Res. 2010, 2010, 203–205. [Google Scholar] [CrossRef]
  119. Halawa, A.H.; Abd El-Gilil, S.M.; Bedair, A.H.; Eliwa, E.M.; Frese, M.; Sewald, N.; Shaaban, M.; El-Agrody, A.M. Synthesis of diverse amide linked bis-indoles and indole derivatives bearing coumarin-based moiety: Cytotoxicity and molecular docking investigations. Med. Chem. Res. 2018, 27, 796–806. [Google Scholar] [CrossRef]
  120. Kruppa, M.; Sommer, G.A.; Müller, T.J.J. Concise Syntheses of Marine (Bis)indole Alkaloids Meridianin C, D, F, and G and Scalaridine A via One-Pot Masuda Borylation-Suzuki Coupling Sequence. Molecules 2022, 27, 2233. [Google Scholar] [CrossRef] [PubMed]
  121. Kumar, H.; Aggarwal, N.; Marwaha, M.G.; Deep, A.; Chopra, H.; Matin, M.M.; Roy, A.; Emran, T.B.; Mohanta, Y.K.; Ahmed, R.; et al. Thiazolidin-2,4-Dione Scaffold: An Insight into Recent Advances as Antimicrobial, Antioxidant, and Hypoglycemic Agents. Molecules 2022, 27, 6763. [Google Scholar] [CrossRef] [PubMed]
  122. Ahmed, S.K.; Hussein, S.; Qurbani, K.; Ibrahim, R.H.; Fareeq, A.; Mahmood, K.A.; Mohamed, M.G. Antimicrobial resistance: Impacts, challenges, and future prospects. J. Med. Surg. Public Health 2024, 2, 100081. [Google Scholar] [CrossRef]
  123. Potmischil, F.; Marinescu, M.; Nicolescu, A.; Deleanu, C.; Hillebrand, M. Hydroacridines: Part 29. 15N NMR chemical shifts of 9-substituted 1,2,3,4,5,6,7,8-octahydroacridines and their N-oxides-Taft, Swain-Lupton, and other types of linear correlations. Mag. Res. Chem. 2008, 46, 1141–1147. [Google Scholar] [CrossRef] [PubMed]
  124. Rehman, S. A parallel and silent emerging pandemic: Antimicrobial resistance (AMR) amid COVID-19 pandemic. J. Infect. Public Health 2023, 16, 611–617. [Google Scholar] [CrossRef] [PubMed]
  125. Ion, V.; Matei, A.; Constantinescu, C.; Mitu, B.; Ionita, I.; Marinescu, M.; Dinescu, M.; Emandi, A. Octahydroacridine thin films grown by matrix-assisted pulsed laser evaporation for non linear optical applications. Mat. Sci. Semicond. Proc. 2015, 36, 78–83. [Google Scholar] [CrossRef]
  126. Kamal, A.; Khan, M.N.A.; Reddy, S.; Srikanth, Y.V.V.; Ahmed, S.K.; Kumar, K.P.; Murthy, U.S.N. An efficient synthesis of bis(indolyl)methanes and evaluation of their antimicrobial activities. J. Enzym. Inhib. Med. Chem. 2009, 24, 559–565. [Google Scholar] [CrossRef] [PubMed]
  127. Roy, S.; Gajbhiye, R.; Mandal, M.; Pal, C.; Meyyapan, A.; Mukherjee, J.; Jaisankar, P. Synthesis and antibacterial evaluation of 3,3′-diindolylmethane derivatives. Med. Chem. Res. 2014, 23, 1371–1377. [Google Scholar] [CrossRef]
  128. Sarva, S.; Harinath, J.S.; Sthanikam, S.P.; Ethiraj, S.; Vaithiyalingam, M.; Cirandur, S.R. Synthesis, antibacterial and anti-inflammatory activity of bis(indolyl)methanes. Chin. Chem. Lett. 2016, 27, 16–20. [Google Scholar] [CrossRef]
  129. Bahe, A.K.; Das, R.; Naikoo, G.A.; Kosti, P.; Kashaw, S. Antibacterial Activity of Bis(Indolyl) Methane Derivatives against Staphylococcus aureus. Adv. J. Chem. A 2020, 3, S722–S729. [Google Scholar] [CrossRef]
  130. Campana, R.; Mangiaterra, G.; Tiboni, M.; Frangipani, E.; Biavasco, F.; Lucarini, S.; Citterio, B. A Fluorinated Analogue of Marine Bisindole Alkaloid 2,2-Bis(6-bromo-1H-indol-3-yl)ethanamine as Potential Anti-Biofilm Agent and Antibiotic Adjuvant Against Staphylococcus aureus. Pharm. 2020, 13, 210. [Google Scholar] [CrossRef]
  131. Reddy, B.V.S.; Rajeswari, N.; Sarangapani, M.; Reddy, G.R.; Madan, C.; Kumar, K.P.; Rao, M.S. Iodine-catalyzed conjugate addition of indoles onto en-1,4-dione: A novel synthesis of 3-(1-(1H-indol-3-yl)-2-oxo-2-phenylethyl)indolin-2-ones as antibacterial and antifungal agents. Bioorg. Med. Chem. Lett. 2011, 21, 6510–6514. [Google Scholar] [CrossRef] [PubMed]
  132. Singh, P.; Verma, P.; Yadav, B.; Komath, S. Synthesis and evaluation of indole-based new scaffolds for antimicrobial activities—Identification of promising candidates. Bioorg. Med. Chem. Lett. 2011, 21, 3367–3372. [Google Scholar] [CrossRef]
  133. Karuvalam, R.P.; Pakkath, R.; Haridas, K.R.; Rishikesan, R.; Kumari, N.S. Synthesis, characterization, and SAR studies of new (1H-indol-3-yl)alkyl-3-(1H-indol-3-yl)propanamide derivatives as possible antimicrobial and antitubercular agents. Med. Chem. Res. 2013, 22, 4437–4454. [Google Scholar] [CrossRef]
  134. Kumari, G.; Singh, R.K. Synthesis and in vitro antibacterial activity of schiff bases of N-substituted isatins as effective scaffolds. Med. Chem. Res. 2013, 22, 927–933. [Google Scholar] [CrossRef]
  135. Caspar, Y.; Sutera, V.; Boisset, S.; Denis, J.-N.; Maurin, M. Bis-indolic compounds as potentialnew therapeutic alternatives for tularaemia. Front. Cell. Infect. Microbiol. 2014, 4, 24. [Google Scholar] [CrossRef]
  136. Imran, S.; Taha, M.; Ismail, N.H.; Khan, K.M.; Naz, F.; Hussain, M.; Tauseef, S. Synthesis of Novel Bisindolylmethane Schiff bases and Their Antibacterial Activity. Molecules 2014, 19, 11722–11740. [Google Scholar] [CrossRef] [PubMed]
  137. Sharma, D.K.; Tripathi, A.K.; Sharma, R.; Chib, R.; ur Rasool, R.; Hussain, A.; Singh, B.; Goswami, A.; Khan, I.A.; Mukherjee, D. A new class of bactericidal agents against S. aureus, MRSA and VRE derived from bisindolylmethane. Med. Chem. Res. 2014, 23, 1643–1653. [Google Scholar] [CrossRef]
  138. Caspar, Y.; Jeanty, M.; Blu, J.; Burchak, O.; Le Pihive, E.; Maigre, L.; Schneider, D.; Jolivalt, C.; Paris, J.-M.; Hequet, A.; et al. Novel synthetic bis-indolic derivatives with antistaphylococcal activity, including against MRSA and VISA strains. J. Antimicrob. Chemother. 2015, 70, 1727–1737. [Google Scholar] [CrossRef] [PubMed]
  139. Halawa, A.H.; Bedair, A.H.; El-Agrody, A.M.; Eliwa, E.M.; Sewald, N.; Shaaban, M. Synthesis and biological activities of new bis-indole derivatives via microwave irradiation. Z. Naturforschung B 2017, 72, 639–646. [Google Scholar] [CrossRef]
  140. Almutairi, M.S.; Zakaria, A.S.; Ignasius, P.P.; Al-Wabli, R.I.; Joe, I.H.; Attia, M.I. Synthesis, spectroscopic investigations, DFT studies, molecular docking and antimicrobial potential of certain new indole-isatin molecular hybrids: Experimental and theoretical approaches. J. Mol. Struct. 2018, 1153, 333–345. [Google Scholar] [CrossRef]
  141. Choppara, P.; Bethu, M.S.; Prasad, Y.V.; Rao, J.V.; Ranjan, T.J.U.; Prasad, G.V.S.; Doradla, R.; Murthy, Y.L.N. Synthesis, characterization and cytotoxic investigations of novel bis(indole) analogues besides antimicrobial study. Arab. J. Chem. 2019, 12, 2721–2731. [Google Scholar] [CrossRef]
  142. Holland, D.C.; Hayton, J.B.; Kiefel, M.J.; Carroll, A.R. Synthesis and Cheminformatics-Directed Antibacterial Evaluation of Echinosulfonic Acid-Inspired Bis-Indole Alkaloids. Molecules 2024, 29, 2806. [Google Scholar] [CrossRef] [PubMed]
  143. Soltani, S.; Montazeri, N.; Zeydi, M.M.; Heravi, M.M. Synthesis of new bis(indolyl)methanes catalyzed by benzylsulfamic acid and evaluation of their antimicrobial activities. Pharm. Chem. J. 2020, 53, 947–952. [Google Scholar] [CrossRef]
  144. Semenova, O.; Kobzev, D.; Yazbak, F.; Nakonechny, F.; Kolosova, O.; Tatarets, A.; Gellerman, G.; Patsenker, L. Unexpected effect of iodine atoms in heptamethine cyanine dyes on the photodynamic eradication of Gram-positive and Gram-negative pathogens. Dye. Pigment. 2021, 195, 109745. [Google Scholar] [CrossRef]
  145. Khan, N.A.; Kaur, N.; Owens, P.; Thomas, O.P.; Boyd, A. Bis-Indole Alkaloids Isolated from the Sponge Spongosorites calcicola Disrupt Cell Membranes of MRSA. Int. J. Mol. Sci. 2022, 23, 1991. [Google Scholar] [CrossRef]
  146. Khan, S.; Rehman, W.; Rahim, F.; Hussain, R.; Obaidullah, A.J.; Alotaibi, H.F.; Alanazi, M.M.; Usman Khan, M.; Khan, Y. Bis-indole based triazine derivatives: Synthesis, characterization, in vitro β-glucuronidase anti-cancer and anti-bacterial evaluation along with in silico molecular docking and ADME analysis. Arab. J. Chem. 2023, 16, 104970. [Google Scholar] [CrossRef]
  147. Mokariya, J.A.; Patel, R.C.; Rajani, D.P.; Patel, M.P. Synthesis of novel indole-oxindole clubbed 1,2,3-triazole hybrids: Antimicrobial evaluation and molecular docking study. Res. Chem. Intermediat. 2023, 49, 2933–2953. [Google Scholar] [CrossRef]
  148. Prakash, A.V.; Yazabak, F.; Hovor, I.; Nakonechny, F.; Kulyk, O.; Semenova, O.; Bazylevich, A.; Gellerman, G.; Patsenker, L. Highly efficient near-IR cyclohexene cyanine photosensitizers for antibacterial photodynamic therapy. Dye. Pigment. 2023, 211, 111053. [Google Scholar] [CrossRef]
  149. Ranjbari, S.; Jarrahpour, A.; Kianpour, S.; Sepehri, S.; Heiran, R.; Ghasemi, Y.; Turos, E. Molecular docking, synthesis and evaluation of the antimicrobial, antiproliferative, and antioxidant properties of β-lactam bisindoles. J. Mol. Struct. 2023, 1294, 136298. [Google Scholar] [CrossRef]
  150. Sofan, M.A.; El-Ablack, F.Z.; Elsayed, A.I. Antimicrobial Activity of N-Substituted Derivatives of 5-Chloro-2,3- Diphenyl Indole. Chem. Sel. 2023, 8, e202302922. [Google Scholar] [CrossRef]
  151. Kotha, S.; Meher, P.; Das, P.; Bandi, V.; Bhaumik, P. Design, Synthesis and Molecular Docking Studies of New Indole Scaffolds. As. J. Org. Chem 2024, 13, e202400254. [Google Scholar] [CrossRef]
  152. Dartois, V.A.; Rubin, E.J. Anti-tuberculosis treatment strategies and drug development: Challenges and priorities. Nat. Rev. Microbiol. 2022, 20, 685–701. [Google Scholar] [CrossRef] [PubMed]
  153. Walmik, P.; Saundane, A.R. Synthesis of novel indolyl-azetidinone and thiazolidinone derivatives as a potent antioxidant, antimicrobial and antitubercular agents. Der Pharma Chem. 2014, 6, 70–79. [Google Scholar]
  154. Khadkikar, P.; Goud, N.S.; Mohammed, A.; Ramamoorthy, G.; Ananthathatmula, R.; Doble, M.; Rizvi, A.; Banerjee, S.; Ravi, A.; Alvala, M. An efficient and facile green synthesis of bisindole methanes as potential Mtb FtsZ inhibitors. Chem. Biol. Drug Des. 2018, 92, 1933–1939. [Google Scholar] [CrossRef] [PubMed]
  155. Marinescu, M. 2-Aminopyridine–A classic and trendy pharmacophore. Int. J. Pharm. Bio. Sci. 2017, 8, 338–355. [Google Scholar] [CrossRef]
  156. Fernandez, L.S.; Buchanan, M.S.; Carroll, A.R.; Feng, Y.J.; Quinn, R.J.; Avery, V.M. Flinderoles A-C: Antimalarial Bis-indole Alkaloids from Flindersia Species. Org. Lett. 2009, 11, 329–332. [Google Scholar] [CrossRef]
  157. Vallakati, R.; and May, J.A. Biomimetic Synthesis of the Antimalarial Flindersial Alkaloids. J. Am. Chem. Soc. 2012, 134, 6936–6939. [Google Scholar] [CrossRef] [PubMed]
  158. Robertson, L.P.; Duffy, S.; Wang, Y.; Wang, D.; Avery, V.M.; Carroll, A.R. Pimentelamines A−C, Indole Alkaloids Isolated from the Leaves of the Australian Tree Flindersia pimenteliana. J. Nat. Prod. 2017, 80, 3211–3217. [Google Scholar] [CrossRef]
  159. Sheikh, S.Y.; Hassan, F.; Shukla, D.; Bala, S.; Faruqui, T.; Akhter, Y.; Khan, A.R.; Nasibullah, M. A review on potential therapeutic targets for the treatment of leishmaniasis. Parasitol. Int. 2024, 100, 102863. [Google Scholar] [CrossRef]
  160. Ansari, M.; Fakhar, M.; Sadeghi, F.; Faridnia, R.; Hasani, N.; Abastabar, M.; Montazeri, M.; Emami, S. Synthesis, computational study, and antileishmanial and antifungal evaluation of phenoxyacetophenone hydrazones bearing a 4-arylthiazole moiety. J. Mol. Struct. 2024, 108, 138015. [Google Scholar] [CrossRef]
  161. Taha, M.; Uddin, I.; Gollapalli, M.; Almandil, N.B.; Rahim, F.; Farooq, R.K.; Nawaz, M.; Ibrahim, M.; Alqahtani, M.A.; Bamarouf, Y.A.; et al. Synthesis, anti-leishmanial and molecular docking study of bis-indole derivatives. BMC Chem. 2019, 13, 102. [Google Scholar] [CrossRef] [PubMed]
  162. Filho, P.C.S.; da Silva, M.B.; da Silva, B.M.; Fazolo, T.; Dorneles, G.P.; Braun de Azeredo, J.; da Rosa, M.A.; Júnior, L.C.R.; Peres, A.; Santos Canto, R.F.; et al. Seleno-indoles trigger reactive oxygen species and mitochondrial dysfunction in Leishmania amazonensis. Tetrahedron 2023, 135, 133329. [Google Scholar] [CrossRef]
  163. Ahmad, G.; Sohail, M.; Bilal, M.; Rasool, N.; Qamar, M.U.; Ciurea, C.; Marceanu, L.G.; Misarca, C. N-Heterocycles as Promising Antiviral Agents: A Comprehensive Overview. Molecules 2024, 29, 2232. [Google Scholar] [CrossRef] [PubMed]
  164. Gudima, G.; Kofiadi, I.; Shilovskiy, I.; Kudlay, D.; Khaitov, M. Antiviral Therapy of COVID-19. Int. J. Mol. Sci. 2023, 24, 8867. [Google Scholar] [CrossRef]
  165. Zhou, G.; Sofiyev, V.; Kaur, H.; Snyder, B.A.; Mankowski, M.K.; Hogan, P.A.; Ptak, R.G.; Gochin, M. Structure−Activity Relationship Studies of Indole-Based Compounds as Small Molecule HIV-1 Fusion Inhibitors Targeting Glycoprotein 41. J. Med. Chem. 2014, 57, 5270–5281. [Google Scholar] [CrossRef] [PubMed]
  166. Zhou, G.; Chu, S.; Nemati, A.; Huang, C.; Snyder, B.A.; Ptak, R.G.; Gochin, M. Investigation of the molecular characteristics of bisindole inhibitors as HIV-1 glycoprotein-41 fusion inhibitors. Eur. J. Med. Chem. 2019, 161, 533–542. [Google Scholar] [CrossRef]
  167. Zhou, G.; He, L.; Li, K.H.; Pedroso, C.C.S.; Gochin, M. A targeted covalent small molecule inhibitor of HIV-1 fusion. Chem. Commun. 2021, 57, 4528–4531. [Google Scholar] [CrossRef]
  168. Gao, Y.; He, X.; Yan, L.; Zhang, H.; Liu, S.; Ma, Q.; Zhang, P.; Zhang, Y.; Zhang, Z.; Wang, Z.; et al. Discovery of Barakacin and Its Derivatives as Novel Antiviral and Fungicidal Agents. Molecules 2023, 28, 3032. [Google Scholar] [CrossRef] [PubMed]
  169. Yin, L.J.; bin Ahmad Kamar, A.K.D.; Fung, G.T.; Liang, C.T.; Avupati, V.R. Review of anticancer potentials and structure-activity relationships (SAR) of rhodanine derivatives. Biomed. Pharmacother. 2022, 145, 112406. [Google Scholar] [CrossRef]
  170. Sung, H.; Ferlay, J.; Siegel, R.L.; Laversanne, M.; Soerjomataram, I.; Jemal, A.; Bray, F. Global cancer statistics 2020: GLOBOCAN estimates of incidence and mortality worldwide for 36 cancers in 185 countries. CA Cancer J. Clin. 2021, 71, 209–249. [Google Scholar] [CrossRef] [PubMed]
  171. Hassan, S.M.; Farid, A.; Panda, S.S.; Bekheit, M.S.; Dinkins, H.; Fayad, W.; Girgis, A.S. Indole Compounds in Oncology: Therapeutic Potential and Mechanistic Insights. Pharmaceuticals 2024, 17, 922. [Google Scholar] [CrossRef]
  172. Janeiro, A.M.; Marques, C.S. Biological Profile of Synthetic and Natural Indole Derivatives: Paving New Paths in Cancer Treatment. Drugs Drug Candidates 2024, 3, 488–511. [Google Scholar] [CrossRef]
  173. Hegedűs, D.; Szemerédi, N.; Petrinca, K.; Berkecz, R.; Spengler, G.; Szatmári, I. Synthesis of Tumor Selective Indole and 8-Hydroxyquinoline Skeleton Containing Di-, or Triarylmethanes with Improved Cytotoxic Activity. Molecules 2024, 29, 4176. [Google Scholar] [CrossRef]
  174. Pingaew, R.; Prachayasittikul, S.; Ruchirawat, S.; Prachayasittikul, V. Synthesis and structure–activity relationship of mono-indole-, bis-indole-, and tris-indole-based sulfonamides as potential anticancer agents. Mol. Div. 2013, 17, 595–604. [Google Scholar] [CrossRef]
  175. El Sayed, M.T.; Ahmed, K.M.; Mahmoud, K.; Hilgeroth, A. Synthesis, cytostatic evaluation and structure activity relationships of novel bis-indolylmethanes and their corresponding tetrahydroindolocarbazole. Eur. J. Med. Chem. 2015, 90, 845–859. [Google Scholar] [CrossRef] [PubMed]
  176. Szumilak, M.; Galdyszynska, M.; Dominska, K.; Bak-Sypien, I.I.; Merecz-Sadowska, A.; Stanczak, A.; Karwowski, B.T.; Piastowska-Ciesielska, A.W. Synthesis, Biological Activity and Preliminary in Silico ADMET Screening of Polyamine Conjugates with Bicyclic Systems. Molecules 2017, 22, 794. [Google Scholar] [CrossRef] [PubMed]
  177. Eldehna, W.M.; Hassan, G.S.; Al-Rashood, S.T.; Alkahtani, H.M.; Almehizia, A.; Al-Ansary, G.H. Marine-Inspired Bis-indoles Possessing Antiproliferative Activity against Breast Cancer; Design, Synthesis, and Biological Evaluation. Mar. Drugs 2020, 18, 190. [Google Scholar] [CrossRef]
  178. Pingaew, R.; Mandi, P.; Prachayasittikul, V.; Thongnum, A.; Prachayasittikul, S.; Ruchirawat, S.; Prachayasittikul, V. Investigations on Anticancer and Antimalarial Activities of Indole-Sulfonamide Derivatives and In Silico Studies. ACS Omega 2021, 6, 31854–31868. [Google Scholar] [CrossRef] [PubMed]
  179. Parthiban, A.; Sivasankar, R.; Rajdev, B.; Asha, R.N.; Jeyakumar, T.C.; Periakaruppan, R.; Naidu, V.G.M. Synthesis, in vitro, in silico and DFT studies of indole curcumin derivatives as potential anticancer agents. J. Mol. Struct. 2022, 1270, 133885. [Google Scholar] [CrossRef]
  180. Budovska, M.; Michalkova, R.; Kello, M.; Vaskova, J.; Mojzis, J. Design, Synthesis and Antiproliferative Evaluation of Bis-Indole Derivatives with a Phenyl Linker: Focus on Autophagy. Molecules 2023, 28, 251. [Google Scholar] [CrossRef] [PubMed]
  181. Jin, T.-Y.; Li, P.-L.; Wang, C.-L.; Tang, X.-L.; Cheng, M.-M.; Zong, Y.; Luo, L.-Z.; Ou, H.-L.; Liu, K.-C.; Li, G.-Q. Racemic Bisindole Alkaloids: Structure, Bioactivity, and Computational Study. Chin. J. Chem. 2021, 39, 2588–2598. [Google Scholar] [CrossRef]
  182. Voura, M.; Anwar, S.; Thysiadis, S.; Κhan, P.; Dalezis, P.; Trafalis, D.T.; Hassan, M.I.; Sarli, V. Synthesis and biological activity of bisindole derivatives as novel MARK4 inhibitors. Eur. J. Med. Chem. Rep. 2022, 6, 100076. [Google Scholar] [CrossRef]
  183. Midya, G.C.; Mandal, S.; Paul, R.; Dash, J. Synthesis of a bisindole enyne with anticancer properties. J. Ind. Chem. Soc. 2023, 100, 101028. [Google Scholar] [CrossRef]
  184. Kabir, E.; Uzzaman, M. A review on biological and medicinal impact of heterocyclic compounds. Res. Chem. 2022, 4, 100606. [Google Scholar] [CrossRef]
  185. Hemalatha, K.; Madhumitha, G.; Roopan, S.M. Indole as a Core Anti-Inflammatory Agent-A Mini Review. Chem. Sci. Rev. Lett. 2013, 2, 287–292. [Google Scholar]
  186. Qu, J.; Fang, L.; Ren, X.-D.; Liu, Y.; Yu, S.-S.; Li, L.; Bao, X.-Q.; Zhang, D.; Li, Y.; Ma, S.-G. Bisindole Alkaloids with Neural Anti-inflammatory Activity from Gelsemium elegans. J. Nat. Prod. 2013, 76, 2203–2209. [Google Scholar] [CrossRef] [PubMed]
  187. Sujatha, K.; Perumal, P.T.; Muralidharan, D.; Rajendran, M. Synthesis, analgesic and anti-inflammatory activities of bis(indole)methanes. Ind. J. Chem. 2009, 48B, 267–272. [Google Scholar]
  188. Mizobuti, D.S.; da Rocha, G.L.; da Silva, H.N.M.; Covatti, C.; de Lourenço, C.C.; Pereira, E.C.; Salvador, M.J.; Minatel, E. Antioxidant effects of bis-indole alkaloid indigo and related signaling pathways in the experimental model of Duchenne muscular dystrophy. Cell Stress Chap. 2022, 27, 417–429. [Google Scholar] [CrossRef] [PubMed]
  189. Zhang, F.; Zhao, K.; Tang, T.; Deng, Y.; Zhang, Y.; Feng, S.; Feng, P.; Guo, M.; Li, X.; Cen, J. Bisindole compound 4ae ameliorated cognitive impairment in rats with vascular dementia by anti-inflammation effect via microglia cells. Eur. J. Pharmacol. 2021, 908, 174357. [Google Scholar] [CrossRef] [PubMed]
  190. Shim, K.-H.; Kim, S.-H.; Hur, J.; Kim, D.-H.; DEmirev, A.V.; Yoon, S.Y. Small-molecule drug screening identifies drug Ro 31–8220 that reduces toxic phosphorylated tau in Drosophila melanogaster. Neurobiol. Dis. 2019, 130, 104519. [Google Scholar] [CrossRef]
  191. Bharate, S.B.; Manda, S.; Joshi, P.; Singh, B.; Vishwakarma, R.A. Total synthesis and anti-cholinesterase activity of marine-derived bis-indole alkaloid fascaplysin. Med. Chem. Commun. 2012, 3, 1098–1103. [Google Scholar] [CrossRef]
  192. Sun, Q.; Liu, F.; Sang, J.; Lin, M.; Ma, J.; Xiao, X.; Yan, S.; Naman, C.B.; Wang, N.; He, S.; et al. 9-Methylfascaplysin Is a More Potent Aβ Aggregation Inhibitor than the Marine-Derived Alkaloid, Fascaplysin, and Produces Nanomolar Neuroprotective Effects in SH-SY5Y Cells. Mar. Drugs 2019, 17, 121. [Google Scholar] [CrossRef] [PubMed]
  193. Pan, H.; Qiu, H.; Zhang, K.; Zhang, P.; Liang, W.; Yang, M.; Mou, C.; Lin, M.; He, M.; Xiao, X.; et al. Fascaplysin Derivatives Are Potent Multitarget Agents against Alzheimer’s Disease: In Vitro and in Vivo Evidence. ACS Chem. Neurosci. 2019, 10, 4741–4756. [Google Scholar] [CrossRef] [PubMed]
  194. Angelova, V.T.; Georgiev, B.; Pencheva, T.; Pajeva, I.; Rangelov, M.; Todorova, N.; Zheleva-Dimitrova, D.; Kalcheva-Yovkova, E.; Valkova, I.V.; Vassilev, N.; et al. Design, Synthesis, In Silico Studies and In Vitro Evaluation of New Indole- and/or Donepezil-like Hybrids as Multitarget-Directed Agents for Alzheimer’s Disease. Pharmaceuticals 2023, 16, 1194. [Google Scholar] [CrossRef] [PubMed]
  195. Nadeem, M.S.; Khan, J.A.; Rashid, U. Design, Synthesis, and Bioevaluation of Indole Core Containing 2-Arylidine Derivatives of Thiazolopyrimidine as Multitarget Inhibitors of Cholinesterases and Monoamine Oxidase A/B for the Treatment of Alzheimer Disease. ACS Omega 2022, 7, 9369–9379. [Google Scholar] [CrossRef]
  196. Barresi, E.; Baglini, E.; Poggetti, V.; Castagnoli, J.; Giorgini, D.; Salerno, S.; Taliani, S.; Da Settimo, F. Indole-Based Compounds in the Development of Anti-Neurodegenerative Agents. Molecules 2024, 29, 2127. [Google Scholar] [CrossRef]
  197. Jomova, K.; Renata Raptova, R.; Alomar, S.Y.; Alwasel, S.H.; Nepovimova, E.; Kuca, K.; Valko, M. Reactive oxygen species, toxicity, oxidative stress, and antioxidants: Chronic diseases and aging. Arch. Toxicol. 2023, 97, 2499–2574. [Google Scholar] [CrossRef]
  198. Estevão, M.S.; Carvalho, L.C.; Ribeiro, D.; Couto, D.; Freitas, M.; Gomes, A.; Ferreira, L.M.; Fernandes, E.; Marques, M.M.B. Antioxidant activity of unexplored indole derivatives: Synthesis and screening. Eur. J. Med. Chem. 2010, 45, 4869–4878. [Google Scholar] [CrossRef]
  199. Silveira, C.C.; Mendes, S.R.; Soares, J.R.; Victoria, F.N.; Martinez, D.M.; Savegnago, L. Synthesis and antioxidant activity of new C-3 sulfenyl indoles. Tetrahedron Lett. 2013, 54, 4926–4929. [Google Scholar] [CrossRef]
  200. Zhu, Y.; Zhao, J.; Luo, L.; Gao, Y.; Bao, H.; Li, P.; Zhang, H. Research progress of indole compounds with potential antidiabetic activity. Eur. J. Med. Chem. 2021, 223, 113665. [Google Scholar] [CrossRef] [PubMed]
  201. Ki, J.; Mukherjee, A.; Rangasamy, S.; Purushothaman, B.; Song, J.M. Insulin-mimetic and anti-inflammatory potential of a vanadyl-Schiff base complex for its application against diabetes. RSC Adv. 2016, 6, 57530–57539. [Google Scholar] [CrossRef]
  202. Taha, M.; Rahim, F.; Imran, S.; Ismail, N.H.; Ullah, H.; Selvaraj, M.; Javid, M.T.; Salar, U.; Ali, M.; Khan, M.K. Synthesis, a-glucosidase inhibitory activity and in silico study of tris-indole hybrid scaffold with oxadiazole ring: As potential leads for the management of type-II diabetes mellitus. Bioorg. Chem. 2017, 74, 30–40. [Google Scholar] [CrossRef] [PubMed]
  203. Çavdar, H.; Talaz, O.; Ekinci, D. Synthesis of novel mono and bis-indole conduritol derivatives and their a/b-glycosidase inhibitory effects. Bioorg. Med. Chem. Lett. 2012, 22, 7499–7503. [Google Scholar] [CrossRef]
  204. Wang, G.; Wang, J.; Xie, Z.; Chen, M.; Li, L.; Peng, Y.; Chen, S.; Li, W.; Deng, B. Discovery of 3, 3-di(indolyl)indolin-2-one as a novel scaffold for aglucosidase inhibitors: In silico studies and SAR predictions. Bioorg. Chem. 2017, 72, 228–233. [Google Scholar] [CrossRef]
  205. Mayati, A.; Bruyere, A.; Moreau, A.; Jouan, E.; Denizot, C.; Parmentier, Y.; Fardel, O. Protein kinase C-independent inhibition of organic cation transporter 1 activity by the bisindolylmaleimide ro 31-8220. PLoS ONE 2015, 10, e0144667. [Google Scholar] [CrossRef]
  206. Sugai, T.; Hanaya, K.; Higashibayashi, S. Syntheses of indirubins by aldol condensation of isatins with indoxyl anion generated in situ by lipase-catalyzed deacetylation of indoxyl acetate. Heterocycles 2020, 100, 129–136. [Google Scholar] [CrossRef]
  207. Konno, T.; Sasaki, K.; Kobayashi, K.; Murata, T. Indirubin promotes adipocyte differentiation and reduces lipid accumulation in 3T3L1 cells via peroxisome proliferatoractivated receptor gamma activation. Mol. Med. Rep. 2020, 21, 1552–1560. [Google Scholar] [CrossRef]
  208. Nisha, C.M.; Kumar, A.; Vimal, A.; Bai, B.M.; Kumar, A. Docking and ADMET prediction of few GSK-3 inhibitors divulges 6-bromoindirubin-3-oxime as a potential inhibitor. J. Mol. Graph. Model. 2016, 65, 100–107. [Google Scholar] [CrossRef]
  209. Dvorak, K.R.; Tepe, J.J. Advances in the Total Synthesis of Bis- and Tris-Indole Alkaloids Containing N-Heterocyclic Linker Moieties. Nat. Prod. Rep. 2024, 41, 1264–1293. [Google Scholar] [CrossRef] [PubMed]
  210. Zhang, Z.-L.; Xu, H.-N.; Gong, C.-M.; Li, Y.-Z.; Li, Y.-M.; Song, X.-M.; Wang, R.; Zhang, D.-D. The Sources, Structures and Cytotoxicity of Animal-Derived Bisindole Compounds. Chem. Biodivers. 2024, 21, e202401165. [Google Scholar] [CrossRef]
  211. Mielczarek, M.; Devakaram, R.V.; Ma, C.; Yang, X.; Kandemir, H.; Purwono, B.; Black, D.S.; Griffith, R.; Lewis, P.J.; Kumar, N. Synthesis and Biological Activity of Novel Bis-Indole Inhibitors of Bacterial Transcription Initiation Complex Formation. Org. Biomol. Chem. 2014, 12, 2882–2894. [Google Scholar] [CrossRef]
  212. Dethe, D.H.; Erande, R.D.; Ranjan, A. Biomimetic Total Syntheses of Flinderoles B and C. J. Am. Chem. Soc. 2011, 133, 2864–2867. [Google Scholar] [CrossRef]
  213. Tsuruda, S.; Sato, T.; Aoyama, H.; Sirimangkalakitti, N.; Fujimura, S.; Arisawa, M.; Murai, K. Total Synthesis and Antibacterial Activity of Marine Tris-Indole Alkaloid Tulongicin A. J. Nat. Prod. 2024, 87, 1556–1562. [Google Scholar] [CrossRef] [PubMed]
  214. Pacureanu, L.; Avram, S.; Bora, A.; Kurunczi, L.; Crisan, L. Portraying the selectivity of GSK-3 inhibitors towards CDK-2 by 3D similarity and molecular docking. Struct. Chem. 2019, 30, 911–923. [Google Scholar] [CrossRef]
  215. Alorfi, N.M. Pharmacological Methods of Pain Management: Narrative Review of Medication Used. Int. J. Gen. Med. 2023, 16, 3247–3256. [Google Scholar] [CrossRef]
  216. Li, F.; Yin, C.; Chen, J.; Liu, J.; Xie, X.; Zhang, A. Synthesis and SAR Study of Opioid Receptor Ligands: Mono- and Bis-Indolomorphinans. Chem. Biol. Drug Des. 2009, 74, 335–342. [Google Scholar] [CrossRef]
  217. Badger, M.R.; Price, G.D. The role of carbonic anhydrase in photosynthesis. Annu. Rev. Plant Physiol. Plant Mol. Biol. 1994, 45, 369–392. [Google Scholar] [CrossRef]
  218. Bonardi, A.; Nocentini, A.; de Luca, V.; Capasso, C.; Elkaeed, E.B.; Eldehna, W.M.; Supuran, C.T. Hydrogen Sulfide-Releasing Carbonic Anhydrase Inhibitors Effectively Suppress Cancer Cell Growth. Int. J. Mol. Sci. 2024, 25, 10006. [Google Scholar] [CrossRef] [PubMed]
  219. Imran, S.; Taha, M.; Ismail, N.H.; Fayyaz, S.; Khan, K.M.; Choudhary, M.I. Synthesis of novel bisindolylmethanes: New carbonic anhydrase II inhibitors, docking, and 3D pharmacophore studies. Bioorg. Chem. 2016, 68, 90–104. [Google Scholar] [CrossRef] [PubMed]
Figure 1. Material applications of indole and bisindole compounds with medicinal properties reported in the literature [24,25,26,27,28,29,30,31,32,33,34,35,36,37,38].
Figure 1. Material applications of indole and bisindole compounds with medicinal properties reported in the literature [24,25,26,27,28,29,30,31,32,33,34,35,36,37,38].
Antibiotics 13 01212 g001
Figure 2. Natural bisindolic compounds with various therapeutic properties.
Figure 2. Natural bisindolic compounds with various therapeutic properties.
Antibiotics 13 01212 g002
Figure 3. Medicinal properties of bisindolic compounds.
Figure 3. Medicinal properties of bisindolic compounds.
Antibiotics 13 01212 g003
Scheme 1. Synthesis of bis(indolyl)methanes 3 using different catalysts.
Scheme 1. Synthesis of bis(indolyl)methanes 3 using different catalysts.
Antibiotics 13 01212 sch001
Scheme 2. Synthesis of bis(indolyl)methanes 6 by LiOt-Bu-promoted alkylation of indoles 4.
Scheme 2. Synthesis of bis(indolyl)methanes 6 by LiOt-Bu-promoted alkylation of indoles 4.
Antibiotics 13 01212 sch002
Scheme 3. Synthesis of bis(indolyl)methane phosphonates 9 using In(OTf)3 as catalyst.
Scheme 3. Synthesis of bis(indolyl)methane phosphonates 9 using In(OTf)3 as catalyst.
Antibiotics 13 01212 sch003
Scheme 4. Synthesis of 3,3-bis(indol-3-yl)propanoates 12 FeCl3/AgOTf as catalyst.
Scheme 4. Synthesis of 3,3-bis(indol-3-yl)propanoates 12 FeCl3/AgOTf as catalyst.
Antibiotics 13 01212 sch004
Scheme 5. Synthesis of bis(indolyl)methanes 14 from indole 1 and ketones [107,108,109].
Scheme 5. Synthesis of bis(indolyl)methanes 14 from indole 1 and ketones [107,108,109].
Antibiotics 13 01212 sch005
Scheme 6. Synthesis of bis(indolyl)methanes 16 from indole 1 and electron-deficient alkenes 15.
Scheme 6. Synthesis of bis(indolyl)methanes 16 from indole 1 and electron-deficient alkenes 15.
Antibiotics 13 01212 sch006
Scheme 7. Synthesis of bis(indolyl)methanes 19 using a domino reaction.
Scheme 7. Synthesis of bis(indolyl)methanes 19 using a domino reaction.
Antibiotics 13 01212 sch007
Scheme 8. Synthesis of homo-bisindolylmethanes 22 using RMgX 21 as reactant.
Scheme 8. Synthesis of homo-bisindolylmethanes 22 using RMgX 21 as reactant.
Antibiotics 13 01212 sch008
Scheme 9. Synthesis of homo-bis(indolyl)methanes 25 using RLi 24 as reactant.
Scheme 9. Synthesis of homo-bis(indolyl)methanes 25 using RLi 24 as reactant.
Antibiotics 13 01212 sch009
Scheme 10. Synthesis of homo-bis(indolylmethanes) 28 using alkynyl lithium reagents 27 as reactants.
Scheme 10. Synthesis of homo-bis(indolylmethanes) 28 using alkynyl lithium reagents 27 as reactants.
Antibiotics 13 01212 sch010
Scheme 11. Synthesis of bis(indolyl) oximes 31 via hetero-Diels-Alder reaction.
Scheme 11. Synthesis of bis(indolyl) oximes 31 via hetero-Diels-Alder reaction.
Antibiotics 13 01212 sch011
Scheme 12. Synthesis of bis(indolyl) hydrazones 34 via hetero-Diels-Alder reaction.
Scheme 12. Synthesis of bis(indolyl) hydrazones 34 via hetero-Diels-Alder reaction.
Antibiotics 13 01212 sch012
Scheme 13. Synthesis of bisindoles 37 using a multicomponent reaction.
Scheme 13. Synthesis of bisindoles 37 using a multicomponent reaction.
Antibiotics 13 01212 sch013
Scheme 14. Synthesis of 3,3-bis(1H-indol-3-yl)indolin-2-ones 40.
Scheme 14. Synthesis of 3,3-bis(1H-indol-3-yl)indolin-2-ones 40.
Antibiotics 13 01212 sch014
Scheme 15. Synthesis of isatin bisindoles 43.
Scheme 15. Synthesis of isatin bisindoles 43.
Antibiotics 13 01212 sch015
Scheme 16. Synthesis of acenaphthene bisindoles 46.
Scheme 16. Synthesis of acenaphthene bisindoles 46.
Antibiotics 13 01212 sch016
Scheme 17. Synthesis of acenaphthene bisindoles 48.
Scheme 17. Synthesis of acenaphthene bisindoles 48.
Antibiotics 13 01212 sch017
Scheme 18. Synthesis of acenaphthene bisindoles 51.
Scheme 18. Synthesis of acenaphthene bisindoles 51.
Antibiotics 13 01212 sch018
Scheme 19. Synthesis of amide bisindoles 54, 55, and 57.
Scheme 19. Synthesis of amide bisindoles 54, 55, and 57.
Antibiotics 13 01212 sch019
Scheme 20. Synthesis of O,O′-dimethyl scalaridine A 62.
Scheme 20. Synthesis of O,O′-dimethyl scalaridine A 62.
Antibiotics 13 01212 sch020
Figure 4. The structures of bis(indolyl)methanes 6267 with antimicrobial properties.
Figure 4. The structures of bis(indolyl)methanes 6267 with antimicrobial properties.
Antibiotics 13 01212 g004
Figure 5. The structures of bis(indolyl)methanes 6870 with antimicrobial properties.
Figure 5. The structures of bis(indolyl)methanes 6870 with antimicrobial properties.
Antibiotics 13 01212 g005
Scheme 21. Synthesis of bisindoles 74 and 75.
Scheme 21. Synthesis of bisindoles 74 and 75.
Antibiotics 13 01212 sch021
Figure 6. The structures of bisindoles 7684 with antimicrobial properties.
Figure 6. The structures of bisindoles 7684 with antimicrobial properties.
Antibiotics 13 01212 g006
Figure 7. The structures of bisindoles 8687 with antimicrobial properties.
Figure 7. The structures of bisindoles 8687 with antimicrobial properties.
Antibiotics 13 01212 g007
Scheme 22. Synthesis of antimicrobial bisindoles 93.
Scheme 22. Synthesis of antimicrobial bisindoles 93.
Antibiotics 13 01212 sch022
Figure 8. The structures of bisindole compounds 9498 with antimicrobial properties.
Figure 8. The structures of bisindole compounds 9498 with antimicrobial properties.
Antibiotics 13 01212 g008
Figure 9. Binding mode of compound 100e and active site residue in isoform 1 of Bcl-2. Adapted from [149].
Figure 9. Binding mode of compound 100e and active site residue in isoform 1 of Bcl-2. Adapted from [149].
Antibiotics 13 01212 g009
Figure 10. The structures of bisindole compounds 102105 with antitubercular properties.
Figure 10. The structures of bisindole compounds 102105 with antitubercular properties.
Antibiotics 13 01212 g010
Figure 11. The structures of bisindole compounds 106111 with antimalarial properties.
Figure 11. The structures of bisindole compounds 106111 with antimalarial properties.
Antibiotics 13 01212 g011
Scheme 23. Synthesis of antileishmanial bisindoles 112138.
Scheme 23. Synthesis of antileishmanial bisindoles 112138.
Antibiotics 13 01212 sch023
Figure 12. The structures of bisindole compounds 112–138 with antileishmanial properties.
Figure 12. The structures of bisindole compounds 112–138 with antileishmanial properties.
Antibiotics 13 01212 g012
Figure 13. (a) Binding mode of the most active compounds in pteridine reductase active site. (b) Binding mode of compound 119 (green color) in comparison with pentamidine (blue color). Adapted from [161].
Figure 13. (a) Binding mode of the most active compounds in pteridine reductase active site. (b) Binding mode of compound 119 (green color) in comparison with pentamidine (blue color). Adapted from [161].
Antibiotics 13 01212 g013
Scheme 24. Synthesis of antileishmanial seleno-bisindole 139.
Scheme 24. Synthesis of antileishmanial seleno-bisindole 139.
Antibiotics 13 01212 sch024
Scheme 25. Synthesis of anti-HIV-1 bisindoles 140a140m.
Scheme 25. Synthesis of anti-HIV-1 bisindoles 140a140m.
Antibiotics 13 01212 sch025
Figure 14. Bisindoles with antiviral properties.
Figure 14. Bisindoles with antiviral properties.
Antibiotics 13 01212 g014
Figure 15. Docked pose of 142 in the hydrophobic pocket of gp41 (PDB 2xra), allowing movement of side chains of Gln 575 and Trp 571. A salt bridge from one carbonyl oxygen on the ligand to Lys574-εNH2 is shown as an orange dotted line, and a hydrogen bond is predicted from the second carbonyl oxygen to the lysine eNH2. Adapted from [167].
Figure 15. Docked pose of 142 in the hydrophobic pocket of gp41 (PDB 2xra), allowing movement of side chains of Gln 575 and Trp 571. A salt bridge from one carbonyl oxygen on the ligand to Lys574-εNH2 is shown as an orange dotted line, and a hydrogen bond is predicted from the second carbonyl oxygen to the lysine eNH2. Adapted from [167].
Antibiotics 13 01212 g015
Figure 16. Bisindoles with anticancer properties.
Figure 16. Bisindoles with anticancer properties.
Antibiotics 13 01212 g016
Scheme 26. Synthesis of anticancer bisindoles 148 and 149.
Scheme 26. Synthesis of anticancer bisindoles 148 and 149.
Antibiotics 13 01212 sch026
Figure 17. Possible binding mode of the most potent compounds and target proteins. Binding modes of the cocrystallized ligand Ibrutinib (orange), compound 152 (green), and 153 (magenta) against the anticancer target EGFR (PDB ID: 5YU9). Adapted from [178].
Figure 17. Possible binding mode of the most potent compounds and target proteins. Binding modes of the cocrystallized ligand Ibrutinib (orange), compound 152 (green), and 153 (magenta) against the anticancer target EGFR (PDB ID: 5YU9). Adapted from [178].
Antibiotics 13 01212 g017
Figure 18. Dock pose of indole derivatives 154 and 155 with Bcr-Abl and GSK-3β proteins. Adapted from [179].
Figure 18. Dock pose of indole derivatives 154 and 155 with Bcr-Abl and GSK-3β proteins. Adapted from [179].
Antibiotics 13 01212 g018
Scheme 27. Synthesis of anticancer bisindoles 154156.
Scheme 27. Synthesis of anticancer bisindoles 154156.
Antibiotics 13 01212 sch027
Figure 19. Bisindoles 157162 with anticancer properties.
Figure 19. Bisindoles 157162 with anticancer properties.
Antibiotics 13 01212 g019
Figure 20. Molecular orbital energy-generated 2D interaction plot of bisindoles (a) 161; (b) 162. Adapted from [160].
Figure 20. Molecular orbital energy-generated 2D interaction plot of bisindoles (a) 161; (b) 162. Adapted from [160].
Antibiotics 13 01212 g020
Figure 21. Bisindoles 168179 as MARK4 inhibitors.
Figure 21. Bisindoles 168179 as MARK4 inhibitors.
Antibiotics 13 01212 g021
Scheme 28. Synthesis of anticancer bisindoles 180181.
Scheme 28. Synthesis of anticancer bisindoles 180181.
Antibiotics 13 01212 sch028
Figure 22. Bisindoles 182193 with anti-inflammatory properties.
Figure 22. Bisindoles 182193 with anti-inflammatory properties.
Antibiotics 13 01212 g022
Figure 23. Bisindoles 194197 with anti-inflammatory activity.
Figure 23. Bisindoles 194197 with anti-inflammatory activity.
Antibiotics 13 01212 g023
Figure 24. Bisindoles 200197 with anti-Alzheimer properties.
Figure 24. Bisindoles 200197 with anti-Alzheimer properties.
Antibiotics 13 01212 g024
Scheme 29. Synthesis of anti-Alzheimer bisindole 204.
Scheme 29. Synthesis of anti-Alzheimer bisindole 204.
Antibiotics 13 01212 sch029
Figure 25. (a) A 2D interaction diagram of compound 205 within the binding site of MAO-A (PDB ID = 2Z5X); (b) 2D interaction diagram of compound 205 within the binding site of MAO-B (PDB ID = 2V5Z). Adapted from [195].
Figure 25. (a) A 2D interaction diagram of compound 205 within the binding site of MAO-A (PDB ID = 2Z5X); (b) 2D interaction diagram of compound 205 within the binding site of MAO-B (PDB ID = 2V5Z). Adapted from [195].
Antibiotics 13 01212 g025
Figure 26. Bisindole 209 with antioxidant properties.
Figure 26. Bisindole 209 with antioxidant properties.
Antibiotics 13 01212 g026
Scheme 30. Synthesis of antioxidant bisindole 210.
Scheme 30. Synthesis of antioxidant bisindole 210.
Antibiotics 13 01212 sch030
Scheme 31. Synthesis of antidiabetic bisindole 211.
Scheme 31. Synthesis of antidiabetic bisindole 211.
Antibiotics 13 01212 sch031
Figure 27. Bisindoles 212219 with antidiabetic properties.
Figure 27. Bisindoles 212219 with antidiabetic properties.
Antibiotics 13 01212 g027
Scheme 32. Synthesis of antidiabetic bisindole 213.
Scheme 32. Synthesis of antidiabetic bisindole 213.
Antibiotics 13 01212 sch032
Scheme 33. Synthesis of analgesic bisindoles 220a and 220b.
Scheme 33. Synthesis of analgesic bisindoles 220a and 220b.
Antibiotics 13 01212 sch033
Figure 28. Bisindoles 221a and 221b as carbonic anhydrase II inhibitors.
Figure 28. Bisindoles 221a and 221b as carbonic anhydrase II inhibitors.
Antibiotics 13 01212 g028
Table 1. Screening of efficiency of catalysts used in the synthesis of bisindoles from indoles and aromatic aldehydes.
Table 1. Screening of efficiency of catalysts used in the synthesis of bisindoles from indoles and aromatic aldehydes.
EntryCatalystReaction ConditionsYieldReference
1KHSO4MeOH, rt, 7 h37–80%[86]
2Bi(NO3)3∙5H2OCH2Cl2, rt, 20 min98%[87]
3HClO4–SiO2MeOH, rt, 1–60 min88–95%[88]
4Ln(OTf)3EtOH, H2O, rt, 12–36 h64–93%[89]
5Sm2O3/SiO2Solvent free, 60–70 °C, 5–60 min70–96%[90]
6Ni nanoparticlesSolvent free, 80 °C, 60–90 min85–95%[91]
7Glacial acetic acidReflux, 8 h88%[92]
8TaurineH2O, sonication, 1–24 h59–90%[93]
9Poly(ethylene glycol) (PEG) supported dichlorophosphate (PEG-OP(O)Cl2)rt, 2–10 min92–95%[94]
10Tetramethyl guanidinium chlorosulfonateCH2Cl2, rt, 40 min90–96%[95]
11Pentafluorophenylammonium triflate (PFPAT)CH3CN, rt, 5–60 min60–98%[96]
12Aluminumdodecatungstophosphate (AlPW12O40)CH3CN, rt, 1–25 min71–98%[97]
131-butyl-3-methylimidazolium tetra-fluoroborate ([bmim]BF4)rt, 3–7.5 h85–93%[98]
141-butyl-3-methylimidazolium hexafluorophosphate ([bmim]PF6)rt, 4–8 h78–90%[98]
15N,N,N,N-tetramethylguanidinium trifluoroacetate (TMGT)100 °C, 25–60 min93–98%[99]
16N,N,N,N-tetramethylguanidinium triflate (TMGTf)100 °C, 3.5–5 h86–92%[99]
17[(n-propyl)2NH2][HSO4]MW, 3–5 min85–99%[100]
18Highly uniform and hyper-cross-linked polyphenanthrene and poly-pyrene microspheresNeat, 25–100 °C, 1 h20–96%[101]
19Bio-surfactant, chickpea leaf exudatesi-Pr-OH, 80 °C, 30 min96%[102]
20Ytterbium(III) triflate/sodium dodecyl sulfate (Yb(OTf)3/SDS)H2O, rt, 1.5 h84%[103]
Table 2. Antimicrobial activity and hemolytic activity (%) of compounds 66 and 67 [130].
Table 2. Antimicrobial activity and hemolytic activity (%) of compounds 66 and 67 [130].
CompoundMIC (µg mL−1)Hemolysis (%)
S. aureus CH 10850 (MRSA)S. aureus ATCC 29213
66222.96 ± 0.02
6732162.32 ± 0.06
Table 3. Antimicrobial activity of compounds 74a74j and 75a75j.
Table 3. Antimicrobial activity of compounds 74a74j and 75a75j.
CompoundsMIC in µg/mL
S. aureus
ATCC 25923
E. coli
ATCC 24922
P. aeruginosa
ATCC 27853
K. pneumoniae
Recultured
S. pyogenes
74a6.256.256.256.2512.5
74b6.2512.56.25256.25
74c6.2512.56.252525
74d12.512.52512.56.25
74e6.256.256.256.256.25
74f12.512.52512.525
74g2512.512.512.525
74h6.256.256.256.2512.5
74i256.25256.2512.5
74j6.256.25256.256.25
75a12.525252525
75b6.256.256.256.256.25
75c252525256.25
75d12.512.52512.56.25
75e6.2512.512.512.56.25
75f6.256.256.256.2512.5
75g12.512.52512.525
75h2512.512.512.525
75i6.256.256.256.2512.5
75j6.256.256.256.256.25
Ciprofloxacin6.256.256.251.566.25
Table 4. Antileishmanial potential of bisindoles 112138.
Table 4. Antileishmanial potential of bisindoles 112138.
CompoundRIC50 (µM ± SE)CompoundRIC50 (µM ± SE)
1124-OCH35.3 ± 0.31262-F0.95 ± 0.05
1133-OCH36.4 ± 0.21273-OH-4-OCH32.30 ± 0.1
1143-NO24.3 ± 0.21283-Cl9.10 ± 0.3
1153,4-di(OH)20.80 ± 0.011292-OH-5-OCH32.25 ± 0.20
1164-CH36.70 ± 0.201302-NO23.30 ± 0.20
1172-CH35.20 ± 0.21312.4-di(OH)23.30 ± 0.10
1182.5-di(OH)23.50 ± 0.201323-CH313.30 ± 0.50
1192.3-di(OH)20.7 ± 0.011334-Cl6.9 ± 0.30
1204-F1.50 ± 0.051342-Cl3.20 ± 0.1
1212-OH-4-OCH34.20 ± 0.21353-F6.80 ± 0.2
1223-OH2.65 ± 0.101363-OH5.8 ± 0.20
1234-NO26.8 ± 0.201372-Pyridyl1.60 ± 0.1
1243.5-di(OH)25.80 ± 0.301383-Pyridyl7.60 ± 0.20
1254-OH3.60 ± 0.20
Pentamidine7.20 ± 0.20
SE = standard error.
Table 5. Cytotoxicity of bisindole polyamines 148 and 149.
Table 5. Cytotoxicity of bisindole polyamines 148 and 149.
CompoundIC50 (µM)
PC-3DU-145MCF-7
14827.5916.460.44
14935.7215.861.28
Doxorubicin1.220.581.51
Table 6. Anticancer and antioxidant activities of indole derivatives 154156.
Table 6. Anticancer and antioxidant activities of indole derivatives 154156.
NoCompoundsIn Vitro Studies
Anti-Cancer (IC50)Antioxidant
Hep-2 (μM)A549 (μM)HeLa (μM)Reduction Level of DPPH (%)
115425 ± 0.920 ± 1.68 ± 0.773.41
215518 ± 1.328 ± 306 ± 0.5281.95
315612 ± 0.815 ± 1.24 ± 0.590.50
4Doxorubicin10 ± 0.80.65 ± 0.041 ± 0.09
5Ascorbic acid99.91
Table 7. Inhibitory potential and gold fitness scores of synthesized compounds 159162 against EcTP.
Table 7. Inhibitory potential and gold fitness scores of synthesized compounds 159162 against EcTP.
CompoundRGOLD ScoreIC50 Value (μM) ± SEM
1592,4-dihydroxyphenyl73.513.50 ± 0.01
1602,5-dihydroxyphenyl73.106.10 ± 0.01
1612,3-dihydroxyphenyl72.569.30 ± 0.10
1623,4-dihydroxyphenyl70.9712.16 ± 0.15
7-Deazaxanthine-60.6538.68 ± 1.12
Table 8. Anticancer activities of bisindoles 163166 (IC50 concentration).
Table 8. Anticancer activities of bisindoles 163166 (IC50 concentration).
NoCompoundHela Cells (µM)HT-29 (µM)MCF-7 (µM)
116386.362.3138
216495.4128.3145.8
3165129.598.4>150
4166139.389.7>150
Table 9. Cytotoxicity of compounds 31a31d, 34a34e, and etoposide (positive control) expressed as IC50 (µM) against three tumoral and one non-tumoral cell lines.
Table 9. Cytotoxicity of compounds 31a31d, 34a34e, and etoposide (positive control) expressed as IC50 (µM) against three tumoral and one non-tumoral cell lines.
NoCompoundCell Line
EL4THP-1U-937S17
131a7.6512.218.6ND
231b9.2922.618.117.7
331c3.236.349.7911.5
431d15.615.512.821.9
534a9.9925.314.2ND
634b5.5638.8NA7.65
734c15.330.025.050.0
834d15.428.6156.9NA
934e22.536.228.341.3
10Etoposide4.901.821.1010.4
ND—not determined; NA—not active.
Table 10. IC50 (µM) values of the aATPase inhibition assay of MARK4 for compounds 168179.
Table 10. IC50 (µM) values of the aATPase inhibition assay of MARK4 for compounds 168179.
CompoundEnzyme InhibitionCompoundEnzyme Inhibition
1682.881693.99
1704.321710.47
1721.861735.67
1744.831750.69
1761.871774.97
1783.991790.56
Table 11. In vitro anti-inflammatory activity of bisindoles 182195.
Table 11. In vitro anti-inflammatory activity of bisindoles 182195.
Compound% Hemolysis% Protection% Hemolysis% Protection
50 a100 a50 a100 a
18269.4458.33 30.6041.67
18347.2230.5552.7869.45
18452.7738.8047.3061.20
18555.8345.5544.1754.45
18679.7267.5020.2832.50
18763.8855.5536.1244.45
1883.3327.7766.6772.23
18966.6652.7733.3447.23
19041.6025.0258.4075.00
19130.5522.2269.4577.78
19244.4427.7055.5672.30
19372.2252.7727.7847.23
Diclofenac75.0066.6025.0033.40
a Concentration in µg mL−1.
Table 12. Antioxidant activity measured as % scavenging of DPPH radical.
Table 12. Antioxidant activity measured as % scavenging of DPPH radical.
CompoundIC50 (µg mL−1)
100a211
100b184
100c223
100d197
100e179
Vitamin C195
Disclaimer/Publisher’s Note: The statements, opinions and data contained in all publications are solely those of the individual author(s) and contributor(s) and not of MDPI and/or the editor(s). MDPI and/or the editor(s) disclaim responsibility for any injury to people or property resulting from any ideas, methods, instructions or products referred to in the content.

Share and Cite

MDPI and ACS Style

Marinescu, M. Bisindole Compounds—Synthesis and Medicinal Properties. Antibiotics 2024, 13, 1212. https://doi.org/10.3390/antibiotics13121212

AMA Style

Marinescu M. Bisindole Compounds—Synthesis and Medicinal Properties. Antibiotics. 2024; 13(12):1212. https://doi.org/10.3390/antibiotics13121212

Chicago/Turabian Style

Marinescu, Maria. 2024. "Bisindole Compounds—Synthesis and Medicinal Properties" Antibiotics 13, no. 12: 1212. https://doi.org/10.3390/antibiotics13121212

APA Style

Marinescu, M. (2024). Bisindole Compounds—Synthesis and Medicinal Properties. Antibiotics, 13(12), 1212. https://doi.org/10.3390/antibiotics13121212

Note that from the first issue of 2016, this journal uses article numbers instead of page numbers. See further details here.

Article Metrics

Back to TopTop