Phenolic Compounds in Bacterial Inactivation: A Perspective from Brazil
Abstract
1. Introduction
2. Search Strategy
3. Phenolic Compounds
4. Flavonoids
5. Xanthones
6. Coumarins
7. Phenolic Acids
8. Other Phenolic Compounds
9. Phenolic Compounds and a Possible Farm-to-Fork Influence
10. Conclusions and Future Perspectives
Author Contributions
Funding
Institutional Review Board Statement
Informed Consent Statement
Data Availability Statement
Conflicts of Interest
References
- Lister, J. On the Antiseptic Principle in the Practice of Surgery. BMJ 1867, 2, 246–248. [Google Scholar] [CrossRef] [PubMed]
- Pitt, D.; Aubin, J.-M. Joseph Lister: Father of modern surgery. Can. J. Surg. 2012, 55, E8–E9. [Google Scholar] [CrossRef] [PubMed]
- Tan, S.Y.; Tatsumura, Y. Alexander Fleming (1881–1955): Discoverer of penicillin. Singap. Med. J. 2015, 56, 366–367. [Google Scholar] [CrossRef] [PubMed]
- Karam, G.; Chastre, J.; Wilcox, M.H.; Vincent, J.-L. Antibiotic strategies in the era of multidrug resistance. Crit. Care 2016, 20, 136. [Google Scholar] [CrossRef]
- Guerra, A.; Reis, L.K.; Borges, F.L.G.; Ojeda, P.T.A.; Pineda, D.A.M.; Miranda, C.O.; de Lima Maidana, D.P.F.; dos Santos, T.M.R.; Shibuya, P.S.; Marques, M.C.; et al. Ecological restoration in Brazilian biomes: Identifying advances and gaps. For. Ecol. Manag. 2020, 458, 117802. [Google Scholar] [CrossRef]
- Lattanzio, V. Phenolic Compounds: Introduction. In Natural Products: Phytochemistry, Botany and Metabolism of Alkaloids, Phenolics and Terpenes; Ramawat, K.G., Mérillon, J.M., Eds.; Springer: Berlin/Heidelberg, Germany, 2013; pp. 1543–1580. [Google Scholar]
- Al Mamari, H.H. Phenolic Compounds: Classification, Chemistry, and Updated Techniques of Analysis and Synthesis. In Phenolic Compounds: Chemistry, Synthesis, Diversity, Non-Conventional Industrial, Pharmaceutical and Therapeutic Applications; Badria, F.A., Ed.; IntechOpen: London, UK, 2021; pp. 73–94. [Google Scholar]
- Minatel, I.O.; Borges, C.V.; Ferreira, I.M.; Gomez, H.A.G.; Chen, C.O.; Lima, G.P.P. Phenolic Compounds: Functional Properties, Impact of Processing and Bioavailability. In Phenolic Compounds—Biological Activity, 1st ed.; Soto-Hernandez, M., Palma-Tenango, M., Garcia-Mateos, M.D.R., Eds.; IntechOpen: Rijeka, Croatia, 2017; pp. 1–23. [Google Scholar]
- González-Burgos, E.; Gómez-Serranillos, M.P. Effect of Phenolic Compounds on Human Health. Nutrients 2021, 13, 3922. [Google Scholar] [CrossRef]
- Fang, Y.; Lu, Y.; Zang, X.; Wu, T.; Qi, X.; Pan, S.; Xu, X. 3D-QSAR and docking studies of flavonoids as potent Escherichia coli inhibitors. Sci. Rep. 2016, 6, 23634. [Google Scholar] [CrossRef]
- Damen, F.; Mpetga, J.D.S.; Demgne, O.M.F.; Çelik, I.; Wamba, B.E.N.; Tapondjou, L.A.; Beng, V.P.; Levent, S.; Kuete, V.; Tene, M. Roeperone A, a new tetraoxygenated xanthone and other compounds from the leaves of Hypericum roeperianum Schimp. (Hypericaceae). Nat. Prod. Res. 2020, 36, 2071–2077. [Google Scholar] [CrossRef]
- De Azevedo Maia, G.L.; Dos Santos Falcão-Silva, V.; Aquino, P.G.V.; De Araújo-Júnior, J.X.; Tavares, J.F.; Da Silva, M.S.; Rodrigues, L.C.; De Siqueira-Júnior, J.P.; Barbosa-Filho, J.M. Flavonoids from Praxelis clematidea R.M. King and Robinson Modulate Bacterial Drug Resistance. Molecules 2011, 16, 4828–4835. [Google Scholar] [CrossRef]
- Ávila, H.P.; Smânia, E.D.F.A.; Monache, F.D.; Smânia, A. Structure–activity relationship of antibacterial chalcones. Bioorg. Med. Chem. 2008, 16, 9790–9794. [Google Scholar] [CrossRef]
- Sánchez-Maldonado, A.; Schieber, A.; Gänzle, M. Structure-function relationships of the antibacterial activity of phenolic acids and their metabolism by lactic acid bacteria. J. Appl. Microbiol. 2011, 111, 1176–1184. [Google Scholar] [CrossRef] [PubMed]
- Cueva, C.; Moreno-Arribas, M.V.; Martín-Álvarez, P.J.; Bills, G.; Vicente, M.F.; Basilio, A.; Rivas, C.L.; Requena, T.; Rodríguez, J.M.; Bartolomé, B. Antimicrobial activity of phenolic acids against commensal, probiotic and pathogenic bacteria. Res. Microbiol. 2010, 161, 372–382. [Google Scholar] [CrossRef] [PubMed]
- Lima, M.d.F.R.d.; Cavalcante, L.A.; Costa, E.C.T.D.A.; de Veras, B.O.; da Silva, M.V.; Cavalcanti, L.N.; Araújo, R.M. Bioactivity flavonoids from roots of Euphorbia tirucalli L. Phytochem. Lett. 2021, 41, 186–192. [Google Scholar] [CrossRef]
- de Oliveira, D.M.; de Oliveira, D.B.C.; Nunes, Y.R.F.; Alves, T.M.D.A.; Kohlhoff, M.; Andrade, A.A.; Cota, B.B. Natural Occurring Phenolic Derivatives from Mauritia flexuosa (Buriti) Stems and Their Potential Antibacterial Activity against Methicillin-Resistant Staphylococcus aureus (MRSA). Chem. Biodivers. 2022, 19, e202100788. [Google Scholar] [CrossRef]
- Çiçek, S.S.; Pérez, M.G.; Wenzel-Storjohann, A.; Bezerra, R.M.; Segovia, J.F.O.; Girreser, U.; Kanzaki, I.; Tasdemir, D. Antimicrobial Prenylated Isoflavones from the Leaves of the Amazonian Medicinal Plant Vatairea guianensis Aubl. J. Nat. Prod. 2022, 85, 927–935. [Google Scholar] [CrossRef] [PubMed]
- Ribeiro, P.R.; Ferraz, C.G.; Guedes, M.L.; Martins, D.; Cruz, F.G. A new biphenyl and antimicrobial activity of extracts and compounds from Clusia burlemarxii. Fitoterapia 2011, 82, 1237–1240. [Google Scholar] [CrossRef]
- Ferreira, E.O.; Salvador, M.J.; Pral, E.M.F.; Alfieri, S.C.; Ito, I.Y.; Dias, D.A. A New Heptasubstituted (E)-Aurone Glucoside and Other Aromatic Compounds of Gomphrena agrestis with Biological Activity. Z. Naturforsch. C 2004, 59, 499–505. [Google Scholar] [CrossRef]
- Falcão-Silva, V.S.; Silva, D.A.; Souza, M.D.F.V.; Siqueira-Junior, J.P. Modulation of drug resistance in staphylococcus aureus by a kaempferol glycoside from herissantia tiubae (malvaceae). Phytother. Res. 2009, 23, 1367–1370. [Google Scholar] [CrossRef]
- Costa, G.; Endo, E.; Cortez, D.; Nakamura, T.; Nakamura, C.; Filho, B.D. Antimicrobial effects of Piper hispidum extract, fractions and chalcones against Candida albicans and Staphylococcus aureus. J. Med. Mycol. 2016, 26, 217–226. [Google Scholar] [CrossRef]
- Coqueiro, A.; Choi, Y.H.; Verpoorte, R.; Gupta, K.B.S.S.; De Mieri, M.; Hamburger, M.; Young, M.C.M.; Stapleton, P.; Gibbons, S.; Bolzani, V.D.S. Antistaphylococcal Prenylated Acylphoroglucinol and Xanthones from Kielmeyera variabilis. J. Nat. Prod. 2016, 79, 470–476. [Google Scholar] [CrossRef]
- Pinheiro, L.; Nakamura, C.V.; Filho, B.P.D.; Ferreira, A.G.; Young, M.C.M.; Cortez, A.G. Antibacterial xanthones from Kielmeyera variabilis mart. (Clusiaceae). Mem. Inst. Oswaldo Cruz. 2003, 98, 549–552. [Google Scholar] [CrossRef] [PubMed]
- Cortez, D.A.G.; Filho, B.A.A.; Nakamura, C.V.; Filho, B.P.D.; Marston, A.; Hostettmann, K. Antibacterial Activity of a Biphenyl and Xanthones from Kielmeyera coriacea. Pharm. Biol. 2002, 40, 485–489. [Google Scholar] [CrossRef]
- Araújo, M.G.D.F.; Hilário, F.; Nogueira, L.G.; Vilegas, W.; Dos Santos, L.C.; Bauab, T.M. Chemical Constituents of the Methanolic Extract of Leaves of Leiothrix spiralis Ruhland and Their Antimicrobial Activity. Molecules 2011, 16, 10479–10490. [Google Scholar] [CrossRef] [PubMed]
- Pretto, J.B.; Cechinel-Filho, V.; Noldin, V.F.; Sartori, M.R.K.; Isaias, D.E.B.; Cruz, A.B. Antimicrobial Activity of Fractions and Compounds from Calophyllum brasiliense (Clusiaceae/Guttiferae). Z. Nat. C 2004, 59, 657–662. [Google Scholar] [CrossRef]
- Fernandes, T.S.; Copetti, D.; Carmo, G.D.; Neto, A.T.; Pedroso, M.; Silva, U.F.; Mostardeiro, M.A.; Burrow, R.E.; Dalcol, I.I.; Morel, A.F. Phytochemical analysis of bark from Helietta apiculata Benth and antimicrobial activities. Phytochemistry 2017, 141, 131–139. [Google Scholar] [CrossRef]
- Silva, J.R.A.; Rezende, C.M.; Pinto, A.C.; Amaral, A.C.F. Cytotoxicity and Antibacterial Studies of iridoids and Phenolic Compounds Isolated from the Latex of Himatanthus sucuuba. Afr. J. Biotechnol. 2010, 9, 7357–7360. [Google Scholar]
- Pauletti, P.M.; Araujo, A.R.; Young, M.C.M.; Giesbrecht, A.M.; Bolzani, V.D.S. nor-Lignans from the leaves of Styrax ferrugineus (Styracaceae) with antibacterial and antifungal activity. Phytochemistry 2000, 55, 597–601. [Google Scholar] [CrossRef] [PubMed]
- Gani, M.A.; Shama, M. Phenolic Compounds. In Bioactive Compounds: Biosynthesis, Characterization and Applications, 1st ed.; Zepka, L.Q., Nascimento, T.C., Jacob-Lopes, E., Eds.; IntechOpen: London, UK, 2021; pp. 223–240. [Google Scholar]
- Del Rio, D.; Rodriguez-Mateos, A.; Spencer, J.P.E.; Tognolini, M.; Borges, G.; Crozier, A. Dietary (Poly)phenolics in Human Health: Structures, Bioavailability, and Evidence of Protective Effects Against Chronic Diseases. Antioxid. Redox Signal. 2013, 18, 1818–1892. [Google Scholar] [CrossRef]
- Sobiesiak, M. Chemical Structure of Phenols and Its Consequence for Sorption Processes. In Phenolic Compounds: Natural Sources, importance and Applications, 1st ed.; Soto-Hernandez, M., Palma-Tenango, M., Garcia-Mateos, M.D.R., Eds.; IntechOpen: Rijeka, Croatia, 2017; pp. 3–28. [Google Scholar]
- Bravo, L. Polyphenols: Chemistry, Dietary Sources, Metabolism, and Nutritional Significance. Nutr. Rev. 1998, 56, 317–333. [Google Scholar] [CrossRef]
- Alara, O.R.; Abdurahman, N.H.; Ukaegbu, C.I. Extraction of phenolic compounds: A review. Curr. Res. Food Sci. 2021, 4, 200–214. [Google Scholar] [CrossRef]
- Dixon, R.A.; Paiva, N.L. Stress-Induced Phenylpropanoid Metabolism. Plant Cell 1995, 7, 1085–1097. [Google Scholar] [CrossRef] [PubMed]
- Dewick, P.M. Medicinal Natural Products, 2nd ed.; John wiley & Sons, Ltd.: Chichester, UK, 2002; pp. 1–487. [Google Scholar]
- Russell, W.; Duthie, G. Plant secondary metabolites and gut health: The case for phenolic acids. Proc. Nutr. Soc. 2011, 70, 389–396. [Google Scholar] [CrossRef]
- Gao, J.; Yang, Z.; Zhao, C.; Tang, X.; Jiang, Q.; Yin, Y. A comprehensive review on natural phenolic compounds as alternatives to in-feed antibiotics. Sci. China Life Sci. 2022, 65, 1–17. [Google Scholar] [CrossRef] [PubMed]
- Hussain, M.B.; Hassan, S.; Waheed, M.; Javed, A.; Farooq, M.A.; Tahir, A. Bioavailability and Metabolic Pathway of Phenolic Compounds. In Plant Physiological Aspects of Phenolic Compounds; Marcos, S.-H., Rosario, G.-M., Mariana, P.-T., Eds.; IntechOpen: Rijeka, Croatia, 2019. [Google Scholar]
- Özçelik, B.; Orhan, I.; Toker, G. Antiviral and Antimicrobial Assessment of Some Selected Flavonoids. Z. Naturforsch. C 2006, 61, 632–638. [Google Scholar] [CrossRef]
- Jung, H.-A.; Su, B.-N.; Keller, W.J.; Mehta, R.G.; Kinghorn, A.D. Antioxidant Xanthones from the Pericarp of Garcinia mangostana (Mangosteen). J. Agric. Food Chem. 2006, 54, 2077–2082. [Google Scholar] [CrossRef] [PubMed]
- Zhu, H.; Xiao, Y.; Guo, H.; Guo, Y.; Huang, Y.; Shan, Y.; Bai, Y.; Lin, X.; Lu, H. The isoflavone puerarin exerts anti-tumor activity in pancreatic ductal adenocarcinoma by suppressing mTOR-mediated glucose metabolism. Aging 2021, 13, 25089–25105. [Google Scholar] [CrossRef]
- Inoue, T.; Sugimoto, Y.; Masuda, H.; Kamei, C. Antiallergic Effect of Flavonoid Glycosides Obtained from Mentha piperita L. Biol. Pharm. Bull. 2002, 25, 256–259. [Google Scholar] [CrossRef]
- A Fernández, M.; Sáenz, M.T.; García, M.D. Anti-inflammatory Activity in Rats and Mice of Phenolic Acids Isolated from Scrophularia frutescens. J. Pharm. Pharmacol. 1998, 50, 1183–1186. [Google Scholar] [CrossRef]
- Kim, Y.-M.; Lee, C.-H.; Kim, H.-G.; Lee, H.-S. Anthraquinones Isolated from Cassia tora (Leguminosae) Seed Show an Antifungal Property against Phytopathogenic Fungi. J. Agric. Food Chem. 2004, 52, 6096–6100. [Google Scholar] [CrossRef]
- Ani, V.; Varadaraj, M.C.; Naidu, K.A. Antioxidant and antibacterial activities of polyphenolic compounds from bitter cumin (Cuminum nigrum L.). Eur. Food Res. Technol. 2006, 224, 109–115. [Google Scholar] [CrossRef]
- Swan, E.P. Health Hazards Associated with Extractives. In Natural Products of Woody Plants I; Rowe, J.W., Ed.; Springer Science & Business Media: New York, NY, USA, 1989; pp. 931–946. [Google Scholar]
- Pietta, P.-G. Flavonoids as Antioxidants. J. Nat. Prod. 2000, 63, 1035–1042. [Google Scholar] [CrossRef]
- Winkel, B.S.J. The Biosynthesis of flavonoids. In The Science of Flavonoids; Grotewold, E., Ed.; Springer: New York, NY, USA, 2006; pp. 71–96. [Google Scholar]
- Iwashina, T. The Structure and Distribution of the Flavonoids in Plants. J. Plant Res. 2000, 113, 287–299. [Google Scholar] [CrossRef]
- Wu, T.; He, M.; Zang, X.; Zhou, Y.; Qiu, T.; Pan, S.; Xu, X. A structure–activity relationship study of flavonoids as inhibitors of E. coli by membrane interaction effect. Biochim. Biophys. Acta 2013, 1828, 2751–2756. [Google Scholar] [CrossRef] [PubMed]
- Andersen Oyvind, M.; Markham Kenneth, R. Flavonoids: Chemistry, Biochemistry and Applications; CRC Press: Boca Raton, FL, USA, 2005. [Google Scholar]
- Swain, T. (Ed.) Biochemistry of Plant Phenolics; Springer Science & Business Media: Berlin/Heidelberg, Germany, 2013. [Google Scholar]
- Ullah, A.; Munir, S.; Badshah, S.L.; Khan, N.; Ghani, L.; Poulson, B.G.; Emwas, A.-H.; Jaremko, M. Important Flavonoids and Their Role as a Therapeutic Agent. Molecules 2020, 25, 5243. [Google Scholar] [CrossRef] [PubMed]
- Wu, T.; Zang, X.; He, M.; Pan, S.; Xu, X. Structure–Activity Relationship of Flavonoids on Their Anti-Escherichia coli Activity and Inhibition of DNA Gyrase. J. Agric. Food Chem. 2013, 61, 8185–8190. [Google Scholar] [CrossRef] [PubMed]
- Górniak, I.; Bartoszewski, R.; Króliczewski, J. Comprehensive review of antimicrobial activities of plant flavonoids. Phytochem. Rev. 2018, 18, 241–272. [Google Scholar] [CrossRef]
- Reygaert, W.C. The antimicrobial possibilities of green tea. Front. Microbiol. 2014, 5, 434. [Google Scholar] [CrossRef]
- Fathima, A.; Rao, J.R. Selective toxicity of Catechin—A natural flavonoid towards bacteria. Appl. Microbiol. Biotechnol. 2016, 100, 6395–6402. [Google Scholar] [CrossRef]
- Silva, L.N.; Da Hora, G.C.A.; Soares, T.A.; Bojer, M.S.; Ingmer, H.; Macedo, A.J.; Trentin, D.S. Myricetin protects Galleria mellonella against Staphylococcus aureus infection and inhibits multiple virulence factors. Sci. Rep. 2017, 7, 2823. [Google Scholar] [CrossRef]
- Veiko, A.G.; Olchowik-Grabarek, E.; Sekowski, S.; Roszkowska, A.; Lapshina, E.A.; Dobrzynska, I.; Zamaraeva, M.; Zavodnik, I.B. Antimicrobial Activity of Quercetin, Naringenin and Catechin: Flavonoids Inhibit Staphylococcus aureus-Induced Hemolysis and Modify Membranes of Bacteria and Erythrocytes. Molecules 2023, 28, 1252. [Google Scholar] [CrossRef]
- Tiza, N.U.; Thato, M.; Raymond, D.; Jeremy, K.; Burtram, C.F. Additive antibacterial activity of naringenin and antibiotic combinations against multidrug resistant Staphylococcus aureus. Afr. J. Microbiol. Res. 2015, 9, 1513–1518. [Google Scholar] [CrossRef][Green Version]
- Wen, Q.-H.; Wang, R.; Zhao, S.-Q.; Chen, B.-R.; Zeng, X.-A. Inhibition of Biofilm Formation of Foodborne Staphylococcus aureus by the Citrus Flavonoid Naringenin. Foods 2021, 10, 2614. [Google Scholar] [CrossRef] [PubMed]
- Wang, L.-H.; Wang, M.-S.; Zeng, X.-A.; Xu, X.-M.; Brennan, C.S. Membrane and genomic DNA dual-targeting of citrus flavonoid naringenin against Staphylococcus aureus. Integr. Biol. 2017, 9, 820–829. [Google Scholar] [CrossRef] [PubMed]
- Křížová, L.; Dadáková, K.; Kasparovska, J.; Kašparovský, T. Isoflavones. Molecules 2019, 24, 1076. [Google Scholar] [CrossRef]
- Inbaraj, B.S.; Chen, B.H. Isoflavones in Foods and Ingestion in the Diet. In Isoflavones: Chemistry, Analysis, Function and Effects; Preedy, V.R., Ed.; The Society of Chemistry: Cambridge, UK, 2013; pp. 28–43. [Google Scholar]
- Mukne, A.P.; Viswanathan, V.; Phadatare, A.G. Structure pre-requisites for isoflavones as effective antibacterial agents. Pharmacogn. Rev. 2011, 5, 13–18. [Google Scholar] [CrossRef]
- Sato, M.; Tanaka, H.; Tani, N.; Nagayama, M.; Yamaguchi, R. Different antibacterial actions of isoflavones isolated from Erythrina poeppigiana against methicillin-resistant Staphylococcus aureus. Lett. Appl. Microbiol. 2006, 43, 243–248. [Google Scholar] [CrossRef]
- Sadgrove, N.J.; Oliveira, T.B.; Khumalo, G.P.; van Vuuren, S.F.; van Wyk, B.E. Antimicrobial isoflavones and de-rivatives from Erythrina (Fabaceae): Structure activity perspective (Sar & Qsar) on experimental and mined values against Staphylococcus aureus. Antibiotics 2020, 9, 223. [Google Scholar]
- Cruz, B.G.; dos Santos, H.S.; Bandeira, P.N.; Rodrigues, T.H.S.; Matos, M.G.C.; Nascimento, M.F.; Carvalho, G.; Filho, R.B.; Teixeira, A.M.; Tintino, S.R.; et al. Evaluation of antibacterial and enhancement of antibiotic action by the flavonoid kaempferol 7-O-β-D-(6″-O-cumaroyl)-glucopyranoside isolated from Croton piauhiensis müll. Microb. Pathog. 2020, 143, 104144. [Google Scholar] [CrossRef]
- Wang, Q.; Wang, H.; Xie, M. Antibacterial mechanism of soybean isoflavone on Staphylococcus aureus. Arch. Microbiol. 2010, 192, 893–898. [Google Scholar] [CrossRef]
- Hazni, H.; Ahmad, N.; Hitotsuyanagi, Y.; Takeya, K.; Choo, C.Y. Phytochemical constituents from Cassia alata with inhibition against methicillin-resistant Staphylococcus aureus (MRSA). Planta Med. 2008, 74, 1802–1805. [Google Scholar] [CrossRef]
- Mandalari, G.; Bennett, R.; Bisignano, G.; Trombetta, D.; Saija, A.; Faulds, C.; Gasson, M.; Narbad, A. Antimicrobial activity of flavonoids extracted from bergamot (Citrus bergamia Risso) peel, a byproduct of the essential oil industry. J. Appl. Microbiol. 2007, 103, 2056–2064. [Google Scholar] [CrossRef] [PubMed]
- Lopes, L.A.A.; Rodrigues, J.B.D.S.; Magnani, M.; de Souza, E.L.; de Siqueira-Júnior, J.P. Inhibitory effects of flavonoids on biofilm formation by Staphylococcus aureus that overexpresses efflux protein genes. Microb. Pathog. 2017, 107, 193–197. [Google Scholar] [CrossRef] [PubMed]
- Zhuang, C.; Zhang, W.; Sheng, C.; Zhang, W.; Xing, C.; Miao, Z. Chalcone: A Privileged Structure in Medicinal Chemistry. Chem. Rev. 2017, 117, 7762–7810. [Google Scholar] [CrossRef]
- Dimmock, J.; Elias, D.; Beazely, M.; Kandepu, N. Bioactivities of Chalcones. Curr. Med. Chem. 1999, 6, 1125–1149. [Google Scholar] [CrossRef]
- Tran, T.D.; Do, T.H.; Tran, N.C.; Ngo, T.D.; Tran, C.D.; Thai, K.M. Synthesis and anti Methicillin resistant Staphylococcus aureus activity of substituted chalcones alone and in combination with non-beta-lactam antibiotics. Bioorg. Med. Chem. Lett. 2012, 22, 4555–4560. [Google Scholar] [CrossRef] [PubMed]
- Alcaráz, L.; Blanco, S.; Puig, O.; Tomás, F.; Ferretti, F. Antibacterial Activity of Flavonoids Against Methicillin-resistant Staphylococcus aureus strains. J. Theor. Biol. 2000, 205, 231–240. [Google Scholar] [CrossRef]
- Batovska, D.; Parushev, S.; Stamboliyska, B.; Tsvetkova, I.; Ninova, M.; Najdenski, H. Examination of growth inhibitory properties of synthetic chalcones for which antibacterial activity was predicted. Eur. J. Med. Chem. 2009, 44, 2211–2218. [Google Scholar] [CrossRef]
- Fair, R.J.; Tor, Y. Antibiotics and Bacterial Resistance in the 21st Century. Perspect. Med. Chem. 2014, 6, S14459. [Google Scholar] [CrossRef]
- World Health Organization. Antimicrobial Resistance: Global Report on Surveillance; WHO Press: Geneva, Switzerland, 2014; Available online: http://apps.who.int/iris/bitstream/10665/112642/1/9789241564748_eng.pdf (accessed on 4 February 2023).
- Abreu, A.C.; McBain, A.J.; Simões, M. Plants as sources of new antimicrobials and resistance-modifying agents. Nat. Prod. Rep. 2012, 29, 1007–1021. [Google Scholar] [CrossRef]
- Diniz-Silva, H.T.; Magnani, M.; de Siqueira, S.; de Souza, E.L.; de Siqueira-Júnior, J.P. Fruit flavonoids as modulators of norfloxacin resistance in Staphylococcus aureus that overexpresses norA. LWT 2017, 85, 324–326. [Google Scholar] [CrossRef]
- Wang, S.-Y.; Sun, Z.-L.; Liu, T.; Gibbons, S.; Zhang, W.-J.; Qing, M. Flavonoids from Sophora moorcroftiana and their Synergistic Antibacterial Effects on MRSA. Phytother. Res. 2013, 28, 1071–1076. [Google Scholar] [CrossRef] [PubMed]
- Lan, J.-E.; Li, X.-J.; Zhu, X.-F.; Sun, Z.-L.; He, J.-M.; Zloh, M.; Gibbons, S.; Mu, Q. Flavonoids from Artemisia rupestris and their synergistic antibacterial effects on drug-resistant Staphylococcus aureus. Nat. Prod. Res. 2019, 35, 1881–1886. [Google Scholar] [CrossRef] [PubMed]
- Kumarihamy, M.; Tripathi, S.K.; Khan, S.; Muhammad, I. Schottiin, a new prenylated isoflavones from Psorothamnus schottii and antibacterial synergism studies between methicillin and fremontone against methicillin-resistant Staphylococcus aureus ATCC 1708. Nat. Prod. Res. 2021, 36, 2984–2992. [Google Scholar] [CrossRef] [PubMed]
- Morel, C.; Stermitz, F.R.; Tegos, G.; Lewis, K. Isoflavones as Potentiators of Antibacterial Activity. J. Agric. Food Chem. 2003, 51, 5677–5679. [Google Scholar] [CrossRef]
- Yuan, G.; Guan, Y.; Yi, H.; Lai, S.; Sun, Y.; Cao, S. Antibacterial activity and mechanism of plant flavonoids to gram-positive bacteria predicted from their lipophilicities. Sci. Rep. 2021, 11, 10471. [Google Scholar] [CrossRef]
- Roberts, J.C. Naturally Occurring Xanthones. Chem. Rev. 1961, 61, 591–605. [Google Scholar] [CrossRef]
- Vieira, L.M.M.; Kijjoa, A. Naturally-occurring xanthones: Recent developments. Curr. Med. Chem. 2005, 12, 2413–2446. [Google Scholar] [CrossRef] [PubMed]
- Huang, Q.; Wang, Y.; Wu, H.; Yuan, M.; Zheng, C.; Xu, H. Xanthone Glucosides: Isolation, Bioactivity and Synthesis. Molecules 2021, 26, 5575. [Google Scholar] [CrossRef] [PubMed]
- Negi, J.S.; Bisht, V.K.; Singh, P.; Rawat, M.S.M.; Joshi, G.P. Naturally Occurring Xanthones: Chemistry and Biology. J. Appl. Chem. 2013, 2013, 621459. [Google Scholar] [CrossRef]
- Diderot, N.T.; Silvere, N.; Etienne, T. Xanthones as therapeutic agents: Chemistry and pharmacology. Adv. Phytomed. 2006, 2, 273–298. [Google Scholar] [CrossRef]
- Gottlieb, O.R. Evolution of Xanthones in Gentianaceae and Guttiferae. In Micromolecular Evolution, Systematics and Ecology; Springer: Berlin/Heidelberg, Germany, 1982; pp. 89–95. [Google Scholar] [CrossRef]
- Panda, S.; Chand, M.; Sakhuja, R.; Jain, S. Xanthones as potential antioxidants. Curr. Med. Chem. 2013, 20, 4481–4507. [Google Scholar] [CrossRef] [PubMed]
- Sukandar, E.R.; Kaennakam, S.; Raab, P.; Nöst, X.; Rassamee, K.; Bauer, R.; Siripong, P.; Ersam, T.; Tip-Pyang, S.; Chavasiri, W. Cytotoxic and Anti-Inflammatory Activities of Dihydroisocoumarin and Xanthone Derivatives from Garcinia picrorhiza. Molecules 2021, 26, 6626. [Google Scholar] [CrossRef]
- Nhan, N.-T.; Nguyen, P.-H.; Tran, M.-H.; Nguyen, P.-D.; Tran, D.-T.; To, D.-C. Anti-inflammatory xanthone derivatives from Garcinia delpyana. J. Asian Nat. Prod. Res. 2020, 23, 414–422. [Google Scholar] [CrossRef]
- Seesom, W.; Jaratrungtawee, A.; Suksamrarn, S.; Mekseepralard, C.; Ratananukul, P.; Sukhumsirichart, W. Antileptospiral activity of xanthones from Garcinia mangostanaand synergy of gamma-mangostin with penicillin G. BMC Complement. Altern. Med. 2013, 13, 182. [Google Scholar] [CrossRef] [PubMed]
- El-Nashar, H.A.S.; El-Labbad, E.M.; Al-Azzawi, M.A.; Ashmawy, N.S. A New Xanthone Glycoside from Mangifera indica L.: Physicochemical Properties and In Vitro Anti-Skin Aging Activities. Molecules 2022, 27, 2609. [Google Scholar] [CrossRef] [PubMed]
- Wu, J.; Dai, J.; Zhang, Y.; Wang, J.; Huang, L.; Ding, H.; Li, T.; Zhang, Y.; Mao, J.; Yu, S. Synthesis of Novel Xanthone Analogues and Their Growth Inhibitory Activity Against Human Lung Cancer A549 Cells. Drug Des. Dev. Ther. 2019, 13, 4239–4246. [Google Scholar] [CrossRef]
- Miladiyah, I.; Jumina, J.; Haryana, S.M.; Mustofa, M. Biological activity, quantitative structure–activity relationship analysis, and molecular docking of xanthone derivatives as anticancer drugs. Drug Des. Dev. Ther. 2018, 12, 149–158. [Google Scholar] [CrossRef]
- Dineshkumar, B.; Mitra, A.; Manjunatha, M. Studies on the anti-diabetic and hypolipidemic potentials of mangiferin (Xanthone Glucoside) in streptozotocin-induced Type 1 and Type 2 diabetic model rats. Int. J. Adv. Pharm. Sci. 2010, 1, 75–85. [Google Scholar] [CrossRef][Green Version]
- Nguyen, C.N.; Trinh, B.T.D.; Tran, T.B.; Nguyen, L.-T.T.; Jäger, A.K.; Nguyen, L.-H.D. Anti-diabetic xanthones from the bark of Garcinia xanthochymus. Bioorg. Med. Chem. Lett. 2017, 27, 3301–3304. [Google Scholar] [CrossRef]
- Pinto, D.C.; Fuzzati, N.; Pazmino, X.C.; Hostettmann, K. Xanthone and antifungal constituents from Monnina obtusifolia. Phytochemistry 1994, 37, 875–878. [Google Scholar] [CrossRef]
- Cane, H.P.C.A.; Saidi, N.; Mustanir, M.; Darusman, D.; Idroes, R.; Musman, M. Evaluation of Antibacterial and Antioxidant Activities of Xanthone Isolated from Orophea corymbosa Leaf. Rasayan J. Chem. 2020, 13, 2215–2222. [Google Scholar] [CrossRef]
- Iinuma, M.; Tosa, H.; Tanaka, T.; Asai, F.; Kobayashl, Y.; Shimano, R.; Miyauchi, K.-I. Antibacterial Activity of Xanthones from Guttiferaeous Plants against Methicillin-resistant Staphylococcus aureus. J. Pharm. Pharmacol. 1996, 48, 861–865. [Google Scholar] [CrossRef]
- Auranwiwat, C.; Trisuwan, K.; Saiai, A.; Pyne, S.G.; Ritthiwigrom, T. Antibacterial tetraoxygenated xanthones from the immature fruits of Garcinia cowa. Fitoterapia 2014, 98, 179–183. [Google Scholar] [CrossRef] [PubMed]
- Wang, W.; Liao, Y.; Huang, X.; Tang, C.; Cai, P. A novel xanthone dimer derivative with antibacterial activity isolated from the bark of Garcinia mangostana. Nat. Prod. Res. 2017, 32, 1769–1774. [Google Scholar] [CrossRef]
- Dharmaratne, H.; Sakagami, Y.; Piyasena, K.; Thevanesam, V. Antibacterial activity of xanthones from Garcinia mangostana (L.) and their structure–activity relationship studies. Nat. Prod. Res. 2013, 27, 938–941. [Google Scholar] [CrossRef] [PubMed]
- Zou, H.; Koh, J.J.; Li, J.; Qiu, S.; Aung, T.T.; Lin, H.; Lakshminarayanan, R.; Dai, X.; Tang, C.; Lim, F.H.; et al. Design and synthesis of amphiphilic xanthone-based, membrane-targeting antimicrobials with improved membrane selectivity. J. Med. Chem. 2013, 56, 2359–2373. [Google Scholar] [CrossRef]
- Boonnak, N.; Karalai, C.; Chantrapromma, S.; Ponglimanont, C.; Fun, H.-K.; Kanjana-Opas, A.; Chantrapromma, K.; Kato, S. Anti-Pseudomonas aeruginosa xanthones from the resin and green fruits of Cratoxylum cochinchinense. Tetrahedron 2009, 65, 3003–3013. [Google Scholar] [CrossRef]
- Miladiyah, I.; Rachmawaty, F.J. Potency of Xanthone Derivatives as antibacterial agent against Methicillin-Resistant Staphylococcus Aureus (MRSA). J. Kedokt. Kesehat. Indones. 2017, 8, 124–135. [Google Scholar] [CrossRef]
- Yan, L.; Guan, T.; Wang, S.; Zhou, C.; Wang, M.; Wang, X.; Zhang, K.; Han, X.; Lin, J.; Tang, Q.; et al. Novel xan-thone antibacterials: Semi-synthesis, biological evaluation, and the action mechanisms. Bioorg. Med. Chem. 2023, 83, 117232. [Google Scholar]
- Durães, F.; Resende, D.; Palmeira, A.; Szemerédi, N.; Pinto, M.; Spengler, G.; Sousa, E. Xanthones Active against Multidrug Resistance and Virulence Mechanisms of Bacteria. Antibiotics 2021, 10, 600. [Google Scholar] [CrossRef]
- Pinto, M.M.M.; Palmeira, A.; Fernandes, C.; Resende, D.I.S.P.; Sousa, E.; Cidade, H.; Tiritan, M.E.; Correia-da-Silva, M.; Cravo, S. From Natural Products to New Synthetic Small Molecules: A Journey through the World of Xanthones. Molecules 2021, 26, 431. [Google Scholar] [CrossRef] [PubMed]
- Mishra, S.; Pandey, A.; Manvati, S. Coumarin: An emerging antiviral agent. Heliyon 2020, 6, e03217. [Google Scholar] [CrossRef] [PubMed]
- Akkol, E.K.; Genç, Y.; Karpuz, B.; Sobarzo-Sánchez, E.; Capasso, R. Coumarins and Coumarin-Related Compounds in Pharmacotherapy of Cancer. Cancers 2020, 12, 1959. [Google Scholar] [CrossRef]
- Abernethy, J.L. The historical and current interest in coumarin. J. Chem. Educ. 1969, 46, 561. [Google Scholar] [CrossRef]
- Matos, M.J.; Santana, L.; Uriarte, E.; Abreu, O.A.; Molina, E.; Yordi, E.G. Coumarins—Na Important Class of Phyto-chemicals. In Phytochemicals: Isolation, Characterisation and Role in Human Health, 1st ed.; Rao, A.V., Rao, L.G., Eds.; IntechOpen: Rijeka, Croatia, 2015; pp. 113–140. [Google Scholar]
- Jain, P.K.; Joshi, H. Coumarin: Chemical and Pharmacological Profile. J. Appl. Pharm. Sci. 2012, 2, 236–240. [Google Scholar]
- Lacy, A.; O’Kennedy, R. Studies on Coumarins and Coumarin-Related Compounds to Determine their Therapeutic Role in the Treatment of Cancer. Curr. Pharm. Des. 2004, 10, 3797–3811. [Google Scholar] [CrossRef]
- Stefanachi, A.; Leonetti, F.; Pisani, L.; Catto, M.; Carotti, A. Coumarin: A Natural, Privileged and Versatile Scaffold for Bioactive Compounds. Molecules 2018, 23, 250. [Google Scholar] [CrossRef] [PubMed]
- Riveiro, M.; De Kimpe, N.; Moglioni, A.; Vazquez, R.; Monczor, F.; Shayo, C.; Davio, C. Coumarins: Old Compounds with Novel Promising Therapeutic Perspectives. Curr. Med. Chem. 2010, 17, 1325–1338. [Google Scholar] [CrossRef]
- Kayser, O.; Kolodziej, H. Antibacterial Activity of Simple Coumarins: Structural Requirements for Biological Activity. Z. Naturforsch. C 1999, 54, 169–174. [Google Scholar] [CrossRef] [PubMed]
- De Souza, S.M.; Monache, F.D.; Smânia, A., Jr. Antibacterial Activity of Coumarins. Z. Nat. C 2005, 60, 693–700. [Google Scholar] [CrossRef]
- Li, B.; Pai, R.; Di, M.; Aiello, D.; Barnes, M.H.; Butler, M.M.; Tashjian, T.F.; Peet, N.P.; Bowlin, T.L.; Moir, D.T. Couma-rin-based inhibitors of Bacillus anthracis and Staphylococcus aureus replicative DNA helicase: Chemical optimization, bi-ological evaluation, and antibacterial activities. J. Med. Chem. 2012, 55, 10896–10908. [Google Scholar] [CrossRef] [PubMed]
- Roy, S.K.; Kumari, N.; Pahwa, S.; Agrahari, U.C.; Bhutani, K.K.; Jachak, S.M.; Nandanwar, H. NorA efflux pump in-hibitory activity of coumarins from Mesua ferrea. Fitoterapia 2013, 90, 140–150. [Google Scholar] [CrossRef] [PubMed]
- Robbins, R.J. Phenolic Acids in Foods: An Overview of Analytical Methodology. J. Agric. Food Chem. 2003, 51, 2866–2887. [Google Scholar] [CrossRef] [PubMed]
- Maga, J.A.; Katz, I. Simple phenol and phenolic compounds in food flavor. Crit. Rev. Food Sci. Nutr. 1978, 10, 323–372. [Google Scholar] [CrossRef]
- Graf, E. Antioxidant potential of ferulic acid. Free Radic. Biol. Med. 1992, 13, 435–448. [Google Scholar] [CrossRef]
- Gülçin, I. Antioxidant activity of caffeic acid (3,4-dihydroxycinnamic acid). Toxicology 2006, 217, 213–220. [Google Scholar] [CrossRef]
- Chen, J.H.; Ho, C.-T. Antioxidant Activities of Caffeic Acid and Its Related Hydroxycinnamic Acid Compounds. J. Agric. Food Chem. 1997, 45, 2374–2378. [Google Scholar] [CrossRef]
- Zhang, S.; Gai, Z.; Gui, T.; Chen, J.; Chen, Q.; Li, Y. Antioxidant Effects of Protocatechuic Acid and Protocatechuic Aldehyde: Old Wine in a New Bottle. Evid. Based Complement. Altern. Med. 2021, 2021, 6139308. [Google Scholar] [CrossRef]
- Maurya, D.K.; Devasagayam, T.P.A. Antioxidant and prooxidant nature of hydroxycinnamic acid derivatives ferulic and caffeic acids. Food Chem. Toxicol. 2010, 48, 3369–3373. [Google Scholar] [CrossRef]
- Su, M.; Liu, F.; Luo, Z.; Wu, H.; Zhang, X.; Wang, D.; Zhu, Y.; Sun, Z.; Xu, W.; Miao, Y. The Antibacterial Activity and Mechanism of Chlorogenic Acid Against Foodborne Pathogen Pseudomonas aeruginosa. Foodborne Pathog. Dis. 2019, 16, 823–830. [Google Scholar] [CrossRef]
- Lou, Z.; Wang, H.; Zhu, S.; Ma, C.; Wang, Z. Antibacterial Activity and Mechanism of Action of Chlorogenic Acid. J. Food Sci. 2011, 76, M398–M403. [Google Scholar] [CrossRef] [PubMed]
- Hussin, N.M.; Muse, R.; Ahmad, S.; Ramli, J.; Mahmood, M.; Sulaiman, M.R.; Shukor, M.Y.A.; Rahman, M.F.A.; Aziz, K.N.K. Antifungal Activity of Extracts and Phenolic Compounds from Barringtonia racemose L. (lecythidaceae). Afr. J. Biotechnol. 2009, 8, 2835–2842. [Google Scholar]
- Liu, H.; Ma, S.; Xia, H.; Lou, H.; Zhu, F.; Sun, L. Anti-inflammatory activities and potential mechanisms of phenolic acids isolated from Salvia miltiorrhiza f. alba roots in THP-1 macrophages. J. Ethnopharmacol. 2018, 222, 201–207. [Google Scholar] [CrossRef] [PubMed]
- Abotaleb, M.; Liskova, A.; Kubatka, P.; Büsselberg, D. Therapeutic Potential of Plant Phenolic Acids in the Treatment of Cancer. Biomolecules 2020, 10, 221. [Google Scholar] [CrossRef]
- Mandal, S.M.; Chakraborty, D.; Dey, S. Phenolic acids act as signaling molecules in plant-microbe symbioses. Plant Signal. Behav. 2010, 5, 359–368. [Google Scholar] [CrossRef] [PubMed]
- Lorigooini, Z.; Jamshidi-Kia, F.; Hosseini, Z. Analysis of aromatic acids (phenolic acids and hydroxycinnamic acids). In Recent Advances in Natural Products Analysis; Silva, A.S., Nabavi, S.F., Saeedi, M., Nabavi, S.M., Eds.; Elsevier: Amsterdam, The Netherlands, 2020; pp. 199–219. [Google Scholar] [CrossRef]
- Gross, G.G. Phenolic Acids. In Secondary Plant Products: A Comprehensive Treatise; Conn, E.E., Ed.; Academic Press, Inc.: New York, NY, USA, 1981; Volume 7, pp. 301–315. [Google Scholar]
- Marchiosi, R.; Dos Santos, W.D.; Constantin, R.P.; De Lima, R.B.; Soares, A.R.; Finger-Teixeira, A.; Mota, T.R.; de Oliveira, D.M.; Foletto-Felipe, M.D.P.; Abrahão, J.; et al. Biosynthesis and metabolic actions of simple phenolic acids in plants. Phytochem. Rev. 2020, 19, 865–906. [Google Scholar] [CrossRef]
- Borges, A.; Ferreira, C.; Saavedra, M.J.; Simões, M. Antibacterial Activity and Mode of Action of Ferulic and Gallic Acids Against Pathogenic Bacteria. Microb. Drug Resist. 2013, 19, 256–265. [Google Scholar] [CrossRef] [PubMed]
- Zhang, J.; Cui, X.; Zhang, M.; Bai, B.; Yang, Y.; Fan, S. The antibacterial mechanism of perilla rosmarinic acid. Biotechnol. Appl. Biochem. 2021, 69, 1757–1764. [Google Scholar] [CrossRef]
- Ma, C.M.; Abe, T.; Komiyama, T.; Wang, W.; Hattori, M.; Daneshtalab, M. Synthesis, anti-fungal and 1, 3-β-d-glucan synthase inhibitory activities of caffeic and quinic acid derivatives. Bioorg. Med. Chem. 2010, 18, 7009–7014. [Google Scholar] [CrossRef]
- Kumar, N.; Goel, N. Phenolic acids: Natural versatile molecules with promising therapeutic applications. Biotechnol. Rep. 2019, 24, e00370. [Google Scholar] [CrossRef]
- Bouarab-Chibane, L.; Forquet, V.; Lantéri, P.; Clément, Y.; Léonard-Akkari, L.; Oulahal, N.; Degraeve, P.; Bordes, C. Anti-bacterial properties of polyphenols: Characterization and QSAR (Quantitative structure–activity relationship) models. Front. Microbiol. 2019, 10, 829. [Google Scholar] [CrossRef] [PubMed]
- Barker, D. Lignans. Molecules 2019, 24, 1424. [Google Scholar] [CrossRef]
- Gottlied, O.R. Chemistry of Neolignans with Potential Biological Activity. In New Natural Products and Plant Drugs with Pharmacological, Biological or Therapeutical Activity; Wagner, H., Wolff, P., Eds.; Springer: Berlin/Heidelberg, Germany, 1977; pp. 227–262. [Google Scholar]
- Moss, G.P. Nomenclature of Lignans and Neolignans (IUPAC Recommendations 2000). Pure Appl. Chem. 2000, 72, 1493–1523. [Google Scholar] [CrossRef]
- Maruyama, M.; Yamauchi, S.; Akiyama, K.; Sugahara, T.; Kishida, T.; Koba, Y. Antibacterial activity of a vir-gatusin-related compound. Biosci. Biotechnol. Biochem. 2007, 71, 677–680. [Google Scholar] [CrossRef]
- Favela-Hernández, J.M.J.; García, A.; Garza-González, E.; Rivas-Galindo, V.M.; Camacho-Corona, M.R. Antibacterial and Antimycobacterial Lignans and Flavonoids from Larrea tridentata. Phytother. Res. 2012, 26, 1957–1960. [Google Scholar] [CrossRef]
- Mi, Q.-L.; Liang, M.-J.; Gao, Q.; Song, C.-M.; Huang, H.-T.; Xu, Y.; Wang, J.; Deng, L.; Yang, G.-Y.; Guo, Y.-D.; et al. Arylbenzofuran Lignans from the Seeds of Arctium lappa and Their Bioactivity. Chem. Nat. Compd. 2020, 56, 53–57. [Google Scholar] [CrossRef]
- Yang, G.-Z.; Hu, Y.; Yang, B.; Chen, Y. Lignans from the Bark of Zanthoxylum planispinum. Helv. Chim. Acta 2009, 92, 1657–1664. [Google Scholar] [CrossRef]
- Kumarasamy, Y.; Nahar, L.; Cox, P.J.; Dinan, L.N.; Ferguson, C.A.; Finnie, D.A.; Jaspars, M.; Sarker, S.D. Biological Activity of Lignans from the Seeds of Centaurea scabiosa. Pharm. Biol. 2003, 41, 203–206. [Google Scholar] [CrossRef]
- Watanabe, K.; Ishiguri, Y.; Nonaka, F.; Morita, A. Isolation and identification of aucuparin as a phytoalexin from Eriobotrya japonica L. Agric. Biol. Chem. 1982, 46, 567–568. [Google Scholar] [CrossRef]
- Wells, J.E.; Berry, E.D.; Varel, V.H. Effects of Common Forage Phenolic Acids on Escherichia coli O157:H7 Viability in Bovine Feces. Appl. Environ. Microbiol. 2005, 71, 7974–7979. [Google Scholar] [CrossRef]
- Castro, V.S.; Figueiredo, E.; McAllister, T.; Stanford, K. Farm to fork impacts of super-shedders and high-event periods on food safety. Trends Food Sci. Technol. 2022, 127, 129–142. [Google Scholar] [CrossRef]
- Arthur, T.M.; Keen, J.E.; Bosilevac, J.M.; Brichta-Harhay, D.M.; Kalchayanand, N.; Shackelford, S.D.; Wheeler, T.L.; Nou, X.; Koohmaraie, M. Longitudinal study of Escherichia coli O157:H7 in a beef cattle feedlot and role of high-level shed-ders in hide contamination. Appl. Environ. Microbiol. 2009, 75, 6515–6523. [Google Scholar] [CrossRef] [PubMed]
- Zamuz, S.; Munekata, P.E.; Dzuvor, C.K.; Zhang, W.; Sant’Ana, A.S.; Lorenzo, J.M. The role of phenolic compounds against Listeria monocytogenes in food. A review. Trends Food Sci. Technol. 2021, 110, 385–392. [Google Scholar] [CrossRef]
- Shi, X.; Zhu, X. Biofilm formation and food safety in food industries. Trends Food Sci. Technol. 2009, 20, 407–413. [Google Scholar] [CrossRef]
- Beauchamp, C.S.; Dourou, D.; Geornaras, I.; Yoon, Y.; Scanga, J.A.; Belk, K.E.; Smith, G.C.; Nychas, G.J.E.; Sofos, J.N. Sanitizer efficacy against Escherichia coli O157: H7 biofilms on inadequately cleaned meat-contact surface materials. Food Prot. Trends 2012, 32, 173–182. [Google Scholar]
- Vikram, A.; Jayaprakasha, G.K.; Jesudhasan, P.R.; Pillai, S.D.; Patil, B.S. Suppression of bacterial cell–cell signalling, bio-film formation and type III secretion system by citrus flavonoids. J. Appl. Microbiol. 2010, 109, 515–527. [Google Scholar] [CrossRef]
- Manner, S.; Skogman, M.; Goeres, D.; Vuorela, P.; Fallarero, A. Systematic Exploration of Natural and Synthetic Flavonoids for the Inhibition of Staphylococcus aureus Biofilms. Int. J. Mol. Sci. 2013, 14, 19434–19451. [Google Scholar] [CrossRef]
- Martínez-Suárez, J.V.; Ortiz, S.; López-Alonso, V. Potential impact of the resistance to quaternary ammonium disinfect-ants on the persistence of Listeria monocytogenes in food processing environments. Front. Microbiol. 2016, 7, 638. [Google Scholar] [CrossRef]
- Soto, S.M. Role of efflux pumps in the antibiotic resistance of bacteria embedded in a biofilm. Virulence 2013, 4, 223–229. [Google Scholar] [CrossRef]
- Pearson, J.P.; Van Delden, C.; Iglewski, B.H. Active efflux and diffusion are involved in transport of Pseudomonas aeru-ginosa cell-to-cell signals. J. Bacteriol. 1999, 181, 1203–1210. [Google Scholar] [CrossRef]
- Costa, D.C.; Costa, H.S.; Albuquerque, T.G.; Ramos, F.; Castilho, M.C.; Sanches-Silva, A. Advances in phenolic com-pounds analysis of aromatic plants and their potential applications. Trends Food Sci. Technol. 2015, 45, 336–354. [Google Scholar] [CrossRef]
- Gaikwad, K.K.; Singh, S.; Lee, Y.S. Antimicrobial and improved barrier properties of natural phenolic compound-coated polymeric films for active packaging applications. J. Coat. Technol. Res. 2018, 16, 147–157. [Google Scholar] [CrossRef]
- Kalogianni, A.I.; Lazou, T.; Bossis, I.; Gelasakis, A.I. Natural Phenolic Compounds for the Control of Oxidation, Bacterial Spoilage, and Foodborne Pathogens in Meat. Foods 2020, 9, 794. [Google Scholar] [CrossRef]
- Kasprzak-Drozd, K.; Oniszczuk, T.; Stasiak, M.; Oniszczuk, A. Beneficial effects of phenolic compounds on gut microbi-ota and metabolic syndrome. Int. J. Mol. Sci. 2021, 22, 3715. [Google Scholar] [CrossRef] [PubMed]
- Tuohy, K.M.; Conterno, L.; Gasperotti, M.; Viola, R. Up-regulating the Human Intestinal Microbiome Using Whole Plant Foods, Polyphenols, and/or Fiber. J. Agric. Food Chem. 2012, 60, 8776–8782. [Google Scholar] [CrossRef] [PubMed]
- Gris, E.F.; Mattivi, F.; Ferreira, E.A.; Vrhovsek, U.; Pedrosa, R.C.; Bordignon-Luiz, M.T. Phenolic profile and effect of regu-lar consumption of Brazilian red wines on in vivo antioxidant activity. J. Food Compost. Anal. 2013, 31, 31–40. [Google Scholar] [CrossRef]
- Malta, L.G.; Ghiraldini, F.G.; Reis, R.; Oliveira, M.D.V.; Silva, L.B.; Pastore, G.M. In vivo analysis of antigenotoxic and antimutagenic properties of two Brazilian Cerrado fruits and the identification of phenolic phytochemicals. Food Res. Int. 2012, 49, 604–611. [Google Scholar] [CrossRef]
- da Silva Siqueira, E.M.; Félix-Silva, J.; de Araújo, L.M.L.; Fernandes, J.M.; Cabral, B.; Gomes, J.A.D.S.; de Araújo Roque, A.; Tomaz, J.C.; Lopes, N.P.; de Freitas Fernandes-Pedrosa, M.; et al. Spondias tuberosa (Anacardiaceae) leaves: Profiling phenolic compounds by HPLC-DAD and LC–MS/MS and in vivo anti-inflammatory activity. Biomed. Chromatogr. 2016, 30, 1656–1665. [Google Scholar] [CrossRef]
- Hofer, U. The cost of antimicrobial resistance. Nat. Rev. Genet. 2018, 17, 3. [Google Scholar] [CrossRef]









| Structure | Phenolic Compound | Plant | Bacteria | Inhibition | Location | Reference |
|---|---|---|---|---|---|---|
| Flavonoids | ||||||
| 1 | Ampelopsin | Euphorbia tirucalli | S. aureus (ATCC 6538) | ** MIC = 8 μg/mL | Araruna—PB * | [16] |
| E. coli (ATCC 8739) | MIC = 16 μg/mL | |||||
| 2 | Myricetin | Euphorbia tirucalli | S. aureus (ATCC 6538) | MIC = 16 μg/mL | Araruna—PB | [16] |
| E. coli (ATCC 8739) | MIC = 8 μg/mL | |||||
| 3 | Dihydrokaempferol | Mauritia flexuosa | S. aureus (ATCC 29213) | MIC = 250 μg/mL | Chapada Gaúcha—MG * | [17] |
| S. aureus (clinical isolate 155) | MIC = 250 μg/mL | |||||
| 4 | (+)-(2R)-naringenin | Mauritia flexuosa | S. aureus (ATCC 29213) | MIC = 62.5 μg/mL | Chapada Gaúcha—MG | [17] |
| S. aureus (clinical isolate 155) | MIC = 62.5 μg/mL | |||||
| 5 | 3,7,3′-trihydroxy-4′-methoxy-8-prenylisoflavone | Vatairea guianensis | S. aureus (MRSA) | *** IC50 = 6.8 μM | Santana—AP * | [18] |
| E. faecium | IC50 = 12.8 μM | |||||
| 6 | 8-(3-hydroxy-3-methylbutyl)-5,7,3′,4′-tetrahydroxyisoflavone | Vatairea guianensis | S. aureus (MRSA) | IC50 = 29.6 μM | Santana—AP | [18] |
| 7 | 8-(3-hydroxy-3-methylbutyl)-5,7,4′-trihydroxy-3′-methoxyisoflavone | Vatairea guianensis | S. aureus (MRSA) | IC50 = 37 μM | Santana—AP | [18] |
| E. faecium | IC50 = 80.6 μM | |||||
| 8 | 8-(3-hydroxy-3-methylbutyl)-5,7,3′-trihydroxy-4′-methoxyisoflavone | Vatairea guianensis | S. aureus (MRSA) | IC50 = 49.0 μM | Santana—AP | [18] |
| 9 | 3-O-α-L-rhamnopyranosylquercetin | Clusia burlemarxii | B. subtilis (ATCC 6633) | MIC = 50 μg/mL | Mucugê—BA * | [19] |
| S. aureus (ATCC 6538) | MIC = 100 μg/mL | |||||
| 10 | 3-O-α-L-rhamnopyranosylkaempferol | Clusia burlemarxii | S. aureus (ATCC 6538) | MIC = 25 μg/mL | Mucugê—BA | [19] |
| 11 | (E)-3′-O-β-d-glucopyranosyl-4,5,6,4′-tetrahydroxy-7,2′-dimethoxyaurone | Gomphrena agrestis | S. epidermidis (6epi) | MIC = 0.1 mg/mL | Alto Paraíso—GO * | [20] |
| S. epidermidis (epiC) | MIC = 0.5 mg/mL | |||||
| P. aeruginosa (ATCC 27853) | MIC = 0.5 mg/mL | |||||
| P. aeruginosa (290D) | MIC = 0.5 mg/mL | |||||
| 12 | Tiliroside | Gomphrena agrestis Herissantia tiubae | S. aureus (ATCC 25923) S. aureus (SA-1199B) | MIC = 0.5 mg/mL MIC = 256 μg/mL | Alto Paraíso—GO Juazeirinho—PB * | [20,21] |
| 13 | 2′-hydroxy-4,4′,6′-trimethoxychalcone | Piper hispidum | S. aureus (ATCC 25923) | MIC = 125 μg/mL | Maringá—PR * | [22] |
| 14 | 2′-hydroxy-3,4,4′,6′-tetramethoxychalcone | Piper hispidum | S. aureus (ATCC 25923) | MIC = 250 μg/mL | Maringá—PR | [22] |
| 15 | 3,2′-dihydroxy-4,4′,6′-trimethoxychalcone | Piper hispidum | S. aureus (ATCC 25923) | MIC = 125 μg/mL | Maringá—PR | [22] |
| 16 | Genkwanin | Praxelis clematidea | S. aureus (AS-1199B) | MIC = 64 μg/mL **** (Substance with Norfloxacin) MIC = 128 μg/mL (Nofloxacin) | Santa Rita—PB | [12] |
| MIC = 16 μg/mL (Substance with Ethidium bromide) MIC = 32 μg/mL (Ethidium bromide) | ||||||
| 17 | 7,4′-dimethylapigenin | Praxelis clematidea | S. aureus (AS-1199B) | MIC = 64 μg/mL (Substance with Norfloxacin) MIC = 128 μg/mL (Norfloxacin) | Santa Rita—PB | [12] |
| MIC = 16 μg/mL (Substance with Ethidium bromide) MIC = 32 μg/mL (Ethidium bromide) | ||||||
| 18 | trimethylapigenin | Praxelis clematidea | S. aureus (AS-1199B) | MIC = 16 μg/mL (Substance with Norfloxacin) MIC = 128 μg/mL (Norfloxacin) | Santa Rita—PB | [12] |
| MIC = 8 μg/mL (Substance with Ethidium bromide) MIC = 32 μg/mL (Ethidium bromide) | ||||||
| 19 | cirsimaritin | Praxelis clematidea | S. aureus (AS-1199B) | MIC = 32 μg/mL (Substance with Norfloxacin) MIC = 128 μg/mL (Norfloxacin) | Santa Rita—PB | [12] |
| MIC = 8 μg/mL (Substance with Ethidium bromide) MIC = 32 μg/mL (Ethidium bromide) | ||||||
| 20 | tetramethylscutellarein | Praxelis clematidea | S. aureus (AS-1199B) | MIC = 8 μg/mL (Substance with Norfloxacin) MIC = 128 μg/mL (Norfloxacin) | Santa Rita—PB | [12] |
| MIC = 2 μg/mL (Substance with Ethidium bromide) MIC = 32 μg/mL (Ethidium bromide) | ||||||
| Xanthones | ||||||
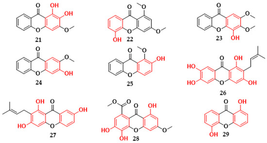
| 21 | 3,4-dihydroxy-2-methoxyxanthone | Kielmeyera variabilis | S. aureus (SA-1199B) | MIC = 32 mg/L | Mogi Guaçu—SP * | [23] |
| S. aureus (XU212) | MIC = 32–16 mg/L | |||||
| S. aureus (ATCC 25923) | MIC = 64 mg/L | |||||
| S. aureus (RN4220) | MIC = 32 mg/L | |||||
| S. aureus (EMRSA-15) | MIC = 64 mg/L | |||||
| S. aureus (EMRSA-16) | MIC = 16 mg/L | |||||
| 22 | 5-hydroxy-1,3-dimethoxyxanthone | Kielmeyera variabilis | S. aureus (SA-1199B) | MIC = 128–64 mg/L | Mogi Guaçu—SP | [23] |
| S. aureus (ATCC 25923) | MIC = 128 mg/L | |||||
| S. aureus (EMRSA-16) | MIC = 64 mg/L | |||||
| 23 | 4-hydroxy-2,3-dimethoxyxanthone | Kielmeyera variabilis | S. aureus (SA-1199B) | MIC = 128–64 mg/L | Mogi Guaçu—SP | [23] |
| S. aureus (XU212) | MIC = MIC = 128 mg/L | |||||
| S. aureus (EMRSA-16) | MIC = 64 mg/L | |||||
| 24 | 3-hydroxy-2-methoxyxanthone | Kielmeyera variabilis | S. aureus (SA-1199B) | MIC = 64 mg/L | Mogi Guaçu—SP | [23] |
| S. aureus (XU212) | MIC = 64 mg/L | |||||
| S. aureus (ATCC 25923) | MIC = 64 mg/L | |||||
| S. aureus (RN4220) | MIC = 64 mg/L | |||||
| S. aureus (EMRSA-15) | MIC = 64 mg/L | |||||
| S. aureus (EMRSA-16) | MIC = 32 mg/L | |||||
| 25 | 2-hydroxy-1-methoxyxanthone | Kielmeyera variabilis | S. aureus (SA-1199B) | MIC = 64 mg/L | Mogi Guaçu—SP | [23] |
| S. aureus (XU212) | MIC = 128 mg/L | |||||
| S. aureus (ATCC 25923) | MIC = 64 mg/L | |||||
| S. aureus (RN4220) | MIC = 64 mg/L | |||||
| S. aureus (EMRSA-15) | MIC = 64 mg/L | |||||
| S. aureus (EMRSA-16) | MIC = 32 mg/L | |||||
| 26 | Assiguxanthone B | Kielmeyera variabilis | S. aureus (ATCC 25923) | MIC = 100 μg/mL | Mogi Guaçu—SP | [24] |
| B. subtilis (ATCC 6623) | MIC = 25 μg/mL | |||||
| 27 | 1,3,7’trihydroxy-2-(3-methylbut-2-enyl)-xanthone | Kielmeyera coriacea | S. aureus (ATCC 25922) | MIC = 12.5 μg/mL | Mogi Guaçu—SP | [25] |
| E. coli (ATCC 25922) | MIC > 100 μg/mL | |||||
| B. subtilis (ATCC 6623) | MIC = 12.5 μg/mL | |||||
| P. aeruginosa (ATCC 15442) | MIC > 100 μg/mL | |||||
| 28 | 8-carboxymethyl-1,3,5,6-tetrahydroxyxanthone | Leiothrix spiralis | S. aureus (ATCC 25923) | MIC = 125 μg/mL | Diamantina—MG | [26] |
| B. subtilis (ATCC 19659) | MIC = 125 μg/mL | |||||
| P. aeruginosa (ATCC 27853) | MIC = 125 μg/mL | |||||
| 29 | 1,5-dihydroxyxanthone | Calophyllum brasiliense | B. cereus (ATCC 14579) | MIC = 700 μg/mL | Florianópolis—SC | [27] |
| S. aureus (ATCC 6538P) | MIC = 200 μg/mL | |||||
| S. saprophyticus (ATCC 35552) | MIC = 200 μg/mL | |||||
| S. agalactiae (ATCC 13813) | MIC = 500 μg/mL | |||||
| Coumarins | ||||||
| 30 | Tanizin | Helietta apiculato | B. cereus (ATCC 33019) | MIC = 12.5 μg/mL | Mata—RS | [28] |
| Enterococcus ssp (ATCC 6589) | MIC = 50 μg/mL | |||||
| E. aerogenes (ATCC 13048) | MIC = 25 μg/mL | |||||
| P. aeruginosa (ATCC 9027) | MIC = 25 μg/mL | |||||
| E. coli (ATCC 25922) | MIC = 50 μg/mL | |||||
| B. cepacia (ATCC 17759) | MIC = 25 μg/mL | |||||
| S. sonnei (ATCC 25931) | MIC = 25 μg/mL | |||||
| S. Typhimurium (ATCC 14028) | MIC = 25 μg/mL | |||||
| M. morganii (ATCC 25829) | MIC = 12.55 μg/mL | |||||
| 31 | Gravellifenore | Helietta apiculato | B. subtilis (ATCC 6633) | MIC = 50 μg/ml | Mata—RS | [28] |
| B. cereus (ATCC 33019) | MIC = 12.5 μg/mL | |||||
| Enterococcus ssp (ATCC 6589) | MIC = 50 μg/mL | |||||
| E. aeruginosa (ATCC 9027) | MIC = 25 μg/mL | |||||
| E. coli (ATCC 25922) | MIC = 50 μg/mL | |||||
| B. cepacia (ATCC 17759) | MIC = 3.12 μg/mL | |||||
| S. sonnei (ATCC 25931) | MIC = 12.55 μg/mL | |||||
| S. Typhimurium (ATCC 14028) | MIC = 50 μg/mL | |||||
| M. morganii (ATCC 25829) | MIC = 6.25 μg/mL | |||||
| Phenolic Acids | ||||||
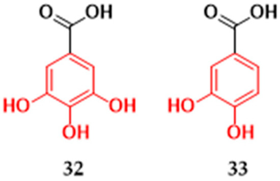
| 32 | Gallic acid | Himatanthus sucuuba | S. aureus (MRSA) | MIC = 31 μg/mL | Santarém—PA | [29] |
| S. epidermidis (ATCC 12228) | MIC = 31 μg/mL | |||||
| P. mirabilis (MRSA) | MIC = 62 μg/mL | |||||
| S. haemolyticus (ATCC 2737) | MIC = 62 μg/mL | |||||
| E. coli (ATCC 25922) | MIC = 125 μg/mL | |||||
| 33 | Protocatechuic acid | Calophyllum brasiliense | B. cereus (ATCC 14579) | MIC = 500 μg/mL | Florianópolis—SC | [27] |
| S. aureus (ATCC 6538P) | MIC = 200 μg/mL | |||||
| S. saprophyticus (ATCC 35552) | MIC = 200 μg/mL | |||||
| S. agalactiae (ATCC 13813) | MIC = 200 μg/mL | |||||
| E. cloacae (ATCC 35030) | MIC = 400 μg/mL | |||||
| E. coli (ATCC 11775) | MIC = 400 μg/mL | |||||
| P. aeruginosa (ATCC 35032) | MIC = 800 μg/mL | |||||
| P. mirabilis (ATCC 14273) | MIC = 500 μg/mL | |||||
| S. Typhimurium (ATCC 14028) | MIC = 700 μg/mL | |||||
| Other Phenolic Compounds | ||||||
| 34 | Dihydrodehydrodiconiferyl alcohol | Styrax ferrugineus | S. aureus (ATCC 12228) | MIC = 20 μg/mL | Mogi-Guaçu—SP | [30] |
| 35 | Lyoniresinol | Clusia burlemarxii | S. aureus (ATCC 6538) | MIC = 25 μg/mL | Mucugê—BA | [19] |
| 36 | Acid 3,3′-dimethoxyellagic acid-4-O-α-rhamnopyranoside | Euphorbia tirucalli | S. aureus (ATCC 6538) | MIC = 64 μg/mL | Araruna—PB | [16] |
| E. coli (ATCC 8739) | MIC = 128 μg/mL | |||||
| 37 | (E)-methyl-4-hydroxy-3,5-dimethoxycinnamate | Helietta apiculato | B. cereus (ATCC 33019) | MIC = 12.5 μg/mL | Mata—RS | [28] |
| E. aerogenes (ATCC 13048) | MIC = 25 μg/mL | |||||
| B. Ceparia (ATCC 17759) | MIC = 50 μg/mL | |||||
| M. morganii (ATCC 25829) | MIC = 50 μg/mL | |||||
| 38 | (E)-ethyl-4-hydroxy-3,5-dimethoxycinnamate | Helietta apiculato | B. cereus (ATCC 33019) | MIC = 50 μg/mL | Mata—RS | [28] |
| E. aerogenes (ATCC 13048) | MIC = 50 μg/mL | |||||
| 39 | 2,2-dimethyl-3,5-dihydroxy-7-(4-hydroxyphenyl) chromane | Clusia burlemarxii | M. luteus (ATCC 10240) | MIC = 25 μg/mL | Mucugê—BA | [19] |
| S. aureus (ATCC 6538) | MIC = 50 μg/mL | |||||
| B. subtilis (ATCC 6633) | MIC = 100 μg/mL | |||||
| S. mutans (ATCC 5175) | MIC = 100 μg/mL | |||||
| 40 | Aucuparin | Kielmeyera coriacea | S. aureus (ATCC 25922) | MIC = 12.5 μg/mL | Mogiguaçu—SP | [25] |
| E. coli (ATCC 25922) | MIC = 100 μg/mL | |||||
| B. subtilis (ATCC 6623) | MIC = 3.12 μg/mL | |||||
| P. aeruginosa (ATCC 15442) | MIC = 100 μg/mL | |||||
Disclaimer/Publisher’s Note: The statements, opinions and data contained in all publications are solely those of the individual author(s) and contributor(s) and not of MDPI and/or the editor(s). MDPI and/or the editor(s) disclaim responsibility for any injury to people or property resulting from any ideas, methods, instructions or products referred to in the content. |
© 2023 by the authors. Licensee MDPI, Basel, Switzerland. This article is an open access article distributed under the terms and conditions of the Creative Commons Attribution (CC BY) license (https://creativecommons.org/licenses/by/4.0/).
Share and Cite
Kauffmann, A.C.; Castro, V.S. Phenolic Compounds in Bacterial Inactivation: A Perspective from Brazil. Antibiotics 2023, 12, 645. https://doi.org/10.3390/antibiotics12040645
Kauffmann AC, Castro VS. Phenolic Compounds in Bacterial Inactivation: A Perspective from Brazil. Antibiotics. 2023; 12(4):645. https://doi.org/10.3390/antibiotics12040645
Chicago/Turabian StyleKauffmann, Angélica Correa, and Vinicius Silva Castro. 2023. "Phenolic Compounds in Bacterial Inactivation: A Perspective from Brazil" Antibiotics 12, no. 4: 645. https://doi.org/10.3390/antibiotics12040645
APA StyleKauffmann, A. C., & Castro, V. S. (2023). Phenolic Compounds in Bacterial Inactivation: A Perspective from Brazil. Antibiotics, 12(4), 645. https://doi.org/10.3390/antibiotics12040645
