Preparation of Bioactive De-Chlorophyll Rhein-Rich Senna alata Extract
Abstract
1. Introduction
2. Materials and Methods
2.1. Materials and Reagents
2.2. Preparation of Extracts
2.3. Optimization of Extraction Conditions
2.4. Method for Chlorophyll Removal from Extracts
2.5. Chromatographic Conditions and Method Development
2.6. System Suitability Testing
2.7. Validation of Method
2.8. Quantitative Determination of Rhein Contents
2.9. FTIR
2.10. Total Phenolic Contents
2.11. Determination of Minimal Inhibitory Concentrations (MIC) and Minimal Bactericidal Concentrations (MBC)
2.12. Antioxidant Activities
2.13. Anti-Inflammatory Activities
2.14. Analysis of Heavy Metal Content
2.15. Microbial Limit Test
2.16. Statistical Analysis
3. Results and Discussions
3.1. The Development and Validation of the HPLC–DAD Method
3.1.1. Screening of Optimized Conditions
3.1.2. Method Validation
- System suitability
- Specificity
- Linearity
- Accuracy
- Precision
- LOD and LOQ
- Robustness
- Chemical stability
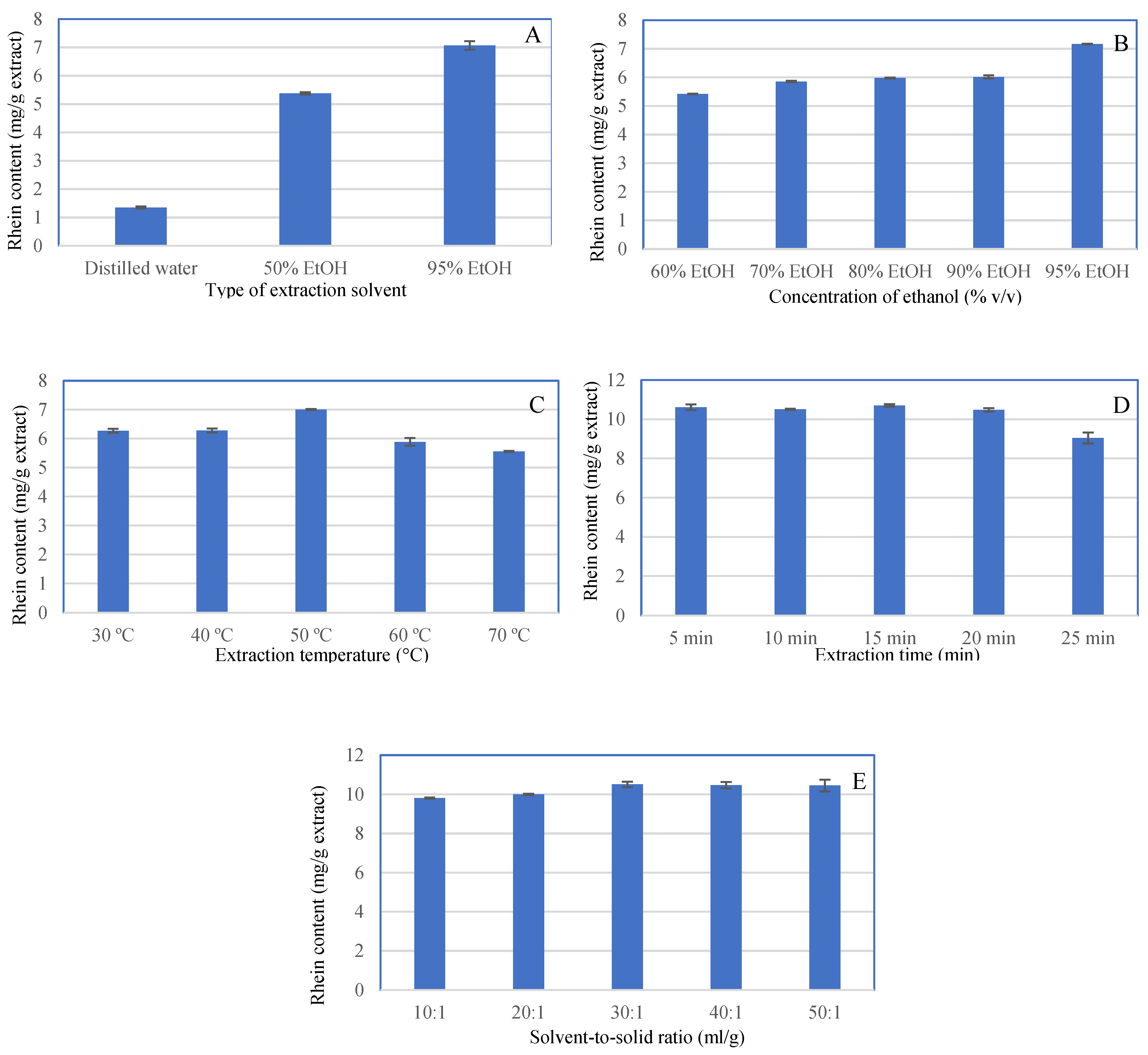
3.2. Single-Factor Analysis
3.3. Optimization of the Extraction Parameters of Rhein Content
3.4. Optimal Extraction Conditions and Verification
3.5. Antibacterial Capacity of Rhein-Rich (Optimized) Extract
3.6. Evaluation of S. alata Leaf Extracts
3.7. Evaluation of De-Chlorophyll Extracts
3.8. Heavy Metal Contents in the Rhein-Rich (Optimized) Extract
3.9. Microbial Contamination in Rhein-Rich (Optimized) Extract
4. Conclusions
Author Contributions
Funding
Institutional Review Board Statement
Informed Consent Statement
Data Availability Statement
Acknowledgments
Conflicts of Interest
Sample Availability
References
- Zhou, Y.; Xia, W.; Yue, W.; Peng, C.; Rahman, K.; Zhang, H. Rhein: A review of pharmacological activities. Evid. Based Complement. Altern. Med. 2015, 2015, 578107. [Google Scholar] [CrossRef] [PubMed]
- Oso, B.J.; Olowookere, B.D. A study on the total phenolics and antioxidant properties of different solvent extracts of dried leaves of Cassia alata (L.) Roxb. Med. Plants—Int. J. Phytomed. Relat. Ind. 2018, 10, 348–352. [Google Scholar] [CrossRef]
- Oso, B.J.; Karigidi, K.O. Inhibitory action of dried leaf of Cassia alata (Linn.) Roxb against lipoxygenase activity and nitric oxide generation. Sci. Agropecu. 2019, 10, 185–190. [Google Scholar] [CrossRef]
- Fatmawati, S.; Yuliana; Purnomo, A.S.; Abu Bakar, M.F. Chemical constituents, usage and pharmacological activity of Cassia alata. Heliyon 2020, 6, e04396. [Google Scholar] [CrossRef]
- Aung, W.W.; Krongrawa, W.; Ponphaiboon, J.; Kulpicheswanich, P.; Limmatvapirat, C. Yields, phytochemicals, and biological activities of different solvent extracts of Senna alata leaves. Key Eng. Mater. 2022, 914, 135–140. [Google Scholar] [CrossRef]
- Ebada, H.M.K.; Nasra, M.M.A.; Elnaggar, Y.S.R.; Abdallah, O.Y. Novel rhein-phospholipid complex targeting skin diseases: Development, in vitro, ex vivo, and in vivo studies. Drug Deliv. Transl. Res. 2021, 11, 1107–1118. [Google Scholar] [CrossRef]
- Husein el Hadmed, H.; Castillo, R.F. Cosmeceuticals: Peptides, proteins, and growth factors. J. Cosmet. Dermatol. 2016, 15, 514–519. [Google Scholar] [CrossRef]
- Thiyagarasaiyar, K.; Goh, B.; Jeon, Y.; Yow, Y. Algae metabolites in cosmeceutical: An overview of current applications and challenges. Mar. Drugs 2020, 18, 323. [Google Scholar] [CrossRef]
- Hoang, H.T.; Moon, J.; Lee, Y. Natural antioxidants from plant extracts in skincare cosmetics: Recent applications, challenges and perspectives. Cosmetics 2021, 8, 106. [Google Scholar] [CrossRef]
- Wijeratne, S.S.; Abou-Zaid, M.M.; Shahidi, F. Antioxidant polyphenols in almond and its coproducts. J. Agric. Food Chem. 2005, 54, 312–318. [Google Scholar] [CrossRef]
- Nichols, J.A.; Katiyar, S.K. Skin photoprotection by natural polyphenols: Anti-inflammatory, antioxidant and DNA repair mechanisms. Arch. Dermatol. Res. 2009, 302, 71–83. [Google Scholar] [CrossRef] [PubMed]
- Xu, N.; Chen, Y.; Guo, D.; Deng, Y.; Guo, W.; Lui, X.; Wang, Y.; Lu, H.; Liu, A.; Zhu, J.; et al. Rhein promotes the proliferation of keratinocytes by targeting oestrogen receptors for skin ulcer treatment. BMC Complement. Med. Ther. 2022, 22, 209. [Google Scholar] [CrossRef] [PubMed]
- Kumar, K.; Srivastav, S.; Sharanagat, V.S. Ultrasound assisted extraction (UAE) of bioactive compounds from fruit and vegetable processing by-products: A review. Ultrason. Sonochem. 2021, 70, 105325. [Google Scholar] [CrossRef] [PubMed]
- Chemat, F.; Pombaut, N.; Sicaire, A.G.; Meullemiestre, A.; Tixier, F.; Vian, M.A. Ultrasound assisted extraction of food and natural products. Mechanisms, techniques, combinations, protocols and applications. A review. Ultrason. Sonochem. 2017, 34, 540–560. [Google Scholar] [CrossRef] [PubMed]
- Vinatoru, M.; Mason, T.J.; Calinescu, I. Ultrasonically assisted extraction (UAE) and microwave assisted extraction (MAE) of functional compounds from plant materials. Trends Anal. Chem. 2017, 97, 159–178. [Google Scholar] [CrossRef]
- Ling, Y.Y.; Fun, P.S.; Yeop, A.; Yusoff, M.M.; Gimbun, J. Assessment of maceration, ultrasonic and microwave assisted extraction for total phenolic content, total flavonoid content and kaempferol yield from Cassia alata via microstructures analysis. Mater. Today Proc. 2019, 19, 1273–1279. [Google Scholar] [CrossRef]
- Sakunpak, A.; Sirikatitham, A.; Panichayupakaranant, P. Preparation of anthraquinone high-yielding Senna alata extract and its stability. Pharm. Biol. 2009, 47, 236–241. [Google Scholar] [CrossRef]
- Singh, B.; Nadkarni, J.R.; Vishwakarma, R.A.; Bharate, S.B.; Nivsarkar, M.; Anandjiwala, S. The hydroalcoholic extract of Cassia alata (Linn.) leaves and its major compound rhein exhibits antiallergic activity via mast cell stabilization and lipoxygenase inhibition. J. Ethnopharmacol. 2012, 141, 469–473. [Google Scholar] [CrossRef]
- Pham, D.Q.; Pham, H.T.; Han, J.W.; Nguyen, T.H.; Nguyen, H.T.; Nguyen, T.D.; Nguyen, T.T.T.; Ho, C.T.; Pham, H.M.; Vu, H.D.; et al. Extracts and metabolites derived from the leaves of Cassia alata L. exhibit in vitro and in vivo antimicrobial activities against fungal and bacterial plant pathogens. Ind. Crops Prod. 2021, 166, 113465. [Google Scholar] [CrossRef]
- Silva, B.N.; Cadavez, V.; Ferreira-Santos, P.; Alves, M.J.; Ferreira, I.C.F.R.; Barros, L.; Teixeira, J.A.; Gonzales-Barron, U. Chemical profile and bioactivities of extracts from edible plants readily available in Portugal. Foods 2021, 10, 673. [Google Scholar] [CrossRef]
- Limmatvapirat, C.; Nateesathittarn, C.; Dechasathian, K.; Moohummad, T.; Chinajitphan, P.; Limmatvapirat, S. Phytochemical analysis of baby corn silk extracts. J. Ayurveda Integr. Med. 2020, 11, 344–351. [Google Scholar] [CrossRef] [PubMed]
- Wu, J.; Zhang, J.; Yu, X.; Shu, Y.; Zhang, S.; Zhang, Y. Extraction optimization by using response surface methodology and purification of yellow pigment from Gardenia jasminoides var. radicans Makikno. Food Sci. Nutr. 2021, 9, 822–832. [Google Scholar] [CrossRef] [PubMed]
- Alam, P.; Noman, O.M.; Herqash, R.N.; Almarfadi, O.M.; Akhtar, A.; Alqahtani, A.S. Response surface methodology (RSM)-based optimization of ultrasound-assisted extraction of sennoside A, sennoside B, aloe-emodin, emodin, and chrysophanol from Senna alexandrina (aerial parts): HPLC-UV and antioxidant analysis. Molecules 2022, 27, 298. [Google Scholar] [CrossRef] [PubMed]
- Krongrawa, W.; Limmatvapirat, S.; Saibua, S.; Limmatvapirat, C. Optimization of ultrasound-assisted extraction of yields and total methoxyflavone contents from Kaempferia parviflora rhizomes. Molecules 2022, 27, 4162. [Google Scholar] [CrossRef] [PubMed]
- Chee, T.L.; Gaffar, R.A.; Majid, F.A.A.; Sarmidi, M.R. Herbal extract decolourization device using activated carbon. J. Teknol. (Sci. Eng.) 2013, 61, 73–79. [Google Scholar] [CrossRef]
- Richard, D.; Núñez, M.d.L.D.; Schweich, D. Adsorption of complex phenolic compounds on active charcoal: Adsorption capacity and isotherms. Chem. Eng. J. 2009, 148, 1–7. [Google Scholar] [CrossRef]
- Huma, Z.; Jayasena, V.; Nasar-Abbas, S.M.; Imran, M.; Khan, M.K. Process optimization of polyphenol extraction from carob (Ceratonia siliqua) kibbles using microwave-assisted technique. J. Food Process. Preserv. 2017, 42, e13450. [Google Scholar] [CrossRef]
- Yasuda, M.; Oda, K.; Ueda, T.; Tabata, M. Physico-chemical chlorophyll-a species in aqueous alcohol solutions determine the rate of its discoloration under UV light. Food Chem. 2019, 277, 463–470. [Google Scholar] [CrossRef]
- O’Sullivan, A.M.; O’Callaghan, Y.C.; O’Grady, M.N.; Waldron, D.S.; Smyth, T.J.; O’Brien, N.M.; Kerry, J.P. An examination of the potential of seaweed extracts as functional ingredients in milk. Int. J. Dairy Technol. 2014, 67, 182–193. [Google Scholar] [CrossRef]
- Olatunde, O.O.; Benjakul, S.; Vongkamjan, K. Antioxidant and antibacterial properties of guava leaf extracts as affected by solvents used for prior dechlorophyllization. J. Food Biochem. 2018, 42, e12600. [Google Scholar] [CrossRef]
- Shiva Kumar, S.; Subhashini, D. Health hazards of organic solvents. Res. Rev. J. Chem. 2015, 4, 90–95. [Google Scholar]
- Boateng, L.; Ansong, R.; Owusu, W.B.; Steiner-Asiedu, M. Coconut oil and palm oil’s role in nutrition, health and national development: A review. Ghana Med. J. 2016, 50, 189–196. [Google Scholar] [CrossRef] [PubMed]
- Wei, S.; Yao, W.; Ji, W.; Wei, J.; Peng, S. Qualitative and quantitative analysis of anthraquinones in rhubarbs by high performance liquid chromatography with diode array detector and mass spectrometry. Food Chem. 2013, 141, 1710–1715. [Google Scholar] [CrossRef] [PubMed]
- Chewchinda, S.; Sakulpanich, A.; Sithisarn, P.; Gritsanapan, W. HPLC analysis of laxative rhein content in Cassia fistula fruits of different provenances in Thailand. Thai J. Agric. Sci. 2012, 45, 121–125. [Google Scholar]
- Panichayupakaranant, P.; Sakunpak, A.; Sakunphueak, A. Quantitative HPLC determination and extraction of anthraquinones in Senna alata leaves. J. Chromatogr. Sci. 2009, 47, 197–200. [Google Scholar] [CrossRef]
- Papadoyannis, I.N.; Gika, H.G. Peak purity determination with a diode array detector. J. Liq. Chromatogr. Relat. Technol. 2004, 27, 1083–1092. [Google Scholar] [CrossRef]
- Thai Herbal Pharmacopoeia (THP). Chumhet Thet; Bureau of Drug and narcotic, Department of Medical Science, Ministry of Public Health: Bangkok, Thailand, 2020; pp. 89–97.
- Phaisan, S.; Yusakul, G.; Sakdamas, A.; Taluengjit, N.; Sakamoto, S.; Putalun, W. A green and effective method using oils to remove chlorophyll from Chromolaena odorata (L.) R.M. King & H. Rob. Songklanakarin J. Sci. Technol. 2020, 42, 1084–1090. [Google Scholar]
- The United States Pharmacopeial Convention. <621> Chromatography, in the United States Pharmacopeia 43 and the National Formulary 38; The United States Pharmacopeial Convention: Rockville, MD, USA, 2020.
- International Conference on Harmonization of Technical Requirements for the Registration of Pharmaceuticals for Human Use (ICH), 2005. Guideline for Validation of Analytical Procedures: Methodology Q2 (R1), Switzerland. Available online: https://www.ema.europa.eu/en/ich-q2r2-validation-analytical-procedures-scientific-guideline (accessed on 13 January 2023).
- Horwitzi, W.; Albert, R. The horwitz ratio (HorRat): A useful index of method performance with respect to precision. J. AOAC Int. 2006, 89, 1095–1109. [Google Scholar] [CrossRef]
- Clinical and Laboratory Standards Institute (CLSI). Methods for Dilution Antimicrobial Susceptibility Tests for Bacteria That Grow Aerobically, 11th ed.; CLSI Documents M07; Clinical and Laboratory Standards Institute: Wayne, PA, USA, 2018; Volume 38, pp. 25–35. [Google Scholar]
- Limmatvapirat, C.; Rodhetbhai, P.; Somsakraksanti, K.; Danpongprasert, P.; Poonsub, S.; Krongrawa, W.; Limmatvapirat, S.; Meepan, M. Chemical constituents, antioxidant activities, and element concentrations of rusa deer velvet antler extracts. J. Chem. 2020, 2020, 3287347. [Google Scholar] [CrossRef]
- Rick-Leonid, N.M.M.; Cédric, S.O.; Jean De La, C.N.; Joseph, P.O.; Felix, O.A.; LouisClément, O.E. Phytochemical screening, antioxidant, antiinflammatory and antiangiogenic activities of Lophira procera A. Chev. (Ochnaceae) medicinal plant from Gabon. Egypt. J. Basic Appl. Sci. 2018, 5, 80–86. [Google Scholar]
- The United States Pharmacopeial Convention. <61> Microbiological Examination of Nonsterile Products: Microbial Enumeration Tests, in the United States Pharmacopeia 43 and the National Formulary 38; The United States Pharmacopeial Convention: Rockville, MD, USA, 2020.
- Association of Official Agricultural Chemists (AOAC) Official Methods of Analysis. Guidelines for Standard Method Performance Requirements; AOAC International: Rockville, MD, USA, 2016; Available online: https://www.aoac.org/resources/guidelines-for-standard-method-performance-requirements/ (accessed on 20 July 2022).
- Zhao, L.-C.; Liang, J.; Li, W.; Cheng, K.-M.; Xia, X.; Deng, X.; Yang, G.-L. The use of response surface methodology to optimize the ultrasound-assisted extraction of five anthraquinones from Rheum palmatum L. Molecules 2011, 16, 5928–5937. [Google Scholar] [CrossRef]
- Wu, Y.C.; Wu, P.; Li, Y.B.; Liu, T.C.; Zhang, L.; Zhou, Y.H. Natural deep eutectic solvents as new green solvents to extract anthraquinones from Rheum palmatum L. RSC Adv. 2018, 8, 15069–15077. [Google Scholar] [CrossRef] [PubMed]
- Guo, L.; Guo, J.; Zhu, W.; Jiang, X. Optimized synchronous extraction process of tea polyphenols and polysaccharides from Huaguoshan Yunwu tea and their antioxidant activities. Food Bioprod. Process. 2016, 100, 303–310. [Google Scholar] [CrossRef]
- Yingngam, B.; Zhao, H.; Baolin, B.; Pongprom, N.; Brantner, A. Optimization of ultrasonic-assisted extraction and purification of rhein from Cassia fistula pod pulp. Molecules 2019, 24, 2013. [Google Scholar] [CrossRef]
- Cacace, J.E.; Mazza, G. Mass transfer process during extraction of phenolic compounds from milled berries. J. Food Eng. 2003, 59, 379–389. [Google Scholar] [CrossRef]
- Pinelo, M.; Rubilar, M.; Jerez, M.; Sineiro, J.; Núñez, M.J. Effect of solvent, temperature, and solvent-to-solid ratio on the total phenolic content and antiradical activity of extracts from different components of grape pomace. J. Agric. Food Chem. 2005, 53, 2111–2117. [Google Scholar] [CrossRef]
- Yeong, Y.L.; Pang, S.F.; Chong, S.Y.; Gimbun, J. Comparison of microwave and ultrasonic assisted extraction of kaempferol from Cassia alata. Int. J. Eng. Technol. 2018, 7, 84–89. [Google Scholar] [CrossRef]
- Pouget, C.; Gustave, C.; Ngba-Essebe, C.; Laurent, F.; Lemichez, E.; Tristan, A.; Sotto, A.; Dunyach-Rémy, C.; Lavigne, J. Adaptation of Staphylococcus aureus in a medium mimicking a diabetic foot environment. Toxins 2021, 13, 230. [Google Scholar] [CrossRef] [PubMed]
- Douhari, J.H.; Okafor, B. Antimicrobial activity of Senna alata Linn. East Cent. Afr. J. Pharm. Sci. 2007, 10, 17–21. [Google Scholar]
- Ehiowemwenguan, G.; Inetianbor, J.E.; Yakubu, J.M. Antimicrobial qualities of Senna alata. IOSR-JPBS 2014, 9, 47–52. [Google Scholar]
- Ding, X.; Tang, Q.; Xu, Z.; Xu, Y.; Zhang, H.; Zheng, D.; Wang, S.; Tan, Q.; Maitz, J.; Maitz, P.K.; et al. Challenges and innovations in treating chronic and acute wound infections: From basic science to clinical practice. Burns Trauma 2022, 10, tkac014. [Google Scholar] [CrossRef] [PubMed]
- Ali, N.W.; Abdelwahab, N.S.; Abdelkawy, M.; Emam, A.A. Validated stability indicating TLC-densitometric method for the determination of diacerein. J. Chromatogr. Sci. 2014, 52, 5–11. [Google Scholar] [CrossRef] [PubMed]
- Angelina, M.; Mardhiyah, A.; Dewi, R.T.; Fajriah, S.; Muthiah, N.; Ekapratiwi, Y.; Dewijanti, I.D.; Sukirno; Jamilah; Hartati, S. Physicochemical and phytochemical standardization, and antibacterial evaluation of Cassia alata leaves from different locations in Indonesia. Pharmacia 2021, 68, 947–956. [Google Scholar] [CrossRef]
- Wikaningtyas, P.; Sukandar, E.Y. The antibacterial activity of selected plants towards resistant bacteria isolated from clinical specimens. Asian Pac. J. Trop. Biomed. 2016, 6, 16–19. [Google Scholar] [CrossRef]
- Molyneux, P. The use of the stable free radical diphenyl picrylhydrazyl (DPPH) for estimating antioxidant activity. J. Sci. Technol. 2004, 26, 211–219. [Google Scholar]
- Aleesha, R.; Mishra, B. Evaluation of anti-inflammatory and antidiabetic activity of Simarouba glauca bark extract: An in vitro study. Asian J. Pharm. Clin. Res. 2020, 13, 74–78. [Google Scholar]
- Liu, R.; Lu, M.; Zhang, T.; Zhang, Z.; Jin, Q.; Chang, M.; Wang, X. Evaluation of the antioxidant properties of micronutrients in different vegetable oils. Eur. J. Lipid Sci. Technol. 2019, 122, 1900079. [Google Scholar] [CrossRef]
- Yang, H.; Xiao, X.; Li, J.; Wang, F.; Mi, J.; Shi, Y.; He, F.; Chen, L.; Zhang, F.; Wan, X. Chemical compositions of walnut (Juglans Spp.) oil: Combined effects of genetic and climatic factors. Forests 2022, 13, 962. [Google Scholar] [CrossRef]
- Servili, M.; Montedoro, G. Contribution of phenolic compounds to virgin olive oil quality. Eur. J. Lipid Sci. Technol. 2002, 104, 602–613. [Google Scholar] [CrossRef]
- Alhawarri, M.B.; Dianita, R.; Razak, K.N.A.; Mohamad, S.; Nogawa, T.; Wahab, H.A. Antioxidant, anti-inflammatory, and inhibition of acetylcholinesterase potentials of Cassia timoriensis DC. flowers. Molecules 2021, 26, 2594. [Google Scholar] [CrossRef]
- Antonisamy, P.; Agastian, P.; Kang, C.; Kim, N.S.; Kim, J. Anti-inflammatory activity of rhein isolated from the flowers of Cassia fistula L. and possible underlying mechanisms. Saudi J. Biol. Sci. 2019, 26, 96–104. [Google Scholar] [CrossRef] [PubMed]
- Lu, C.; Wang, H.; Lv, W.; Xu, P.; Zhu, J.; Xie, J.; Liu, B.; Lou, Z. Antibacterial properties of anthraquinones extracted from rhubarb against Aeromonas hydrophila. Fish. Sci. 2011, 77, 375–384. [Google Scholar] [CrossRef]
- Epifano, F.; Genovese, S.; Marchetti, L.; Palumbo, L.; Bastianini, M.; Cardellini, F.; Spogli, R.; Fiorito, S. Solid phase adsorption of anthraquinones from plant extracts by lamellar solids. J. Pharm. Biomed. Anal. 2020, 190, 113515. [Google Scholar] [CrossRef] [PubMed]
- Bubanale, S.; Shivashankar, M. History, method of production, structure and applications of activated carbon. Int. J. Eng. Res. Technol. 2017, 6, 495–498. [Google Scholar]
- Luo, L.; Wang, B.; Jiang, J.; Fitzgerald, M.; Huang, Q.; Yu, Z.; Li, H.; Zhang, J.; Wei, J.; Yang, C.; et al. Heavy metal contaminations in herbal medicines: Determination, comprehensive risk assessments, and solutions. Front. Pharmacol. 2021, 11, 595335. [Google Scholar] [CrossRef]
- The 23rd ACCSQ Traditional Medicines and Health Supplements Product Working Group, Association of South East Asian Nations (ASEAN) Guidelines on Limits of Contaminants for Health Supplements, Annex III, Version 2.0, Kuala Lumpur, Malaysia. 2015. Available online: https://www.moh.gov.bn/SitePages/ASEAN%20Technical%20Documents_Health%20Supplements.aspx (accessed on 10 December 2023).






| Name of Extract | Solvent | Solvent:Solid Ratio (mL/g) | Temperature (°C) | Time (min) |
|---|---|---|---|---|
| Aqueous | Aqueous extract | 20:1 | 50 | 20 |
| 50% EtOH | 50% v/v Ethanol | 20:1 | 50 | 20 |
| 95% EtOH | 95% v/v Ethanol | 20:1 | 50 | 20 |
| Rhein-rich (Optimized) | 95% v/v Ethanol | 25:1 | 60 | 18 |
| Independent Variables | Symbol | Levels | ||
|---|---|---|---|---|
| −1 | 0 | 1 | ||
| Temperature (°C) | A | 40 | 50 | 60 |
| Time (min) | B | 10 | 15 | 20 |
| Solvent-to-solid ratio (mL/g) | C | 20 | 30 | 40 |
| No. | Temperature (°C) (A) | Extraction Time (min) (B) | Solvent-to-Solid Ratio (mL/g) (C) | Rhein Content (mg/g Extract) |
|---|---|---|---|---|
| 1 | 0 (50) | 0 (15) | 0 (30:1) | 9.49 |
| 2 | 0 (50) | −1 (10) | −1 (20:1) | 8.12 |
| 3 | +1 (60) | −1 (10) | 0 (30:1) | 8.36 |
| 4 | 0 (50) | 0 (15) | 0 (30:1) | 9.45 |
| 5 | +1 (60) | +1 (20) | 0 (30:1) | 10.42 |
| 6 | −1 (40) | +1 (20) | 0 (30:1) | 8.50 |
| 7 | −1 (40) | −1 (10) | 0 (30:1) | 9.31 |
| 8 | −1 (40) | 0 (15) | +1 (40:1) | 7.35 |
| 9 | +1 (60) | 0 (15) | +1 (40:1) | 9.02 |
| 10 | 0 (50) | +1 (20) | +1 (40:1) | 7.39 |
| 11 | 0 (50) | −1 (10) | +1 (40:1) | 7.19 |
| 12 | +1 (60) | 0 (15) | −1 (20:1) | 9.24 |
| 13 | 0 (50) | 0 (15) | 0 (30:1) | 10.15 |
| 14 | −1 (40) | 0 (15) | −1 (20:1) | 9.39 |
| 15 | 0 (50) | 0 (15) | 0 (30:1) | 9.35 |
| 16 | 0 (50) | +1 (20) | −1 (20:1) | 9.71 |
| 17 | 0 (50) | 0 (15) | 0 (30:1) | 9.58 |
| Parameters | Chromatographic Conditions | ||
|---|---|---|---|
| A | B | C | |
| Column | Luna Omega Polar C18 column (5 μm, 100 Å, 4.6 mm × 250 mm) (Phenomenex Inc., Torrance, CA, USA) | ||
| Column temperature | 25 °C | 30 °C | 30 °C |
| Flow rate | 1 mL/min | 0.8 mL/min | 1 mL/min |
| Injection volume | 10 μL | 10 μL | 10 μL |
| Detection wavelength | 254 nm | 254 nm | 254 nm |
| Mobile phase | Methanol: 2% v/v aqueous acetic acid (70:30) | Acetonitrile: 0.5% v/v aqueous acetic acid (60:40) | Acetonitrile: 0.1% v/v aqueous phosphoric acid (65:35) |
| Run time | 20 min | 15 min | 15 min |
| Resolution | 10.79 | 0.88 | 6.80 |
| Symmetry factor | 0.85 | 1.20 | 0.85 |
| Theoretical plate | 17,520 | 3315 | 8968 |
| Retention time (min) | 16.683 | 9.459 | 6.195 |
| Purity factor | 238.174 | 893.232 | 996.654 |
| Validation Parameters | Acceptance Criteria * | Results |
|---|---|---|
| Specificity | Resolution ≥ 2 | Resolution = 7.34–7.87 |
| Purity factor ≥ 950 | Purity factor = 996–999 | |
| Linearity and range | r2 ≥ 0.99 | r2 = 0.9990 |
| Accuracy | Recovery = 80–110% | Recovery = 91.69–105.89% |
| Repeatability (Intra-day precision) | RSD ≤ 7.3% | RSD = 5.0–6.3% |
| HorRat value = 0.5–2.0 | HorRat value = 0.8–0.9 | |
| Intermediate precision (Inter-day precision) | RSD ≤ 7.3% | RSD = 6.0–7.2% |
| HorRat value = 0.5–2.0 | HorRat value = 0.6–0.7 | |
| Robustness | Robust | Robust |
| Limit of detection | - | 2.44 µg/mL |
| Limit of quantitation | - | 7.39 µg/mL |
| Source | Sum of Squares | df | Mean Square | F Value | p Value | Remarks |
|---|---|---|---|---|---|---|
| Model | 14.39 | 8 | 1.80 | 22.51 | 0.0001 | ** |
| A | 0.77 | 1 | 0.77 | 9.68 | 0.0144 | * |
| B | 1.16 | 1 | 1.16 | 14.50 | 0.0052 | ** |
| C | 3.78 | 1 | 3.78 | 47.36 | 0.0001 | ** |
| AB | 2.06 | 1 | 2.06 | 25.83 | 0.0010 | ** |
| AC | 0.83 | 1 | 0.83 | 10.39 | 0.0122 | * |
| BC | 0.49 | 1 | 0.49 | 6.08 | 0.0389 | * |
| B2 | 1.27 | 1 | 1.27 | 15.84 | 0.0041 | ** |
| C2 | 3.77 | 1 | 3.77 | 47.16 | 0.0001 | ** |
| Residual | 0.64 | 8 | 0.080 | |||
| Lack of fit | 0.24 | 4 | 0.060 | 0.60 | 0.6854 | Not significant |
| Temperature (°C) | Time (min) | Solvent-to-Solid Ratio (mL/g) | Rhein Content (mg/g Extract) | |
|---|---|---|---|---|
| Optimal condition | 59.52 | 18.4 | 25.48 | 10.44 (Predicted value) |
| Experimental condition | 60 | 18 | 25 | 10.36 ± 0.27 (Observed value) |
| Tested microorganisms | Optimized Extract | Neomycin Sulfate | ||
|---|---|---|---|---|
| MIC (mg/mL) | MBC (mg/mL) | MIC (mg/mL) | MBC (mg/mL) | |
| Staphylococcus aureus ATCC 6538P | 0.63 | 5.0 | 0.063 | 0.125 |
| Escherichia coli DMST 4212 | 1.25 | 2.5 | 0.016 | 0.031 |
| Pseudomonas aeruginosa ATCC 9027 | 1.25 | 5.0 | 0.031 | 0.250 |
| Name of extract | Yield (%) | Rhein Content (mg/g Extract) | Total Phenolic Content (mg GAE/g Extract) | MIC (mg/mL) | MBC (mg/mL) |
|---|---|---|---|---|---|
| Aqueous | 19.03 ± 0.15 d | 2.03 ± 0.01 a | 32.55 ± 3.18 a | 5.0 | 40 |
| 50% EtOH | 14.65 ± 0.23 c | 6.83 ± 0.10 b | 55.98 ± 2.03 b | 2.5 | 40 |
| 95% EtOH | 8.45 ± 0.35 a | 7.81 ± 0.12 c | 98.75 ± 1.26 c | 1.25 | 10 |
| Rhein-rich (Optimized) | 11.35 ± 0.45 b | 10.36 ± 0.27 d | 105.75 ± 0.97 d | 0.63 | 5.0 |
| Decolorizing Agents | Extract Solution/Oil Volume Ratio or Decolorizing Agent Concentration | Chlorophyll Removal Efficacy (%) |
|---|---|---|
| Palm oil | 1:1 (v/v) | 17.33 ± 0.05 a |
| Coconut oil | 1:1 (v/v) | 25.43 ± 0.08 b |
| Aluminum oxide | 150 mg/mL | 57.41 ± 0.09 c |
| Activated charcoal | 150 mg/mL | 92.87 ± 0.20 d |
| Samples | Rhein Content (mg/g Extract) | Total Phenolic Content (mg GAE/g Extract) | Scavenging Activity against DPPH, SC50 | FRAP Value (mg AAE/g Extract) | Albumin Denaturation Activity, IC50 (mg/mL) | MIC (mg/mL) |
|---|---|---|---|---|---|---|
| Rhein-rich extract | 10.36 ± 0.27 e | 105.75 ± 0.97 c | 1.25 ± 0.12 mg/mL c,d | 112.35 ± 1.87 c | 1.81 ± 0.03 b | 0.625 |
| De-chlorophyll extract with various decolorizing agents | ||||||
| Palm oil | 1.50 ± 0.10 b | 107.30 ± 3.46 d | 1.17 ± 0.08 mg/mL c | 124.59 ± 1.96 d | 2.51 ± 0.04 d | 2.5 |
| Coconut oil | 1.42 ± 0.09 a | 120.43 ± 2.01 e | 1.01 ± 0.12 mg/mL b | 156.65 ± 3.57 e | 2.64 ± 0.03 e | 2.5 |
| Aluminum oxide | 7.98 ± 0.02 c | 27.26 ± 0.38 a | 1.43 ± 0.07 mg/mL d | 44.34 ± 1.58 b | 2.01 ± 0.05 c | 1.25 |
| Activated charcoal | 8.52 ± 0.08 d | 34.97 ± 5.91 b | 1.69 ± 0.10 mg/mL e | 38.29 ± 0.18 a | 1.94 ± 0.04 b, c | 1.25 |
| Ascorbic acid | n/a | n/a | 15.06 ± 0.37 µg/mL a | n/a | n/a | n/a |
| Diclofenac diethylamine | n/a | n/a | n/a | n/a | 1.04 ± 0.09 a | n/a |
| Neomycin sulfate | n/a | n/a | n/a | n/a | n/a | 0.0625 |
| Heavy metal | Limit of Detection * (mg/kg) | Permissible Limit (mg/kg) | Observed Values (mg/kg) |
|---|---|---|---|
| As | <0.041 | 5.0 | ND |
| Cd | <0.021 | 0.3 | ND |
| Pb | <0.020 | 10.0 | ND |
| Hg | <0.054 | 0.5 | ND |
| Microbiological Quality | Acceptable Criteria * | Rhein-Rich Extract | 6-Month Storage Extract |
|---|---|---|---|
| Total aerobic microbial count (TAMC) | NMT 2 × 104 CFU/g | Absence in 1 g | 10 CFU/g |
| Total yeast and mold count (TYMC) | NMT 2 × 102 CFU/g | Absence in 1 g | Absence in 1 g |
| Bile-tolerant Gram-negative bacteria | NMT 102 CFU/g | Absence in 1 g | Absence in 1 g |
| Salmonella spp. | Absence in 10 g | Absence in 10 g | Absence in 10 g |
| Escherichia coli | Absence in 1 g | Absence in 1 g | Absence in 1 g |
| Staphylococcus aureus | Absence in 1 g | Absence in 1 g | Absence in 1 g |
Disclaimer/Publisher’s Note: The statements, opinions and data contained in all publications are solely those of the individual author(s) and contributor(s) and not of MDPI and/or the editor(s). MDPI and/or the editor(s) disclaim responsibility for any injury to people or property resulting from any ideas, methods, instructions or products referred to in the content. |
© 2023 by the authors. Licensee MDPI, Basel, Switzerland. This article is an open access article distributed under the terms and conditions of the Creative Commons Attribution (CC BY) license (https://creativecommons.org/licenses/by/4.0/).
Share and Cite
Aung, W.W.; Panich, K.; Watthanophas, S.; Naridsirikul, S.; Ponphaiboon, J.; Krongrawa, W.; Kulpicheswanich, P.; Limmatvapirat, S.; Limmatvapirat, C. Preparation of Bioactive De-Chlorophyll Rhein-Rich Senna alata Extract. Antibiotics 2023, 12, 181. https://doi.org/10.3390/antibiotics12010181
Aung WW, Panich K, Watthanophas S, Naridsirikul S, Ponphaiboon J, Krongrawa W, Kulpicheswanich P, Limmatvapirat S, Limmatvapirat C. Preparation of Bioactive De-Chlorophyll Rhein-Rich Senna alata Extract. Antibiotics. 2023; 12(1):181. https://doi.org/10.3390/antibiotics12010181
Chicago/Turabian StyleAung, Wah Wah, Kanokpon Panich, Suchawalee Watthanophas, Sutada Naridsirikul, Juthaporn Ponphaiboon, Wantanwa Krongrawa, Pattranit Kulpicheswanich, Sontaya Limmatvapirat, and Chutima Limmatvapirat. 2023. "Preparation of Bioactive De-Chlorophyll Rhein-Rich Senna alata Extract" Antibiotics 12, no. 1: 181. https://doi.org/10.3390/antibiotics12010181
APA StyleAung, W. W., Panich, K., Watthanophas, S., Naridsirikul, S., Ponphaiboon, J., Krongrawa, W., Kulpicheswanich, P., Limmatvapirat, S., & Limmatvapirat, C. (2023). Preparation of Bioactive De-Chlorophyll Rhein-Rich Senna alata Extract. Antibiotics, 12(1), 181. https://doi.org/10.3390/antibiotics12010181

