A Wash of Ethyl Acetoacetate Reduces Externally Added Salmonella enterica on Tomatoes
Abstract
:1. Introduction
2. Results
2.1. A Concentration of 8% Was Effective for EAA at Reducing the Number of S. Enterica after an Incubation of 5 Minutes
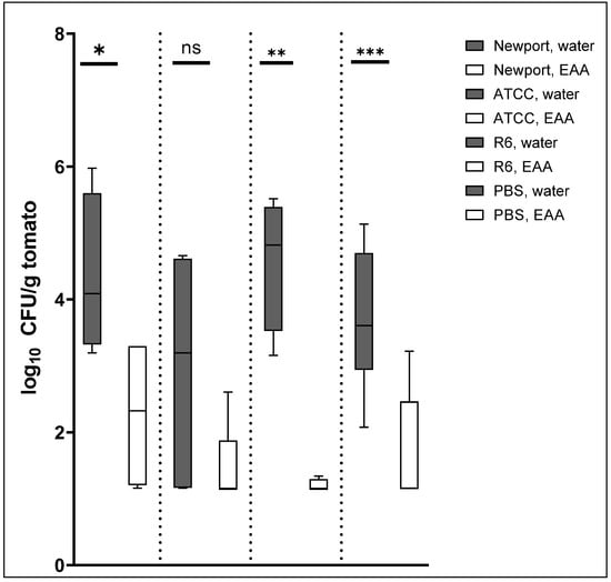
2.2. The EAA Wash Reduced Counts of Externally Added S. enterica and Counts of Naturally Occurring Background Flora
2.3. Recovery of Bacteria with 0.1% Silwet Leads to a Smaller Recovery of S. enterica from the Tomatoes
2.4. The Effectiveness of EAA Ws Not Reduced in the Presence of 1% Tomato Homogenate in the Wash
3. Discussion
4. Materials and Methods
4.1. Bacterial Serovars and Growth Conditions
4.2. Determine the Effective Concentration of EAA against Salmonella
4.3. Performance of the Tomato Experiment
4.4. Production of the Tomato Homogenate
4.5. Recovery of Bacteria from the Tomatoes
4.5.1. Recovery by Eans of Homogenization
4.5.2. Recovery of Bacteria from the Tomatoes by Means of 0.1% silwet L-77 wash
4.6. Enumeration of Bacteria
5. Patents
Author Contributions
Funding
Institutional Review Board Statement
Informed Consent Statement
Data Availability Statement
Acknowledgments
Conflicts of Interest
References
- Gu, G.; Strawn, L.K.; Oryang, D.O.; Zheng, J.; Reed, E.A.; Ottesen, A.R.; Bell, R.L.; Chen, Y.; Duret, S.; Ingram, D.T.; et al. Agricultural practices influence Salmonella contamination and survival in pre-harvest tomato production. Front. Microbiol. 2018, 9, 2451. [Google Scholar] [CrossRef] [PubMed] [Green Version]
- Cevallos-Cevallos, J.M.; Gu, G.; Danyluk, M.D.; Dufault, N.S.; van Bruggen, A.H. Salmonella can reach tomato fruits on plants exposed to aerosols formed by rain. Int. J. Food Microbiol. 2012, 158, 140–146. [Google Scholar] [CrossRef] [PubMed]
- Wang, H.; Ryser, E.T. Quantitative transfer of Salmonella Typhimurium LT2 during mechanical slicing of tomatoes as impacted by multiple processing variables. Int. J. Food Microbiol. 2016, 234, 76–82. [Google Scholar] [CrossRef] [PubMed] [Green Version]
- Gkana, E.; Lianou, A.; Nychas, G.J. Transfer of Salmonella enterica Serovar Typhimurium from beef to tomato through kitchen equipment and the efficacy of intermediate decontamination procedures. J. Food Prot. 2016, 79, 1252–1258. [Google Scholar] [CrossRef]
- Yao, S.; Chen, H. Development and evaluation of a point-of-use UV appliance for fresh produce decontamination. Int. J. Food Microbiol. 2021, 339, 109024. [Google Scholar] [CrossRef]
- Maitland, J.E.; Boyer, R.R.; Eifert, J.D.; Williams, R.C. High hydrostatic pressure processing reduces Salmonella enterica serovars in diced and whole tomatoes. Int. J. Food Microbiol. 2011, 149, 113–117. [Google Scholar] [CrossRef]
- Chang, A.S.; Schneider, K.R. Evaluation of overhead spray-applied sanitizers for the reduction of Salmonella on tomato surfaces. J. Food Sci. 2012, 77, M65–M69. [Google Scholar] [CrossRef]
- Bolten, S.; Gu, G.; Luo, Y.; Van Haute, S.; Zhou, B.; Millner, P.; Micallef, S.A.; Nou, X. Salmonella inactivation and cross-contamination on cherry and grape tomatoes under simulated wash conditions. Food Microbiol. 2020, 87, 103359. [Google Scholar] [CrossRef]
- Lynnes, T.; Horne, S.M.; Prüß, B.M. β-phenylethylamine as a novel nutrient treatment to reduce bacterial contamination due to Escherichia coli O157:H7 on beef meat. Meat Science 2014, 96, 165–171. [Google Scholar] [CrossRef]
- Horne, S.M.; Schroeder, M.; Murphy, J.; Prüß, B.M. Acetoacetate and ethyl acetoacetate as novel inhibitors of bacterial biofilm. Lett. Appl. Microbiol. 2018, 66, 329–339. [Google Scholar] [CrossRef]
- Schroeder, M.L. Investigation of Nutrients as Treatments of Bacterial Biofilms. Ph.D. Thesis, North Dakota State University, Fargo, ND, USA, 2018. [Google Scholar]
- Horne, S.M.; Khadem, E.; Prüß, B.M. Ethyl acetoacetate and ß-phenylethylamine inhibit spoilage bacteria in ground beef. EC Microbiol. 2020, 16, 6–18. [Google Scholar]
- Bauer, E.S.; Horne, S.M.; Prüß, B.M. Ethylacetoacetate added to the wash water of chicken reduces spoilage bacteria, as well as externally added Salmonella spec. and Campylobacter spec. EC Microbiol. 2021, 17, 18–28. [Google Scholar]
- Horne, S.M.; Ugrinov, A.; Prüß, B.M. The food anti-microbials β-phenylethylamine (-HCl) and ethyl acetoacetate do not change during the heating process. Antibiotics 2021, 10, 418. [Google Scholar] [CrossRef] [PubMed]
- Swords, W.E.; Cannon, B.M.; Benjamin, W.H., Jr. Avirulence of LT2 strains of Salmonella typhimurium results from a defective rpoS gene. Infect. Immun. 1997, 65, 2451–2453. [Google Scholar] [CrossRef] [PubMed] [Green Version]
- Prigent-Combaret, C.; Brombacher, E.; Vidal, O.; Ambert, A.; Lejeune, P.; Landini, P.; Dorel, C. Complex regulatory network controls initial adhesion and biofilm formation in Escherichia coli via regulation of the csgD gene. J. Bacteriol. 2001, 183, 7213–7223. [Google Scholar] [CrossRef] [Green Version]
- Ibanez-Ruiz, M.; Robbe-Saule, V.; Hermant, D.; Labrude, S.; Norel, F. Identification of RpoS (sigma(S))-regulated genes in Salmonella enterica serovar typhimurium. J. Bacteriol. 2000, 182, 5749–5756. [Google Scholar] [CrossRef] [Green Version]
- Barak, J.D.; Gorski, L.; Naraghi-Arani, P.; Charkowski, A.O. Salmonella enterica virulence genes are required for bacterial attachment to plant tissue. Appl. Environ. Microbiol. 2005, 71, 5685–5691. [Google Scholar] [CrossRef] [Green Version]
- Gurtler, J.B.; Dong, X.; Zhong, B.; Lee, R. Efficacy of a mixed peroxyorganic acid antimicrobial wash solution against Salmonella, Escherichia coli O157:H7, or Listeria monocytogenes on cherry tomatoes. J. Food Prot. 2022, 85, 773–777. [Google Scholar] [CrossRef]
- Park, S.H.; Kang, D.H. Effect of temperature on chlorine dioxide inactivation of Escherichia coli O157:H7, Salmonella typhimurium, and Listeria monocytogenes on spinach, tomatoes, stainless steel, and glass surfaces. Int. J. Food Microbiol. 2018, 275, 39–45. [Google Scholar] [CrossRef]
- Kang, C.; Sloniker, N.; Ryser, E.T. Use of a novel sanitizer to inactivate Salmonella Typhimurium and spoilage microorganisms during flume washing of diced tomatoes. J. Food Prot. 2020, 83, 2158–2166. [Google Scholar] [CrossRef]
- Mukhopadhyay, S.; Sokorai, K.; Ukuku, D.O.; Jin, T.; Fan, X.; Olanya, M.; Juneja, V. Inactivation of Salmonella in grape tomato stem scars by organic acid wash and chitosan-allyl isothiocyanate coating. Int. J. Food Microbiol. 2018, 266, 234–240. [Google Scholar] [CrossRef] [PubMed]
- White, E.; Kumar, G.D.; da Silva, A.; Kerr, W.L.; Cimowsky, S.; Widmer, J.A.; Dunn, L.L. Postharvest reduction of Salmonella enterica on tomatoes using a pelargonic acid emulsion. Foods 2021, 10, 178. [Google Scholar] [CrossRef] [PubMed]
- Berrios-Rodriguez, A.; Ukuku, D.O.; Olanya, M.; Cassidy, J.; Orellana, L.E.; Mukhopadhyay, S.; Niemira, B.A. Nisin-based organic acid inactivation of Salmonella on grape tomatoes: Efficacy of treatment with bioluminescence ATP assay. J. Food Prot. 2020, 83, 68–74. [Google Scholar] [CrossRef] [PubMed]
- Huang, R.; de Vries, D.; Chen, H. Strategies to enhance fresh produce decontamination using combined treatments of ultraviolet, washing and disinfectants. Int. J. Food Microbiol. 2018, 283, 37–44. [Google Scholar] [CrossRef] [PubMed]
- El-Dougdoug, N.K.; Cucic, S.; Abdelhamid, A.G.; Brovko, L.; Kropinski, A.M.; Griffiths, M.W.; Anany, H. Control of Salmonella Newport on cherry tomato using a cocktail of lytic bacteriophages. Int. J. Food Microbiol. 2019, 293, 60–71. [Google Scholar] [CrossRef]
- Abnavi, M.D.; Alradaan, A.; Munther, D.; Kothapalli, C.R.; Srinivasan, P. Modeling of free chlorine consumption and Escherichia coli O157:H7 cross-contamination during fresh-cut produce wash cycles. J. Food Sci. 2019, 84, 2736–2744. [Google Scholar] [CrossRef]
- Dhakal, J.; Sharma, C.S.; Nannapaneni, R.; Mc, D.C.; Kim, T.; Kiess, A. Effect of chlorine-induced sublethal oxidative stress on the biofilm-forming ability of Salmonella at different temperatures, nutrient conditions, and substrates. J. Food Prot. 2019, 82, 78–92. [Google Scholar] [CrossRef]
- Zhou, B.; Luo, Y.; Teng, Z.I.; Nou, X.; Millner, P. Factors impacting chemical and microbiological quality of wash water during simulated dump tank wash of grape tomatoes. J. Food Prot. 2021, 84, 695–703. [Google Scholar] [CrossRef]
- Trinetta, V.; Linton, R.H.; Morgan, M.T. Use of chlorine dioxide gas for the postharvest control of Alternaria alternata and Stemphylium vesicarium on Roma tomatoes. J. Sci. Food Agric. 2013, 93, 3330–3333. [Google Scholar] [CrossRef]
- Elsharkawy, M.M.; Khedr, A.A.; Mehiar, F.; El-Kady, E.M.; Baazeem, A.; Shimizu, M. Suppression of Pseudomonas syringae pv. tomato infection by rhizosphere fungi. Pest Manag. Sci. 2021, 77, 4350–4356. [Google Scholar] [CrossRef]
- Chai, A.L.; Ben, H.Y.; Guo, W.T.; Shi, Y.X.; Xie, X.W.; Li, L.; Li, B.J. Quantification of viable cells of Pseudomonas syringae pv. tomato in tomato seed using propidium monoazide and a real-time PCR assay. Plant Dis. 2020, 104, 2225–2232. [Google Scholar] [CrossRef]
- Taormina, P.J.; Beuchat, L.R. Comparison of chemical treatments to eliminate enterohemorrhagic Escherichia coli O157:H7 on alfalfa seeds. J. Food Prot. 1999, 62, 318–324. [Google Scholar] [CrossRef] [PubMed]
- Tindall, B.J.; Grimont, P.A.D.; Garrity, G.M.; Euzéby, J.P. Nomenclature and taxonomy of the genus Salmonella. Int. J. Syst. Evol. Microbiol. 2005, 55, 521–524. [Google Scholar] [CrossRef] [PubMed] [Green Version]
- Judicial Commission of The International Committee on Systematics of Prokaryotes. The type species of the genus Salmonella Lignieres 1900 is Salmonella enterica (ex Kauffmann and Edwards 1952) Le Minor and Popoff 1987, with the type strain LT2T, and conservation of the epithet enterica in Salmonella enterica over all earlier epithets that may be applied to this species. Opinion 80. Int. J. Syst. Evol. Microbiol. 2005, 55, 519–520. [Google Scholar] [CrossRef]
- Zinder, N.D.; Lederberg, J. Genetic exchange in Salmonella. J. Bacteriol. 1952, 64, 679–699. [Google Scholar] [CrossRef] [Green Version]
- Shah, M.K.; Bradshaw, R.; Nyarko, E.; Millner, P.D.; Neher, D.; Weicht, T.; Bergholz, T.M.; Sharma, M. Survival and growth of wild-type and rpoS-deficient Salmonella Newport strains in soil extracts prepared with heat-treated poultry pellets. J. Food Prot. 2019, 82, 501–506. [Google Scholar] [CrossRef]
- Trinetta, V.; Morgan, M.T.; Linton, R.H. Use of high-concentration-short-time chlorine dioxide gas treatments for the inactivation of Salmonella enterica spp. inoculated onto Roma tomatoes. Food Microbiol. 2010, 27, 1009–1015. [Google Scholar] [CrossRef]





| Anti-Microbial | Concentration | Incubation Time | Log Reduction | Reference |
|---|---|---|---|---|
| EAA | 8% | 5 min | 1.5 to 3.4 | This study |
| Chlorine-simulated wash | 25 to 150 mg/L free chlorine | 1 min | 2 to 3 log | [8] |
| Chlorine | 8 ppm free chlorine | 2 min | 2.6 log | [19] |
| ClO2 | ~12 g/m3 | 30 min | ~3 log at 15 °C | [20] |
| Peroxyacetic acid (PAA) | 8 ppm free chlorine plus 1% PAA | 2 min | ~1.7 log at 25 °C | [19] |
| PAA plus sulfuric acid | 90 ppm | 60 s | 1.75 log | [21] |
| Varies organic acids | 0.5% | 1 min | 2.7 log | [22] |
| Pelargonic acid | 0.5% | 0 h | >1 log | [23] |
| Nisin based organic acid | 10% | 5 to 30 min | ~ 2 log | [24] |
| Water-assisted UV (WAV) | NA | 3.6 log | [25] | |
| Mycoviridae/Syphoviridae | cocktail | 3 days | >4 log | [26] |
Publisher’s Note: MDPI stays neutral with regard to jurisdictional claims in published maps and institutional affiliations. |
© 2022 by the authors. Licensee MDPI, Basel, Switzerland. This article is an open access article distributed under the terms and conditions of the Creative Commons Attribution (CC BY) license (https://creativecommons.org/licenses/by/4.0/).
Share and Cite
Horne, S.M.; Prüß, B.M. A Wash of Ethyl Acetoacetate Reduces Externally Added Salmonella enterica on Tomatoes. Antibiotics 2022, 11, 1134. https://doi.org/10.3390/antibiotics11081134
Horne SM, Prüß BM. A Wash of Ethyl Acetoacetate Reduces Externally Added Salmonella enterica on Tomatoes. Antibiotics. 2022; 11(8):1134. https://doi.org/10.3390/antibiotics11081134
Chicago/Turabian StyleHorne, Shelley M., and Birgit M. Prüß. 2022. "A Wash of Ethyl Acetoacetate Reduces Externally Added Salmonella enterica on Tomatoes" Antibiotics 11, no. 8: 1134. https://doi.org/10.3390/antibiotics11081134
APA StyleHorne, S. M., & Prüß, B. M. (2022). A Wash of Ethyl Acetoacetate Reduces Externally Added Salmonella enterica on Tomatoes. Antibiotics, 11(8), 1134. https://doi.org/10.3390/antibiotics11081134

