Combined PK/PD Index May Be a More Appropriate PK/PD Index for Cefoperazone/Sulbactam against Acinetobacter baumannii in Patients with Hospital-Acquired Pneumonia
Abstract
1. Introduction
2. Results
2.1. Baseline Characteristics of Patients
2.2. PK, PD, and Safety of Cefoperazone and Sulbactam
2.3. Population Pharmacokinetics
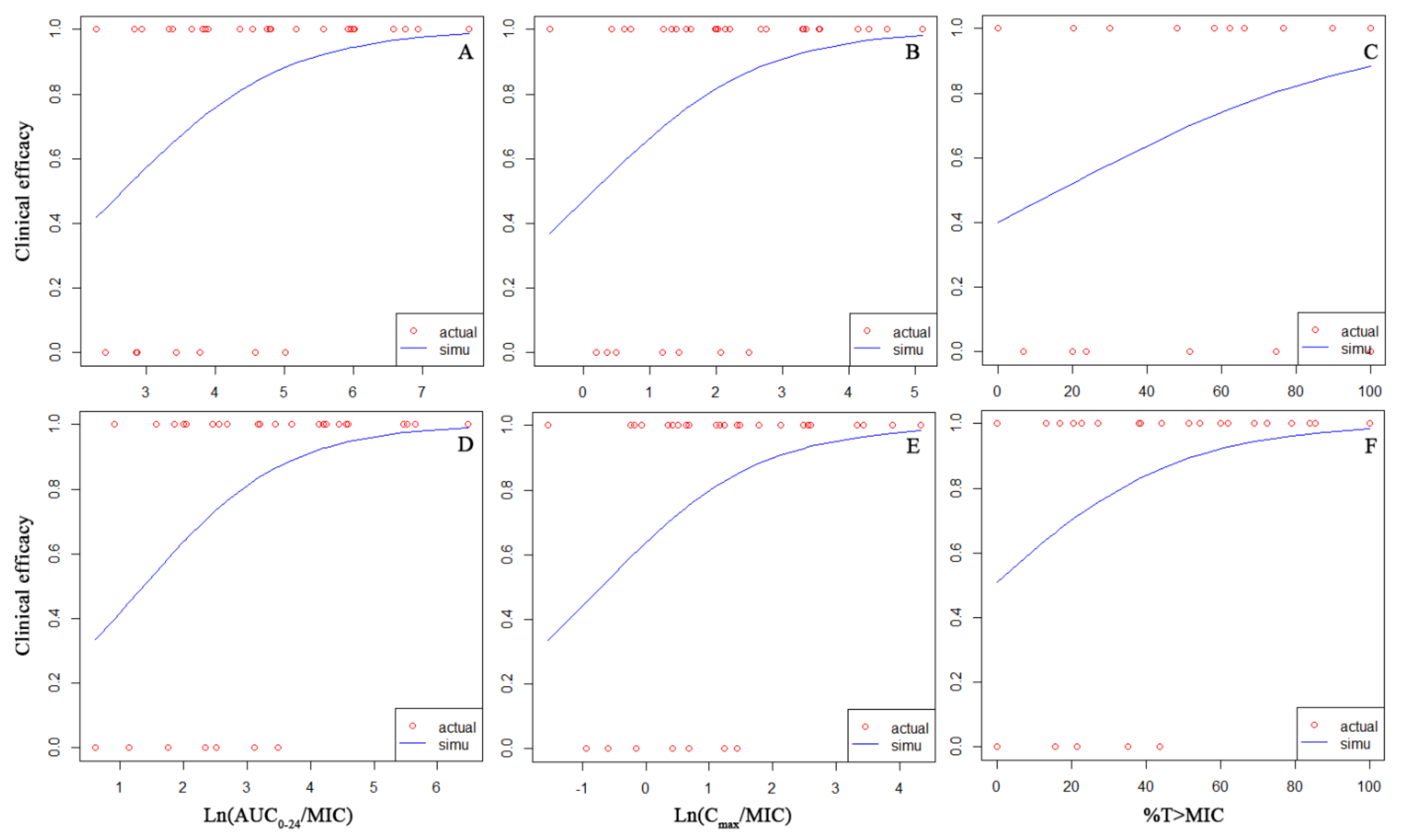
2.4. PK/PD Analysis
2.4.1. Effect of Covariate on PK/PD of CPZ/SUL
2.4.2. Analysis Based on PK/PD Index for a Single Drug
2.4.3. Analysis Based on Combined PK/PD Index
2.4.4. PK/PD Analysis Based on Joint PTA
3. Discussion
4. Materials and Methods
4.1. Study Design
4.2. Drug
4.3. Dosing Regimen and Sample Collection
4.4. Clinical Observation and Antimicrobial Susceptibility
4.5. Efficacy and Safety Evaluation
4.6. Population Pharmacokinetics
4.7. Pharmacokinetic/Pharmacodynamic Analysis
4.7.1. Analysis Based on PK/PD Index for Single Drug
4.7.2. Analysis Based on Combined PK/PD Index
4.7.3. PK/PD Analysis Based on Joint PTA
5. Conclusions
Supplementary Materials
Author Contributions
Funding
Institutional Review Board Statement
Informed Consent Statement
Data Availability Statement
Acknowledgments
Conflicts of Interest
References
- Chen, I.L.; Lee, C.H.; Su, L.H.; Tang, Y.F.; Chang, S.J.; Liu, J.W. Antibiotic consumption and healthcare-associated infections caused by multidrug-resistant gram-negative bacilli at a large medical center in Taiwan from 2002 to 2009: Implicating the importance of antibiotic stewardship. PLoS ONE 2013, 8, e65621. [Google Scholar] [CrossRef] [PubMed]
- Uddin, T.M.; Chakraborty, A.J.; Khusro, A.; Zidan, B.R.M.; Mitra, S.; Emran, T.B.; Dhama, K.; Ripon, M.K.H.; Gajdacs, M.; Sahibzada, M.U.K.; et al. Antibiotic resistance in microbes: History, mechanisms, therapeutic strategies and future prospects. J. Infect. Public Health 2021, 14, 1750–1766. [Google Scholar] [CrossRef] [PubMed]
- Aslam, A.; Gajdacs, M.; Zin, C.S.; Ab Rahman, N.S.; Ahmed, S.I.; Zafar, M.Z.; Jamshed, S. Evidence of the Practice of Self-Medication with Antibiotics among the Lay Public in Low- and Middle-Income Countries: A Scoping Review. Antibiotics 2020, 9, 597. [Google Scholar] [CrossRef] [PubMed]
- Liu, Y.N.; Cao, B.; Wang, H.; Chen, L.A.; She, D.Y.; Zhao, T.M.; Liang, Z.X.; Sun, T.Y.; Li, Y.M.; Tong, Z.H.; et al. Adult hospital acquired pneumonia: A multicenter study on microbiology and clinical characteristics of patients from 9 Chinese cities. Chin. J. Tuberc. Respir. 2012, 35, 739–746. [Google Scholar]
- Brogden, R.N.; Carmine, A.; Heel, R.C.; Morley, P.A.; Speight, T.M.; Avery, G.S. Cefoperazone: A review of its in vitro antimicrobial activity, pharmacological properties and therapeutic efficacy. Drugs 1981, 22, 423–460. [Google Scholar] [CrossRef] [PubMed]
- Hu, F.P.; Zhu, D.M.; Wang, F.; Jiang, X.F.; Xu, Y.C.; Zhang, X.J.; Zhang, C.X.; Ji, P.; Xie, Y.; Kang, M.; et al. CHINET 2014 surveillance of bacterial resistance in China. Chin. J. Infect. Chemother. 2015, 15, 401–410. [Google Scholar]
- Respiratory branch of Chinese Medical Association. Guideline on the diagnosis of hospital-acquired pneumonia and therapy (Draft). Chin. J. Tuberc. Respir. Dis. 1999, 22, 201–203. [Google Scholar]
- Ette, E.I.; Williams, P.J. Population pharmacokinetics I: Background, concepts, and models. Ann. Pharmacother. 2004, 38, 1702–1706. [Google Scholar] [CrossRef]
- Rho, J.P.; Castle, S.; Smith, K.; Bawdon, R.E.; Norman, D.C. Effect of impaired renal function on the pharmacokinetics of coadministered cefoperazone and sulbactam. J. Antimicrob. Chemother. 1992, 29, 701–709. [Google Scholar] [CrossRef]
- Johnson, C.A.; Zimmerman, S.W.; Reitberg, D.P.; Whall, T.J.; Leggett, J.E.; Craig, W.A. Pharmacokinetics and pharmacodynamics of cefoperazone-sulbactam in patients on continuous ambulatory peritoneal dialysis. Antimicrob. Agents Chemother. 1988, 32, 51–56. [Google Scholar] [CrossRef]
- Danziger, L.H.; Piscitelli, S.C.; Occhipinti, D.J.; Resnick, D.J.; Rodvold, K.A. Steady-state pharmacokinetics of cefoperazone and sulbactam in patients with acute appendicitis. Ann Pharmacother 1994, 28, 703–707. [Google Scholar] [CrossRef] [PubMed]
- Schwartz, J.I.; Jauregui, L.E.; Bachmann, K.A.; Martin, M.E.; Reitberg, D.P. Multiple-dose pharmacokinetics of intravenously administered cefoperazone and sulbactam when given in combination to infected, seriously ill, elderly patients. Antimicrob. Agents Chemother. 1988, 32, 730–735. [Google Scholar] [CrossRef] [PubMed]
- Xing, L.P.; Niu, C.H.; Huang, R.; Gao, L.L.; Yu, L.P.; Wang, Y.; Li, J. The population pharmacokinetics and dose optimization of cefoperazone sodium and sulbactam sodium in children. Chin. J. Hosp. Pharm. 2020, 40, 2102–2007, 2142. [Google Scholar]
- Shi, H.Y.; Wang, K.; Wang, R.H.; Wu, Y.E.; Tang, B.H.; Li, X.; Du, B.; Kan, M.; Zheng, Y.; Xu, B.P.; et al. Developmental population pharmacokinetics-pharmacodynamics and dosing optimization of cefoperazone in children. J. Antimicrob. Chemother. 2020, 75, 1917–1924. [Google Scholar] [CrossRef]
- Lai, C.C.; Chen, C.C.; Lu, Y.C.; Lin, T.P.; Chuang, Y.C.; Tang, H.J. Appropriate composites of cefoperazone-sulbactam against multidrug-resistant organisms. Infect. Drug Resist. 2018, 11, 1441–1445. [Google Scholar] [CrossRef]
- Chang, P.C.; Chen, C.C.; Lu, Y.C.; Lai, C.C.; Huang, H.L.; Chuang, Y.C.; Tang, H.J. The impact of inoculum size on the activity of cefoperazone-sulbactam against multidrug resistant organisms. J. Microbiol. Immunol. Infect. 2018, 51, 207–213. [Google Scholar] [CrossRef]
- Yokoyama, Y.; Matsumoto, K.; Ikawa, K.; Watanabe, E.; Shigemi, A.; Umezaki, Y.; Nakamura, K.; Ueno, K.; Morikawa, N.; Takeda, Y. Pharmacokinetic/pharmacodynamic evaluation of sulbactam against Acinetobacter baumannii in in vitro and murine thigh and lung infection models. Int. J. Antimicrob. Agents 2014, 43, 547–552. [Google Scholar] [CrossRef]
- Feng, K.; Jia, N.; Zhu, P.; Sy, S.; Liu, Y.; Dong, D.; Zhu, S.; Zhang, J.; Liu, Y.; Martins, F.S.; et al. Aztreonam/avibactam effect on pharmacodynamic indices for mutant selection of Escherichia coli and Klebsiella pneumoniae harbouring serine- and New Delhi metallo-beta-lactamases. J. Antimicrob. Chemother. 2021, 76, 2875–2883. [Google Scholar] [CrossRef]
- Han, R.; Sun, D.; Li, S.; Chen, J.; Teng, M.; Yang, B.; Dong, Y.; Wang, T. Pharmacokinetic/Pharmacodynamic Adequacy of Novel beta-Lactam/beta-Lactamase Inhibitors against Gram-Negative Bacterial in Critically Ill Patients. Antibiotics 2021, 10, 993. [Google Scholar] [CrossRef]
- Martins, F.S.; Zhu, P.; Heinrichs, M.T.; Sy, S.K.B. Physiologically based pharmacokinetic-pharmacodynamic evaluation of meropenem plus fosfomycin in paediatrics. Br. J. Clin. Pharmacol. 2021, 87, 1012–1023. [Google Scholar] [CrossRef]
- Das, S.; Li, J.; Riccobene, T.; Carrothers, T.J.; Newell, P.; Melnick, D.; Critchley, I.A.; Stone, G.G.; Nichols, W.W. Dose Selection and Validation for Ceftazidime-Avibactam in Adults with Complicated Intra-abdominal Infections, Complicated Urinary Tract Infections, and Nosocomial Pneumonia. Antimicrob. Agents Chemother. 2019, 63, e02187-18. [Google Scholar] [CrossRef] [PubMed]
- Yang, H.; Fan, Y.; Li, C.; Zhang, M.; Liu, W. A retrospective study on risk factors and disease burden for hospital-acquired pneumonia caused by multi-drug-resistant bacteria in patients with intracranial cerebral hemorrhage. Neurol. Sci. 2022, 43, 2461–2467. [Google Scholar] [CrossRef] [PubMed]
- Hinduja, A.; Dibu, J.; Achi, E.; Patel, A.; Samant, R.; Yaghi, S. Nosocomial infections in patients with spontaneous intracerebral hemorrhage. Am. J. Crit. Care 2015, 24, 227–231. [Google Scholar] [CrossRef] [PubMed]
- Respiratory branch of Chinese Medical Association. Guideline on diagnosis and treatment of hospital-acquired and ventilator-acquired pneumoniae in adults in China (2018 version). Chin. J. Tuberc. Respir. Dis. 2018, 41, 255–280. [Google Scholar]
- Reitberg, D.P.; Marble, D.A.; Schultz, R.W.; Whall, T.J.; Schentag, J.J. Pharmacokinetics of cefoperazone (2.0 g) and sulbactam (1.0 g) coadministered to subjects with normal renal function, patients with decreased renal function, and patients with end-stage renal disease on hemodialysis. Antimicrob. Agents Chemother. 1988, 32, 503–509. [Google Scholar] [CrossRef]
- Wang, Y. Derivation of various NONMEM estimation methods. J. Pharmacokinet. Pharmacodyn. 2007, 34, 575–593. [Google Scholar] [CrossRef]
- Bauer, R.J. NONMEM Tutorial Part II: Estimation Methods and Advanced Examples. CPT Pharmacomet. Syst. Pharm. 2019, 8, 538–556. [Google Scholar] [CrossRef]
- Lattanzi, S.; Silvestrini, M. Blood pressure in acute intra-cerebral hemorrhage. Ann. Transl. Med. 2016, 4, 320. [Google Scholar] [CrossRef]
- Hagg-Holmberg, S.; Dahlstrom, E.H.; Forsblom, C.M.; Harjutsalo, V.; Liebkind, R.; Putaala, J.; Tatlisumak, T.; Groop, P.H.; Thorn, L.M.; FinnDiane Study, G. The role of blood pressure in risk of ischemic and hemorrhagic stroke in type 1 diabetes. Cardiovasc. Diabetol. 2019, 18, 88. [Google Scholar] [CrossRef]
- Foulds, G.; Stankewich, J.P.; Marshall, D.C.; O’Brien, M.M.; Hayes, S.L.; Weidler, D.J.; McMahon, F.G. Pharmacokinetics of sulbactam in humans. Antimicrob. Agents Chemother. 1983, 23, 692–699. [Google Scholar] [CrossRef]
- Pfizer, Package insert for Cefoperazone Sodium and Sulbactam Sodium for Injection (20220329 Version), Dalian. 2022. Available online: https://labeling.pfizer.com/ShowLabeling.aspx?id=14442 (accessed on 18 May 2022).
- Jaruratanasirikul, S.; Wongpoowarak, W.; Wattanavijitkul, T.; Sukarnjanaset, W.; Samaeng, M.; Nawakitrangsan, M.; Ingviya, N. Population Pharmacokinetics and Pharmacodynamics Modeling To Optimize Dosage Regimens of Sulbactam in Critically Ill Patients with Severe Sepsis Caused by Acinetobacter baumannii. Antimicrob. Agents Chemother. 2016, 60, 7236–7244. [Google Scholar] [CrossRef] [PubMed]
- Meyers, B.R.; Wilkinson, P.; Mendelson, M.H.; Walsh, S.; Bournazos, C.; Hirschman, S.Z. Pharmacokinetics of ampicillin-sulbactam in healthy elderly and young volunteers. Antimicrob. Agents Chemother. 1991, 35, 2098–2101. [Google Scholar] [CrossRef] [PubMed]
- Uchida, Y.; Kamiie, J.; Ohtsuki, S.; Terasaki, T. Multichannel liquid chromatography-tandem mass spectrometry cocktail method for comprehensive substrate characterization of multidrug resistance-associated protein 4 transporter. Pharm. Res. 2007, 24, 2281–2296. [Google Scholar] [CrossRef] [PubMed]
- Ritter, C.A.; Jedlitschky, G.; Meyer zu Schwabedissen, H.; Grube, M.; Kock, K.; Kroemer, H.K. Cellular export of drugs and signaling molecules by the ATP-binding cassette transporters MRP4 (ABCC4) and MRP5 (ABCC5). Drug Metab. Rev. 2005, 37, 253–278. [Google Scholar] [CrossRef] [PubMed]
- Wuis, E.W.; Dirks, M.J.; Termond, E.F.; Vree, T.B.; Van der Kleijn, E. Plasma and urinary excretion kinetics of oral baclofen in healthy subjects. Eur. J. Clin. Pharmacol. 1989, 37, 181–184. [Google Scholar] [CrossRef]
- Horianopoulou, M.; Legakis, N.J.; Kanellopoulou, M.; Lambropoulos, S.; Tsakris, A.; Falagas, M.E. Frequency and predictors of colonization of the respiratory tract by VIM-2-producing Pseudomonas aeruginosa in patients of a newly established intensive care unit. J. Med. Microbiol. 2006, 55, 1435–1439. [Google Scholar] [CrossRef][Green Version]
- Guyonnet, J.; Manco, B.; Baduel, L.; Kaltsatos, V.; Aliabadi, M.H.; Lees, P. Determination of a dosage regimen of colistin by pharmacokinetic/pharmacodynamic integration and modeling for treatment of G.I.T. disease in pigs. Res. Vet. Sci. 2010, 88, 307–314. [Google Scholar] [CrossRef]
- Bouchene, S. Physiologically Based Pharmacometric Models for Colistin and the Immune Response to Bacterial Infection. Ph.D. Thesis, Uppsala University, Uppsala, Sweden, 2016. [Google Scholar]
- Navashin, S.M.; Fomina, I.P.; Firsov, A.A.; Chernykh, V.M.; Kuznetsova, S.M. A dynamic model for in-vitro evaluation of antimicrobial action by simulation of the pharmacokinetic profiles of antibiotics. J. Antimicrob. Chemother. 1989, 23, 389–399. [Google Scholar] [CrossRef]
- Chen, B.Y.; He, L.X.; Hu, B.J.; Ni, Y.X.; Qiu, H.B.; Shi, Y.; Shi, Y.; Wang, H.; Wang, M.G.; Yang, Y.; et al. Expert consensus on the diagnosis and treatment of infection by Acinetobacter baumannii in China. China Med. Pharm. 2012, 2, 3–8. [Google Scholar]
- Garnacho-Montero, J.; Amaya-Villar, R. Multiresistant Acinetobacter baumannii infections: Epidemiology and management. Curr. Opin. Infect. Dis. 2010, 23, 332–339. [Google Scholar] [CrossRef]
- Garnacho-Montero, J.; Dimopoulos, G.; Poulakou, G.; Akova, M.; Cisneros, J.M.; De Waele, J.; Petrosillo, N.; Seifert, H.; Timsit, J.F.; Vila, J.; et al. Task force on management and prevention of Acinetobacter baumannii infections in the ICU. Intensive Care Med. 2015, 41, 2057–2075. [Google Scholar] [CrossRef] [PubMed]
- Reitberg, D.P.; Whall, T.J.; Chung, M.; Blickens, D.; Swarz, H.; Arnold, J. Multiple-dose pharmacokinetics and toleration of intravenously administered cefoperazone and sulbactam when given as single agents or in combination. Antimicrob. Agents Chemother. 1988, 32, 42–46. [Google Scholar] [CrossRef] [PubMed]
- Dudhani, R.V.; Turnidge, J.D.; Nation, R.L.; Li, J. fAUC/MIC is the most predictive pharmacokinetic/pharmacodynamic index of colistin against Acinetobacter baumannii in murine thigh and lung infection models. J. Antimicrob. Chemother. 2010, 65, 1984–1990. [Google Scholar] [CrossRef] [PubMed]
- Zhou, Y.; Zhang, J.; Guo, B.; Yu, J.; Shi, Y.; Wang, M.; Zhang, Y. Liquid chromatography/tandem mass spectrometry assay for the simultaneous determination of cefoperazone and sulbactam in plasma and its application to a pharmacokinetic study. J. Chromatogr. B Analyt. Technol. Biomed. Life Sci. 2010, 878, 3119–3124. [Google Scholar] [CrossRef] [PubMed]
- CLSI. Performance Standards for Antimicrobial Susceptibility Testing; Clinical and Laboratory Standards Institute: Wayne, PA, USA, 2011. [Google Scholar]
- R Core Team. R: A Language and Environment for Statistical Computing; R Foundation for Statistical Computing: Vienna, Austria, 2017. [Google Scholar]
- Karlsson, M.O.; Sheiner, L.B. The importance of modeling interoccasion variability in population pharmacokinetic analyses. J. Pharmacokinet. Biopharm. 1993, 21, 735–750. [Google Scholar] [CrossRef]
- Wu, K.; Mercier, F.; David, O.J.; Schmouder, R.L.; Looby, M. Population pharmacokinetics of fingolimod phosphate in healthy participants. J. Clin. Pharmacol. 2012, 52, 1054–1068. [Google Scholar] [CrossRef]
- Wang, D.D.; Zhang, S. Standardized visual predictive check versus visual predictive check for model evaluation. J. Clin. Pharmacol. 2012, 52, 39–54. [Google Scholar] [CrossRef]
- Chen, Y.C.; Cao, Y.G.; Zhou, J.; Liu, X.Q. Mechanism-based pharmacokinetic-pharmacodynamic modeling of bidirectional effect of danshensu on plasma homocysteine in rats. Pharm. Res. 2009, 26, 1863–1873. [Google Scholar] [CrossRef]
- Wu, X.J.; Zhang, J.; Guo, B.N.; Zhang, Y.Y.; Yu, J.C.; Cao, G.Y.; Chen, Y.C.; Zhu, D.M.; Ye, X.Y.; Wu, J.F.; et al. Pharmacokinetics and pharmacodynamics of multiple-dose intravenous nemonoxacin in healthy Chinese volunteers. Antimicrob. Agents Chemother. 2015, 59, 1446–1454. [Google Scholar] [CrossRef][Green Version]
- Li, Y.; Zheng, B.; Lu, Y.; Wei, M.G.; Shan, A.L.; Cao, Z.L.; Li, R.Y.; Miao, Q.P.; Lin, M.G.; Lu, X.J.; et al. Chinese experts’ consensus on protocol of breakpoints setting of new antibacterial agents for clinical trial. Chin. J. Clin. Pharmacol. 2015, 31, 1069–1076. [Google Scholar]



| Gender (Male/Female) | 39/15 |
| Age (yrs) | 46 ± 15 (18~70) |
| Body Weight (kg) | 63.6 ± 8.3 (50~80) |
| Body Mass Index (kg/m2) | 22.1 ± 2.1 (17.9~27.9) |
| Concomitant Disease | Traumatic brain injury: 24 cases (44%) Hypertension: 13 cases (24%) Cerebral hemorrhage: 11 cases (20%) Diabetes and other |
| Alanine Aminotransferase | Normal: 46 cases (85%) ≥1 time of upper normal limit (6 cases, 11%) ≥2 times of upper normal limit (2 cases, 4%) |
| Renal Function | 147 ± 56 mL/min (52~342) |
| Albumin | Lower than normal: 16 cases (30%) |
| Pathogen | Acinetobacter spp.: 29 cases (54%) P. aeruginosa: 22 cases (41%) Acinetobacter spp. + P. aeruginosa: 3 cases (6%) |
| Oral Temperature ≥ 37.5 °C | 49 cases (91%) |
| White Blood Cells Count | Abnormal: 28 cases (52%) Normal: 26 cases (48%) |
| Oxygen Saturation | 52 cases (96%) |
| Incision of Trachea | 50 cases (93%) |
| Ventilator Assisted Breathing | 7 cases (13%) |
| Antimicrobial Drug Treatment Two Weeks before Enrollment | 38 cases (70%) |
| Concomitant Medications | Ambroxol: 45 cases (83%) Sodium valproate: 27 cases (50%) Piracetam: 17 cases (31%) |
| Concomitant Medications (Antifungal or Antibiotics) | Fluconazole: 8 cases (15%) Vancomycin: 4 cases (7%) |
| Cefoperazone | Sulbactam | ||||
|---|---|---|---|---|---|
| Parameter | Estimate | Bootstrap | Parameter | Estimate | Bootstrap |
| CL (L/h) | 4.45 (4.02) | 4.45 (4.00) | CL (L/h) | 15.8 (5.99) | 15.8 (6.22) |
| V1 (L) | 7.97 (29.4) | 8.34 (11.7) | V1 (L) | 18.0 (7.20) | 17.9 (6.43) |
| Q (L/h) | 12.03 (49.8) | 11.05 (18.4) | Q (L/h) | 2.91 (37.5) | 2.92 (31.4) |
| V2 (L) | 9.03 (19.4) | 8.76 (10.5) | V2 (L) | 5.39 (11.7) | 5.41 (11.7) |
| γHigh BP on V2 | 1.44 (13.4) | 1.44 (14.2) | γage on CL | −0.0152 (20.4) | −0.0145 (23.0) |
| θbaclofen on Q | 2.54 (33.8) | 2.46 (26.5) | |||
| ωCL | 0.226 (18.5) | 0.224 (18.1) | ωCL | 0.272 (23.2) | 0.269 (24.3) |
| ωV1 | 0.448 (24.3) | 0.441 (15.2) | ωV1 | 0.270 (18.1) | 0.261 (18.2) |
| ωV2 | 0.337 (14.2) | 0.319 (15.3) | ωV2 | 0.327 (22.7) | 0.310 (26.8) |
| πCL | 0.184 (21.2) | 0.182 (21.0) | πCL | 0.204 (21.6) | 0.194 (25.1) |
| σStudy in Huashan | 0.234 (15.6) | 0.231 (18.0) | σStudy in Huashan | 0.362 (17.4) | 0.366 (18.8) |
| σStudy in Yonghe | 0.102 (7.72) | 0.102 (7.62) | σStudy in Yonghe | 0.209 (11.5) | 0.210 (10.5) |
| σadd | 1.41 (36.1) | 1.29 (26.0) | σadd | 2.23 (38.6) | 2.08 (68.8) |
| PK/PD Index | Cefoperazone | Sulbactam | ||
|---|---|---|---|---|
| Clinical Efficacy | Microbiological Efficacy | Clinical Efficacy | Microbiological Efficacy | |
| AUC0–24/MIC | 44.3 (90%) | 162.4 (91%) | 23.3 (94%) | 50.4 (91%) |
| Cmax/MIC | 3.29 (88%) | 13.2 (91%) | 3.46 (93%) | 5.10 (91%) |
| %T > MIC | 54.8% (88%) | 83.2% (79%) | 36.6% (94%) | 61.1% (90%) |
| PK/PD Index | Drug | Regimen | Target | Infusion Time (h) | ||||
|---|---|---|---|---|---|---|---|---|
| 0.5 | 1 | 2 | 3 | 4 | ||||
| %T > MIC | cefoperazone | 2 g q8h | 54.8% | 16 | 16 | 16 | 32 | 32 |
| sulbactam | 1 g q8h | 36.6% | 1 | 2 | 2 | 4 | 4 | |
| AUC0–24/MIC | cefoperazone | 2 g q8h | 44.3 | 16 | 16 | 16 | 16 | 16 |
| sulbactam | 1 g q8h | 23.3 | 4 | 4 | 4 | 4 | 4 | |
| Combined PK/PD Index | Clinical Efficacy | Microbiological Efficacy |
|---|---|---|
| % (T > MICcpz*T > MICsul) | 36.6% (94%) | 61.1% (90%) |
| Ln(AUC0–24/MIC)cpz*Ln(AUC0–24/MIC)sul | 14.37 (94%) | 19.75 (91%) |
| %T > MICcpz*Ln(AUC0–24/MIC)sul | 3.15 (94%) | 3.92 (91%) |
| Regimen of Cefoperazone/Sulbactam | Clinical Efficacy | Microbiological Efficacy | ||||||||
|---|---|---|---|---|---|---|---|---|---|---|
| T = 0.5 | T = 1 | T = 2 | T = 3 | T = 4 | T = 0.5 | T = 1 | T = 2 | T = 3 | T = 4 | |
| 1 g/1 g | 2 | 2 | 4 | 8 | 8 | 0.5 | 0.5 | 1 | 2 | 4 |
| 2~6 g/1 g | 2 | 4 | 4 | 8 | 8 | 0.5 | 0.5 | 1 | 2 | 4 |
| 1.5 g/1.5 g | 4 | 4 | 8 | 8 | 16 | 1 | 1 | 2 | 2 | 4 |
| 2 g/2 g | 4 | 4 | 8 | 16 | 16 | 1 | 1 | 2 | 4 | 8 |
| 2 g/3 g | 8 | 8 | 16 | 16 | 16 | 2 | 2 | 4 | 4 | 8 |
| Regimen of Cefoperazone/Sulbactam | Clinical Efficacy | Microbiological Efficacy | ||||||||
|---|---|---|---|---|---|---|---|---|---|---|
| T = 0.5 | T = 1 | T = 2 | T = 3 | T = 4 | T = 0.5 | T = 1 | T = 2 | T = 3 | T = 4 | |
| 2 g/1 g | 2 | 4 | 4 | 8 | 8 | 0.5 | 0.5 | 1 | 2 | 4 |
| 2 g/2 g | 4 | 8 | 8 | 16 | 16 | 1 | 1 | 2 | 4 | 8 |
| 2 g/3 g | 8 | 8 | 16 | 16 | 32 | 2 | 2 | 2 | 4 | 8 |
| 4~6 g/1 g | 2 | 4 | 4 | 8 | 8 | 0.5 | 0.5 | 1 | 2 | 4 |
| PK/PD Index | Type of Efficacy | Dosing Regimen of CPZ/SUL (q8h) | ||||
|---|---|---|---|---|---|---|
| 2 g/1 g | 2 g/2 g | 2 g/3 g | 4 g/1 g | 6 g/1 g | ||
| %T > MIC | Clinical efficacy | =SUL (2–8 mg/L) | =SUL (4–16 mg/L) | Close to SUL (8–32 mg/L) | =SUL (2–8 mg/L) | =SUL (2–8 mg/L) |
| Microbiological efficacy | =SUL (0.5–4 mg/L) | =SUL (1–8 mg/L) | Close to SUL (2–8 mg/L) | =SUL (0.5–4 mg/L) | =SUL (0.5–4 mg/L) | |
| AUC0–24/MIC | Clinical efficacy | =SUL (8 mg/L) | =SUL or CPZ (16 mg/L) | =SUL or CPZ (16 mg/L) | =SUL (8 mg/L) | =SUL (8 mg/L) |
| Microbiological efficacy | =SUL or CPZ (4 mg/L) | =CPZ (4 mg/L) | =CPZ (4 mg/L) | =SUL (4 mg/L) | =SUL (4 mg/L) | |
Publisher’s Note: MDPI stays neutral with regard to jurisdictional claims in published maps and institutional affiliations. |
© 2022 by the authors. Licensee MDPI, Basel, Switzerland. This article is an open access article distributed under the terms and conditions of the Creative Commons Attribution (CC BY) license (https://creativecommons.org/licenses/by/4.0/).
Share and Cite
Zhou, Y.; Zhang, J.; Chen, Y.; Wu, J.; Guo, B.; Wu, X.; Zhang, Y.; Wang, M.; Ya, R.; Huang, H. Combined PK/PD Index May Be a More Appropriate PK/PD Index for Cefoperazone/Sulbactam against Acinetobacter baumannii in Patients with Hospital-Acquired Pneumonia. Antibiotics 2022, 11, 703. https://doi.org/10.3390/antibiotics11050703
Zhou Y, Zhang J, Chen Y, Wu J, Guo B, Wu X, Zhang Y, Wang M, Ya R, Huang H. Combined PK/PD Index May Be a More Appropriate PK/PD Index for Cefoperazone/Sulbactam against Acinetobacter baumannii in Patients with Hospital-Acquired Pneumonia. Antibiotics. 2022; 11(5):703. https://doi.org/10.3390/antibiotics11050703
Chicago/Turabian StyleZhou, Yingjie, Jing Zhang, Yuancheng Chen, Jufang Wu, Beining Guo, Xiaojie Wu, Yingyuan Zhang, Minggui Wang, Ru Ya, and Hao Huang. 2022. "Combined PK/PD Index May Be a More Appropriate PK/PD Index for Cefoperazone/Sulbactam against Acinetobacter baumannii in Patients with Hospital-Acquired Pneumonia" Antibiotics 11, no. 5: 703. https://doi.org/10.3390/antibiotics11050703
APA StyleZhou, Y., Zhang, J., Chen, Y., Wu, J., Guo, B., Wu, X., Zhang, Y., Wang, M., Ya, R., & Huang, H. (2022). Combined PK/PD Index May Be a More Appropriate PK/PD Index for Cefoperazone/Sulbactam against Acinetobacter baumannii in Patients with Hospital-Acquired Pneumonia. Antibiotics, 11(5), 703. https://doi.org/10.3390/antibiotics11050703

