Comparative Analysis of the Antimicrobial Activity of Essential Oils and Their Formulated Microemulsions against Foodborne Pathogens and Spoilage Bacteria
Abstract
:1. Introduction
2. Results
2.1. Screening of EOs Antimicrobial Activity
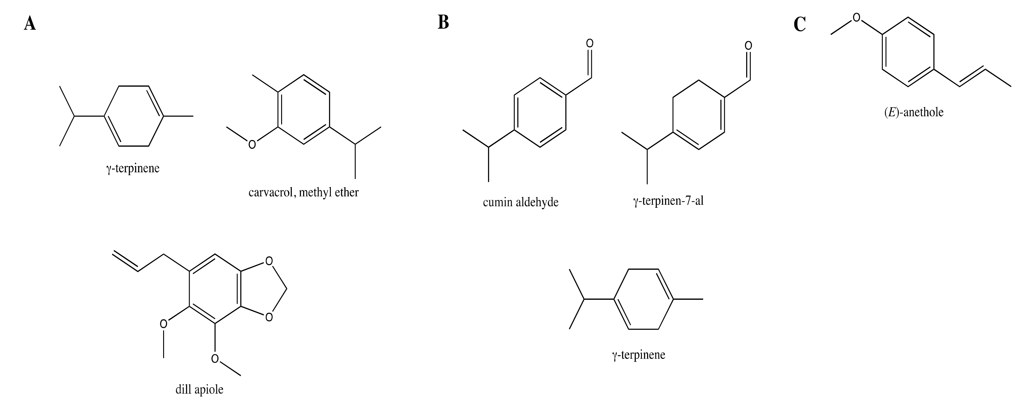
2.2. Chemical Composition of the Tested EOs
2.3. Formulation and Characterization of EO-MEs
2.4. Antimicrobial Activity of Free EOs Compared to the Formulated EO-MEs
3. Discussion
4. Materials and Methods
4.1. Plant Material and EOs Preparation
4.2. Chemical Analysis of EOs Composition
4.3. Microbial Strains, Culture Conditions, and Inoculum Preparation
4.4. Screening of EOs Antimicrobial Activity by Agar Well Diffusion Method
4.5. Microemulsion Formulation and Characterization
4.6. Comparison of the Antimicrobial Activity of EOs and Formulated EO-MEs
5. Conclusions
Supplementary Materials
Author Contributions
Funding
Institutional Review Board Statement
Informed Consent Statement
Data Availability Statement
Conflicts of Interest
References
- Seow, Y.X.; Yeo, C.R.; Chung, H.L.; Yuk, H.-G. Plant Essential Oils as Active Antimicrobial Agents. Crit. Rev. Food Sci. Nutr. 2013, 54, 625–644. [Google Scholar] [CrossRef] [PubMed]
- Dima, C.; Dima, S. Essential oils in foods: Extraction, stabilization, and toxicity. Curr. Opin. Food Sci. 2015, 5, 29–35. [Google Scholar] [CrossRef]
- Chouhan, S.; Sharma, K.; Guleria, S. Antimicrobial Activity of Some Essential Oils—Present Status and Future Perspectives. Medicines 2017, 4, 58. [Google Scholar] [CrossRef] [Green Version]
- Cecchini, C.; Silvi, S.; Cresci, A.; Piciotti, A.; Caprioli, G.; Papa, F.; Sagratini, G.; Vittori, S.; Maggi, F. Antimicrobial Efficacy of Achillea ligusticaAll. (Asteraceae) Essential Oils against Reference and Isolated Oral Microorganisms. Chem. Biodivers. 2012, 9, 12–24. [Google Scholar] [CrossRef] [PubMed]
- Gagliano Candela, R.; Maggi, F.; Lazzara, G.; Rosselli, S.; Bruno, M. The essential oil of Thymbra capitata and its application as a biocide on stone and derived surfaces. Plants 2019, 8, 300. [Google Scholar] [CrossRef] [PubMed] [Green Version]
- Merino, N.; Berdejo, D.; Bento, R.; Salman, H.; Lanz, M.; Maggi, F.; Sanchez-Gomez, S.; Garcia-Gonzalo, D.; Pagán, R. Antimicrobial efficacy of Thymbra capitata (L.) Cav. essential oil loaded in self-assembled zein nanoparticles in combination with heat. Ind. Crop. Prod. 2019, 133, 98–104. [Google Scholar] [CrossRef]
- Nazzaro, F.; Fratianni, F.; De Martino, L.; Coppola, R.; De Feo, V. Effect of Essential Oils on Pathogenic Bacteria. Pharmaceuticals 2013, 6, 1451–1474. [Google Scholar] [CrossRef]
- Orsomando, G.; Agostinelli, S.; Bramucci, M.; Cappellacci, L.; Damiano, S.; Lupidi, G.; Maggi, F.; Ngahang Kamte, S.L.; Biapa Nya, P.C.; Papa, F.; et al. Mexican sunflower (Tithonia diversifolia, Asteraceae) volatile oil as a selective inhibitor of Staphylococcus aureus nicotinate mononucleotide adenylyltransferase (NadD). Ind. Crop. Prod. 2016, 85, 181–189. [Google Scholar] [CrossRef]
- Woguem, V.; Fogang, H.P.; Maggi, F.; Tapondjou, L.A.; Womeni, H.M.; Quassinti, L.; Bramucci, M.; Vitali, L.A.; Petrelli, D.; Lupidi, G.; et al. Volatile oil from striped African pepper (Xylopia parviflora, Annonaceae) possesses notable chemopreventive, anti-inflammatory and antimicrobial potential. Food Chem. 2014, 149, 183–189. [Google Scholar] [CrossRef]
- Prakash, B.; Kedia, A.; Mishra, P.K.; Dubey, N.K. Plant essential oils as food preservatives to control moulds, mycotoxin contamination and oxidative deterioration of agri-food commodities—Potentials and challenges. Food Control 2015, 47, 381–391. [Google Scholar] [CrossRef]
- Shaaban, H.A.E.; El-Ghorab, A.H.; Shibamoto, T. Bioactivity of essential oils and their volatile aroma components: Review. J. Essent. Oil Res. 2012, 24, 203–212. [Google Scholar] [CrossRef]
- Liang, Y.Z.; Xie, P.; Chan, K. Quality control of herbal medicines. J. Chromatogr. B 2004, 812, 53–70. [Google Scholar] [CrossRef]
- Turek, C.; Stintzing, F.C. Impact of different storage conditions on the quality of selected essential oils. Food Res. Int. 2012, 46, 341–353. [Google Scholar] [CrossRef]
- Donsì, F.; Annunziata, M.; Vincensi, M.; Ferrari, G. Design of nanoemulsion-based delivery systems of natural antimicrobials: Effect of the emulsifier. J. Biotechnol. 2012, 159, 342–350. [Google Scholar] [CrossRef] [PubMed]
- Pavela, R.; Benelli, G.; Pavoni, L.; Bonacucina, G.; Cespi, M.; Cianfaglione, K.; Bajalan, I.; Morshedloo, M.R.; Lupidi, G.; Romano, D.; et al. Microemulsions for delivery of Apiaceae essential oils-Towards highly effective and eco-friendly mosquito larvicides? Ind. Crop. Prod. 2019, 129, 631–640. [Google Scholar] [CrossRef]
- Pavela, R.; Pavoni, L.; Bonacucina, G.; Cespi, M.; Cappellacci, L.; Petrelli, R.; Spinozzi, E.; Aguzzi, C.; Zeppa, L.; Ubaldi, M.; et al. Encapsulation of Carlina acaulis essential oil and carlina oxide to develop long lasting mosquito larvicides: Microemulsions vs nanoemulsions. J. Pest. Sci. 2021, 94, 899–915. [Google Scholar] [CrossRef]
- Campana, R.; Casettari, L.; Cespi, M.; Bonacucina, G.; Fagioli, L.; Baffone, W. Activity of essential oil-based microemulsions against Staphylococcus aureus biofilm developed on stainless steel surface in different culture media and growth conditions. Int. J. Food Microbiol. 2017, 241, 132–140. [Google Scholar] [CrossRef]
- Ferreira, J.; Alves, D.; Neves, O.; Silva, J.; Gibbs, P.; Teixeira, P. Effects of the components of two antimicrobial emulsions on food-borne pathogens. Food Control 2010, 21, 227–230. [Google Scholar] [CrossRef]
- Teixeira, P.C.; Leite, G.M.; Domingues, R.J.; Silva, J.; Gibbs, P.A.; Ferreira, J.P. Antimicrobial effects of a microemulsion and a nanoemulsion on enteric and other pathogens and biofilms. Int. J. Food Microbiol. 2007, 118, 15–19. [Google Scholar] [CrossRef]
- Leung, A.Y.; Foster, S. Encyclopedia of Common Natural Ingredients Used in Food, Drugs, and Cosmetics, 2nd ed.; Wiley: New York, NY, USA, 1996. [Google Scholar]
- Benelli, G.; Pavela, R.; Giordani, C.; Casettari, L.; Curzi, G.; Cappellacci, L.; Petrelli, R.; Maggi, F. Acute and sub-lethal toxicity of eight essential oils of commercial interest against the filariasis mosquito Culex quinquefasciatus and the housefly Musca domestica. Ind. Crop. Prod. 2018, 112, 668–680. [Google Scholar] [CrossRef]
- Neis, F.A.; de Costa, F.; de Araújo, A.T., Jr.; Fett, J.P.; Fett-Neto, A.G. Multiple industrial uses of non-wood pine products. Ind. Crop. Prod. 2019, 130, 248–258. [Google Scholar] [CrossRef]
- Pavela, R.; Maggi, F.; Mazzara, E.; Torresi, J.; Cianfaglione, K.; Benelli, G.; Canale, A. Prolonged sublethal effects of essential oils from non-wood parts of nine conifers on key insect pests and vectors. Ind. Crop. Prod. 2021, 168, 113590. [Google Scholar] [CrossRef]
- Benelli, G.; Pavela, R.; Petrelli, R.; Cappellacci, L.; Santini, G.; Fiorini, D.; Sut, S.; Dall’Acqua, S.; Canale, A.; Maggi, F. The essential oil from industrial hemp (Cannabis sativa L.) by-products as an effective tool for insect pest management in organic crops. Ind. Crop. Prod. 2018, 122, 308–315. [Google Scholar] [CrossRef]
- Menghini, L.; Ferrante, C.; Carradori, S.; D’Antonio, M.; Orlando, G.; Cairone, F.; Cesa, S.; Filippi, A.; Fraschetti, C.; Zengin, G.; et al. Chemical and Bioinformatics Analyses of the Anti-Leishmanial and Anti-Oxidant Activities of Hemp Essential Oil. Biomolecules 2021, 11, 272. [Google Scholar] [CrossRef] [PubMed]
- Benelli, G.; Pavela, R.; Petrelli, R.; Cappellacci, L.; Canale, A.; Senthil-Nathan, S.; Maggi, F. Not just popular spices! Essential oils from Cuminum cyminum and Pimpinella anisum are toxic to insect pests and vectors without affecting non-target invertebrates. Ind. Crop. Prod. 2018, 124, 236–243. [Google Scholar] [CrossRef]
- Benelli, G.; Pavela, R.; Petrelli, R.; Cappellacci, L.; Bartolucci, F.; Canale, A.; Maggi, F. Origanum syriacum subsp. syriacum: From an ingredient of Lebanese ‘manoushe’ to a source of effective and eco-friendly botanical insecticides. Ind. Crop. Prod. 2019, 134, 26–32. [Google Scholar] [CrossRef]
- Pavela, R.; Maggi, F.; Lupidi, G.; Cianfaglione, K.; Dauvergne, X.; Bruno, M.; Benelli, G. Efficacy of sea fennel (Crithmum maritimum L., Apiaceae) essential oils against Culex quinquefasciatus Say and Spodoptera littoralis (Boisd.). Ind. Crop. Prod. 2017, 109, 603–610. [Google Scholar] [CrossRef]
- Pavela, R.; Pavoni, L.; Bonacucina, G.; Cespi, M.; Kavallieratos, N.G.; Cappellacci, L.; Petrelli, R.; Maggi, F.; Benelli, G. Rationale for developing novel mosquito larvicides based on isofuranodiene microemulsions. J. Pest. Sci. 2019, 92, 909–921. [Google Scholar] [CrossRef]
- Pavoni, L.; Maggi, F.; Mancianti, F.; Nardoni, S.; Ebani, V.V.; Cespi, M.; Bonacucina, G.; Palmieri, G.F. Microemulsions: An effective encapsulation tool to enhance the antimicrobial activity of selected EOs. J. Drug Deliv. Sci. Technol. 2019, 53, 101101. [Google Scholar] [CrossRef]
- Donsì, F.; Ferrari, G. Essential oil nanoemulsions as antimicrobial agents in food. J. Biotechnol. 2016, 233, 106–120. [Google Scholar] [CrossRef]
- Franklyne, J.S.; Mukherjee, A.; Chandrasekaran, N. Essential oil micro- and nanoemulsions: Promising roles in antimicrobial therapy targeting human pathogens. Lett. Appl. Microbiol. 2016, 63, 322–334. [Google Scholar] [CrossRef]
- Jallali, I.; Zaouali, Y.; Missaoui, I.; Smeoui, A.; Abdelly, C.; Ksouri, R. Variability of antioxidant and antibacterial effects of essential oils and acetonic extracts of two edible halophytes: Crithmum maritimum L. and Inula crithmoїdes L. Food Chem. 2014, 145, 1031–1038. [Google Scholar] [CrossRef]
- Wongkattiya, N.; Sanguansermsri, P.; Fraser, I.H.; Sanguansermsri, D. Antibacterial activity of cuminaldehyde on food-borne pathogens, the bioactive component of essential oil from Cuminum cyminum L. collected in Thailand. J. Complement. Integr. Med. 2019, 16. [Google Scholar] [CrossRef] [PubMed]
- Bona, E.; Arrais, A.; Gema, L.; Perotti, V.; Birti, D.; Massa, N.; Novello, G.; Gamalero, E. Chemical composition and antimycotic activity of six essential oils (cumin, fennel, manuka, sweet orange, cedar and juniper) against different Candida spp. Nat. Prod. Res. 2019, 29, 4600–4605. [Google Scholar]
- Moghimi, R.; Aliahmadi, A.; McClements, D.; Rafati, H. Investigations of the effectiveness of nanoemulsions from sage oil as antibacterial agents on some food borne pathogens. LWT 2016, 71, 69–76. [Google Scholar] [CrossRef]
- Guo, L.; Fang, Y.-Q.; Liang, X.-R.; Xu, Y.-Y.; Chen, J.; Li, Y.-H.; Fang, S.; Meng, Y.-C. Influence of polysorbates (Tweens) on structural and antimicrobial properties for microemulsions. Int. J. Pharm. 2020, 590, 119939. [Google Scholar] [CrossRef]
- Maccelli, A.; Vitanza, L.; Imbriano, A.; Fraschetti, C.; Filippi, A.; Goldoni, P.; Maurizi, L.; Ammendolia, M.G.; Crestoni, M.E.; Fornarini, S.; et al. Satureja montana L. Essential Oils: Chemical Profiles/Phytochemical Screening, Antimicrobial Activity and O/W NanoEmulsion Formulations. Pharmaceutics 2019, 12, 7. [Google Scholar] [CrossRef] [PubMed] [Green Version]
- Quatrin, P.M.; Verdi, C.M.; de Souza, M.E.; de Godoi, S.N.; Klein, B.; Gundel, A.; Wagner, R.; Vaucher, R.D.A.; Ourique, A.; Santos, R.C.V. Antimicrobial and antibiofilm activities of nanoemulsions containing Eucalyptus globulus oil against Pseudomonas aeruginosa and Candida spp. Microb. Pathog. 2017, 112, 230–242. [Google Scholar] [CrossRef]
- Shaaban, H.A.; Sadek, Z.; Edris, A.E.; Saad-Hussein, A. Analysis and Antibacterial Activity of Nigella sativa Essential Oil Formulated in Microemulsion System. J. Oleo Sci. 2015, 64, 223–232. [Google Scholar] [CrossRef] [PubMed] [Green Version]
- Yazgan, H.; Ozogul, Y.; Kuley, E. Antimicrobial influence of nanoemulsified lemon essential oil and pure lemon essential oil on food-borne pathogens and fish spoilage bacteria. Int. J. Food Microbiol. 2019, 306, 108266. [Google Scholar] [CrossRef] [PubMed]
- Osanloo, M.; Abdollahi, A.; Valizadeh, A.; Abedinpour, N. Antibacterial potential of essential oils of Zataria multiflora and Mentha piperita, micro- and nano-formulated forms. Iran. J. Microbiol. 2020, 1, 43–51. [Google Scholar] [CrossRef]
- Anwer, K.; Jamil, S.; Ibnouf, E.O.; Shakeel, F. Enhanced Antibacterial Effects of Clove Essential Oil by Nanoemulsion. J. Oleo Sci. 2014, 63, 347–354. [Google Scholar] [CrossRef] [PubMed] [Green Version]
- Hyldgaard, M.; Mygind, T.; Meyer, R.L. Essential Oils in Food Preservation: Mode of Action, Synergies, and Interactions with Food Matrix Components. Front. Microbiol. 2012, 3, 12. [Google Scholar] [CrossRef] [PubMed] [Green Version]
- Saad, N.Y.; Muller, C.D.; Lobstein, A. Major bioactivities and mechanism of action of essential oils and their components. Flavour Fragr. J. 2013, 28, 269–279. [Google Scholar] [CrossRef]
- Iacobellis, N.S.; Cantore, P.L.; Capasso, .A.F.; Senatore§, F. Antibacterial Activity of Cuminum cyminum L. and Carum carvi L. Essential Oils. J. Agric. Food Chem. 2004, 53, 57–61. [Google Scholar] [CrossRef]
- Petretto, G.L.; Fancello, F.; Bakhy, K.; Faiz, C.; Sibawayh, Z.; Chessa, M.; Zara, S.; Sanna, M.; Maldini, M.; Rourke, J.; et al. Chemical composition and antimicrobial activity of essential oils from Cuminum cyminum L. collected in different areas of Morocco. Food Biosci. 2018, 22, 50–58. [Google Scholar] [CrossRef] [Green Version]
- Wanner, J.; Bail, S.; Jirovetz, L.; Buchbauer, G.; Schmidt, E.; Gochev, V.; Girova, T.; Atanasova, T.; Stoyanova, A. Chemical composition and antimicrobial activity of cumin oil (Cuminum cyminum, Apiaceae). Nat. Prod. Commun. 2010, 5, 1355–1358. [Google Scholar] [CrossRef] [Green Version]
- Al Hafi, M.; El Beyrouthy, M.; Ouaini, N.; Stien, D.; Rutledge, D.; Chaillou, S. Chemical composition and antimicrobial activity of Origanum libanoticum, Origanum ehrenbergii, and Origanum syriacum growing wild in Lebanon. Chem. Bio-Divers. 2016, 13, 555–560. [Google Scholar]
- Houta, O.; Akrout, A.; Najja, H.; Neffati, M.; Amri, H. Chemical composition, antioxidant and antimicrobial activities of essential oil from Crithmum maritimum cultivated in Tunisia. J. Essent. Oil-Bear Plants 2013, 18, 1459–1466. [Google Scholar] [CrossRef]
- Gaysinsky, S.; Taylor, T.; Davidson, P.M.; Bruce, B.D.; Weiss, J. Antimicrobial Efficacy of Eugenol Microemulsions in Milk against Listeria monocytogenes and Escherichia coli O157:H7. J. Food Prot. 2007, 70, 2631–2637. [Google Scholar] [CrossRef]
- Chang, Y.; McLandsborough, L.; McClements, D.J. Physical properties and antimicrobial efficacy of thyme oil nanoemulsions: Influence of ripening inhibitors. J. Agric. Food Chem. 2012, 60, 12056–12063. [Google Scholar] [CrossRef] [PubMed]
- Ziani, K.; Chang, Y.; McLandsborough, L.; McClements, D.J. Influence of Surfactant Charge on Antimicrobial Efficacy of Surfactant-Stabilized Thyme Oil Nanoemulsions. J. Agric. Food Chem. 2011, 59, 6247–6255. [Google Scholar] [CrossRef] [PubMed]
- Xue, J.; Davidson, P.M.; Zhong, Q. Antimicrobial activity of thyme oil co-nanoemulsified with sodium caseinate and lecithin. Int. J. Food Microbiol. 2015, 210, 1–8. [Google Scholar] [CrossRef] [PubMed]
- Van den Dool, H.; Kratz, P.D. A generalization of the retention index system including linear temperature programmed gas—liquid partition chromatography. J. Chromatogr. A 1963, 11, 463–471. [Google Scholar] [CrossRef]
- Adams, R. Identification of Essential Oil Components by Gas Chromatography/Mass Spectrometry, 4th ed.; Allured Publishing Corp.: Carol Stream, IL, USA, 2007. [Google Scholar]
- NIST 17; Mass Spectral Library (NIST/EPA/NIH). National Institute of Standards and Technology: Gaithersburg, MD, USA, 2017.
- Mondello, L. FFNSC 3. Mass Spectra of Flavors and Fragrances of Natural and Synthetic Compounds, 3rd ed.; John Wiley & Sons, Inc.: Hoboken, NJ, USA, 2015. [Google Scholar]
- Clinical and Laboratory Standards Institute (CLSI). M07-A10: Methods for Dilution Antimicrobial Susceptibility Tests for Bacteria That Grow Aerobically, 10th ed.; Clinical and Laboratory Standards Institute: Wayne, PA, USA, 2017; p. 66. [Google Scholar]
- Kasaian, J.; Asili, J.; Iranshahi, M. Sulphur-containing compounds in the essential oil of Ferula alliacea roots and their mass spectral fragmentation patterns. In Pharm. Biol.; 2016; Volume 54, pp. 2264–2268. [Google Scholar]



| EOs (10% v/v) | E. coli ATCC 35218 | L. monocytogenes ATCC 7644 | S. aureus ATCC 29213 | P. fluorescens DSM 4358 | C. albicans ATCC 10231 |
|---|---|---|---|---|---|
| C. sativa | 0 | 10 ± 0.5 | 0 | 0 | 25 ± 1.2 |
| C. carvi | 0 | 0 | 8 ± 0.4 | 8 ± 0.2 | 0 |
| C. maritimum | 10 ± 0.5 | 10 ± 0.6 | 13 ± 0.4 | 10 ± 1.2 | 25 ± 1.5 |
| C. cyminum | 12 ± 1.0 | 11 ± 2.1 | 15 ± 1.4 | 12 ± 1.4 | 25 ± 1.5 |
| C. leylandii | 10 ± 0.1 | 10 ± 0.2 | 10 ± 0.4 | 9 ± 0.2 | 0 |
| C. arizonica | 9 ± 1.4 | 9 ± 0.1 | 10 ± 0.4 | 8 ± 0.2 | 8 ± 0.4 |
| F. assa-foetida | 10 ± 0.6 | 8 ± 0.2 | 11 ± 0.4 | 0 | 9 ± 0.5 |
| F. gummosa | 0 | 8 ± 0.1 | 11 ± 0.4 | 10 ± 0.4 | 10 ± 0.3 |
| J. communis | 0 | 9 ± 0.4 | 10 ± 0.6 | 7 ± 0.5 | 8 ± 0.6 |
| J. pfitzeriana | 0 | 8 ± 0.5 | 9 ± 0.1 | 10 ± 0.2 | 7 ± 0.2 |
| P. anisum | 10 ± 0.4 | 13 ± 0.2 | 12 ± 1.1 | 10 ± 0.5 | 11 ± 1.4 |
| PEG:ethanol 50% | 0 | 0 | 0 | 0 | 0 |
| Ciprofloxacin 5 µg | >30 | 27 ± 2.1 | >30 | >30 | - |
| Gentamicin 10 µg | 24 ± 1.7 | >30 | 26 ± 1.8 | 26 ± 0.9 | - |
| Fluconazole 25 µg | - | - | - | - | 12 ± 1.5 |
| Fluconazole 50 µg | - | - | - | - | 25 ± 2.2 |
| Sample | Size Peak 1 (nm) | Size Peak 2 (nm) |
|---|---|---|
| C. maritimum-ME | 43 | 450 |
| C. cyminum-ME | 49 | 246 |
| P. anisum-ME | 47 | 315 |
| E. coli ATCC 35218 | L. monocytogenes ATCC 7644 | S. aureus ATCC 29213 | P. fluorescens DSM 4358 | C. albicans ATCC 10231 | |||||||||||
|---|---|---|---|---|---|---|---|---|---|---|---|---|---|---|---|
| MIC | MBC | MBC/MIC | MIC | MBC | MBC/MIC | MIC | MBC | MBC/MIC | MIC | MBC | MBC/MIC | MIC | MBC | MBC/MIC | |
| C. maritimum: | |||||||||||||||
| EO | 2.5 | >5 | nd | 1.25 | >5 | nd | 1.25 | >5 | nd | 1.25 | 5 | 4 | 1.25 | 5 | 4 |
| ME | 1.25 | 2.5 | 2 | 1.25 | 2.5 | 2 | 1.25 | 2.5 | 2 | 0.312 | 1.25 | 4 | 0.312 | 1.25 | 4 |
| Fold-reduction | 2 | nd | - | nd | - | nd | 4 | 4 | 4 | 4 | |||||
| C. cyminum: | |||||||||||||||
| EO | 0.625 | 2.5 | 4 | 0.625 | 2.5 | 4 | 1.25 | 2.5 | 2 | 0.625 | 1.25 | 2 | 0.625 | 5 | 8 |
| ME | 0.312 | 0.312 | 1 | 0.312 | 0.312 | 1 | 0.156 | 0.312 | 2 | 0.312 | 0.312 | 1 | 0.312 | 0.625 | 2 |
| Fold-reduction | 2 | 8 | 2 | 8 | 8 | 8 | 2 | 4 | 2 | 8 | |||||
| P. anisum: | |||||||||||||||
| EO | 2.5 | >5 | nd | 2.5 | >5 | nd | 2.5 | >5 | nd | 1.25 | >5 | nd | 1.25 | >5 | nd |
| ME | 1.25 | 2.5 | 2 | 1.25 | 2.5 | 2 | 1.25 | 2.5 | 2 | 0.312 | 1.25 | 4 | 0.312 | 2.5 | 8 |
| Fold-reduction | 2 | nd | 2 | nd | 2 | nd | 4 | nd | 4 | nd | |||||
| Plant Species | Abbreviation | Family | Part Used | Origin and Status | Collection Site and Year | Oil Yield (%, w/w) |
|---|---|---|---|---|---|---|
| Cannabis sativa L. cv CS | C. sativa | Cannabaceae | Female inflorescences | Italy, cultivated | Fiuminata (Italy), 2018 | 0.3 |
| Carum carvi L. | C. carvi | Apiaceae | Fruits (schizocarps) | Pakistan, commercial sample (Hemani International KEPZ) | Kafarkila (Lebanon), 2018 | nr |
| Crithmum maritimum L. | C. maritimum | Apiaceae | Flowering aerial parts | France, wild | Le Conquet (Bretagne), 2018 | 0.8 |
| Cuminum cyminum L. | C. cyminum | Apiaceae | Fruits (schizocarps) | Syria, cultivated | Syria, 2018 | 3.2 |
| x Cupressocyparis leylandii A.B.Jacks. & Dallim. | C. leylandii | Cupressaceae | Green twigs | Italy, cultivated | Pratola Peligna (Italy), 2018 | 1.0 |
| Cupressus arizonica Greene | C. arizonica | Cupressaceae | Green twigs | Italy, wild | Pratola Peligna (Italy), 2016 | 0.6 |
| Ferula assa-foetida L. | F. assa-foetida | Apiaceae | Oleo-gum-resin | Iran, wild | Kohsorkh, 2019 | 8.9 |
| Ferula gummosa Boiss. | F. gummosa | Apiaceae | Oleo-gum-resin | Iran, wild | Kohsorkh, 2019 | 13.7 |
| Juniperus communis L. | J. communis | Cupressaceae | Green twigs | Italy, wild | Sulmona (Italy), 2018 | 0.6 |
| Juniperus x pfitzeriana (Späth) P.A.Schmidt | J. pfitzeriana | Cupressaceae | Green twigs | Italy, cultivated | Sulmona (Italy), 2018 | 2.0 |
| Pimpinella anisum L. | P. anisum | Apiaceae | Fruits (schizocarps) | Italy, cultivated | Castignano (Italy), 2017 | 2.4 |
Publisher’s Note: MDPI stays neutral with regard to jurisdictional claims in published maps and institutional affiliations. |
© 2022 by the authors. Licensee MDPI, Basel, Switzerland. This article is an open access article distributed under the terms and conditions of the Creative Commons Attribution (CC BY) license (https://creativecommons.org/licenses/by/4.0/).
Share and Cite
Campana, R.; Tiboni, M.; Maggi, F.; Cappellacci, L.; Cianfaglione, K.; Morshedloo, M.R.; Frangipani, E.; Casettari, L. Comparative Analysis of the Antimicrobial Activity of Essential Oils and Their Formulated Microemulsions against Foodborne Pathogens and Spoilage Bacteria. Antibiotics 2022, 11, 447. https://doi.org/10.3390/antibiotics11040447
Campana R, Tiboni M, Maggi F, Cappellacci L, Cianfaglione K, Morshedloo MR, Frangipani E, Casettari L. Comparative Analysis of the Antimicrobial Activity of Essential Oils and Their Formulated Microemulsions against Foodborne Pathogens and Spoilage Bacteria. Antibiotics. 2022; 11(4):447. https://doi.org/10.3390/antibiotics11040447
Chicago/Turabian StyleCampana, Raffaella, Mattia Tiboni, Filippo Maggi, Loredana Cappellacci, Kevin Cianfaglione, Mohammad Reza Morshedloo, Emanuela Frangipani, and Luca Casettari. 2022. "Comparative Analysis of the Antimicrobial Activity of Essential Oils and Their Formulated Microemulsions against Foodborne Pathogens and Spoilage Bacteria" Antibiotics 11, no. 4: 447. https://doi.org/10.3390/antibiotics11040447
APA StyleCampana, R., Tiboni, M., Maggi, F., Cappellacci, L., Cianfaglione, K., Morshedloo, M. R., Frangipani, E., & Casettari, L. (2022). Comparative Analysis of the Antimicrobial Activity of Essential Oils and Their Formulated Microemulsions against Foodborne Pathogens and Spoilage Bacteria. Antibiotics, 11(4), 447. https://doi.org/10.3390/antibiotics11040447

