Bi/mZVI Combined with Citric Acid and Sodium Citrate to Mineralize Multiple Sulfa Antibiotics: Performance and Mechanism
Abstract
:1. Introduction
2. Results and Discussion
2.1. Characterization
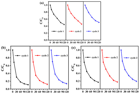
2.2. The Oxidative Degradation of SAs
2.3. The Proposed Pathway of SAs Mineralization
3. Materials and Methods
3.1. Chemicals
3.2. Particle Preparation
3.3. Characterization Analysis
3.4. Degradation Procedure
3.5. Analytic Methods
4. Conclusions
Supplementary Materials
Author Contributions
Funding
Informed Consent Statement
Data Availability Statement
Acknowledgments
Conflicts of Interest
References
- Song, C.; Li, L.; Zhang, C.; Kamira, B.; Qiu, L.; Fan, L.; Wu, W.; Meng, S.; Hu, G.; Chen, J. Occurrence and human dietary assessment of sulfonamide antibiotics in cultured fish around Tai Lake, China. Environ. Sci. Pollut. Res. 2017, 24, 17493–17499. [Google Scholar] [CrossRef]
- Wang, J.; Wang, Z.; Cheng, Y.; Cao, L.; Bai, F.; Yue, S.; Xie, P.; Ma, J. Molybdenum disulfide (MoS2): A novel activator of peracetic acid for the degradation of sulfonamide antibiotics. Water Res. 2021, 201, 117291. [Google Scholar] [CrossRef]
- Hang, J.; Yi, X.; Wang, C.; Fu, H.; Wang, P.; Zhao, Y. Heterogeneous photo-Fenton degradation toward sulfonamide matrix over magnetic Fe3S4 derived from MIL-100 (Fe). J. Hazard. Mater. 2020, 424, 127415. [Google Scholar] [CrossRef] [PubMed]
- Yu, X.; Zhang, J.; Zhang, J.; Niu, J.; Zhao, J.; Wei, Y.; Yao, B. Photocatalytic degradation of ciprofloxacin using Zn-doped Cu2O particles: Analysis of degradation pathways and intermediates, discharge plasma technology for wastewater remediation. Chem. Eng. J. 2019, 374, 316–327. [Google Scholar] [CrossRef]
- Hu, J.; Li, X.; Liu, F.; Fu, W.; Lin, L.; Li, B. Comparison of chemical and biological degradation of sulfonamides: Solving the mystery of sulfonamide transformation. J. Hazard. Mater. 2021, 424, 127661. [Google Scholar] [CrossRef] [PubMed]
- Liu, L.; Chen, Z.; Zhang, J.; Shan, D.; Wu, Y.; Bai, L.; Wang, B. Treatment of industrial dye wastewater and pharmaceutical residue wastewater by advanced oxidation processes and its combination with nanocatalysts: A review. J. Water Process. Eng. 2021, 42, 102122. [Google Scholar] [CrossRef]
- Ren, Y.; Ma, J.; Lee, Y.; Han, Z.; Cui, M.; Wang, B.; Long, M.; Khim, J. Reaction of activated carbon zero-valent iron with pentachlorophenol under anaerobic conditions. J. Clean. Prod. 2021, 297, 126748. [Google Scholar] [CrossRef]
- Han, Y.; Ghoshal, S.; Lowry, G.; Chen, J. A comparison of the effects of natural organic matter on sulfidated and nonsulfidated nanoscale zero-valent iron colloidal stability, toxicity, and reactivity to trichloroethylene. Sci. Total Environ. 2019, 671, 254–261. [Google Scholar] [CrossRef] [PubMed]
- Lou, Y.; Cai, Y.; Tong, Y.; Hsieh, L.; Li, X.; Xu, W.; Shi, K.; Shen, C.; Xu, X.; Lou, L. Interaction between pollutants during the removal of polychlorinated biphenyl-heavy metal combined pollution by modified nanoscale zero-valent iron. Sci. Total Environ. 2019, 673, 120–127. [Google Scholar] [CrossRef] [PubMed]
- Wu, Y.; Guan, C.; Griswold, N.; Hou, L.; Fang, X.; Hu, A.; Hu, Z.; Yu, C. Zero-valent iron-based technologies for removal of heavy metal(loid)s and organic pollutants from the aquatic environment: Recent advances and perspectives. J. Clean. Prod. 2020, 277, 123478. [Google Scholar] [CrossRef]
- Shao, Y.; Zhao, P.; Yue, Q.; Wu, Y.; Gao, B.; Kong, W. Preparation of wheat straw-supported Nanoscale Zero-Valent Iron and its removal performance on ciprofloxacin. Ecotoxicol. Environ. Saf. 2018, 158, 100–107. [Google Scholar] [CrossRef]
- Shih, Y.; Hsia, K.; Chen, C.; Chen, C.; Dong, C. Characteristics of trichloroethene (TCE) dechlorination in seawater over a granulated zero-valent iron. Chemosphere 2019, 216, 40–47. [Google Scholar] [CrossRef]
- He, P.P.; He, C.S.; Liu, Q.; Mu, Y. Dehalogenation of diatrizoate using nanoscale zero-valent iron: Impacts of various parameters and assessment of aerobic biological post-treatment. RSC Adv. 2017, 7, 27214–27223. [Google Scholar] [CrossRef] [Green Version]
- Fu, F.; Dionysiou, D.; Liu, H. The use of zero-valent iron for groundwater remediation and wastewater treatment: A review. J. Hazard. Mater. 2014, 267, 194–205. [Google Scholar] [CrossRef]
- Huang, X.; Hou, X.; Jia, F.; Song, F.; Zhao, J.; Zhang, L. Ascorbate-promoted surface iron cycle for efficient heterogeneous Fenton alachlor degradation with hematite nanocrystals. ACS Appl. Mater. Interfaces 2017, 9, 8751–8758. [Google Scholar] [CrossRef]
- Zhou, S.; Yu, Y.; Sun, J.; Zhu, S.; Deng, J. Oxidation of mcrocystin-LR by copper(II) coupled with ascorbic acid: Kinetic modeling towards generation of H2O2. Chem. Eng. J. 2018, 333, 443–450. [Google Scholar] [CrossRef]
- Shi, J.; Ai, Z.; Zhang, L. Fe@Fe2O3 core-shell nanowires enhanced Fenton oxidation by accelerating the Fe(III)/Fe(II) cycles. Water Res. 2014, 59, 145–153. [Google Scholar] [CrossRef]
- Pan, Y.; Zhou, M.; Wang, Q.; Cai, J.; Tian, Y.; Zhang, Y. EDTA, oxalate, and phosphate ions enhanced reactive oxygen species generation and sulfamethazine removal by zero-valent iron. J. Hazard. Mater. 2020, 391, 122210. [Google Scholar] [CrossRef] [PubMed]
- Huang, M.; Zhou, T.; Wu, X.; Mao, J. Distinguishing homogeneous-heterogeneous degradation of norfloxacin in a photochemical Fenton-like system (Fe3O4/UV/oxalate) and the interfacial reaction mechanism. Water Res. 2017, 119, 47–56. [Google Scholar] [CrossRef] [PubMed]
- Wang, F.; Wu, Y.; Gao, Y.; Li, H.; Chen, Z. Effect of humic acid, oxalate and phosphate on Fenton-like oxidation of microcystin-LR by nanoscale zero-valent iron. Sep. Purif. Technol. 2016, 170, 337–343. [Google Scholar] [CrossRef]
- Keenan, C.; Sedlak, D. Factors affecting the yield of oxidants from the reaction of nanoparticulate zero-valent iron and oxygen. Environ. Sci. Technol. 2008, 42, 1262–1267. [Google Scholar] [CrossRef] [PubMed]
- Adel, A.; Alalm, M.; El-Etriby, H.; Boffito, D. Optimization and mechanism insights into the sulfamethazine degradation by bimetallic ZVI/Cu nanoparticles coupled with H2O2. J. Environ. Chem. Eng. 2020, 8, 104341. [Google Scholar] [CrossRef]
- Ruan, X.; Liu, H.; Ning, X.; Zhao, D.; Fan, X. Screening for the action mechanisms of Fe and Ni in the reduction of Cr(VI) by Fe/Ni nanoparticles. Sci. Total Environ. 2020, 715, 136822. [Google Scholar] [CrossRef]
- Zhu, X.; Zhou, L.; Li, Y.; Han, B.; Feng, Q. Rapid Degradation of Carbon Tetrachloride by Microscale Ag/Fe Bimetallic Particles. Int. J. Environ. Res. 2021, 18, 2124. [Google Scholar] [CrossRef] [PubMed]
- Cong, Y.; Ji, Y.; Ge, Y.; Jin, H.; Zhang, Y.; Wang, Q. Fabrication of 3D Bi2O3-BiOI heterojunction by a simple dipping method: Highly enhanced visible-light photoelectrocatalytic activity. Chem. Eng. J. 2017, 307, 572–582. [Google Scholar] [CrossRef] [Green Version]
- Gong, J.; Lee, C.; Chang, Y.; Chang, Y. Novel self-assembled bimetallic structure of Bi/Fe0: The oxidative and reductive degradation of hexahydro-1,3,5-trinitro-1,3,5-triazine (RDX). J. Hazard. Mater. 2015, 286, 107–117. [Google Scholar] [CrossRef]
- Xu, Y.; Zeng, L.; Li, L.; Chang, Y.; Gong, J. Enhanced oxidative activity of zero-valent iron by citric acid complexation. Chem. Eng. J. 2019, 373, 891–901. [Google Scholar] [CrossRef]
- Zhang, H.; Su, X.; Sun, B.; Xu, Y.; Gong, J. Citrate iron complex induced dramatically enhanced oxidation of atrazine with bimetallic Bi/Fe0: Reactivity, oxidation and mechanism. Chemosphere 2021, 282, 131100. [Google Scholar] [CrossRef]
- Xin, J.; Tang, F.; Zheng, X.; Shao, H.; Kolditz, O.; Lu, X. Distinct kinetics and mechanisms of mZVI particles aging in saline and fresh groundwater: H2 evolution and surface passivation. Water Res. 2016, 100, 80–87. [Google Scholar] [CrossRef] [PubMed]
- Dong, F.; Li, C.; He, G.; Chen, X.; Mao, X. Kinetics and degradation pathway of sulfamethazine chlorination in pilot-scale water distribution systems. Chem. Eng. J. 2017, 321, 521–532. [Google Scholar] [CrossRef]
- Wen, X.; Lu, Q.; Lv, X.; Sun, J.; Guo, J.; Fei, Z.; Niu, C. Photocatalytic degradation of sulfamethazine using a direct Z-Scheme AgI/Bi4V2O11 photocatalyst: Mineralization activity, degradation pathways and promoted charge separation mechanism. J. Hazard. Mater. 2020, 385, 121508. [Google Scholar] [CrossRef] [PubMed]
- Wu, J.; Wang, B.; Blaney, L.; Peng, G.; Chen, P.; Cui, Y.; Deng, S.; Wang, Y.; Huang, J.; Yu, G. Degradation of sulfamethazine by persulfate activated with organo-montmorillonite supported nano-zero-valent iron. Chem. Eng. J. 2019, 361, 99–108. [Google Scholar] [CrossRef]
- Xie, Y.; Wan, J.; Yan, Z.; Wang, Y.; Xiao, T.; Hou, J.; Chen, H. Targeted degradation of sulfamethoxazole in wastewater by molecularly imprinted MOFs in advanced oxidation processes: Degradation pathways and mechanism. Chem. Eng. J. 2022, 429, 132237. [Google Scholar] [CrossRef]
- Du, J.; Guo, W.; Wang, H.; Yin, R.; Zheng, H.; Feng, X.; Che, D.; Ren, N. Hydroxyl radical dominated degradation of aquatic sulfamethoxazole by Fe0/bisulfite/O2: Kinetics, mechanisms, and pathways. Water Res. 2018, 138, 323–332. [Google Scholar] [CrossRef] [PubMed]
- Zhang, T.; Cai, L.; Xu, B.; Li, X.; Qiu, W.; Fu, C.; Zheng, C. Sulfadiazine biodegradation by Phanerochaete chrysosporium: Mechanism and degradation product identification. Chemosphere 2019, 237, 124418. [Google Scholar] [CrossRef] [PubMed]







Publisher’s Note: MDPI stays neutral with regard to jurisdictional claims in published maps and institutional affiliations. |
© 2022 by the authors. Licensee MDPI, Basel, Switzerland. This article is an open access article distributed under the terms and conditions of the Creative Commons Attribution (CC BY) license (https://creativecommons.org/licenses/by/4.0/).
Share and Cite
Su, X.; Lv, H.; Gong, J.; Zhou, M. Bi/mZVI Combined with Citric Acid and Sodium Citrate to Mineralize Multiple Sulfa Antibiotics: Performance and Mechanism. Antibiotics 2022, 11, 51. https://doi.org/10.3390/antibiotics11010051
Su X, Lv H, Gong J, Zhou M. Bi/mZVI Combined with Citric Acid and Sodium Citrate to Mineralize Multiple Sulfa Antibiotics: Performance and Mechanism. Antibiotics. 2022; 11(1):51. https://doi.org/10.3390/antibiotics11010051
Chicago/Turabian StyleSu, Xiaoming, Hao Lv, Jianyu Gong, and Man Zhou. 2022. "Bi/mZVI Combined with Citric Acid and Sodium Citrate to Mineralize Multiple Sulfa Antibiotics: Performance and Mechanism" Antibiotics 11, no. 1: 51. https://doi.org/10.3390/antibiotics11010051
APA StyleSu, X., Lv, H., Gong, J., & Zhou, M. (2022). Bi/mZVI Combined with Citric Acid and Sodium Citrate to Mineralize Multiple Sulfa Antibiotics: Performance and Mechanism. Antibiotics, 11(1), 51. https://doi.org/10.3390/antibiotics11010051
