Peroxynitrous Acid Generated In Situ from Acidified H2O2 and NaNO2. A Suitable Novel Antimicrobial Agent?
Abstract
1. Introduction
2. Materials and Methods
2.1. Microorganisms and Culture Conditions
2.2. Suspension Tests with Various pH and H2O2/NO2− Concentrations
- 220 µL of CASO broth and 100 µL of E. coli stock suspension (1:100 dilution) were transferred to 1.5 mL Eppendorf cups.
- In a further Eppendorf cup, 390 µL of a NaNO2 solution was prepared and 390 µL of phosphate-citrate buffer solution (see section below) containing H2O2 was added.
- After 30 s of waiting, the mixture was added to the cup containing E. coli as prepared in step 1.
- The bacteria solution was exposed to ONOOH generated from NaNO2 and H2O2 for an exposure time of approximately 15 to 20 s.
- 50 µL of the solution were plated in logarithmic order on agar plates (Eddyjet 2, I&L Biosystems GmbH, Königswinter, Germany).
2.3. Evaluation of Efficacy Parameter
2.4. Ames Test
3. Results and Discussion
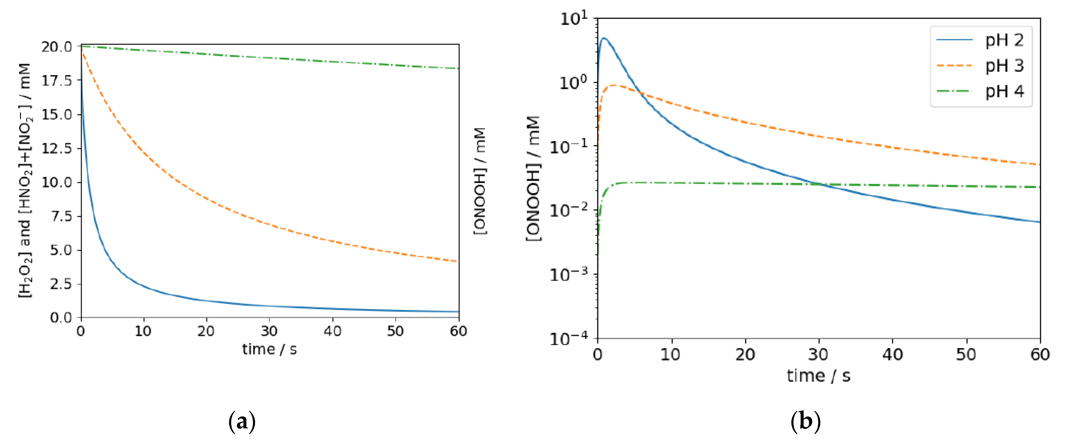
3.1. Suspension Tests with Various pH and H2O2/NO2− Concentrations
3.2. AMES Test
4. Conclusions
Author Contributions
Funding
Conflicts of Interest
References
- WHO. Guidelines on Hand Hygiene in Health Care: A Summary; World Health Care Organization: Genf, Switzerland, 2009. [Google Scholar]
- des Robert Koch-Instituts, B. Vorwort zur Liste der vom Robert Koch-Institut geprüften und anerkannten Desinfektionsmittel und-verfahren. Bundesgesundheitsblatt–Gesundh. Gesundh. 2003, 46, 72–95. [Google Scholar]
- Jabbar, U.; Leischner, J.; Kasper, D.; Gerber, R.; Sambol, S.P.; Parada, J.P.; Johnson, S.; Gerding, D.N. Effectiveness of Alcohol-Based Hand Rubs for Removal of Clostridium difficile Spores from Hands. Infect. Control Hosp. Epidemiol. 2010, 31, 565–570. [Google Scholar] [CrossRef]
- Tello, A.; Austin, B.; Telfer, T. Selective Pressure of Antibiotic Pollution on Bacteria of Importance to Public Health. Environ. Health Perspect. 2012, 120, 1100–1106. [Google Scholar] [CrossRef] [PubMed]
- Naïtali, M.; Herry, J.-M.; Hnatiuc, E.; Kamgang, G.; Brisset, J.-L. Kinetics and Bacterial Inactivation Induced by Peroxynitrite in Electric Discharges in Air. Plasma Chem. Plasma Process. 2012, 32, 675–692. [Google Scholar] [CrossRef]
- Pacher, P.; Beckman, J.S.; Liaudet, L. Nitric Oxide and Peroxynitrite in Health and Disease. Physiol. Rev. 2007, 87, 315–424. [Google Scholar] [CrossRef]
- Szabó, C.; Ischiropoulos, H.; Radi, R. Peroxynitrite: Biochemistry, pathophysiology and development of therapeutics. Nat. Rev. Drug Discov. 2007, 6, 662–680. [Google Scholar] [CrossRef]
- Alvarez, M.N.; Peluffo, G.; Piacenza, L.; Radi, R. Intraphagosomal peroxynitrite as a macrophage-derived cytotoxin against in-ternalized Trypanosoma cruzi: Consequences for oxidative killing and role of microbial peroxiredoxins in infectivity. J. Biol. Chem. 2011, 286, 6627–6640. [Google Scholar] [CrossRef]
- Vione, D.; Maurino, V.; Minero, C.; Borghesi, D.; Lucchiari, M.; Pelizzetti, E. New Processes in the Environmental Chemistry of Nitrite. 2. The Role of Hydrogen Peroxide. Environ. Sci. Technol. 2003, 37, 4635–4641. [Google Scholar] [CrossRef]
- Islam, B.U.; Habib, S.; Ahmad, P.; Allarakha, S.; Ali, A. Pathophysiological Role of Peroxynitrite Induced DNA Dam-age in Human Diseases: A Special Focus on Poly(ADP-ribose) Polymerase (PARP). Indian J. Clin. Biochem. 2015, 30, 368–385. [Google Scholar] [CrossRef]
- Koppenol, W.H. The chemistry of peroxynitrite, a biological toxin. Química Nova 1998, 21, 326–331. [Google Scholar] [CrossRef][Green Version]
- Molina, C.; Kissner, R.; Koppenol, W.H. Decomposition kinetics of peroxynitrite: Influence of pH and buffer. Dalton Trans. 2013, 42, 9898. [Google Scholar] [CrossRef]
- Reddi, B.A. Why Is Saline So Acidic (and Does It Really Matter?). Int. J. Med. Sci. 2013, 10, 747–750. [Google Scholar] [CrossRef]
- Brissett, J.H.E. Peroxynitrite: A Re-examination of the Chemical Properties of Non-thermal Discharges Burning in Air Over Aqueous Solutions. Plasma Chem. Plasma Process. 2012, 32, 655–674. [Google Scholar] [CrossRef]
- Lymar, S.V.; Hurst, J.K. Carbon Dioxide: Physiological Catalyst for Peroxynitrite-Mediated Cellular Damage or Cellular Protectant? Chem. Res. Toxicol. 1996, 9, 845–850. [Google Scholar] [CrossRef]
- Jiang, G.; Yuan, Z. Synergistic inactivation of anaerobic wastewater biofilm by free nitrous acid and hydrogen peroxide. J. Hazard. Mater. 2013, 250–251, 91–98. [Google Scholar] [CrossRef]
- Heaselgrave, W.; Andrew, P.W.; Kilvington, S. Acidified nitrite enhances hydrogen peroxide disinfection of Acanthamoeba, bacteria and fungi. J. Antimicrob. Chemother. 2010, 65, 1207–1214. [Google Scholar] [CrossRef]
- Szabo, J.G.; Adcock, N.J.; Rice, E.W. Disinfection of Bacillus spores with acidified nitrite. Chemosphere 2014, 113, 171–174. [Google Scholar] [CrossRef]
- Lukes, P.; Dolezalova, E.; Sisrova, I.; Clupek, M. Aqueous-phase chemistry and bactericidal effects from an air discharge plasma in contact with water: Evidence for the formation of peroxynitrite through a pseudo-second-order post-discharge reaction of H2O2and HNO2. Plasma Sources Sci. Technol. 2014, 23, 015019. [Google Scholar] [CrossRef]
- Oehmigen, K.; Hähnel, M.; Brandenburg, R.; Wilke, C.; Weltmann, K.D.; von Woedtke, T. The Role of Acidification for Antimicro-bial Activity of Atmospheric Pressure Plasma in Liquids. Plasma Process. Polym. 2010, 7, 250–257. [Google Scholar] [CrossRef]
- Tarabová, B.; Lukeš, P.; Hammer, M.U.; Jablonowski, H.; von Woedtke, T.; Reuter, S.; Machala, Z. Fluorescence measurements of peroxy-nitrite/peroxynitrous acid in cold air plasma treated aqueous solutions. Phys. Chem. Chem. Phys. 2019, 21, 8883–8896. [Google Scholar] [CrossRef]
- Machala, Z.; Tarabova, B.; Hensel, K.; Spetlikova, E.; Sikurova, L.; Lukes, P. Formation of ROS and RNS in Water Electro-Sprayed through Transient Spark Discharge in Air and their Bactericidal Effects. Plasma Process. Polym. 2013, 10, 649–659. [Google Scholar] [CrossRef]
- Burney, S.; Caulfield, J.L.; Niles, J.C.; Wishnok, J.S.; Tannenbaum, S.R. The chemistry of DNA damage from nitric oxide and perox-ynitrite. Mutat Res. 1999, 424, 37–49. [Google Scholar] [CrossRef]
- Ferrer-Sueta, G.; Radi, R. Chemical Biology of Peroxynitrite: Kinetics, Diffusion, and Radicals. ACS Chem. Biol. 2009, 4, 161–177. [Google Scholar] [CrossRef]
- Juedes, M.J.; Wogan, G.N. Peroxynitrite-induced mutation spectra of pSP189 following replication in bacteria and in human cells. Mutat. Res. Mol. Mech. Mutagen. 1996, 349, 51–61. [Google Scholar] [CrossRef]
- Kim, H.W.; Murakami, A.; Williams, M.V.; Ohigashi, H. Mutagenicity of reactive oxygen and nitrogen species as detected by co-culture of activated inflammatory leukocytes and AS52 cells. Carcinog. 2003, 24, 235–241. [Google Scholar] [CrossRef][Green Version]
- Szabó, C.; Ohshima, H. DNA Damage Induced by Peroxynitrite: Subsequent Biological Effects. Nitric Oxide 1997, 1, 373–385. [Google Scholar] [CrossRef]
- Schmidt-Bleker, A.; Winter, J.; Weltmann, K.-D.; Bendt, H. Disinfection Process Using an Active Disinfecting Substance Formed In Situ by Reacting H2O2 and NO2. Patent Application No. O 2019/219959 A1, 17 May 2019. [Google Scholar]
- DIN. Chemische Desinfektionsmittel und Antiseptika-Hygienische Händedesinfektion-Prüfverfahren und Anforderungen (Phase 2/Stufe 2); Deutsche Fassung EN 1500:2013; Deutsches Institut für Normung: Berlin, Germany, 2017. [Google Scholar]
- Kuwahara, H.; Nonaka, K.; Yamada, S. Assessment of the Anti-Mutagenicity of Various Amino Acids, Polyphenols, and Vita-mins against Peroxynitrite-Induced Mutation. J. Health Sci. 2004, 1, 11–17. [Google Scholar]
- Gatehouse, D. Bacterial Mutagenicity Assays: Test Methods. Methods Mol. Biol. 2011, 817, 21–34. [Google Scholar] [CrossRef]
- McIlvaine, T.C. A buffer solution for colorimetric comparison. J. Biol. Chem. 1921, 49, 183–186. [Google Scholar] [CrossRef]
- Virtanen, P.; Gommers, R.; Oliphant, T.E.; Haberland, M.; Reddy, T.; Cournapeau, D.; Burovski, E.; Peterson, P.; Weckesser, W.; Bright, J. SciPy 1.0: Fundamental algorithms for scientific computing in Python. Nat. Methods 2020, 17, 261–272. [Google Scholar] [CrossRef]
- Machala, Z.; Tarabová, B.; Sersenová, D.; Janda, M.; Hensel, K. Plasma activated water chemical and antibacterial effects: Correla-tion with gaseous and aqueous reactive oxygen and nitrogen species, plasma sources and air flow conditions. J. Phys. D Appl. Phys. 2018, 52, 034002. [Google Scholar] [CrossRef]
- Naïtali, M.; Kamgang-Youbi, G.; Herry, J.-M.; Bellon-Fontaine, M.-N.; Brisset, J.-L. Combined effects of long-living chemical spe-cies during microbial inactivation using atmospheric plasma-treated water. Appl. Environ. Microbiol. 2010, 76, 7662–7664. [Google Scholar] [CrossRef]
- Cariello, N.F.; Piegorsch, W.W. The Ames test: The two-fold rule revisited. Mutat. Res. Toxicol. 1996, 369, 23–31. [Google Scholar] [CrossRef]
- Smith, C.J.; Perfetti, T.A. Statistical treatment of cytotoxicity in Ames bacterial reverse mutation assays can provide additional structure–activity relationship information. Toxicol. Res. Appl. 2020, 4, 2397847320911631. [Google Scholar] [CrossRef]
- Klein, C.B.; Broday, L.; Costa, M. Mutagenesis Assays in Mammalian Cells. Curr. Protoc. Toxicol. 1999, 1, 3.3.1–3.3.7. [Google Scholar] [CrossRef] [PubMed]





| Sample | pH of Buffer + 25 mM H2O2 and NaNO2 | pH of Buffer + 0.05 mM H2O2 and NaNO2 | pH of Buffer + 25 mM H2O2 and NaNO2 + CASO | pH of Buffer + 0.05 mM H2O2 and NaNO2 + CASO | pH Employed in Numerical Calculations |
|---|---|---|---|---|---|
| 1 | 2.39 | 2.39 | 2.39 | 2.39 | 2.4 |
| 2 | 2.75 | 2.85 | 2.84 | 2.91 | 2.8 |
| 3 | 3.23 | 3.25 | 3.26 | 3.27 | 3.2 |
| 4 | 3.76 | 3.76 | 3.78 | 3.78 | 3.8 |
| 5 | 4.18 | 4.23 | 4.26 | 4.30 | 4.2 |
| 6 | 4.73 | 4.76 | 4.85 | 4.86 | 4.8 |
| 7 | 5.46 | 5.50 | 5.51 | 5.54 | 5.5 |
| 8 | 5.93 | 5.71 | 5.95 | 5.73 | 5.9 |
| Test Product | Amount of Test Product | M1 | M2 | M3 | Mean ± σ |
|---|---|---|---|---|---|
| 4-Nitrochinolin-N-Oxid | 100% | 0 | 0 | 0 | 0.0 ± 0.0 |
| 10.0% | 35 | 0 | 21 | 18.7 ± 17.6 | |
| 5.0% | 152 | 108 | 105 | 121.7 ± 26.3 | |
| 2.5% | 160 | 172 | 174 | 168.7 ± 7.6 | |
| 1.0% | 32 | 31 | 28 | 30.3 ± 2.1 | |
| 0.50% | 13 | 12 | 11 | 12.0 ± 1.0 | |
| 0.30% | 7 | 5 | 16 | 9.3 ± 5.9 | |
| H2O2 + NO2− | 100% | 0 | 0 | 0 | 0.0 ± 0.0 |
| 20.0% | 0 | 0 | 0 | 0.0 ± 0.0 | |
| 10.0% | 7 | 9 | 11 | 9.0 ± 2.0 | |
| 4.0% | 12 | 9 | 12 | 11.0 ± 1.7 | |
| 2.0% | 12 | 11 | 6 | 9.7 ± 3.2 | |
| 0.40% | 12 | 11 | 14 | 12.3 ± 1.5 |
Publisher’s Note: MDPI stays neutral with regard to jurisdictional claims in published maps and institutional affiliations. |
© 2021 by the authors. Licensee MDPI, Basel, Switzerland. This article is an open access article distributed under the terms and conditions of the Creative Commons Attribution (CC BY) license (https://creativecommons.org/licenses/by/4.0/).
Share and Cite
Balazinski, M.; Schmidt-Bleker, A.; Winter, J.; von Woedtke, T. Peroxynitrous Acid Generated In Situ from Acidified H2O2 and NaNO2. A Suitable Novel Antimicrobial Agent? Antibiotics 2021, 10, 1003. https://doi.org/10.3390/antibiotics10081003
Balazinski M, Schmidt-Bleker A, Winter J, von Woedtke T. Peroxynitrous Acid Generated In Situ from Acidified H2O2 and NaNO2. A Suitable Novel Antimicrobial Agent? Antibiotics. 2021; 10(8):1003. https://doi.org/10.3390/antibiotics10081003
Chicago/Turabian StyleBalazinski, Martina, Ansgar Schmidt-Bleker, Jörn Winter, and Thomas von Woedtke. 2021. "Peroxynitrous Acid Generated In Situ from Acidified H2O2 and NaNO2. A Suitable Novel Antimicrobial Agent?" Antibiotics 10, no. 8: 1003. https://doi.org/10.3390/antibiotics10081003
APA StyleBalazinski, M., Schmidt-Bleker, A., Winter, J., & von Woedtke, T. (2021). Peroxynitrous Acid Generated In Situ from Acidified H2O2 and NaNO2. A Suitable Novel Antimicrobial Agent? Antibiotics, 10(8), 1003. https://doi.org/10.3390/antibiotics10081003

