Next Article in Journal
Comparison of Two Transmission Electron Microscopy Methods to Visualize Drug-Induced Alterations of Gram-Negative Bacterial Morphology
Next Article in Special Issue
Existence of Multiple ESBL Genes among Phenotypically Confirmed ESBL Producing Klebsiella pneumoniae and Escherichia coli Concurrently Isolated from Clinical, Colonization and Contamination Samples from Neonatal Units at Bugando Medical Center, Mwanza, Tanzania
Previous Article in Journal
Characterization of 475 Novel, Putative Small RNAs (sRNAs) in Carbon-Starved Salmonella enterica Serovar Typhimurium
 
 
Font Type:
Arial Georgia Verdana
Font Size:
Aa Aa Aa
Line Spacing:
Column Width:
Background:
Article

Bacteriocin-Like Inhibitory Substances from Probiotics as Therapeutic Agents for Candida Vulvovaginitis

by
Enas Mamdouh Hefzy
1,
Mahmoud A. F. Khalil
2,
Amal A. Ibrahim Amin
1,
Hossam M. Ashour
3,4,* and
Yasser Fathy Abdelaliem
5
1
Department of Medical Microbiology and Immunology, Faculty of Medicine, Fayoum University, Fayoum 63514, Egypt
2
Department of Microbiology and Immunology, Faculty of Pharmacy, Fayoum University, Fayoum 63514, Egypt
3
Department of Integrative Biology, College of Arts and Sciences, University of South Florida, St. Petersburg, FL 33701, USA
4
Department of Microbiology and Immunology, Faculty of Pharmacy, Cairo University, Cairo 11562, Egypt
5
Department of Agricultural Microbiology, Faculty of Agriculture, Fayoum University, Fayoum 63514, Egypt
*
Author to whom correspondence should be addressed.
Antibiotics 2021, 10(3), 306; https://doi.org/10.3390/antibiotics10030306
Submission received: 16 January 2021 / Revised: 4 March 2021 / Accepted: 10 March 2021 / Published: 17 March 2021

Abstract

Probiotics can potentially prevent and treat diseases. We examined the inhibitory activity of bacteriocin-like inhibitory substances (BLISs) from potentially probiotic lactobacilli and streptococci on Candida albicans and non-Candida albicans clinical isolates from women with vulvovaginitis. Using agar well diffusion assays, BLISs inhibited both Candida albicans and non-Candida albicans isolates. The BLIS from L. pentosus isolates had the highest anti-Candida activity (33/45; 73.3%), followed by BLISs from isolates of L. paracasei subsp. paracasei (31/45; 68.9%), L. rhamnosus I (30/45; 66.7%), L. delbrueckii subsp. lactis I (30/45; 66.7%), and S. uberis II (30/45; 66.7%). Upon characterization according to the retained activity under variable physical and chemical conditions, the BLISs showed stability against heat, pH, and surfactants, but were protease-sensitive, which suggests a proteinaceous nature of the active substances. Using crystal violet assays, the BLISs reduced the Candida biofilm biomass significantly as compared to a control group that lacked BLISs. In vivo testing of the antagonistic activity was performed using the Galleria mellonella (G. mellonella) larvae model. BLISs significantly improved survival in G. mellonella larvae treated with Candida isolates on the first, second, and seventh days, as compared to larvae inoculated with Candida only (p < 0.01). The results show that BLISs can be used as biotherapeutic agents in vulvovaginal candidiasis.

1. Introduction

Vulvovaginal candidiasis (VVC) is a common condition that is typically mitigated by over-the-counter topical or systemic antifungal drugs. About 75% of women experience one or more VVC attacks, whereas 10% experience recurrent VVC attacks [1]. Pathogenic Candida species have developed resistance to many antifungal agents [2]. This highlights the need to develop alternative antimycotic agents to control pathogenic Candida infections [3]. In addition to resistance issues, many currently available antifungal drugs have narrow spectra and cause side effects [4].
Lactobacilli are dominant in the vagina of the vast majority of healthy premenopausal women [5]. As part of the microbiota, lactobacilli can prevent vulvovaginal infections [6]. The antifungal activities are not always explained by hydrogen peroxide, a typical antimicrobial factor in lactobacilli [7]. The potent antifungal activity of probiotic strains of Lactobacillus can be partially explained by the low pH and the production of organic acids [8]. In addition, lactic acid bacteria such as Enterococci and Streptococci can produce antimicrobial peptides such as bacteriocins [9]. As an example, Streptococcus uberis, the main causative agent of bovine mastitis, produces a lantibiotic bacteriocin (nisin U) [10]. In addition, Lactobacillus plantarum and Lactobacillus curvatus are able to synthesize bacteriocins [11].
Bacteriocins are low-molecular-mass peptides synthesized by bacterial ribosomes and released extracellularly to kill or inhibit other bacterial strains [12]. Bacteriocins have three major classes based on structure, physiochemical and molecular characteristics, and antimicrobial activity [13]. Bacteriocin-like inhibitory substances (BLISs) are uncharacterized substances with bacteriocin-like inhibitory activity [14].
A vital virulence factor of Candida albicans (C. albicans) that has been associated with the development and recurrence of vaginal candidiasis is biofilm formation [15]. The biofilm structure consists of microbial communities entrenched in an extracellular matrix [16]. Biofilms are extremely difficult to eliminate due to the physical exclusion of antimicrobial agents, induction of efflux pump activity, and the presence of persister cells that are the basis for chronic infections. Due to the importance of eradicating biofilms, new treatment strategies are being tested, such as the application of probiotics into the oral cavity in order to control oral biofilms [17]. C. albicans biofilms can also be inhibited by probiotic lactobacilli that can produce bacteriocins, suppress adhesion receptors, and modulate the immune system [18].
As a model organism for the study of bacterial and fungal infections, Galleria mellonella (G. mellonella), also known as the greater wax moth, has many advantages. The 20 mm long larvae are cheap, easy to handle, and can be propagated at 37 °C. The model can be used to study C. albicans virulence factors including biofilm development and to assess potential antifungal agents [19]. The model can also be used to assess the effect of probiotics on microbial pathogens [20].
Here, we used the G. mellonella in vivo model to assess the antagonistic and antibiofilm activities of BLISs produced by lactobacilli and streptococci isolated from food sources against Candida strains isolated from women with vulvovaginitis. The study assesses whether BLISs from potential probiotics can act as therapeutic agents for Candida vulvovaginitis.

2. Materials and Methods

2.1. Isolation of Microorganisms

2.1.1. Isolation and Identification of Potential Probiotics

Fifty potential probiotic isolates were obtained from samples of raw milk, fermented milk, yogurt, cheese, meat products, and mixed pickles. Lactobacillus isolation on de Man, Rogosa, Sharpe (MRS) agar (Oxoid, Basingstoke, UK), and Streptococcus isolation on M17 agar (Oxoid, Basingstoke, UK) were performed [21]. To identify the isolated bacteria, standard microbiological methods (phenotypic, morphological, and biochemical techniques) were used. All isolates were grown at 15 °C and 45 °C. Gram staining, catalase tests, and glucose fermentation tests were performed [22]. Carbohydrate fermentation patterns for the isolated lactobacilli and streptococci were determined using the API Rapid CH fermentation strips (Biomèrieux, Marcy l’Etoile, France) in CHL medium and the API 20 Strep kit (Biomèrieux, Marcy l’Etoile, France) respectively.

2.1.2. Isolation and Identification of Candida Isolates

Vaginal swabs from females with vulvovaginitis were inoculated on Sabouraud dextrose agar (SDA) (Oxoid, Basingstoke, UK) and incubated for 24–48 h at 37 °C. Isolated colonies were identified using standard microbiological methods (colony characteristics, Gram staining, urea hydrolysis, and germ tube test) [23]. The creamy yeast-like colonies that were Gram-positive showed pseudohyphae under a light microscope, and negative results with the urea hydrolysis test were further examined for Candida species identification [23]. Carbohydrate assimilation was tested using API Candida (BioMèrieux, Marcy-l’Etoile, France). Forty-five different clinical isolates were retrieved, including twenty-five C. albicans isolates (CA 1-25) and 20 non-C. albicans Candida isolates (NCAC 1-20).

2.1.3. Screening for Anti-Candida Activity

Agar well diffusion was used to assess the BLIS inhibitory potential against Candida isolates causing vulvovaginitis [24]. Potential probiotics showing anti-Candida activities against at least one of two indicator organisms: C. albicans (ATCC 90028) and C. glabrata (ATCC 90030), were selected for further processing after confirmation by API (as described in Section 2.1.1). BLISs were extracted from potential probiotics (Section 2.2) and subsequently examined for anti-Candida activity. BLISs with the strongest activities were further characterized (Section 2.3).
BLISs from thirteen potential probiotic isolates (13/50; 26%) showed anti-Candida activity against at least one indicator organism, which was determined by the residual activity after pH neutralization and hydrogen peroxide elimination. Isolates, as identified by conventional bacteriological methods and the API systems, included one L. pentosus isolate, two L. plantarum isolates, two L. rhamnosus isolates, one L. delbrueckii subsp. bulgaricus isolate, two L. paracasei subsp. paracasei isolates, two L. delbrueckii subsp. Lactis I and II isolates, one S. agalactiae isolate, and two S. uberis isolates (Table 1).
The activity of the thirteen potential probiotic isolates was assessed against the 45 clinical isolates. Twenty-five C. albicans (CA 1-25) and twenty non-C. albicans (NCAC 1-20) were cultured on Sabouraud Dextrose broth (SDB) (Oxoid, Basingstoke, UK) at 37 °C for 24 h. C. albicans (ATCC 90028) and C. glabrata (ATCC 90030) strains were used as indicator organisms. The NCAC group contained fourteen Candida glabrata (C. glabrata), two Candida tropicalis (C. tropicalis), two Candida famata (C. famata), and two Candida kruesi (C. kruesi).

2.2. Preparation of BLISs

Overnight cultures of the potential probiotic isolates cultivated on broth medium were diluted with fresh medium (inoculum size 1% v/v) at 32 °C for 18 h, and the concentration was adjusted to an optical density of 1.6 at 600 nm (~1 × 108 cells/mL). MRS broth (Oxoid, Basingstoke, UK) was used for the cultivation of lactobacilli, and M17 broth (Oxoid, Basingstoke, UK) was used for the cultivation of streptococci. Cultures were centrifuged at 10,000× g for 15 min at 4 °C and the resulting supernatant was designated as a crude cell-free culture supernatant (CCFCS). To neutralize hydrogen peroxide, 1 mg/mL of bovine catalase (Sigma-Aldrich, St. Louis, MO, USA) was added. The pH of each CCFCS was adjusted to 6.5 with 1 mol/L NaOH (Sigma-Aldrich, St. Louis, MO, USA) [21]. The treated supernatant was designated a BLIS. The 10-fold concentration of the BLIS was obtained using a vacuum rotary evaporator at 40 °C, filtered through a sterile 0.2 μm syringe filter, and stored at −20 °C until further use.

2.3. Physicochemical Characterization of BLISs

The five BLISs with the most potent anti-Candida activity were selected for further characterization and assessment of the antimicrobial activity. The residual anti-Candida activity of treated BLISs under different conditions was determined by agar diffusion and compared with the positive control (untreated, 100% activity).
(1)
Effect of heating: BLISs were incubated in a water bath at 60 °C, 80 °C, and 100 °C for 10, 30, 60 min and at 121 °C for 10, 15, and 20 min, and then cooled on ice.
(2)
Effect of pH: Catalase-treated BLISs were adjusted to pH 3.0, 5.0, 7.0, and 10.0 by hydrochloric acid and sodium hydroxide, and allowed to stand at room temperature for 2 h.
(3)
The sensitivity of BLISs to proteases (pepsin and trypsin), in addition to α-amylase (Sigma-Aldrich, St. Louis, MO, USA), was assessed (final concentration of 1 mg/mL). Samples with and without enzymes were incubated for 3 h at 30 °C.
(4)
Effect of organic solvents: Chloroform, ethanol, and n-hexane at concentrations of 10, 15, 20, and 30% (v/v) were determined. Samples with and without solvents, as well as solvents only, were incubated at 30 °C for 1, 4, 6, and 24 h.
(5)
The effect of surfactants (Tween-20 and Tween-80) at concentrations of 0.1%, 1%, 2%, and 5.0% (v/v) was determined. Surfactants were added to BLISs at a 0.1 mL concentration of surfactant/mL of bacteriocin solutions. Samples, with and without surfactants, as well as surfactants only, were incubated at 30 °C for 2 h.

2.4. Protein Purification and Separation from BLIS

The protein content of the cell-free BLIS was isolated by overnight precipitation with ammonium sulphate at a saturation level of 70% with slight agitation at 4 °C [25]. The anti-Candida activity of the ammonium sulfate-precipitated BLIS was determined by the agar well diffusion assay using indicator strains. The BLIS was purified before measuring its protein concentration in the supernatant [26]. The molecular mass of the partially purified BLIS was estimated by SDS-PAGE (sodium dodecyl sulfate-polyacrylamide gel electrophoresis) with 4% stacking and 10% polyacrylamide gel [27].

2.5. In Vitro Anti-biofilm Activity of BLIS

The antibiofilm activities of the BLISs from five potential probiotics with the strongest activities against Candida, as detected by agar well diffusion, were tested. BLISs from L. pentosus, L. rhamnosus I, L. paracasei subsp. paracasei II, L. delbrueckii subsp. lactis I, and S. uberis II. were freshly prepared, and viable counts were determined to verify their cell-free status before each experiment. They were then tested against biofilms formed by C. albicans ATCC 90028, C. albicans (CA 1), and C. glabrata (belongs to NCAC 1) clinical isolates. A standard inoculum of 1 × 106 cells from the overnight culture of each fungal strain was used to form the biofilm. In each experiment, 40 µL per well of the tested BLISs was added to wells of sterile flat-bottomed polystyrene 96-well microtiter plates, followed by the addition of the tested Candida culture (160 µL) to a final volume of 200 µL/well [20].
For each experiment, two control groups were prepared: One that had wells with phosphate-buffered saline (PBS) only, and one that had wells with standardized BLISs (without C. albicans) from each of the five forementioned probiotics. After daily media change, plates were incubated for 48 h at 37 °C, with shaking at 75 rpm. After biofilm formation, biofilm biomasses with and without BLISs were quantified using crystal violet assays [28]. The absorbance was quantified at 540 nm. The reference strain C. albicans DAY185 was used as a positive control [29].

2.6. G. mellonella Survival Assay for BLIS Activity Against Candida Isolates (In Vivo Model)

The pathogenicity of C. albicans ATCC 90028, CA 1, and NCAC 1 clinical isolates in the presence or absence of cell-free BLISs was assessed using G. mellonella survival assays. Sixteen G. mellonella larvae in the final larval stage with similar masses (250–350 mg) and sizes were used [30]. Three control groups of noninfected larvae were included as controls: Group 1 was inoculated with PBS to assess for potential physical trauma; Group 2 was inoculated with MRS broth to evaluate for any toxicity on G. mellonella larvae; Group 3 was not injected (control for overall viability). A 5 µL inoculum of the standard Candida isolate suspension (105 cells/mL) was injected into the hemolymph of each larva through the last left proleg, and 5 µL of each BLIS was injected into the last right proleg. For the groups infected with Candida isolates only, 5 µL of the microbial suspension was inoculated into the last left proleg and 5 µL of PBS was injected into the last right proleg. In these experiments, Candida isolates were inoculated 1 h before the inoculation of the BLISs. The larvae were incubated at 37 °C. When a larva displayed no movement in response to stimuli or showed dark discoloration of the cuticle, it was considered dead. Dead larvae were counted daily for 7 days [30].

2.7. Polymerase Chain Reaction (PCR) Amplification and Identification of Lactobacilli by Partial Sequencing of the 16S rRNA Gene

The genomic DNA of potential probiotics with the strongest in vitro anti-Candida activities was extracted and purified using DNeasy blood and tissue kits (Qiagen Inc., Hilden, Germany). The 16S rRNA gene was amplified using universal bacterial primers (518F/800R) [31]. PCR fragment analysis was done [32]. Sequences were compared, using BLAST, to those in the GenBank database.

2.8. Statistical Analysis

Data analysis was done using SPSS 16 (SPSS Inc., Chicago, IL, USA) and the chi-square test. Fisher’s exact test was used for two-by-two tables when the expected cell counts were less than 5. The G. mellonella survival curve was analyzed using the log-rank test.

3. Results

3.1. Isolation of Active Lactobacilli and Streptococci and Screening for BLIS Antagonistic Activity

The BLISs of the thirteen probiotic isolates (with activity against one or more indicator organisms) were extracted and tested for anti-Candida activity against twenty-five C. albicans (CA 1-25) and twenty non-C. albicans (NCAC 1-20) (Table 1). The inhibitory activity against all Candida isolates ranged from 51.1% (23/45 isolates) for the BLIS from Streptococcus uberis I to 73.3% (33/45 isolates) for the BLIS from L. pentosus. The BLIS from L. pentosus showed a significantly higher antagonistic activity against NCAC isolates than against CA isolates (90% versus 60%, p = 0.024). BLISs from other potential probiotic isolates did not show a significant difference in antagonistic activity against NCAC isolates versus CA isolates (Table 1). The BLIS from L. pentosus isolates had the highest anti-Candida activity (33/45; 73.3%), followed by the BLIS from isolates of L. paracasei subsp. paracasei (31/45; 68.9%), L. rhamnosus I (30/45; 66.7%), L. delbrueckii subsp. lactis I (30/45; 66.7%), and S. uberis II (30/45; 66.7%) (Table 1). The previous five BLISs with the most potent anti-Candida activity were selected for further characterization and assessment against C. albicans ATCC 90028 and C. glabrata ATCC 90030 indicator strains.

3.2. BLIS Characterization

The five BLISs with the highest antimicrobial activity were reassessed after exposure to heat, enzymes, pH, surfactants, and organic solvents. Variable degrees of stability of BLISs after treatment with these factors were reported (Table 2).
All BLISs retained their activity at 10% concentration of the three organic solvents: Chloroform, ethanol, and n-hexane, for 1, 4, and 6 h against both C. albicans and C. glabrata. With chloroform, all BLISs completely lost their activity at 30% concentrations at 1, 4, 6, and 24 h. With ethanol, only the BLISs from L. paracasei subsp. paracasei II retained ~50% of their activity against C. albicans at 30% concentration for 1 h. The BLIS from L. pentosus retained 75% of its activity against C. glabrata at 20% concentration of ethanol for 4 h.
BLISs were completely inactivated by pepsin and trypsin but not by α-amylase (Table 2). BLISs retained different levels of activity after treatment with surfactants. In some cases, an enhancement of activity (>100%) was observed (Table 3).
Partial purification of BLISs was accomplished by ammonium sulphate precipitation. Precipitates at lower ammonium sulphate saturation had lower anti-Candida activity. Maximal activity was observed at 70% ammonium sulphate saturation. Using SDS-PAGE followed by Coomassie blue staining, the purified BLISs showed protein bands with molecular weights ranging from 2.5 to 10.5 kDa.

3.3. Effect of BLIS on Candida Biofilm Formation In Vitro

C. albicans biofilm formation is a key mechanism for its growth and survival in the host. Using crystal violet assays, BLISs from L. pentosus, L. paracasei subsp. paracasei II, L. rhamnosus I, L. delbrueckii subsp. lactis I, and S. uberis II significantly reduced biofilm formation (expressed as relative absorbance) by C. albicans ATCC 90028, CA 1, and NCAC 1 clinical isolates. A control group that lacked BLISs failed to yield similar results. The BLIS from L. pentosus was most effective, whereas the BLIS from S. uberis II was least effective (Table 4).

3.4. BLIS Prolongs the Survival of Candida-Infected G. mellonella Larvae

The pathogenicity of C. albicans (ATCC 90028) and the clinical isolates CA 1 and NCAC 1, in the presence and absence of cell-free BLISs from L. pentosus, L. paracasei subsp. paracasei II, L. rhamnosus I, L. delbrueckii subsp. lactis I, and S. uberis II, was assessed using the G. mellonella killing assay.
Inoculation of the larvae with Candida isolates (in the absence of BLISs) killed 87.5% of the larvae within 24 h when CA 1 was injected, and 81.2% upon injection of NCAC 1 or C. albicans ATCC 90028 (Table 5).
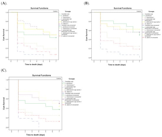
Conversely, larvae treated with Candida isolates plus BLISs of L. pentosus, L. delbrueckii subsp. lactis I, and L. paracasei subsp. paracasei II (50 μg/larva) exhibited significantly improved survival on the first, second, and seventh days in comparison to larvae inoculated with Candida isolates alone (p < 0.01) (Table 5). The effect of the BLIS from L. rhamnosus I on the survival of G. mellonella larvae infected with Candida isolates on the first, second, and seventh days was less significant. Finally, the effect of the BLIS from S. uberis II was not statistically significant as compared to Candida isolates alone (Table 5 and Figure 1).
Control larvae (without Candida isolates or BLISs) exhibited 0% mortality on the first, second, and seventh days (Figure 1). These results showed that BLISs of potential probiotics protected G. mellonella larvae from Candida-induced mortality.

3.5. Identification of Lactobacilli by Partial Sequencing of the 16S rRNA Gene Sequences

PCR fragment analysis was done for the 16S rRNA gene sequences of potential probiotics with the best in vitro anti-Candida activity. After comparing sequences with those in the GenBank database, the 16S rRNA sequences were deposited in the GenBank database with the accession numbers LC406091, LC406092, LC406093, and LC406094 for L. pentosus, L. rhamnosus, L. paracasei, and L. delbrueckii subsp. lactis, respectively.

4. Discussion

In this study, we assessed the anti-Candida activity of BLISs from food-derived probiotic isolates. Notably, 26% of the isolates showed BLIS-mediated anti-Candida activity. In previous studies, the bacteriocinogenic strains ranged from 0.27% to 20% [33,34,35]. Variations in food samples and media used for the isolation of bacteriocinogenic lactobacilli and streptococci may have contributed to this difference. Results, in the present study, indicated that the BLIS from L. pentosus exhibited the highest anti-Candida activity. Pentocin TV35b, a BLIS isolated from L. pentosus, has also been reported to inhibit the growth of C. albicans [36].
Orally administered lactobacilli reduced vaginal colonization and infection by Candida [37]. Similarly, intravaginal capsules containing lactobacilli had anti-microbial effects against C. albicans and other pathogens [38,39]. The inhibitory activities of vaginal lactobacilli may be synergistically enhanced by the production of antimicrobials by the administered probiotics. The previous findings are consistent with our finding that lactobacilli can prevent VVC. Conversely, other studies have suggested that lactobacilli do not protect against VVC [7,40,41]. The ability of lactobacilli in the vaginal flora to produce potent antimicrobials can be impacted by a variety of dietary and environmental factors [42]. The previously reported potent antifungal activity of Lactobacillus reuteri RC-14 and L. rhamnosus GR-1 strains against C. glabrata causing VVC is consistent with the findings in this study [8].
The heat stability of BLISs reported in this study is consistent with reports of the heat stability of bacteriocin-like antimicrobial substances produced by bacteria in other studies [7,34,43,44]. The anti-Candida activity of BLISs was observed under acidic, neutral, and alkaline conditions (highest activity at pH 7), indicating that this activity was not due to acid production. Another report indicated that bacteriocin was stable in a pH range of 2 to 8 [45]. Other bacteriocins were reported to have high antibacterial activity at acidic pH [46]. Treatment of BLISs with organic solvents led to a reduced activity at high solvent concentrations. This may be due to the lipid moiety in BLISs [47]. Alcohol and chloroform inactivated bacteriocin from L. plantarum, but acetone, hexane, and alcohol (90%) did not inactivate bacteriocin from Pediococcus pentosaceus [46]. Organic solvents did not affect the inhibitory activities of some bacteriocins [47].
In line with previous studies, we observed BLIS inactivation by proteolytic (but not nonproteolytic) enzymes, which suggests a proteinaceous nature [33,43,48,49]. BLISs retained their activity after treatment with surfactants. In some cases, the antimicrobial activity was even enhanced (Table 3). This can be due to surfactants causing dispersion of bacteriocin complexes into active subunits with more lethal power [50]. The treatment of bacteriocins with surfactants may also eliminate some natural defenses of the indicator organisms. Finally, the observed anti-Candida activity of BLISs was not due to hydrogen peroxide, as activity was maintained after treatment with catalase.
Bacteriocins from streptococci have been recovered from S. salivarius, S. mutans, S. pyogenes, S. bovis, and S. rattus [10]. A nonpathogenic oral commensal bacterium, S. salivarius K12, exhibited antagonistic activity against oral C. albicans growth in vitro [51]. To our knowledge, this study is the first to report antagonistic activity of S. uberis against Candida isolates. Antibacterial bacteriocins from S. uberis (nisin U and uberolysin) have been biochemically characterized [52]. Although ubericin A was the first class IIa bacteriocin isolated from streptococci to be characterized [53], its activity against Candida has not been studied. The stronger bioactivity of ammonium-sulphate-purified products, compared to crude extracts, in all tested BLISs may be due to the increased concentration of the proteinaceous compounds [47].
Biofilm formation led to poor clinical outcomes with candidiasis [54]. In this study, BLISs from probiotic lactobacilli and streptococci induced a significant reduction in biofilm biomass. Previous studies showed that the biofilms of C. albicans were reduced by cells and supernatants of lactobacilli [19,20,55,56,57].
L. acidophilus ATCC 4356 was shown to protect G. mellonella against in vivo experimental candidiasis [55]. Similarly, probiotic bacteria (L. rhamnosus and L. acidophilus) significantly reduced C. albicans oral growth in immunocompromised mice [58]. In this study, we showed that injecting BLISs from L. pentosus, L. delbrueckii subsp. lactis I, and L. paracasei subsp. paracasei II into G. mellonella larvae infected with Candida strains significantly increased the survival of larvae. Another study showed that larvae receiving L. rhamnosus supernatants were more protected against C. albicans than larvae receiving L. rhamnosus cells [20]. This might be attributed to the immediate availability of bacteriocins or organic acids in the supernatant versus cells that still need to grow and produce antimicrobial bacteriocins [20].
The BLIS of S. uberis II significantly reduced the biofilm biomass of Candida in vitro. The in vivo protective activity significantly improved the larvae’s seventh-day survival (not the first- or the second-day survival) only when larvae were infected with C. glabrata clinical isolates, but not when infected with C. albicans. BLISs from L. pentosus, L. paracasei subsp. paracasei II, and L. delbrueckii subsp. lactis I had a significant protective action on larvae’s survival on all three testing days (1, 2, and 7) when larvae were infected with either C. albicans or C. glabrata clinical isolates. L. rhamnosus and L. casei have been previously reported to exhibit stronger antifungal activity than S. thermophilus and S. salivarius [59]. Parolin et al. showed that C. albicans isolates were more highly suppressed by lactobacilli than other Candida species [60].
Our in vitro and in vivo experiments showed that BLISs derived from potential probiotics have anti-Candida activity and can prevent biofilm formation. Furthermore, BLISs are tolerant to heat, nonproteolytic enzymes, pH, surfactants, and organic solvents. Thus, BLISs should be considered as an alternative or adjunct antimicrobial therapy to currently used antifungal agents for the treatment of VVC.

Author Contributions

E.M.H., M.A.F.K., A.A.I.A., H.M.A. and Y.F.A. contributed to the conception of the study, experimental design and methodology, data analysis, validation, writing of the original draft, revision of the manuscript, and final publication. All authors have read and agreed to the published version of the manuscript.

Funding

This research received no external funding.

Institutional Review Board Statement

The study was conducted according to the guidelines of the Declaration of Helsinki, and was approved by Fayoum University # D24(4).

Informed Consent Statement

Informed consent was obtained from all subjects involved in the study.

Data Availability Statement

Not applicable.

Conflicts of Interest

The authors declare no conflict of interest.

References

  1. Ono, F.; Yasumoto, S. [Genital candidiasis]. Nihon rinsho. Jpn. J. Clin. Med. 2009, 67, 157–161. [Google Scholar]
  2. Panizo, M.M.; Reviákina, V.; Dolande, M.; Selgrad, S. Candida spp. in vitro susceptibility profile to four antifungal agents. Resistance surveillance study in Venezuelan strains. Med. Mycol. 2009, 47, 137–143. [Google Scholar] [CrossRef]
  3. Falagas, M.E.; Betsi, G.I.; Athanasiou, S. Probiotics for prevention of recurrent vulvovaginal candidiasis: A review. J. Antimicrob. Chemother. 2006, 58, 266–272. [Google Scholar] [CrossRef] [PubMed]
  4. Sardi, J.; Scorzoni, L. Candida species: Current epidemiology, pathogenicity, biofilm formation, natural antifungal products and new therapeutic options. J. Med. Microbiol. 2013, 62, 10–24. [Google Scholar] [CrossRef] [PubMed]
  5. Sobel, J.D.; Chaim, W. Vaginal microbiology of women with acute recurrent vulvovaginal candidiasis. J. Clin. Microbiol. 1996, 34, 2497–2499. [Google Scholar] [CrossRef]
  6. Ljungh, Å.; Wadström, T. Lactobacillus Molecular Biology: From Genomics to Probiotics; Horizon Scientific Press: Poole, UK, 2009. [Google Scholar]
  7. Martinez, R.C.R.; Franceschini, S.A.; Patta, M.C.; Quintana, S.M.; Nunes, A.C.; Moreira, J.L.S.; Anukam, K.C.; Reid, G.; De Martinis, E.C.P. Analysis of Vaginal Lactobacilli from Healthy and Infected Brazilian Women. Appl. Environ. Microbiol. 2008, 74, 4539–4542. [Google Scholar] [CrossRef]
  8. Chew, S.Y.; Cheah, Y.K.; Seow, H.F.; Sandai, D.; Than, L.T.L. Probiotic Lactobacillus rhamnosus GR-1 and Lactobacillus reuteri RC-14 exhibit strong antifungal effects against vulvovaginal candidiasis-causing Candida glabrata isolates. J. Appl. Microbiol. 2015, 118, 1180–1190. [Google Scholar] [CrossRef] [PubMed]
  9. Nes, I.F.; Diep, D.B.; Holo, H. Bacteriocin Diversity in Streptococcus and Enterococcus. J. Bacteriol. 2006, 189, 1189–1198. [Google Scholar] [CrossRef] [PubMed]
  10. Wirawan, R.E.; Klesse, N.A.; Jack, R.W.; Tagg, J.R. Molecular and Genetic Characterization of a Novel Nisin Variant Produced by Streptococcus uberis. Appl. Environ. Microbiol. 2006, 72, 1148–1156. [Google Scholar] [CrossRef] [PubMed]
  11. Dalié, D.; Deschamps, A.; Richard-Forget, F. Lactic acid bacteria—Potential for control of mould growth and mycotoxins: A review. Food Control 2010, 21, 370–380. [Google Scholar] [CrossRef]
  12. Fan, L.; Song, J. Antimicrobial microbes-bacteriocin producing lactic acid bacteria. In Microbial Pathogens and Strategies for Combating Them: Science, Technology and Education; Méndez Vilas, A., Ed.; Formatex Research Center: Badajoz, Spain, 2013; pp. 899–909. [Google Scholar]
  13. Field, D.; Cotter, P.; Hill, C.; Ross, R.P. Bacteriocin Biosynthesis, Structure, and Function. Research and Applications in Bacteriocins; Riley, M.A., Gillor, O., Eds.; Horizon Bioscience: Norfolk, UK, 2007; pp. 5–41. [Google Scholar]
  14. Prasad, S.; Morris, P.C.; Hansen, R.; Meaden, P.G.; Austin, B. A novel bacteriocin-like substance (BLIS) from a pathogenic strain of Vibrio harveyi. Microbiology 2005, 151, 3051–3058. [Google Scholar] [CrossRef] [PubMed]
  15. Darrene, L.-N.; Cecile, B. Experimental Models of Oral Biofilms Developed on Inert Substrates: A Review of the Literature. BioMed Res. Int. 2016, 2016, 7461047. [Google Scholar] [CrossRef] [PubMed]
  16. Muzny, C.A.; Schwebke, J.R. Biofilms: An Underappreciated Mechanism of Treatment Failure and Recurrence in Vaginal Infections. Clin. Infect. Dis. 2015, 61, 601–606. [Google Scholar] [CrossRef] [PubMed]
  17. Cools, F.; Torfs, E.; Aizawa, J.; Vanhoutte, B.; Maes, L.; Caljon, G.; Delputte, P.; Cappoen, D.; Cos, P. Optimization and Characterization of a Galleria mellonella Larval Infection Model for Virulence Studies and the Evaluation of Therapeutics Against Streptococcus pneumoniae. Front. Microbiol. 2019, 10, 311. [Google Scholar] [CrossRef] [PubMed]
  18. Schwendicke, F.; Korte, F.; Kneist, S.; El-Sayed, K.F.; Paris, S.; Dörfer, C.E. Inhibition of Streptococcus mutans Growth and Biofilm Formation by Probiotics in vitro. Caries Res. 2017, 51, 87–95. [Google Scholar] [CrossRef]
  19. Rossoni, R.D.; De Barros, P.P.; De Alvarenga, J.A.; Ribeiro, F.D.C.; Velloso, M.D.S.; Fuchs, B.B.; Mylonakis, E.; Jorge, A.O.C.; Junqueira, J.C. Antifungal activity of clinical Lactobacillus strains against Candida albicans biofilms: Identification of potential probiotic candidates to prevent oral candidiasis. Biofouling 2018, 34, 212–225. [Google Scholar] [CrossRef]
  20. Ribeiro, F.C.; de Barros, P.P.; Rossoni, R.D.; Junqueira, J.C.; Jorge, A.O. Lactobacillus rhamnosus inhibits Candida albicans virulence factors in vitro and modulates immune system in Galleria mellonella. J. Appl. Microbiol. 2017, 122, 201–211. [Google Scholar] [CrossRef]
  21. Corsetti, A.; Settanni, L.; Van Sinderen, D. Characterization of bacteriocin-like inhibitory substances (BLIS) from sourdough lactic acid bacteria and evaluation of their in vitro and in situ activity. J. Appl. Microbiol. 2004, 96, 521–534. [Google Scholar] [CrossRef]
  22. Bettache, G.; Fatma, A.; Miloud, H.; Mebrouk, K. Isolation and Identification of Lactic Acid Bacteria from Dhan, a Traditional Butter and Their Major Technological Traits. World Appl. Sci. J. 2012, 17, 480–488. [Google Scholar]
  23. Murray, C.K.; Beckius, M.L.; Green, J.A.; Hospenthal, D.R. Use of chromogenic medium in the isolation of yeasts from clinical specimens. J. Med. Microbiol. 2005, 54, 981–985. [Google Scholar] [CrossRef]
  24. Wolf, C.E.; Gibbons, W.R. Improved method for quantification of the bacteriocin nisin. J. Appl. Bacteriol. 1996, 80, 453–457. [Google Scholar] [CrossRef] [PubMed]
  25. Brito, D.; Fevereiro, P.; Delgado, A.; Peres, C.; Marques, J.F. Antimicrobial activity of L. plantarum, isolated from a traditional lactic acid fermentation of table olives. Lait 2001, 81, 203–215. [Google Scholar]
  26. Lowry, O.H.; Rosebrough, N.J.; Farr, A.L.; Randall, R.J. Protein measurement with the Folin phenol reagent. J. Biol. Chem. 1951, 193, 265–275. [Google Scholar] [CrossRef]
  27. Laemmli, U.K. Cleavage of structural proteins during the assembly of the head of bacteriophage T4. Nature 1970, 227, 680–685. [Google Scholar] [CrossRef]
  28. Peeters, E.; Nelis, H.J.; Coenye, T. Comparison of multiple methods for quantification of microbial biofilms grown in microtiter plates. J. Microbiol. Methods 2008, 72, 157–165. [Google Scholar] [CrossRef]
  29. Taff, H.T.; Nett, J.E.; Andes, D.R. Comparative analysis of Candida biofilm quantitation assays. Med. Mycol. 2012, 50, 214–218. [Google Scholar] [CrossRef]
  30. Cowen, L.; Singh, S.D.; Kohler, J.R.; Collins, C.; Zaas, A.K.; Schell, W.A.; Aziz, H.; Mylonakis, E.; Perfect, J.R.; Whitesell, L.; et al. Harnessing Hsp90 function as a powerful, broadly effective therapeutic strategy for fungal infectious disease. Proc. Natl. Acad. Sci. USA 2009, 106, 2818–2823. [Google Scholar] [CrossRef]
  31. Weisburg, W.G.; Barns, S.M.; Pelletier, D.A.; Lane, D.J. 16S ribosomal DNA amplification for phylogenetic study. J. Bacteriol. 1991, 173, 697–703. [Google Scholar] [CrossRef]
  32. Altschul, S.F.; Madden, T.L.; Schäffer, A.A.; Zhang, J.; Zhang, Z.; Miller, W.; Lipman, D.J. Gapped BLAST and PSI-BLAST: A new generation of protein database search programs. Nucleic Acids Res. 1997, 25, 3389–3402. [Google Scholar] [CrossRef]
  33. Yang, E.; Fan, L.; Jiang, Y.; Doucette, C.; Fillmore, S. Antimicrobial activity of bacteriocin-producing lactic acid bacteria isolated from cheeses and yogurts. AMB Express 2012, 2, 48. [Google Scholar] [CrossRef]
  34. Sharpe, D. Biopreservation of Fresh-Cut Salads Using Bacteriocinogenic Lactic Acid Bacteria Isolated from Commercial Produce. Master’s Thesis, Dalhousie University, Halifax, NS, Canada, 2009; pp. 1–6. [Google Scholar]
  35. Sezer, G.; Güven, A. Investigation of bacteriocin production capability of lactic acid bacteria isolated from foods. Kafkas Univ. Vet. Fak. Derg. 2009, 15, 45–50. [Google Scholar]
  36. Okkers, D.J.; Dicks, L.M.T.; Silvester, M.; Joubert, J.J.; Odendaal, H.J. Characterization of pentocin TV35b, a bacteriocin-like peptide isolated from Lactobacillus pentosus with a fungistatic effect on Candida albicans. J. Appl. Microbiol. 1999, 87, 726–734. [Google Scholar] [CrossRef] [PubMed]
  37. Reid, G.; Jass, J.; Sebulsky, M.T.; McCormick, J.K. Potential Uses of Probiotics in Clinical Practice. Clin. Microbiol. Rev. 2003, 16, 658–672. [Google Scholar] [CrossRef] [PubMed]
  38. Conti, C.; Malacrino, C.; Mastromarino, P. Inhibition of herpes simplex virus type 2 by vaginal lactobacilli. J. Physiol. Pharmacol. 2009, 60, 19–26. [Google Scholar]
  39. Mastromarino, P.; Di Pietro, M.; Schiavoni, G.; Nardis, C.; Gentile, M.; Sessa, R. Effects of vaginal lactobacilli in Chlamydia trachomatis infection. Int. J. Med. Microbiol. 2014, 304, 654–661. [Google Scholar] [CrossRef]
  40. Pascual, L.M.; Daniele, M.B.; Pájaro, C.; Barberis, L. Lactobacillus species isolated from the vagina: Identification, hydrogen peroxide production and nonoxynol-9 resistance. Contraception 2006, 73, 78–81. [Google Scholar] [CrossRef] [PubMed]
  41. Chassot, F.; Camacho, D.P.; Patussi, E.V.; Donatti, L.; Svidzinski, T.I.; Consolaro, M.E. Can Lactobacillus acidophilus influence the adhesion capacity of Candida albicans on the combined contraceptive vaginal ring? Contraception 2010, 81, 331–335. [Google Scholar] [CrossRef] [PubMed]
  42. Ogunshe, A.A.; Omotoso, M.; Bello, V.B. The In Vitro Antimicrobial Activities of Metabolites from Lactobacillus Strains on Candida Species Implicated in Candida Vaginitis. Malays. J. Med. Sci. 2011, 18, 13–25. [Google Scholar]
  43. Cherif, A.; Ouzari, H.; Daffonchio, D.; Cherif, H.; Ben Slama, K.; Hassen, A.; Jaoua, S.; Boudabous, A. Thuricin 7: A novel bacteriocin produced by Bacillus thuringiensis BMG1.7, a new strain isolated from soil. Lett. Appl. Microbiol. 2001, 32, 243–247. [Google Scholar] [CrossRef]
  44. Abdel-Mohsein, H.; Yamamoto, N.; Otawa, K.; Tada, C.; Nakai, Y. Isolation of bacteriocin-like substances producing bacteria from finished cattle-manure compost and activity evaluation against some food-borne pathogenic and spoilage bacteria. J. Gen. Appl. Microbiol. 2010, 56, 151–161. [Google Scholar] [CrossRef][Green Version]
  45. Ogunbanwo, S.; Sanni, A.; Onilude, A.A. Characterization of bacteriocin produced by Lactobacillus plantarum F1 and Lactobacillus brevis OG1. Afr. J. Biotechnol. 2003, 2, 219–227. [Google Scholar]
  46. Fatima, D.; Mebrouk, K. Characterization and determination of the factors affecting anti-listerial bacteriocins from Lactobacillus plantarum and Pediococcus pentosaceus isolated from dairy milk products. Afr. J. Food Sci. 2013, 7, 35–44. [Google Scholar] [CrossRef]
  47. Ge, J.; Sun, Y.; Xin, X.; Wang, Y.; Ping, W. Purification and Partial Characterization of a Novel Bacteriocin Synthesized by Lactobacillus paracasei HD1-7 Isolated from Chinese Sauerkraut Juice. Sci. Rep. 2016, 6, 19366. [Google Scholar] [CrossRef]
  48. Abdel-Bar, N.; Harris, N.D.; Rill, R.L. Purification and Properties of an Antimicrobial Substance Produced by Lactobacillus bulgaricus. J. Food Sci. 1987, 52, 411–415. [Google Scholar] [CrossRef]
  49. Khalil, R.; Elbahloul, Y.; Djadouni, F.; Omar, S. Isolation and Partial Characterization of a Bacteriocin Produced by a Newly Isolated Bacillus megaterium 19 Strain. Pak. J. Nutr. 2009, 8, 242–250. [Google Scholar] [CrossRef]
  50. Muriana, P.M.; Klaenhammer, T.R. Purification and partial characterization of lactacin F, a bacteriocin produced by Lactobacillus acidophilus 11088. Appl. Environ. Microbiol. 1991, 57, 114–121. [Google Scholar] [CrossRef]
  51. Ishijima, S.A.; Hayama, K.; Burton, J.P.; Reid, G.; Okada, M.; Matsushita, Y.; Abe, S. Effect of Streptococcus salivarius K12 on the In Vitro Growth of Candida albicans and Its Protective Effect in an Oral Candidiasis Model. Appl. Environ. Microbiol. 2012, 78, 2190–2199. [Google Scholar] [CrossRef] [PubMed]
  52. Wirawan, R.E.; Swanson, K.M.; Kleffmann, T.; Jack, R.W.; Tagg, J.R. Uberolysin: A novel cyclic bacteriocin produced by Streptococcus uberis. Microbiology 2007, 153, 1619–1630. [Google Scholar] [CrossRef] [PubMed]
  53. Heng, N.C.; Burtenshaw, G.A.; Jack, R.W.; Tagg, J.R. Ubericin A, a class IIa bacteriocin produced by Streptococcus uberis. Appl. Environ. Microbiol. 2007, 73, 7763–7766. [Google Scholar] [CrossRef] [PubMed]
  54. Tumbarello, M.; Fiori, B.; Trecarichi, E.M.; Posteraro, P.; Losito, A.R.; De Luca, A.; Sanguinetti, M.; Fadda, G.; Cauda, R.; Posteraro, B. Risk Factors and Outcomes of Candidemia Caused by Biofilm-Forming Isolates in a Tertiary Care Hospital. PLoS ONE 2012, 7, e33705. [Google Scholar] [CrossRef] [PubMed]
  55. Vilela, S.F.; Barbosa, J.O.; Rossoni, R.D.; Santos, J.D.; Prata, M.C.; Anbinder, A.L.; Jorge, A.O.; Junqueira, J.C. Lactobacillus acidophilus ATCC 4356 inhibits biofilm formation by C. albicans and attenuates the experimental candidiasis in Galleria mellonella. Virulence 2015, 6, 29–39. [Google Scholar] [CrossRef] [PubMed]
  56. Van Der Mei, H.C.; Buijssen, K.J.D.A.; Van Der Laan, B.F.A.M.; Ovchinnikova, E.; Geertsema-Doornbusch, G.I.; Atema-Smit, J.; Van De Belt-Gritter, B.; Busscher, H.J. Voice Prosthetic Biofilm Formation and Candida Morphogenic Conversions in Absence and Presence of Different Bacterial Strains and Species on Silicone-Rubber. PLoS ONE 2014, 9, e104508. [Google Scholar] [CrossRef] [PubMed]
  57. Matsubara, V.H.; Wang, Y.; Bandara, H.M.H.N.; Mayer, M.P.A.; Samaranayake, L.P. Probiotic lactobacilli inhibit early stages of Candida albicans biofilm development by reducing their growth, cell adhesion, and filamentation. Appl. Microbiol. Biotechnol. 2016, 100, 6415–6426. [Google Scholar] [CrossRef]
  58. Matsubara, V.H.; Silva, E.G.; Paula, C.R.; Ishikawa, K.H.; Nakamae, A.E.M. Treatment with probiotics in experimental oral colonization by Candida albicans in murine model (DBA/2). Oral Dis. 2012, 18, 260–264. [Google Scholar] [CrossRef]
  59. Song, Y.-G.; Lee, S.-H. Inhibitory effects of Lactobacillus rhamnosus and Lactobacillus casei on Candida biofilm of denture surface. Arch. Oral Biol. 2017, 76, 1–6. [Google Scholar] [CrossRef] [PubMed]
  60. Parolin, C.; Marangoni, A.; Laghi, L.; Foschi, C.; Palomino, R.A.Ñ.; Calonghi, N.; Cevenini, R.; Vitali, B. Isolation of Vaginal Lactobacilli and Characterization of Anti-Candida Activity. PLoS ONE 2015, 10, e0131220. [Google Scholar] [CrossRef] [PubMed]
Figure 1. Pairwise comparison of the Kaplan–Meier cumulative (Cum) survival curves for G. mellonella larvae infected with Candida and injected with bacteriocin-like inhibitory substances (BLISs) from potential probiotic strains. The “Candida only” group represents Candida without the injection of BLISs. Control refers to the negative control injected with PBS only or with MRS broth only, or the noninjected control (0% larvae mortality in all three cases). (A) C. albicans clinical isolate (CA 1). (B) C. glabrata clinical isolate (NCAC 1). (C) C. albicans ATCC 90028.
Figure 1. Pairwise comparison of the Kaplan–Meier cumulative (Cum) survival curves for G. mellonella larvae infected with Candida and injected with bacteriocin-like inhibitory substances (BLISs) from potential probiotic strains. The “Candida only” group represents Candida without the injection of BLISs. Control refers to the negative control injected with PBS only or with MRS broth only, or the noninjected control (0% larvae mortality in all three cases). (A) C. albicans clinical isolate (CA 1). (B) C. glabrata clinical isolate (NCAC 1). (C) C. albicans ATCC 90028.
Antibiotics 10 00306 g001
Table 1. Inhibitory activity of different bacteriocin-like inhibitory substances (BLISs) on Candida albicans and non-Candida albicans isolates.
Table 1. Inhibitory activity of different bacteriocin-like inhibitory substances (BLISs) on Candida albicans and non-Candida albicans isolates.
Candida albicans Isolates (n = 25)Non-Candida albicans
Isolates (n = 20)
All Candida Isolates (n = 45)p Value
Probiotic Isolates (as Sources of BLISs)Positive Number (%)Negative Number (%)Positive Number (%)Negative Number (%)Positive
Number (%)
Lactobacillus pentosus15 (60)10 (40)18 (90)2 (10)33 (73.3)0.024 *
Lactobacillus plantarum I12 (48)13 (52)13 (65)7 (35)25 (55.6)0.254
Streptococcus uberis I13 (52)12 (48)10 (50)10 (50)23 (51.1)0.894
Lactobacillus rhamnosus I17 (68)8 (32)13 (65)7 (35)30 (66.7)0.832
Lactobacillus delbrueckii subsp. bulgaricus13 (52)12 (48)14 (70)6 (30)27 (60)0.221
Lactobacillus paracasei subsp. paracasei I14 (56)11 (44)11 (55)9 (45)25 (55.6)0.947
Lactobacillus plantarum II13 (52)12 (48)13 (65)7 (35)26 (57.8)0.380
Lactobacillus paracasei subsp. paracasei II15 (60)10 (40)16 (80)4 (20)31 (68.9)0.150
Lactobacillus rhamnosus II14 (56)11 (44)12 (60)8 (40)26 (57.8)0.787
Lactobacillus delbrueckii subsp. lactis I17 (68)8 (32)13 (65)7 (35)30 (66.7)0.832
Lactobacillus delbrueckii subsp. lactis II15 (60)10 (40)14 (70)6 (30)29 (64.4)0.486
Streptococcus agalactiae17 (68)8 (32)12 (60)8 (40)29 (64.4)0.577
Streptococcus uberis II17 (68)8 (32)13 (65)7 (35)30 (66.7)0.832
*, indicates statistical significance.
Table 2. Effect of heat, enzymes, and pH on bacteriocin-like inhibitory substances (BLISs).
Table 2. Effect of heat, enzymes, and pH on bacteriocin-like inhibitory substances (BLISs).
TreatmentProbiotic Isolates (as Sources of BLISs)
Lactobacillus
pentosus
Lactobacillus
rhamnosus I
Lactobacillus
paracasei subsp. paracasei II
Lactobacillus
delbrueckii subsp. lactis I
Streptococcus
uberis II
Effect of Heat121 °C15 min+++
100 °C30 min++++
60 min+++
80 °C30 min++++
40 °C30 min+++++
Effect of EnzymesPepsinSSSSS
TrypsinSSSSS
α-amylaseRRRRR
Effect of pHpH 3+++++
pH 5+++++
pH 7++++++++++
pH 10+++++
R: Resistant to inactivation; S: Sensitive to inactivation, +: Retained activity; ++: Retained enhanced activity, −: No activity.
Table 3. Effect of surfactants on bacteriocin-like inhibitory substances (BLISs) activity against Candida albicans and Candida glabrata, as indicated by residual activity (%).
Table 3. Effect of surfactants on bacteriocin-like inhibitory substances (BLISs) activity against Candida albicans and Candida glabrata, as indicated by residual activity (%).
SurfactantConcentrationProbiotic Isolates (as Sources of BLISs)
Lactobacillus
pentosus
Lactobacillus rhamnosus ILactobacillus
paracasei subsp. paracasei II
Lactobacillus
delbrueckii subsp. lactis I
Streptococcus uberis II
Candida albicansCandida glabrataCandida albicansCandida glabrataCandida albicansCandida glabrataCandida albicansCandida glabrataCandida albicansCandida glabrata
Tween 200.1%101.7%70.7%81.3%96.4%91.1%79.3%100.0%88.6%100.0%75.3%
1.0%100.0%70.7%81.3%94.9%86.7%77.9%100.0%75.9%111.8%78.2%
2%90.0%67.3%81.3%91.4%86.7%80.6%100.0%75.9%94.1%102.9%
5%86.7%70.7%81.3%91.4%86.7%74.9%100.0%63.3%80.4%69.9%
Tween 800.1%100.0%91.9%75.0%91.4%113.3%80.6%95.8%88.6%100.0%102.9%
1.0%100.0%93.3%75.0%96.4%106.7%85.0%91.7%84.4%105.9%62.9%
2%90.0%81.8%68.8%100.0%106.7%88.1%95.8%84.4%100.0%69.9%
5%90.0%77.4%68.8%108.1%106.7%74.9%95.8%84.4%94.1%61.7%
Table 4. Biofilm-inhibitory activity of bacteriocin-like inhibitory substances (BLISs) of potential probiotics against C. albicans and C. glabrata clinical isolates and C. albicans ATCC 90028.
Table 4. Biofilm-inhibitory activity of bacteriocin-like inhibitory substances (BLISs) of potential probiotics against C. albicans and C. glabrata clinical isolates and C. albicans ATCC 90028.
Candida albicans Clinical Isolate
(CA 1)
Candida glabrata Clinical Isolate
(NCAC 1)
Candida albicans (ATCC 90028)
GroupMean ± SDPercentage Reductionp-ValueMean ± SDPercentage Reductionp-ValueMean ± SDPercentage Reductionp-Value
No Lactobacilli6.182 ± 0.181--3.062 ± 0.110--21.744 ± 0.164--
Lactobacillus
pentosus
1.667 ± 0.05573.0%<0.0001 *0.891 ± 0.05570.9%<0.0001 *6.395 ± 0.05570.6%<0.0001 *
Lactobacillus
rhamnosus I
2.733 ± 0.06055.8%<0.0001 *1.403 ± 0.04454.2%<0.0001 *10.977 ± 0.42849.5%<0.0001 *
Lactobacillus paracasei subsp. paracasei II2.143 ± 0.07165.3%<0.0001 *1.143 ± 0.08262.7%<0.0001 *7.981 ± 0.11563.3%<0.0001 *
Lactobacillus delbrueckii
subsp. lactis I
1.919 ± 0.02769.0%<0.0001 *0.911 ± 0.00570.3%<0.0001 *6.973 ± 0.11567.9%<0.0001 *
Streptococcus uberis II3.671 ± 0.00540.6%<0.0001 *1.450 ± 0.04452.7%<0.0001 *12.682 ± 0.50441.7%<0.0001 *
*, indicates statistical significance.
Table 5. Survival of Candida-infected Galleria mellonella treated with bacteriocin-like inhibitory substances (BLISs) on the first, second, and seventh days.
Table 5. Survival of Candida-infected Galleria mellonella treated with bacteriocin-like inhibitory substances (BLISs) on the first, second, and seventh days.
Candida albicans Clinical Isolate (CA 1)First Day SurvivalSecond Day SurvivalSeventh Day Survival
Number (%)p-Value #Number (%)p-Value #Number (%)p-Value #
No BLIS (Candida only)2 (12.5)-1 (6.3)-0 (0.0)-
Probiotic Isolates (as sources of BLISs)Lactobacillus pentosus9 (56.3)0.009 *8 (50.0)0.006 *7 (43.8)0.003 *
Lactobacillus rhamnosus I7 (43.8)0.0495 (31.3)0.0703 (18.8)0.068
Lactobacillus paracasei subsp. paracasei II13 (81.3)<0.0001 *12 (75.0)<0.0001 *8 (50.0)0.001 *
Lactobacillus delbrueckii subsp. lactis I12 (75.0)<0.0001 *10 (62.5)<0.0001 *8 (50.0)0.001 *
Streptococcus uberis II5 (31.3)0.1994 (25.0)0.1461 (6.3)0.308
Candida glabrataclinical isolate (NCAC 1)
No BLIS (Candida only)3 (18.8)-2 (12.5)-0 (0.0)-
Probiotic Isolates
(as sources of BLISs)
Lactobacillus pentosus13 (81.3)<0.0001 *13 (81.3)<0.0001 *8 (50.0)0.001 *
Lactobacillus rhamnosus I9 (56.3)0.0297 (43.8)0.0494 (25.0)0.033
Lactobacillus paracasei subsp. paracasei II12 (75.0)0.001 *11 (68.8)0.001 *9 (56.3)<0.0001 *
Lactobacillus delbrueckii subsp. lactis I12 (75.0)0.001 *11 (68.8)0.001 *10 (62.5)<0.0001 *
Streptococcus uberis II6 (37.5)0.2394 (37.5)0.1033 (35.4)0.009 *
Candida albicans ATCC 90028
No BLIS (Candida only)3 (18.8)-3 (18.8)-0 (0.0)-
Probiotic Isolates
(as sources of BLISs)
Lactobacillus pentosus9 (56.3)0.0298 (50.0)0.0636 (37.5)0.007 *
Lactobacillus rhamnosus I6 (37.5)0.2395 (31.3)0.4154 (25.0)0.033
Lactobacillus paracasei subsp. paracasei II11 (68.8)0.004 *11 (68.8)0.004 *9 (56.3)<0.0001 *
Lactobacillus delbrueckii subsp. lactis I12 (75.0)0.001 *12 (75.0)0.001 *8 (50.0)0.001 *
Streptococcus uberis II5 (31.3)0.4154 (25.0)0.6722 (12.5)0.144
#, chi-squared test; *, indicates statistical significance at p < 0.01.
Publisher’s Note: MDPI stays neutral with regard to jurisdictional claims in published maps and institutional affiliations.

Share and Cite

MDPI and ACS Style

Hefzy, E.M.; Khalil, M.A.F.; Amin, A.A.I.; Ashour, H.M.; Abdelaliem, Y.F. Bacteriocin-Like Inhibitory Substances from Probiotics as Therapeutic Agents for Candida Vulvovaginitis. Antibiotics 2021, 10, 306. https://doi.org/10.3390/antibiotics10030306

AMA Style

Hefzy EM, Khalil MAF, Amin AAI, Ashour HM, Abdelaliem YF. Bacteriocin-Like Inhibitory Substances from Probiotics as Therapeutic Agents for Candida Vulvovaginitis. Antibiotics. 2021; 10(3):306. https://doi.org/10.3390/antibiotics10030306

Chicago/Turabian Style

Hefzy, Enas Mamdouh, Mahmoud A. F. Khalil, Amal A. Ibrahim Amin, Hossam M. Ashour, and Yasser Fathy Abdelaliem. 2021. "Bacteriocin-Like Inhibitory Substances from Probiotics as Therapeutic Agents for Candida Vulvovaginitis" Antibiotics 10, no. 3: 306. https://doi.org/10.3390/antibiotics10030306

APA Style

Hefzy, E. M., Khalil, M. A. F., Amin, A. A. I., Ashour, H. M., & Abdelaliem, Y. F. (2021). Bacteriocin-Like Inhibitory Substances from Probiotics as Therapeutic Agents for Candida Vulvovaginitis. Antibiotics, 10(3), 306. https://doi.org/10.3390/antibiotics10030306

Note that from the first issue of 2016, this journal uses article numbers instead of page numbers. See further details here.

Article Metrics

Back to TopTop