The Laccase-like Property of GHK-Cu and Its Applications in Colorimetric Sensing of Phenolic Compounds
Abstract
1. Introduction
2. Materials and Methods
2.1. Materials and Reagents
2.2. Apparatus and Measurements
2.3. Exploration of the Laccase-like Activity of GHK-Cu and Laccase
2.4. Study on the Enzyme Catalyzed Reaction Kinetics
2.5. Assessment of Catalytic Stability
2.6. Degradation of Phenolic Compounds
2.7. Establishment of Colorimetric Detection Method
2.8. Real Sample Analysis
2.9. Construction of Portable Cotton-Based Sensor
3. Results and Discussion
3.1. Characterization of GHK-Cu
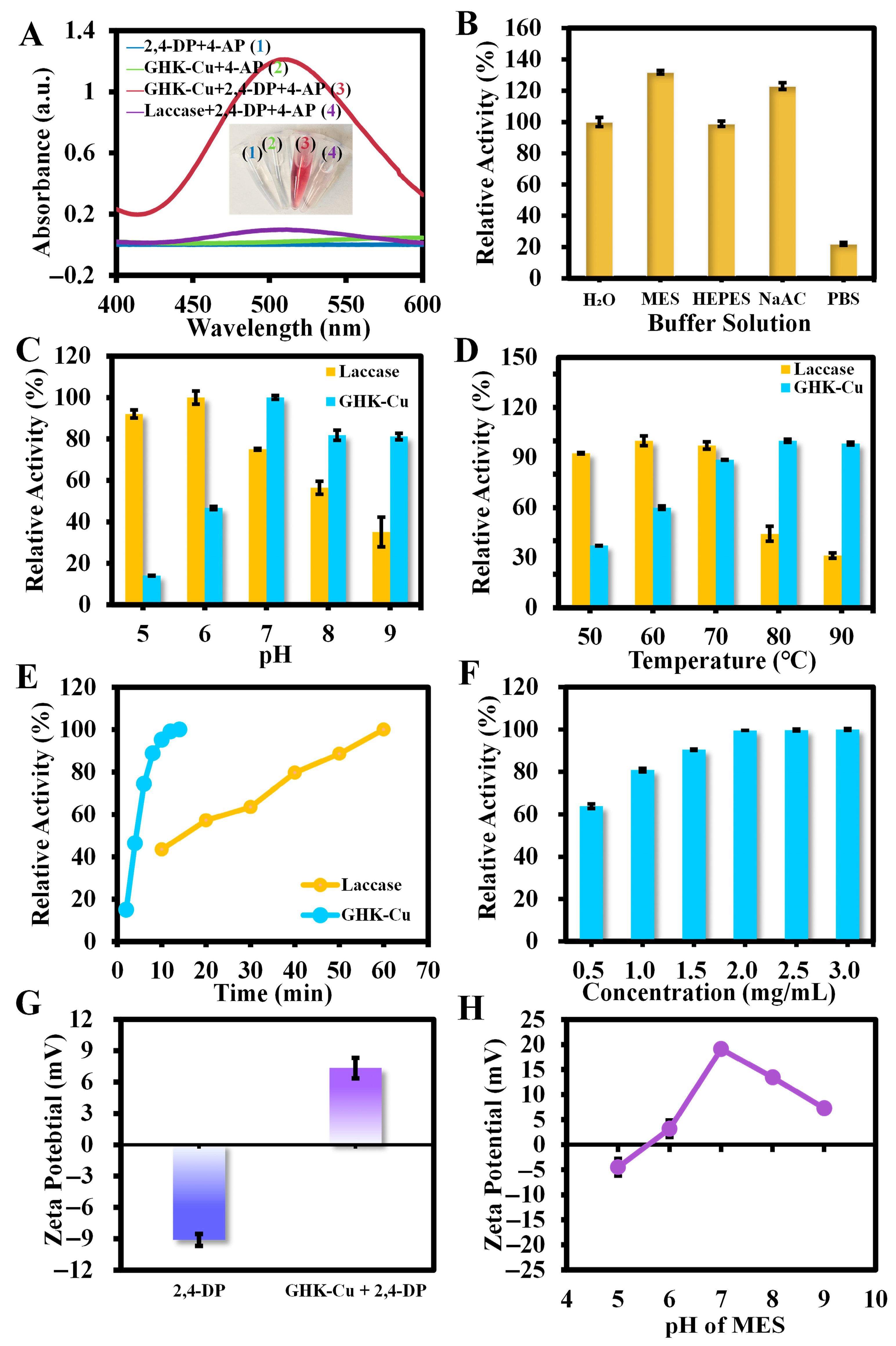
3.2. Evaluation of the Laccase-like Catalytic Activity of GHK-Cu
3.3. The Enzymatic Kinetics and Degradation Kinetics of GHK-Cu
3.4. Investigation of the Catalytic Stability of GHK-Cu
3.5. The Catalytic Mechanism of GHK-Cu
3.6. Study on the Catalytic Degradation of Various Phenolic Compounds by GHK-Cu
3.7. Detection of EP
3.8. Detection of 2-AP
3.9. Portable Cotton-Based Sensor for Rapid Detection of 2-AP in Seawater
4. Conclusions
Author Contributions
Funding
Institutional Review Board Statement
Informed Consent Statement
Data Availability Statement
Conflicts of Interest
References
- Pérez-Jiménez, J.; Torres, J.L. Analysis of nonextractable phenolic compounds in foods: The current state of the art. J. Agric. Food Chem. 2011, 59, 12713–12724. [Google Scholar] [CrossRef]
- Liu, J.; Hu, C.; Meng, X.Y.; Sun, Y.; Zhao, B.; Lin, Z. Metal covalent organic frameworks-based laccase-like nanozyme for oxidative degradation and identification of phenolic pollutants. J. Hazard. Mater. 2025, 487, 137142. [Google Scholar] [CrossRef] [PubMed]
- Jiang, H.; Dang, C.Y.; Liu, W.; Wang, T. Radical attack and mineralization mechanisms on electrochemical oxidation of p-substituted phenols at boron-doped diamond anodes. Chemosphere 2020, 248, 126033. [Google Scholar] [CrossRef]
- Gao, P.; Feng, Y.J.; Zhang, Z.H.; Liu, J.F.; Ren, N.Q. Comparison of competitive and synergetic adsorption of three phenolic compounds on river sediment. Environ. Pollut. 2011, 159, 2876–2881. [Google Scholar] [CrossRef]
- Zhang, J.X.; Xie, M.L.; Zhao, H.Y.; Zhang, L.R.; Wei, G.F.; Zhao, G.H. Preferential and efficient degradation of phenolic pollutants with cooperative hydrogen-bond interactions in photocatalytic process. Chemosphere 2021, 269, 129404. [Google Scholar] [CrossRef]
- Wang, J.C.; Zhang, L.D.; He, Y.J.; Ji, R. Biodegradation of phenolic pollutants and bioaugmentation strategies: A review of current knowledge and future perspectives. J. Hazard. Mater. 2024, 469, 133906. [Google Scholar] [CrossRef]
- Panigrahy, N.; Priyadarshini, A.; Sahoo, M.M.; Verma, A.K.; Daverey, A.; Sahoo, N.K. A comprehensive review on eco-toxicity and biodegradation of phenolics: Recent progress and future outlook. Environ. Technol. Innov. 2022, 27, 102423. [Google Scholar] [CrossRef]
- Lu, X.L.; Wei, F.D.; Xu, G.H.; Wu, Y.Z.; Yang, J.; Hu, Q. Surface molecular imprinting on silica-coated cdte quantum dots for selective and sensitive fluorescence detection of p-aminophenol in water. J. Fluoresc. 2017, 27, 181–189. [Google Scholar] [CrossRef] [PubMed]
- Ros, O.; Vallejo, A.; Blanco-Zubiaguirre, L.; Olivares, M.; Delgado, A.; Etxebarria, N.; Prieto, A. Microextraction with polyethersulfone for bisphenol-A, alkylphenols and hormones determination in water samples by means of gas chromatography-mass spectrometry and liquid chromatography-tandem mass spectrometry analysis. Talanta 2015, 134, 247–255. [Google Scholar] [CrossRef]
- Ming, S.S.; Gowthaman, N.S.K.; Lim, H.N.; Arul, P.; Narayanamoorthi, E.; Ibrahim, I.; Jaafar, H.; John, S.A. Aluminium MOF fabricated electrochemical sensor for the ultra-sensitive detection of hydroquinone in water samples. J. Electroanal. Chem. 2021, 883, 115067. [Google Scholar] [CrossRef]
- Liu, D.M.; Dong, C. Gold nanoparticles as colorimetric probes in food analysis: Progress and challenges. Food Chem. 2023, 429, 136887. [Google Scholar] [CrossRef] [PubMed]
- Janusz, G.; Pawlik, A.; Swiderska-Burek, U.; Polak, J.; Sulej, J.; Jarosz-Wilkolazka, A.; Paszczynski, A. Laccase Properties, Physiological Functions, and Evolution. Int. J. Mol. Sci. 2020, 21, 966. [Google Scholar] [CrossRef] [PubMed]
- Mikolasch, A.; Schauer, F. Fungal laccases as tools for the synthesis of new hybrid molecules and biomaterials. Appl. Microbiol. Biotechnol. 2009, 82, 605–624. [Google Scholar] [CrossRef]
- Polak, J. Structure/Redox potential relationship of simple organic compounds as potential precursors of dyes for laccase-mediated transformation. Biotechnol. Prog. 2012, 28, 93–102. [Google Scholar] [CrossRef]
- Jolivalt, C.; Brenon, S.; Caminade, E.; Mougin, C.; Pontié, M. Immobilization of laccase from Trametes versicolor on a modified PVDF microfiltration membrane: Characterization of the grafted support and application in removing a phenylurea pesticide in wastewater. J. Membr. Sci. 2000, 180, 103–113. [Google Scholar] [CrossRef]
- Kuah, E.; Toh, S.; Yee, J.; Ma, Q.; Gao, Z.Q. Enzyme mimics: Advances and applications. Chem.-Eur. J. 2016, 22, 8404–8430. [Google Scholar] [CrossRef]
- Liang, H.; Lin, F.F.; Zhang, Z.J.; Liu, B.W.; Jiang, S.H.; Yuan, Q.P.; Liu, J.W. Multicopper laccase mimicking nanozymes with nucleotides as ligands. ACS Appl. Mater. Interfaces 2017, 9, 1352–1360. [Google Scholar] [CrossRef]
- Xu, X.J.; Wang, J.H.; Huang, R.L.; Qi, W.; Su, R.X.; He, Z.M. Preparation of laccase mimicking nanozymes and their catalytic oxidation of phenolic pollutants. Catal. Sci. Technol. 2021, 11, 3402–3410. [Google Scholar] [CrossRef]
- Rashtbari, S.; Dehghan, G. Biodegradation of malachite green by a novel laccase-mimicking multicopper BSA-Cu complex: Performance optimization, intermediates identification and artificial neural network modeling. J. Hazard. Mater. 2021, 406, 124340. [Google Scholar] [CrossRef] [PubMed]
- Wang, Y.; He, C.; Li, W.; Zhang, J.L.; Fu, Y. Catalytic performance of oligonucleotide-templated Pt nanozyme evaluated by laccase substrates. Catal. Lett. 2017, 147, 2144–2152. [Google Scholar] [CrossRef]
- Wang, X.H.; Liu, J.Q.; Qu, R.J.; Wang, Z.Y.; Huang, Q.G. The laccase-like reactivity of manganese oxide nanomaterials for pollutant conversion: Rate analysis and cyclic voltammetry. Sci. Rep. 2017, 7, 7756. [Google Scholar] [CrossRef] [PubMed]
- Guan, J.P.; Wang, M.; Ma, R.Z.; Liu, Q.; Sun, X.T.; Xiong, Y.; Chen, X.Q. Single-atom Rh nanozyme: An efficient catalyst for highly sensitive colorimetric detection of acetylcholinesterase activity and adrenaline. Sens. Actuators B Chem. 2023, 375, 132972. [Google Scholar] [CrossRef]
- Zajda, J.; Wadych, E.; Ogorek, K.; Drozd, M.; Matczuk, M. Novel applications of ce-icp-ms/ms: Monitoring of antiaging ghk-cu cosmetic component encapsulation in liposomes. Electrophoresis 2024, 45, 1946–1954. [Google Scholar] [CrossRef] [PubMed]
- Schlesinger, D.H.; Pickart, L.; Thaler, M.M. Growth-modulating serum tripeptide is glycyl-histidyl-lysine. Experientia 1977, 33, 324–325. [Google Scholar] [CrossRef]
- Alshammari, N.; Platts, J.A. Theoretical study of copper binding to GHK peptide. Comput. Biol. Chem. 2020, 86, 107265. [Google Scholar] [CrossRef]
- Pickart, L.; Margolina, A. Regenerative and protective actions of the GHK-Cu peptide in the light of the new gene data. Int. J. Mol. Sci. 2018, 19, 1987. [Google Scholar] [CrossRef]
- Wang, Y.; Zheng, Z.; Pathak, J.L.; Cheng, H.; Huang, S.; Fu, Z.; Li, P.; Wu, L.; Zheng, H. GHK-Cu/Pionin-loaded in situ electrospun PVB/PVP smart dressing promotes wound healing via anti-oxidant, anti-inflammatory, antimicrobial, and tissue regenerative effects. Chem. Eng. J. 2024, 492, 152154. [Google Scholar] [CrossRef]
- Wang, F.; Yu, X.; Yu, Z.; Cui, Y.; Xu, L.; Huo, S.; Ding, Z.; Zhao, L.; Du, L.; Qiu, Y. Improved laccase production by Trametes versicolor using Copper-Glycyl-L-Histidyl-L-Lysine as a novel and high-efficient inducer. Front. Bioeng. Biotechnol. 2023, 11, 1176352. [Google Scholar] [CrossRef]
- Liu, Y.; Liu, L.; Qu, Z.; Yu, L.L.; Sun, Y. Supramolecular assembly of benzophenone alanine and copper presents high laccase-like activity for the degradation of phenolic pollutants. J. Hazard. Mater. 2023, 443, 130198. [Google Scholar] [CrossRef] [PubMed]
- Chai, T.Q.; Wang, J.L.; Chen, G.Y.; Chen, L.X.; Yang, F.Q. Tris-Copper Nanozyme as a Novel Laccase Mimic for the Detection and Degradation of Phenolic Compounds. Sensors 2023, 23, 8137. [Google Scholar] [CrossRef] [PubMed]
- Li, J.X.; Chai, T.Q.; Chen, G.Y.; Luo, M.L.; Wan, J.B.; Yang, F.Q. A novel dual-ligand copper-based nanoflower for the colorimetric and fluorescence detection of 2,4-dichlorophenol, epinephrine and hydrogen peroxide. Anal. Chim. Acta 2024, 1330, 343298. [Google Scholar] [CrossRef]
- Sun, L.M.; Li, A.P.; Hu, Y.Z.; Li, Y.; Shang, L.; Zhang, L.B. Self-assembled fluorescent and antibacterial GHK-Cu nanoparticles for wound healing applications. Part. Part. Syst. Charact. 2019, 36, 1800420. [Google Scholar] [CrossRef]
- Wang, R.; Ma, X.W.; Hamed, E.M.; Cao, B.Y.; Wang, L.; Li, S.F.Y.; Zhu, Y.Y. Deciphering of laccase-like activity ruthenium single-atom nanozyme for identification/quantification and remediation of phenolic pollutants. Sens. Actuators B Chem. 2025, 426, 137112. [Google Scholar] [CrossRef]
- Chai, S.Y.; Huang, E.Z.; Zeng, J.S.; Shi, Y.Y.; Zhang, J.S.; Zhang, X. Excellent Laccase Mimic Activity of Cu-Melamine and Its Applications in the Degradation of Congo Red. Appl. Biochem. Biotechnol. 2025, 197, 3332–3345. [Google Scholar] [CrossRef] [PubMed]
- Liu, X.; An, P.D.; Han, Y.D.; Meng, H.; Zhang, X. MOF-818(Cu)-derived bi-nanozymes of laccase and catecholase mimics and colorimetric sensing to epinephrine. Microchem. J. 2024, 201, 110559. [Google Scholar] [CrossRef]
- Zhang, G.Q.; Long, X.; Shi, Y.H.; Wu, W.; Zhou, X.Y.; Jiang, W.C.; Li, T.Q.; Xiang, W.J.; Liu, W.P.; Zhao, Y. Unraveling the modulation of covalently bonded carbon matrix on Fe-N4 active sites for enhanced laccase-like activity: Toward advanced detection and degradation of phenolic pollutants. Microchim. Acta 2025, 192, 464. [Google Scholar] [CrossRef]
- Li, M.N.; Xie, Y.F.; Lei, L.L.; Huang, H.; Li, Y.X. Colorimetric logic gate for protamine and trypsin based on the Bpy-Cu nanozyme with laccase-like activity. Sens. Actuators B Chem. 2022, 357, 131429. [Google Scholar] [CrossRef]
- Liu, Y.F.; Zhang, J.; Cui, S.; Wei, H.; Yang, D.Z. Perovskite hydroxide-based laccase mimics with controllable activity for environmental remediation and biosensing. Biosens. Bioelectron. 2024, 256, 116275. [Google Scholar] [CrossRef] [PubMed]
- Dong, T.T.; Zhang, H.Y.; Kong, L.Q.; Liu, Z.; Ma, H.C. Bioinspired coassembly of peptide, imidazolecarboxaldehyde, and copper for nanozyme with laccase-like activity for colorimetric detection of epinephrine. Colloids Surf. A Physicochem. Eng. Asp. 2025, 704, 135445. [Google Scholar] [CrossRef]
- Yang, L.; Guo, X.Y.; Zheng, Q.H.; Zhang, Y.; Yao, L.; Xu, Q.X.; Chen, J.C.; He, S.B.; Chen, W. Construction of platinum nanozyme by using carboxymethylcellulose with improved laccase-like activity for phenolic compounds detection. Sens. Actuators B Chem. 2023, 393, 134165. [Google Scholar] [CrossRef]
- Wei, W.Y.; Wang, H.; Su, P.; Song, J.Y.; Yang, Y. Bioinspired Cu/Zn-ZIF nanozyme with excellent laccase-like activity for selective colorimetric detection of phenolic pollutants. Talanta 2025, 291, 127862. [Google Scholar] [CrossRef]
- Xu, L.L.; Nan, J.L.; Han, S.X.; Fang, Y.X.; Dong, S.J. Spherical nanoflower-shaped Co-2MI with laccase-like activity for colorimetric detection of salbutamol. RSC Adv. 2025, 15, 33610–33614. [Google Scholar] [CrossRef]
- Chen, X.Y.; Yang, X.; Su, X.L.; Cavaco-Paulo, A.; Su, J.; Wang, H.B. Synthesis of phenylalanine/manganese-copper supramolecular sheets with laccase-like activity for the detection of phenolic pollutants. Microchem. J. 2024, 206, 111380. [Google Scholar] [CrossRef]
- Wang, Y.S.; Tian, S.; Chen, S.Y.; Li, M.J.; Tang, D.P. S-modified MOF nanozyme cascade system with multi-enzyme activity for dual-mode antibiotic assay. Anal. Chem. 2025, 97, 7526–7535. [Google Scholar] [CrossRef]
- Franklin, L.M.; Walker, S.M.; Hill, G. A DFT study of isolated histidine interactions with metal ions (Ni2+, Cu2+, Zn2+) in a six-coordinated octahedral complex. J. Mol. Model. 2020, 26, 116. [Google Scholar] [CrossRef]
- Punniyamoorthy, M.; Soosaimanickam, C.; Kathiresan, M.; Alwarappan, S. 2D Nb2C MXene/COF Composite as Electrochemical Platform for the Stress Marker Epinephrine Detection. ACS Appl. Nano Mater. 2025, 8, 19771–19778. [Google Scholar] [CrossRef]
- Maity, T.; Jain, S.; Solra, M.; Barman, S.; Rana, S. Robust and reusable laccase mimetic copper oxide nanozyme for phenolic oxidation and biosensing. ACS Sustain. Chem. Eng. 2022, 10, 1398–1407. [Google Scholar] [CrossRef]
- Wang, J.H.; Huang, R.L.; Qi, W.; Su, R.X.; Binks, B.P.; He, Z.M. Construction of a bioinspired laccase-mimicking nanozyme for the degradation and detection of phenolic pollutants. Appl. Catal. B Environ. 2019, 254, 452–462. [Google Scholar] [CrossRef]
- Chai, T.Q.; Chen, G.Y.; Chen, L.X.; Wang, J.L.; Zhang, C.Y.; Yang, F.Q. Adenine phosphate-Cu nanozyme with multienzyme mimicking activity for efficient degrading phenolic compounds and detection of hydrogen peroxide, epinephrine and glutathione. Anal. Chim. Acta 2023, 1279, 341771. [Google Scholar] [CrossRef]
- Ying, M.H.; Yang, G.Z.; Xu, Y.J.; Ye, H.L.; Lin, X.; Lu, Y.; Pan, H.B.; Bai, Y.; Du, M. Copper fumarate with high-bifunctional nanozyme activities at different pH values for glucose and epinephrine colorimetric detection in human serum. Analyst 2021, 147, 40–47. [Google Scholar] [CrossRef]
- Ma, H.C.; Zheng, N.N.; Chen, Y.T.; Jiang, L. Laccase-like catalytic activity of Cu-tannic acid nanohybrids and their application for epinephrine detection. Colloids Surf. A 2021, 613, 126105. [Google Scholar] [CrossRef]
- Corona-Avendaño, S.; Alarcón-Angeles, G.; Ramírez-Silva, M.T.; Romero-Romo, M.; Cuán, A.; Palomar-Pardavé, M. Simultaneous electrochemical determination of adrenaline and ascorbic acid: Influence of [CTAB]. J. Electrochem. Soc. 2009, 156, J375–J381. [Google Scholar] [CrossRef]
- Ramu, A.G.; Umar, A.; Ibrahim, A.A.; Algadi, H.; Ibrahim, Y.S.A.; Wang, Y.; Hanafiah, M.M.; Shanmugam, P.; Choi, D.J. Synthesis of porous 2D layered nickel oxide-reduced graphene oxide (NiO-rGO) hybrid composite for the efficient electrochemical detection of epinephrine in biological fluid. Environ. Res. 2021, 200, 111366. [Google Scholar] [CrossRef]
- Weerasinghe, H.; Kumarihamy, M.; Wu, H.F. Synthesis of 2D VO2 nanosheets for the dual optical sensor method by colorimetric and fluorometric sensing of catecholamines. ACS Appl. Mater. Interfaces 2023, 15, 47921–47929. [Google Scholar] [CrossRef] [PubMed]
- Song, Z.W.; Huang, Q.Q.; Zhang, S.Z.; Luo, S.L.; Su, M.D.; Yang, X.; Wang, S.P.; Wang, L.W. Construction of COF@MOF composite-based electrochemical sensor for rapid detection of 2-Aminophenol. Microchem. J. 2024, 203, 110920. [Google Scholar] [CrossRef]
- Oshima, H.; Tamaki, T.; Oh-I, T.; Koga, M. Contact anaphylaxis due to para-aminophenol and para-methylaminophenol in hair dye. Contact Dermat. 2001, 45, 359. [Google Scholar] [CrossRef]
- Ohkuma, Y.; Kawanishi, S. Oxidative DNA damage induced by a metabolite of carcinogenic o-anisidine: Enhancement of DNA damage and alteration in its sequence specificity by superoxide dismutase. Arch. Biochem. Biophys. 2001, 389, 49–56. [Google Scholar] [CrossRef] [PubMed]
- Rashtbari, S.; Dehghan, G.; Khataee, S.; Khataee, A. Detection and degradation of phenolic pollutants using a highly effective and stable biomimetic laccase-mimicking Cys-Cu/NH2-ZIF-8 nanozyme: Toxicity assessment and artificial neural network modeling. J. Environ. Chem. Eng. 2025, 13, 116539. [Google Scholar] [CrossRef]
- Sun, J.Y.; Shi, Z.X.; Li, J.F.; Liu, B.B.; Gan, T. Fabrication of hierarchical hollow manganese silicate spheres for the simultaneous enhanced determination of 2-aminophenol and 4-aminophenol. Electroanalysis 2016, 28, 111–118. [Google Scholar] [CrossRef]
- Li, X.C.; Zhong, A.N.; Wei, S.S.; Luo, X.L.; Liang, Y.J.; Zhu, Q. Polyelectrolyte functionalized gold nanoparticles-reduced graphene oxide nanohybrid for electrochemical determination of aminophenol isomers. Electrochim. Acta 2015, 164, 203–210. [Google Scholar] [CrossRef]
- Yi, Y.H.; Zhu, G.B.; Wu, X.Y.; Wang, K. Highly sensitive and simultaneous electrochemical determination of 2-aminophenol and 4-aminophenol based on poly (L-arginine)-β-cyclodextrinicarbon nanotubes@graphene nanoribbons modified electrode. Biosens. Bioelectron. 2016, 77, 353–358. [Google Scholar] [CrossRef] [PubMed]
- Manoj, D.; Rajendran, S.; Vasseghian, Y.; Ansar, S.; Gracia, F.; Soto-Moscoso, M. Tailoring the heterojunction of TiO2 with multivalence CeO2 nanocrystals—For detection of toxic 2-aminophenol. Food Chem. Toxicol. 2022, 165, 113182. [Google Scholar] [CrossRef] [PubMed]
- Wang, Y.J.; Li, M.J.; Qu, L.B.; Yu, L.L.; Li, Z.H. Highly active silver-based laccase-like nanozyme for colorimetric distinction and detection of phenylenediamine isomers. New J. Chem. 2025, 49, 10429–10439. [Google Scholar] [CrossRef]







| Catalyst | [E0] (mg·mL−1) | Km (mM) | Vmax (×10−4 mM·s−1) | kcat/Km (×10–4 (g·L–1)−1∙s–1) | Ref. |
|---|---|---|---|---|---|
| Laccase | 10 | 0.043 | 0.083 | 0.195 | This work |
| GHK-Cu | 2 | 0.061 | 1.735 | 14.3 | This work |
| Cu/GMP | 0.1 | 0.590 | 0.138 | 0.234 | [17] |
| Ru SA/GFs | 5 | 0.151 | 0.344 | 0.456 | [33] |
| Cu-Mel | 1 | 1.296 | 0.608 | 0.469 | [34] |
| CN-MOF-818 | 0.2 | 4.481 | 0.628 | 0.701 | [35] |
| COP-2 | 1 | 0.523 | 2.19 | 4.19 | [36] |
| Bpy-Cu | 1 | 0.190 | 0.247 | 1.30 | [37] |
| Cu0.5Mn0.5Sn(OH)6 | 0.1 | 0.320 | 0.325 | 10.2 | [38] |
| FF/ICA-Cu | 1 | 0.188 | 1.31 | 6.97 | [39] |
| CMC-PtNPs | 1.96 | 0.218 | 1.13 | 2.64 | [40] |
| Cu/Zn-ZIF | 1 | 0.090 | 0.593 | 6.59 | [41] |
| Co-2MI | 1 | 0.300 | 0.623 | 2.08 | [42] |
| Mn-F-Cu | 1 | 0.650 | 0.663 | 1.02 | [43] |
| S-FeCo-NC | 5 | 0.150 | 0.310 | 0.413 | [44] |
| Material | Methods | Linear Range (μM) | LOD (μM) | Ref. |
|---|---|---|---|---|
| GHK-Cu | Colorimetry | 20–240 | 9.5 | This work |
| CuSn(OH)6 | Colorimetry | 50–150 | 14.6 | [38] |
| Cu0.5Mn0.5Sn(OH)6 | Colorimetry | 20–200 | 9.3 | [38] |
| Cu2O nanospheres | Colorimetry | 0–200 | 10 | [47] |
| CH-Cu | Colorimetry | 27.0–270.0 | 27.0 | [48] |
| Adenine phosphate-Cu | Colorimetry | 5.0–200.0 | 5.0 | [49] |
| Cu-fumarate | Colorimetry | 2.7–54.6 | 2.7 | [50] |
| CTNs | Colorimetry | 4.5–90 | 4.5 | [51] |
| CTAB | DPV | 10–270 | 7.02 | [52] |
| NiO-rGO | Electrochemistry | 50–1000 | 10 | [53] |
| VO2 Nanosheets | Fluorimetry | 100–1000 | 48.1 | [54] |
| Samples | Concentration (μM) | Found (μM) | Comparison Value (%) | RSD (%) (n = 3) |
|---|---|---|---|---|
| Epinephrine Hydrochloride Injection | 227.6 | 240.5 | 105.6 | 1.4 |
| 227.6 | 246.3 | 108.2 | 0.9 | |
| 227.6 | 246.9 | 108.5 | 1.1 |
| Material | Method | Linear Range (μM) | LOD (μM) | Ref. |
|---|---|---|---|---|
| GHK-Cu | Colorimetry | 14–100 a | 2.56 a | This work |
| 2–120 b | 1.65 b | |||
| Tp-COF@Cu-BDC/GCE | Electrochemistry | 2–250 | 0.597 | [55] |
| Cys-Cu/NH2-ZIF-8 | Colorimetry | 30–300 | 8.92 | [58] |
| Manganese silicate/GCE | Electrochemistry | 0.1–70 | 18 × 10−3 | [59] |
| Au NPs/r-GO/GCE | Electrochemistry | 0.4–50 | 0.093 | [60] |
| Poly-L-arginine-cyclodextrin/CNTs@GNRs/GCE | Electrochemistry | 0.025–1.3 | 6.2 × 10−3 | [61] |
| Heterojunction CeO2–TiO2/GCE | Electrochemistry | 0.01–500 | 3.5 | [62] |
| Samples | Added (μM) | Found (μM) | Recovery (%) | RSD (%) (n = 3) |
|---|---|---|---|---|
| Tap Water | 20 | 20.8 | 104.0 | 2.1 |
| 40 | 41.0 | 102.6 | 1.8 | |
| 60 | 62.7 | 104.5 | 0.8 | |
| Jin Lake | 20 | 21.9 | 109.5 | 2.0 |
| 40 | 41.8 | 104.4 | 0.6 | |
| 60 | 62.9 | 104.8 | 0.4 | |
| Bohai Sea | 20 | 18.7 | 93.5 | 4.1 |
| 60 | 62.4 | 104.0 | 1.1 | |
| 100 | 101.6 | 101.6 | 2.0 | |
| Bohai Sea (using the cotton-based sensor to detect) | 100 | 101.4 | 101.4 | 3.1 |
| 200 | 191.2 | 95.6 | 1.7 | |
| 400 | 39.8 | 99.6 | 0.8 |
Disclaimer/Publisher’s Note: The statements, opinions and data contained in all publications are solely those of the individual author(s) and contributor(s) and not of MDPI and/or the editor(s). MDPI and/or the editor(s) disclaim responsibility for any injury to people or property resulting from any ideas, methods, instructions or products referred to in the content. |
© 2026 by the authors. Licensee MDPI, Basel, Switzerland. This article is an open access article distributed under the terms and conditions of the Creative Commons Attribution (CC BY) license.
Share and Cite
Chen, J.-S.; Zhu, H.; Chai, T.-Q.; Yang, F.-Q. The Laccase-like Property of GHK-Cu and Its Applications in Colorimetric Sensing of Phenolic Compounds. Biosensors 2026, 16, 217. https://doi.org/10.3390/bios16040217
Chen J-S, Zhu H, Chai T-Q, Yang F-Q. The Laccase-like Property of GHK-Cu and Its Applications in Colorimetric Sensing of Phenolic Compounds. Biosensors. 2026; 16(4):217. https://doi.org/10.3390/bios16040217
Chicago/Turabian StyleChen, Jiang-Shan, Huan Zhu, Tong-Qing Chai, and Feng-Qing Yang. 2026. "The Laccase-like Property of GHK-Cu and Its Applications in Colorimetric Sensing of Phenolic Compounds" Biosensors 16, no. 4: 217. https://doi.org/10.3390/bios16040217
APA StyleChen, J.-S., Zhu, H., Chai, T.-Q., & Yang, F.-Q. (2026). The Laccase-like Property of GHK-Cu and Its Applications in Colorimetric Sensing of Phenolic Compounds. Biosensors, 16(4), 217. https://doi.org/10.3390/bios16040217

