Analytical Performances of Polymer-Based Biosensors for Real Samples Application
Abstract
1. Introduction
1.1. Literature Organization and Meta-Data Processing
- Conductive and Electroactive Polymers (CPs) as Signal Transducers comprising the largest segment of the review [28,29,30,31,32,33,34,35,36,37,38,39,40,41,42,43,44,45,46,47,48,49,50,51,52,53,54,55,56,57,58,59,60,61,62,63,64,65,66]. These polymers facilitate the direct transduction of biological signals into electrical signals due to their inherent conductivity and π-conjugated structures. Key properties driving their widespread use include high electrical conductivity, excellent biocompatibility, the ability to be electrochemically polymerized, and a high surface area optimized for direct enzyme immobilization.
- Functional and Redox-Mediator Polymers represented by 26 studies [67,68,69,70,71,72,73,74,75,76,77,78,79,80,81,82,83,84,85,86,87,88,89,90,91,92]. These materials are specifically designed to shuttle electrons between the biological recognition element (such as an enzyme) and the electrode. They can also provide specific chemical functionality, like ion-exclusion or pH sensitivity. Their effectiveness relies on the presence of redox-active centers (e.g., Osmium or Ferrocene complexes), charge-carrying groups, and excellent film-forming stability.
- Hydrogels and Stimuli-Responsive Immobilization Matrices were exemplified by 14 studies [93,94,95,96,97,98,99,100,101,102,103,104,105,106]. These three-dimensional networked polymers can absorb large amounts of water to provide a biomimetic, protective environment for protein entrapment. Their analytical utility stems from their high-water content, tunable porosity, excellent biocompatibility, and responsiveness to external stimuli such as light, pH, or temperature.
- Molecularly Imprinted Polymers (MIPs) as Synthetic Recognition Elements encompassing 17 studies [107,108,109,110,111,112,113,114,115,116,117,118,119,120,121,122,123], this category focuses on “synthetic antibodies.” These are created by polymerizing monomers in the presence of a target template molecule, leaving behind customized binding cavities once the template is removed. MIPs offer high lock-and-key selectivity, chemical stability, thermal robustness, and cost-effectiveness compared to fragile biological receptors.
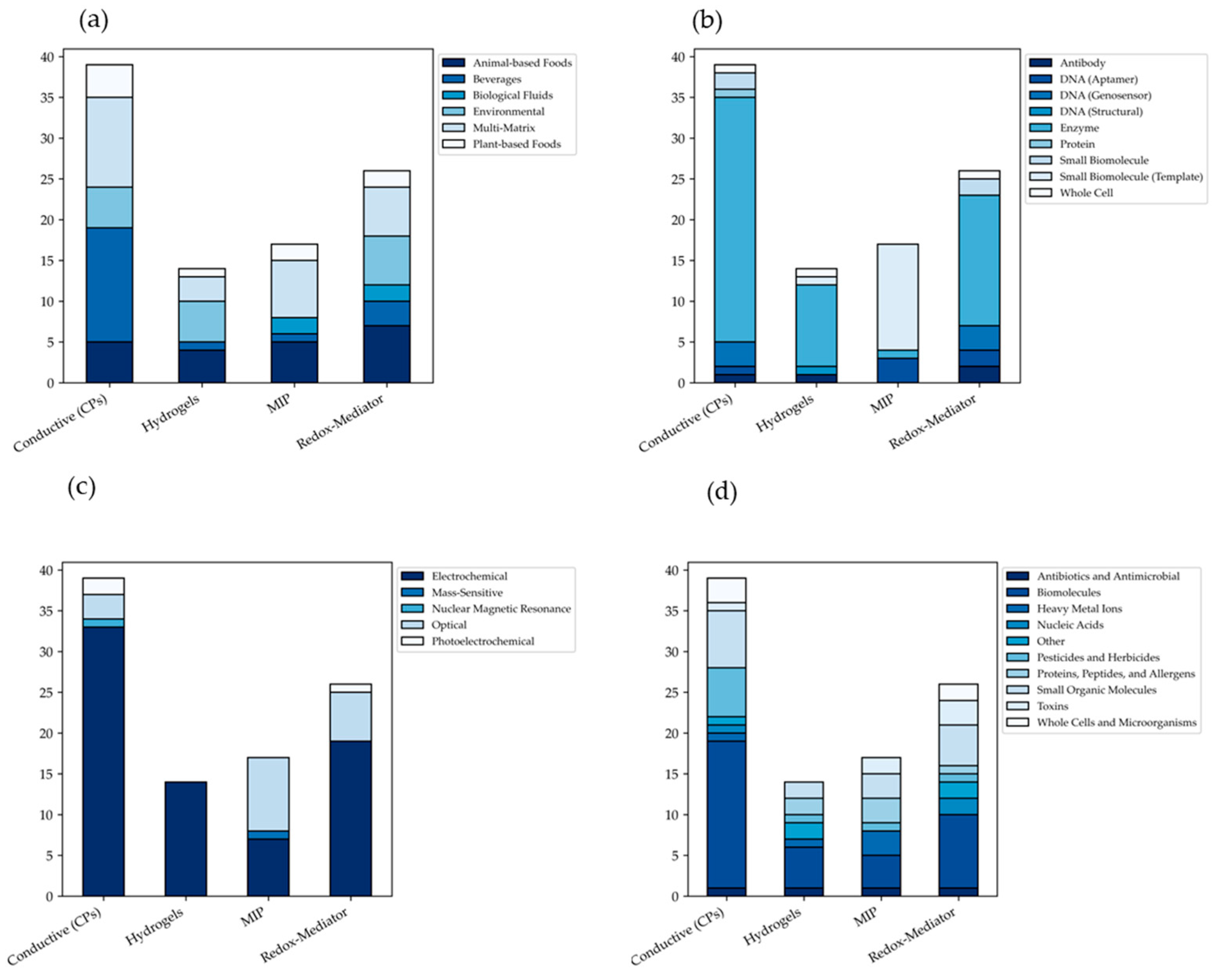
- Matrix Applicability (Figure 2a): The deployment of sensor types is highly dependent on the target environment. CPs demonstrate vast applicability, being predominantly deployed in beverage analysis [33,34,35,36,37,38,39,40,41,42,43,44,45,46] and broad multi-matrix scenarios [52,53,54,55,56,57,58,59,60,61,62]. In contrast, MIPs display a resilient presence across highly complex, fouling-prone matrices, including significant utilization in animal-based foods [107,108,109,110,111] and multi-matrix environments [115,116,117,118,119,120,121]. Hydrogels are more evenly distributed, showing strong utility in environmental [98,99,100,101,102] and animal-based food applications [93,94,95,96].
- Biorecognition Strategies (Figure 2b): This panel highlights the overwhelming reliance on enzymatic biorecognition within CP frameworks. Thirty studies employ this specific pairing [28,31,32,35,36,37,38,39,40,41,42,43,45,46,47,49,51,52,53,54,55,56,57,59,60,61,62,63,64,66], driven by the synergistic ability of CPs to facilitate rapid electron transfer from redox enzymes. Similarly, hydrogels rely heavily on enzymes (9 studies) [93,95,96,97,98,101,103,104,105]. Alternatively, MIPs largely bypass biological fragility, relying primarily on biomolecule templates (13 studies) to create synthetic recognition cavities [108,110,112,113,114,115,116,117,118,119,120,121,123], though they also successfully integrate DNA aptamers [107,109,111] or enzymes [122] for specific targets.
- Transduction Mechanisms (Figure 2c): When examining signal detection, electrochemical methods remain paramount across the entire field. CPs [28,30,31,32,33,34,35,36,37,38,39,40,41,42,43,44,45,46,47,49,51,53,54,55,56,57,59,60,61,62,63,64,66], Hydrogels [93,94,95,96,97,98,99,100,101,102,103,104,105,106], and Redox-Mediator polymers [67,69,70,73,74,76,77,79,80,81,82,83,85,86,87,88,89,90,92] heavily favor electrochemical pathways due to their inherent cost-effectiveness and capacity to perform sensitive measurements in turbid samples. Optical methods carve out highly specialized niches, serving as a significant secondary detection method for MIPs [110,112,114,115,116,117,121,122,123] and specific redox platforms [71,72,84,91].
- Target Molecules (Figure 2d): Analyzing the specific targets uncovers a clear bifurcation in research priorities. CPs are primarily designed for the continuous or rapid monitoring of abundant biomolecules [28,30,32,38,39,40,41,42,43,45,46,51,54,56,57,59,60,62] and small organic molecules [33,36,47,49,50,53,65]. Conversely, MIPs are strategically utilized for the highly selective, trace-level detection of severe contaminants, prominently targeting heavy metal ions [107,109,111], specific proteins [110,115,121], and toxins [108,123].
1.2. Analytical Realities: Metrics vs. Matrix
2. Polymer Functionality, Fabrication, and Detection Methodologies
2.1. Functional Classification of Polymers in Biosensing
2.2. Manufacturing Strategies and Sensor Reproducibility
2.3. Biorecognition Elements and Polymer Synergy
2.4. Detection Methodologies in Complex Matrices
2.5. The Quantification and Reproducibility Deficit: A Meta-Analytical Critique
3. Polymer Architectures for Food Matrix Analysis
3.1. The Matrix Challenge in Food and Beverage Analysis
3.2. Animal-Based Food Matrices
3.3. Plant-Based Food Matrices
3.4. Architectural Selection Dictated by Beverage Matrix Hazards
3.5. The Extraction Bottleneck and Direct Analysis Limitations
4. Environmental, Clinical, and Multi-Matrix Applications
4.1. The Matrix Challenge: From Ultra-Trace to Multi-Matrix Environments
4.2. Signal Amplification via Conductive Composites in Environmental Monitoring
4.3. Synthetic Recognition: The Environmental MIPs
4.4. Continuous Flow Monitoring and Hydrogel Networks
4.5. Permselective and Redox Polymers in Biological Fluids
4.6. Hydrogels as Protective Shields
4.7. Synthetic Recognition: Hybrid MIP Architectures in Clinical Matrices
4.8. Analytical Assessment and the Deployment Gap
- Microneedle-Integrated Systems: Bypassing standard flat electrodes, integrating MIPs onto microneedle arrays allows for non-destructive, in vivo monitoring, physically bypassing the extraction gap entirely [118].
- Zwitterionic Anti-Fouling Skins: To enable direct analysis in whole blood or multi-matrix extracts, architectures must evolve to incorporate zwitterionic or highly hydrated hydrogel skins that provide a stealth effect against protein adsorption while maintaining necessary electron transfer kinetics, see Table 4.
5. Critical Synthesis, Validation Gaps, and the Path to Commercialization
5.1. Technological Readiness and Validation Deficits
5.2. Multi-Matrix Versatility
5.3. Architectural Shifts for System Autonomy
5.4. The Speed and Protection Trade-Off
5.5. Standardization Mandate and Future Outlook
Author Contributions
Funding
Institutional Review Board Statement
Informed Consent Statement
Data Availability Statement
Acknowledgments
Conflicts of Interest
Abbreviations
| ATRP | Atom transfer radical polymerization |
| AuNP | Gold nanoparticles |
| BPA | Bisphenol A |
| BPS | Bisphenol S |
| CNOs | Carbon nano-onions |
| CPNPs | Conjugated polymer nanoparticles |
| CPs | Conductive and Electroactive Polymers |
| CV | Cyclic Voltammetry |
| DET | Direct electron transfer |
| DPV | Differential Pulse Voltammetry |
| ECL | Electrochemiluminescence |
| EIS | Electrochemical Impedance Spectroscopy |
| FRET | Fluorescence resonance energy transfer |
| HCR | Hybridization chain reaction |
| LMR | Lossy Mode Resonance |
| LOD | Limit of detection |
| LOQ | Limit of quantification |
| MIP | Molecularly imprinted polymer |
| MOCP | Metal–organic coordination polymers |
| MWCNT | Multi-walled carbon nanotubes |
| NADH | Nicotinamide adenine dinucleotide |
| N-PLS | N-way partial least squares (chemometric algorithm) |
| OECT | Organic electrochemical transistors |
| OH-POFs | Phloroglucinol-based microporous organic polymers |
| OPECT | Organic photoelectrochemical transistors |
| PANI | Polyaniline |
| PDDA | Poly(diallyldimethylammonium chloride) |
| PEDOT | Poly(3,4-ethylenedioxythiophene) |
| POCT | Point-of-care testing |
| PVA | Poly(vinyl alcohol) |
| RSD | Relative standard deviation |
| SERS | Surface-enhanced Raman scattering |
| SWV | Square Wave Voltammetry |
| ZIF-8 | Zeolitic imidazolate framework |
References
- Marfà, J.; Pupin, R.R.; Del Pilar Taboada Sotomayor, M.; Pividori Gurgo, M.I. Magnetic-molecularly imprinted polymers in electrochemical sensors and biosensors. Anal. Bioanal. Chem. 2021, 413, 6141–6157. [Google Scholar] [CrossRef] [PubMed]
- Dowlatshahi, S.; Jafar Abdekhodaie, M.J. Electrochemical prostate-specific antigen biosensors based on electroconductive nanomaterials and polymers. Clin. Chim. Acta 2021, 516, 111–135. [Google Scholar] [CrossRef] [PubMed]
- Mikaeeli Kangarshahi, B.; Sojdeh, S.; Daneshgar, H.; Bagherzadeh, M.; Naghib, S.M.; Rabiee, N. Electroconductive polymer-based biosensors for early cancer detection via liquid biopsy: Advances, challenges, and future prospects. TrAC-Trends Anal. Chem. 2025, 183, 118062. [Google Scholar] [CrossRef]
- Mohammadpour-Haratbar, A.; Zare, Y.; Rhee, K.Y. Electrochemical biosensors based on polymer nanocomposites for detecting breast cancer: Recent progress and future prospects. Adv. Colloid Interface Sci. 2022, 309, 102795. [Google Scholar] [CrossRef] [PubMed]
- Kamoun, E.A.; Elsabahy, M.; Elbadry, A.M.; Abdelazim, E.B.; Mohsen, A.A.; A Aleem, M.; Gao, H.; Eissa, N.G.; Elghamry, I.; Salim, S.A. Recent Progress of Polymer-Based Biosensors for Cancer Diagnostic Applications: Natural versus Synthetic Polymers. ACS Omega 2025, 10, 8816–8831. [Google Scholar] [CrossRef]
- Gupta, S.; Sharma, A.; Verma, R.S. Polymers in biosensor devices for cardiovascular applications. Curr. Opin. Biomed. Eng. 2020, 13, 69–75. [Google Scholar] [CrossRef]
- Antony, N.; Unnikrishnan, L.; Mohanty, S.; Nayak, S.K. The imperative role of polymers in enzymatic cholesterol biosensors—An overview. Polym.-Plast. Technol. Mater. 2019, 58, 1713–1741. [Google Scholar] [CrossRef]
- Murugesan, K.; Das, S.; Dutta, K. Molecularly Imprinted Polymers as Bioreceptors in Electrochemical Biosensor (ECBS) for Cholesterol Detection. Polym.-Plast. Technol. Mater. 2023, 62, 1477–1497. [Google Scholar] [CrossRef]
- Saxena, S.; Sen, P.; Soleymani, L.; Hoare, T. Anti-Fouling Polymer or Peptide-Modified Electrochemical Biosensors for Improved Biosensing in Complex Media. Adv. Sens. Res. 2024, 3, 2300170. [Google Scholar] [CrossRef]
- Lakard, B. Electrochemical biosensors based on conducting polymers: A review. Appl. Sci. 2020, 10, 6614. [Google Scholar] [CrossRef]
- Sen, A. Polymer nanocomposites in diabetes management: Advances in biosensors and drug delivery systems. Discov. Mater. 2025, 5, 26. [Google Scholar] [CrossRef]
- Dalkıran, B.; Brett, C.M.A. Polyphenazine and polytriphenylmethane redox polymer/nanomaterial–based electrochemical sensors and biosensors: A review. Microchim. Acta 2021, 188, 178. [Google Scholar] [CrossRef] [PubMed]
- Kumar, H.; Kumari, N.; Sharma, R. Nanocomposites (conducting polymer and nanoparticles) based electrochemical biosensor for the detection of environment pollutant: Its issues and challenges. Environ. Impact Assess. Rev. 2020, 85, 106438. [Google Scholar] [CrossRef]
- Naseri, M.; Mohammadniaei, M.; Sun, Y.; Ashley, J. The use of aptamers and molecularly imprinted polymers in biosensors for environmental monitoring: A tale of two receptors. Chemosensors 2020, 8, 32. [Google Scholar] [CrossRef]
- Kindschy, L.M.; Alociljá, E.C. A review of molecularly imprinted polymers for biosensor development for food and agricultural applications. Trans.-Am. Soc. Agric. Eng. Gen. Ed. 2004, 47, 1375–1382. [Google Scholar] [CrossRef]
- Cui, F.; Zhou, Z.; Zhou, H.S. Molecularly imprinted polymers and surface imprinted polymers based electrochemical biosensor for infectious diseases. Sensors 2020, 20, 996. [Google Scholar] [CrossRef]
- Hsu, C.-Y.; Rizaev, J.A.; Pallathadka, H.; Mansouri, S.; Bokov, D.O.; Sharma, S.; Rathore, G.; Rajput, P.; Mustafa, Y.F.; Abosaoda, M.K. A review of new emerging biosensors based on bacteria-imprinted polymers towards pathogenic bacteria: Promising new tools for selective detection. Microchem. J. 2024, 207, 111918. [Google Scholar] [CrossRef]
- Dinu Iacob, A.; Apetrei, C. A Review of Sensors and Biosensors Modified with Conducting Polymers and Molecularly Imprinted Polymers used in Electrochemical Detection of Amino Acids: Phenylalanine, Tyrosine, and Tryptophan. Int. J. Mol. Sci. 2022, 23, 1218. [Google Scholar] [CrossRef]
- Denmark, D.J.; Mohapatra, S.; Mohapatra, S.S. Point-of-Care Diagnostics: Molecularly Imprinted Polymers and Nanomaterials for Enhanced Biosensor Selectivity and Transduction. Eurobiotech J. 2020, 4, 184–206. [Google Scholar] [CrossRef]
- Park, R.; Jeon, S.; Jeong, J.; Park, S.-Y.; Han, D.-W.; Hong, S.W. Recent Advances of Point-of-Care Devices Integrated with Molecularly Imprinted Polymers-Based Biosensors: From Biomolecule Sensing Design to Intraoral Fluid Testing. Biosensors 2022, 12, 136. [Google Scholar] [CrossRef] [PubMed]
- Natarajan, B.; Kannan, P.; Maduraiveeran, G.; Alnaser, A.S. Polymer nanocomposite-based biomolecular sensor for healthcare monitoring. Adv. Colloid Interface Sci. 2025, 343, 103557. [Google Scholar] [CrossRef]
- Sun, Y.; Gao, D. Polymer-Mediated Signal Amplification Mechanisms for Bioelectronic Detection: Recent Advances and Future Perspectives. Biosensors 2025, 15, 808. [Google Scholar] [CrossRef]
- Zahra, T.; Javeria, U.; Jamal, H.; Baig, M.M.; Akhtar, F.; Kamran, U. A review of biocompatible polymer-functionalized two-dimensional materials: Emerging contenders for biosensors and bioelectronics applications. Anal. Chim. Acta 2024, 1316, 342880. [Google Scholar] [CrossRef]
- The Pandas Development Team. Pandas: Powerful Data Structures for Data Analysis in Python, version 2.2.0; Zenodo: Meyrin, Switzerland, 2024.
- Plotly Technologies Inc. Collaborative Data Science; Plotly: Montreal, QC, Canada, 2015; Available online: https://plot.ly (accessed on 1 March 2026).
- Hunter, J.D. Matplotlib: A 2D graphics environment. Comput. Sci. Eng. 2007, 9, 90–95. [Google Scholar] [CrossRef]
- Waskom, M.L. seaborn: Statistical data visualization. J. Open Source Softw. 2021, 6, 3021. [Google Scholar] [CrossRef]
- Lin, Y.; Kroon, R.; Zeglio, E.; Herland, A. P-type accumulation mode organic electrochemical transistor biosensor for xanthine detection in fish. Biosens. Bioelectron. 2025, 269, 116928. [Google Scholar] [CrossRef]
- Albashir, D.; Lu, H.; Gouda, M.; Acharya, D.R.; Danhassan, U.A.; Bakur, A.; Shi, Y.; Chen, Q. A novel polydiacetylene-functionalized fibrinogen paper-based biosensor for on-spot and rapid detection of Staphylococcus aureus. Food Chem. 2024, 458, 140291. [Google Scholar] [CrossRef] [PubMed]
- Thivya, P.; Ramya, R.; Wilson, J. Poly(3,4-ethylenedioxythiophene)/taurine biocomposite on screen printed electrode: Non-enzymatic cholesterol biosensor. Microchem. J. 2020, 157, 105037. [Google Scholar] [CrossRef]
- Da Silva, W.; Ghica, M.E.; Brett, C.M.A. Biotoxic trace metal ion detection by enzymatic inhibition of a glucose biosensor based on a poly(brilliant green)–deep eutectic solvent/carbon nanotube modified electrode. Talanta 2020, 208, 120427. [Google Scholar] [CrossRef]
- Dervisevic, M.; Dervisevic, E.; Azak, H.; Cevik, E.; Senel, M.; Yildiz, H.B. Novel amperometric xanthine biosensor based on xanthine oxidase immobilized on electrochemically polymerized 10-[4H-dithieno(3, 2-b:2′, 3′-d)pyrrole-4-yl]decane-1-amine film. Sens. Actuators B Chem. 2016, 225, 181–187. [Google Scholar] [CrossRef]
- Yildirim-Tirgil, N.; Kalkan, Z.; Öztürk, S. Synthesis, electrochemical characterization and biosensor application of a novel organoboron monomer. J. Boron 2022, 7, 467–474. [Google Scholar]
- Flauzino, J.M.R.; Peres, R.C.S.; Alves, L.M.; Vieira, J.G.; Dos Santos, J.G.; Brito-Madurro, A.G.; Madurro, J.M. DNA electrochemical biosensor for detection of Alicyclobacillus acidoterrestris utilizing Hoechst 33258 as indicator. Bioelectrochemistry 2021, 140, 107801. [Google Scholar] [CrossRef]
- Calitri, G.; Bollella, P.; Ciogli, L.; Tortolini, C.; Mazzei, F.; Antiochia, R.; Favero, G. Evaluation of different storage processes of passion fruit (Passiflora edulis Sims) using a new dual biosensor platform based on a conducting polymer. Microchem. J. 2020, 154, 104573. [Google Scholar] [CrossRef]
- Bekmezci, S.A.; Söylemez, S.; Yilmaz, G.; Udum, Y.A.; Yagci, Y.; Toppare, L. A new ethanol biosensor based on polyfluorene-g-poly(ethylene glycol) and multiwalled carbon nanotubes. Eur. Polym. J. 2020, 122, 109300. [Google Scholar] [CrossRef]
- Da Silva, W.; Ghica, M.E.; Brett, C.M.A. Choline oxidase inhibition biosensor based on poly(brilliant cresyl blue)–deep eutectic solvent/carbon nanotube modified electrode for dichlorvos organophosphorus pesticide. Sens. Actuators B Chem. 2019, 298, 126862. [Google Scholar] [CrossRef]
- Soares, I.P.; da Silva, A.G.; da Fonseca Alves, R.; De Souza Corrêa, R.A.M.; Ferreira, L.F.; Franco, D.L. Electrochemical enzymatic biosensor for tyramine based on polymeric matrix derived from 4-mercaptophenylacetic acid. J. Solid State Electrochem. 2019, 23, 985–995. [Google Scholar] [CrossRef]
- Söylemez, S.; Kaya, H.Z.; Udum, Y.A.; Toppare, L. A multipurpose conjugated polymer: Electrochromic device and biosensor construction for glucose detection. Org. Electron. 2019, 65, 327–333. [Google Scholar] [CrossRef]
- David, M.; Bârsan, M.M.; Brett, C.M.A.; Florescu, M. Improved glucose label-free biosensor with layer-by-layer architecture and conducting polymer poly(3,4-ethylenedioxythiophene). Sens. Actuators B Chem. 2018, 255, 3227–3234. [Google Scholar] [CrossRef]
- Soganci, T.; Soyleyici, H.C.; Demirkol, D.O.; Ak, M.; Timur, S. Use of super-structural conducting polymer as functional immobilization matrix in biosensor design. J. Electrochem. Soc. 2018, 165, B22–B26. [Google Scholar] [CrossRef]
- Braik, M.; Bârsan, M.M.; Dridi, C.; Ben-Ali, M.; Brett, C.M.A. Highly sensitive amperometric enzyme biosensor for detection of superoxide based on conducting polymer/CNT modified electrodes and superoxide dismutase. Sens. Actuators B Chem. 2016, 236, 574–582. [Google Scholar] [CrossRef]
- Bârsan, M.M.; Pifferi, V.; Falciola, L.; Brett, C.M.A. New CNT/poly(brilliant green) and CNT/poly(3,4-ethylenedioxythiophene) based electrochemical enzyme biosensors. Anal. Chim. Acta 2016, 927, 35–45. [Google Scholar] [CrossRef]
- Sheikhzadeh, E.; Chamsaz, M.; Turner, A.P.F.; Jager, E.W.H.; Beni, V. Label-free impedimetric biosensor for Salmonella Typhimurium detection based on poly [pyrrole-co-3-carboxyl-pyrrole] copolymer supported aptamer. Biosens. Bioelectron. 2016, 80, 194–200. [Google Scholar] [CrossRef] [PubMed]
- Malvano, F.; Albanese, D.; Sannini, A.; Crescitelli, A.; Pilloton, R.; Di Matteo, M. Ethanol content in must grape by alcohol dehydrogenase biosensors based on doped-Polyaniline modified screen printed electrodes. Chem. Eng. Trans. 2015, 43, 37–42. [Google Scholar]
- Gokoglan, T.C.; Söylemez, S.; Kesik, M.; Unay, H.; Sayın, S.; Yildiz, H.B.; Cirpan, A.; Toppare, L. A novel architecture based on a conducting polymer and calixarene derivative: Its synthesis and biosensor construction. RSC Adv. 2015, 5, 35940–35947. [Google Scholar] [CrossRef]
- Bounegru, A.V.; Iticescu, C.; Lucian, L.P.; Apetrei, C. Development of an Innovative Biosensor Based on Graphene/PEDOT/Tyrosinase for the Detection of Phenolic Compounds in River Waters. Int. J. Mol. Sci. 2024, 25, 4419. [Google Scholar] [CrossRef] [PubMed]
- Buyukharman, M.; Ender Mülazımoğlu, I.E.; Yildiz, H.B. Construction of a Conductive Polymer/AuNP/Cyanobacteria-Based Biophotovoltaic Cell Harnessing Solar Energy to Generate Electricity via Photosynthesis and Its Usage as a Photoelectrochemical Pesticide Biosensor: Atrazine as a Case Study. ACS Omega 2024, 9, 16249–16261. [Google Scholar] [CrossRef]
- Cevher, Ş.C.; Bekmezci, S.A.; Söylemez, S.; Udum, Y.A.; Toppare, L.; Cirpan, A. Indenoquinoxalinone based conjugated polymer substrate for laccase biosensor. Mater. Chem. Phys. 2021, 257, 123788. [Google Scholar] [CrossRef]
- Liu, Y.; Wang, Y.-M.; Zhu, W.-Y.; Zhang, C.-H.; Tang, H.; Jiang, J.-H. Conjugated polymer nanoparticles-based fluorescent biosensor for ultrasensitive detection of hydroquinone. Anal. Chim. Acta 2018, 1012, 60–65. [Google Scholar] [CrossRef]
- Özcan, H.M.; Aydin, T. A new PANI biosensor based on catalase for cyanide determination. Artif. Cells Nanomed. Biotechnol. 2016, 44, 664–671. [Google Scholar] [CrossRef]
- Jiang, T.; Ju, P.; Bi, F.; Chi, J.; Wen, S.; Jiang, F.; Chi, Z. Target-induced enzymatic cleavage cycle amplification reaction-gated organic photoelectrochemical transistor biosensor for rapid detection of okadaic acid. Biosens. Bioelectron. 2025, 267, 116745. [Google Scholar] [CrossRef]
- Su, X.; Wu, L.; Chen, G.; Zheng, C.; Shan, B.; Tian, Y.; Ma, J.; Gu, C. Organic conjugated polymer nanoparticles enhanced tyrosinase electrochemical biosensor for selective, sensitive and rapid detection of bisphenol A. Sci. Total Environ. 2024, 951, 175765. [Google Scholar] [CrossRef]
- Varatharajan, P.; Maruthupandi, M.; Vinoth Kumar, V.K.; Vasimalai, N. Purpald-functionalized biosensor for simultaneous electrochemical detection of ascorbic acid, uric acid, L-cysteine and lipoic acid. Biosens. Bioelectron. X 2024, 17, 100458. [Google Scholar] [CrossRef]
- Zhang, P.; Sun, T.; Rong, S.; Zeng, D.; Yu, H.; Zhang, Z.; Chang, D.; Pan, H. A sensitive amperometric AChE-biosensor for organophosphate pesticides detection based on conjugated polymer and Ag-rGO-NH2 nanocomposite. Bioelectrochemistry 2019, 127, 163–170. [Google Scholar] [CrossRef]
- Söylemez, S.; Göker, S.; Toppare, L. A newly designed anthracene and isoindigo based polymer: Synthesis, electrochemical characterization and biosensor applications. N. J. Chem. 2019, 43, 13979–13984. [Google Scholar] [CrossRef]
- Gokoglan, T.C.; Söylemez, S.; Kesik, M.; Dogru-Yuksel, I.B.; Turel, O.; Yuksel, R.; Unalan, H.E.; Toppare, L. A novel approach for the fabrication of a flexible glucose biosensor: The combination of vertically aligned CNTs and a conjugated polymer. Food Chem. 2017, 220, 299–305. [Google Scholar] [CrossRef]
- Luo, Y.; Alociljá, E.C. Portable nuclear magnetic resonance biosensor and assay for a highly sensitive and rapid detection of foodborne bacteria in complex matrices. J. Biol. Eng. 2017, 11, 14. [Google Scholar] [CrossRef]
- Söylemez, S.; Yilmaz, T.; Büber, E.; Udum, Y.A.; Özçubukçu, S.; Toppare, L. Polymerization and biosensor application of water soluble peptide-SNS type monomer conjugates. J. Mater. Chem. B 2017, 5, 7384–7392. [Google Scholar] [CrossRef] [PubMed]
- Gokoglan, T.C.; Kesik, M.; Söylemez, S.; Yuksel, R.; Unalan, H.E.; Toppare, L. Paper based glucose biosensor using graphene modified with a conducting polymer and gold nanoparticles. J. Electrochem. Soc. 2017, 164, G59–G64. [Google Scholar] [CrossRef]
- Ismail, F.; Adeloju, S.B. Comparison of Single Layer and Bilayer Biosensors Based on Crosslinking of Penicillinase for Potentiometric Detection of Penicillin in Milk and Antibiotics. Electroanalysis 2015, 27, 1523–1531. [Google Scholar] [CrossRef]
- Gokoglan, T.C.; Söylemez, S.; Kesik, M.; Toksabay, S.; Toppare, L. Selenium containing conducting polymer based pyranose oxidase biosensor for glucose detection. Food Chem. 2015, 172, 219–224. [Google Scholar] [CrossRef]
- Dong, S.; Zhang, J.; Huang, G.; Wei, W.; Huang, T. Conducting microporous organic polymer with –OH functional groups: Special structure and multi-functional integrated property for organophosphorus biosensor. Chem. Eng. J. 2021, 405, 126682. [Google Scholar] [CrossRef]
- Kaur, N.; Thakur, H.; Prabhakar, N. Conducting polymer and multi-walled carbon nanotubes nanocomposites based amperometric biosensor for detection of organophosphate. J. Electroanal. Chem. 2016, 775, 121–128. [Google Scholar] [CrossRef]
- Liu, Y.; Meng, S.; Qin, J.; Zhang, R.; He, N.; Jiang, Y.; Chen, H.; Li, N.; Zhao, Y. A fluorescence biosensor based on double-stranded DNA and a cationic conjugated polymer coupled with exonuclease III for acrylamide detection. Int. J. Biol. Macromol. 2022, 219, 346–352. [Google Scholar] [CrossRef] [PubMed]
- He, Y.; Du, J.; Luo, J.; Chen, S.; Yuan, R. Coreactant-free electrochemiluminescence biosensor for the determination of organophosphorus pesticides. Biosens. Bioelectron. 2020, 150, 111898. [Google Scholar] [CrossRef]
- Huma, Z.-E.; Nazli, Z.-I.-H.; Gökçe, G.; Ali, M.; Jubeen, F.; Hayat, A. A novel and universal dual-functionalized Hazo-POPs@COOH-apt/PGE-based electrochemical biosensor for detection of aflatoxin M1 (AFM1) in raw milk sample: A versatile peroxidase-mimicking aptananozyme approach. Mater. Chem. Phys. 2025, 341, 130887. [Google Scholar] [CrossRef]
- Zhai, S.; Bai, M.; Yue, F.; Wang, H.; Huang, J.; Dong, H.; Yuan, B.; Li, Z.; Zhang, P.; Zhao, M.; et al. Strip biosensors based on broad-spectrum aptamers and cationic polymers for the on-site rapid detection of tetracycline antibiotics residues in milk. Food Chem. 2025, 464, 141743. [Google Scholar] [CrossRef]
- Figueiredo, C.; García-Ortega, A.; Mandal, T.; Lielpētere, A.; Cervantes, F.; Demurtas, D.; Magner, E.; Plou, F.J.; Schuhmann, W.; Leech, D.; et al. An oxygen-insensitive amperometric galactose biosensor based on galactose oxidase co-immobilized with an Os-complex modified redox polymer. Electrochim. Acta 2023, 472, 143438. [Google Scholar] [CrossRef]
- Shi, F.; Wang, B.; Yan, L.; Wang, B.; Niu, Y.; Wang, L.; Sun, W. In-situ growth of nitrogen-doped carbonized polymer dots on black phosphorus for electrochemical DNA biosensor of Escherichia coli O157: H7. Bioelectrochemistry 2022, 148, 108226. [Google Scholar] [CrossRef]
- Ding, S.; Hu, H.; Yue, X.; Feng, K.; Gao, X.; Dong, Q.; Yang, M.; Tamer, U.; Huang, G.; Zhang, J. A fluorescent biosensor based on quantum dot–labeled streptavidin and poly-L-lysine for the rapid detection of Salmonella in milk. J. Dairy. Sci. 2022, 105, 2895–2907. [Google Scholar] [CrossRef]
- Wang, Y.; Rao, Z.; Zhou, J.; Zheng, L.; Fu, L. A chiral assembly of gold nanoparticle trimer-based biosensors for ultrasensitive detection of the major allergen tropomyosin in shellfish. Biosens. Bioelectron. 2019, 132, 84–89. [Google Scholar] [CrossRef]
- Yazdanparast, S.; Benvidi, A.; Abbasi, S.; Rezaeinasab, M. Enzyme-based ultrasensitive electrochemical biosensor using poly(L-aspartic acid)/MWCNT bio-nanocomposite for xanthine detection: A meat freshness marker. Microchem. J. 2019, 149, 104000. [Google Scholar] [CrossRef]
- Aydogdu Tig, G. Highly sensitive amperometric biosensor for determination of NADH and ethanol based on Au-Ag nanoparticles/poly(L-Cysteine)/reduced graphene oxide nanocomposite. Talanta 2017, 175, 382–389. [Google Scholar] [CrossRef]
- Zeng, Z.; Tang, J.; Zhang, M.; Pu, S.; Tang, D. Ultrasensitive zero-background photoelectrochemical biosensor for analysis of organophosphorus pesticide based on in situ formation of DNA-templated Ag2S photoactive materials. Anal. Bioanal. Chem. 2021, 413, 6279–6288. [Google Scholar] [CrossRef]
- Ruff, A.; Pinyou, P.; Nolten, M.; Conzuelo, F.; Schuhmann, W. A Self-Powered Ethanol Biosensor. ChemElectroChem 2017, 4, 890–897. [Google Scholar] [CrossRef]
- Dinakaran, D.; Kim, S.; Kim, S.; Chang, S.-C. Reagentless amperometric pyruvate biosensor based on a Prussian blue- and enzyme nanoparticle-modified screen-printed carbon electrode. ACS Omega 2020, 5, 30123–30129. [Google Scholar]
- Soto Espinoza, S.; Aguiar, C.; Richieri, F.; Grasselli, M. Track-etched membrane as fluorescence-based pH biosensor. React. Funct. Polym. 2019, 135, 1–7. [Google Scholar] [CrossRef]
- Kavetskyy, T.S.; Smutok, O.; Demkiv, O.M.; Kukhazh, Y.; Stasyuk, N.; Leonenko, E.; Kiv, A.E.; Kobayashi, Y.; Kinomura, A.; Šauša, O.; et al. Improvement of laccase biosensor characteristics using sulfur-doped TiO2 nanoparticles. Bioelectrochemistry 2022, 147, 108215. [Google Scholar] [CrossRef] [PubMed]
- Jo, H.J.; Robby, A.I.; Kim, S.G.; Lee, G.; Lee, B.C.; Park, S.Y. Reusable biosensor-based polymer dot-coated electrode surface for wireless detection of bacterial contamination. Sens. Actuators B Chem. 2021, 346, 130503. [Google Scholar] [CrossRef]
- Abosadeh, D.J.; Kashanian, S.; Nazari, M.; Parnianchi, F. Fabrication of a Novel Phenolic Compound Biosensor Using Laccase Enzyme and Metal-organic Coordination Polymers. Anal. Bioanal. Chem. Res. 2021, 8, 467–480. [Google Scholar]
- Arlyapov, V.A.; Kharkova, A.S.; Kurbanaliyeva, S.K.; Kuznetsova, L.S.; Machulin, A.V.; Tarasov, S.E.; Melnikov, P.V.; Ponamoreva, O.N.; Alferov, V.A.; Reshetilov, A.N. Use of biocompatible redox-active polymers based on carbon nanotubes and modified organic matrices for development of a highly sensitive BOD biosensor. Enzym. Microb. Technol. 2021, 143, 109706. [Google Scholar] [CrossRef]
- Kochana, J.; Wapiennik, K.; Kozak, J.; Knihnicki, P.; Pollap, A.; Wozniakiewicz, M.; Nowak, J.; Koscielniak, P. Tyrosinase-based biosensor for determination of bisphenol A in a flow-batch system. Talanta 2015, 144, 163–170. [Google Scholar] [CrossRef] [PubMed]
- Cano-Raya, C.; Dencheva, N.V.; Braz, J.F.; Malfois, M.; Denchev, Z.Z. Optical biosensor for catechol determination based on laccase-immobilized anionic polyamide 6 microparticles. J. Appl. Polym. Sci. 2020, 137, 49131. [Google Scholar] [CrossRef]
- Huo, M.; Li, Y.; Wu, Y.; Xie, S.; Chen, D. Enzyme-free biosensor for ultrasensitive detection of mecA gene utilizing electrochemically controlled atom transfer radical polymerization triggered by copper nanoflowers enriched on DNA polymers. Talanta 2025, 284, 127231. [Google Scholar] [CrossRef]
- Martínez-Periñán, E.; Domínguez-Saldaña, A.; Villa-Manso, A.M.; Gutiérrez-Sánchez, C.; Revenga-Parra, M.; Mateo-Martí, E.; Pariente, F.; Lorenzo, E. Azure A embedded in carbon dots as NADH electrocatalyst: Development of a glutamate electrochemical biosensor. Sens. Actuators B Chem. 2023, 374, 132761. [Google Scholar] [CrossRef]
- Bollella, P.; Medici, L.; Tessema, M.; Poloznikov, A.A.; Hushpulian, D.M.; Tishkov, V.I.; Andreu, R.; Leech, D.; Megersa, N.; Marcaccio, M.; et al. Highly sensitive, stable and selective hydrogen peroxide amperometric biosensors based on peroxidases from different sources wired by Os-polymer: A comparative study. Solid. State Ion. 2018, 314, 178–186. [Google Scholar] [CrossRef]
- Kaçar Selvi, C.; Erden, P.E.; Kiliç, E. Graphene/Poly(vinylferrocene) Composite Based Amperometric Biosensor for L-lysine Determination. Electroanalysis 2017, 29, 2114–2124. [Google Scholar] [CrossRef]
- Kochana, J.; Wapiennik, K.; Knihnicki, P.; Pollap, A.; Janus, P.; Oszajca, M.; Kuśtrowski, P. Mesoporous carbon-containing voltammetric biosensor for determination of tyramine in food products. Anal. Bioanal. Chem. 2016, 408, 5199–5210. [Google Scholar] [CrossRef]
- Bóka, B.; Korózs, M.; Nánási, M.; Adányi, N. Novel Amperometric Tri-Enzyme Biosensor for Lysine Determination in Pharmaceutical Products and Food Samples. Electroanalysis 2015, 27, 817–824. [Google Scholar] [CrossRef]
- Jiang, W.; Yang, Q.; Duo, H.; Wu, W.; Hou, X. Ionic liquid-enhanced silica aerogels for the specific extraction and detection of aflatoxin B1 coupled with a smartphone-based colorimetric biosensor. Food Chem. 2024, 447, 138917. [Google Scholar] [CrossRef] [PubMed]
- Catanante, G.; Mishra, R.K.; Hayat, A.; Marty, J.-L. Sensitive analytical performance of folding based biosensor using methylene blue tagged aptamers. Talanta 2016, 153, 138–144. [Google Scholar] [CrossRef] [PubMed]
- Mouawad, L.; Istamboulié, G.; Catanante, G.; Noguer, T. Enhancing Biocide Safety of Milk Using Biosensors Based on Cholinesterase Inhibition. Biosensors 2025, 15, 26. [Google Scholar] [CrossRef]
- Hong, S.P.; Mohd-Naim, N.F.; Keasberry, N.A.; Ahmed, M.U. Electrochemical Detection of β-Lactoglobulin Allergen Using Titanium Dioxide/Carbon Nanochips/Gold Nanocomposite-based Biosensor. Electroanalysis 2022, 34, 684–691. [Google Scholar] [CrossRef]
- Magar, H.S.; Ghica, M.E.; Abbas, M.N.; Brett, C.M.A. A novel sensitive amperometric choline biosensor based on multiwalled carbon nanotubes and gold nanoparticles. Talanta 2017, 167, 462–469. [Google Scholar] [CrossRef]
- Lopez, F.; Ma, S.; Ludwig, R.; Schuhmann, W.; Ruff, A. A Polymer Multilayer Based Amperometric Biosensor for the Detection of Lactose in the Presence of High Concentrations of Glucose. Electroanalysis 2017, 29, 154–161. [Google Scholar] [CrossRef]
- Unal, B.; Yalcinkaya, E.E.; Odaci Demirkol, D.; Timur, S. An electrospun nanofiber matrix based on organo-clay for biosensors: PVA/PAMAM-Montmorillonite. Appl. Surf. Sci. 2018, 444, 542–551. [Google Scholar] [CrossRef]
- Kavetskyy, T.S.; Demkiv, O.M.; Pryima, A.M.; Hoivanovych, N.K.; Bryndzia, I.V.; Briukhovetska, I.V.; Drozd, I.F.; Voloshyn, S.V.; Kossak, G.M.; Senkiv, V.M.; et al. Seasonal Variability of Water Parameters and Construction of Laccase Biosensors Using Ureasil Polymers for Analysis of Water Pollution. Phys. Chem. Solid State 2024, 25, 461–470. [Google Scholar]
- Cai, W.; Xie, S.; Zhang, J.; Tang, D.; Tang, Y. An electrochemical impedance biosensor for Hg2+ detection based on DNA hydrogel by coupling with DNAzyme-assisted target recycling and hybridization chain reaction. Biosens. Bioelectron. 2017, 98, 466–472. [Google Scholar] [CrossRef]
- Gao, G.; Fang, D.; Yu, Y.; Wu, L.; Wang, Y.; Zhi, J. A double-mediator based whole cell electrochemical biosensor for acute biotoxicity assessment of wastewater. Talanta 2017, 167, 208–216. [Google Scholar] [CrossRef]
- Calas-Blanchard, C.; Istamboulié, G.; Bontoux, M.; Plantard, G.; Goetz, V.; Noguer, T. Biosensor-based real-time monitoring of paracetamol photocatalytic degradation. Chemosphere 2015, 131, 124–129. [Google Scholar] [CrossRef] [PubMed]
- Sok, V.; Fragoso, A. Carbon nano-onion peroxidase composite biosensor for electrochemical detection of 2, 4-d and 2, 4, 5-t. Appl. Sci. 2021, 11, 6889. [Google Scholar] [CrossRef]
- Palanisamy, S.; Velusamy, V.; Chen, S.-W.; Yang, T.C.K.; Balu, S.; Banks, C.E. Enhanced reversible redox activity of hemin on cellulose microfiber integrated reduced graphene oxide for H2O2 biosensor applications. Carbohydr. Polym. 2019, 204, 152–160. [Google Scholar] [CrossRef]
- Manivannan, K.; Cheng, C.-C.; Chen, J.-K. Facile Synthesis of Poly (N-isopropylacrylamide) Coated SiO2 Core-shell Microspheres via Surface-initiated Atom Transfer Radical Polymerization for H2O2 Biosensor Applications. Electroanalysis 2017, 29, 1443–1450. [Google Scholar] [CrossRef]
- Wu, L.; Lu, X.; Niu, K.; Dhanjai; Chen, J. Tyrosinase nanocapsule based nano-biosensor for ultrasensitive and rapid detection of bisphenol A with excellent stability in different application scenarios. Biosens. Bioelectron. 2020, 165, 112407. [Google Scholar] [CrossRef]
- Mohamad, A.; Rizwan, M.; Keasberry, N.A.; Ahmed, M.U. Fabrication of label-free electrochemical food biosensor for the sensitive detection of ovalbumin on nanocomposite-modified graphene electrode. Biointerface Res. Appl. Chem. 2019, 9, 4655–4662. [Google Scholar]
- Sha, J.; Hao, L.; Fang, X.; Zhu, N.; Yang, Y.; Peng, K.; Ye, T.; Cao, H.; Gu, H.; Xu, F. pH stability improved electrochemical biosensor based on dopamine/aptamer imprinted polymer modified electrodes for simultaneous detection of four toxic metal ions. Food Control 2025, 171, 111099. [Google Scholar] [CrossRef]
- Yang, D.; Hui, Y.; Liu, Y.; Wang, W.; He, C.; Zhao, A.; Wei, L.; Wang, B. Novel dual-recognition electrochemical biosensor for the sensitive detection of AFM1 in milk. Food Chem. 2024, 433, 137362. [Google Scholar] [CrossRef] [PubMed]
- Zhu, N.; Liu, X.; Peng, K.; Cao, H.; Yuan, M.; Ye, T.; Wu, X.; Yin, F.; Yu, J.; Hao, L.; et al. A Novel Aptamer-Imprinted Polymer-Based Electrochemical Biosensor for the Detection of Lead in Aquatic Products. Molecules 2023, 28, 196. [Google Scholar] [CrossRef]
- Wang, Y.; Li, L.; Li, H.; Peng, Y.; Fu, L. A fluorometric sandwich biosensor based on rationally imprinted magnetic particles and aptamer modified carbon dots for the detection of tropomyosin in seafood products. Food Control 2022, 132, 108552. [Google Scholar] [CrossRef]
- Hao, L.; Zhu, N.; Sha, J.; Fang, X.; Cao, H.; Ye, T.; Yuan, M.; Gu, H.; Xu, F. A novel pH-stable chitosan/aptamer imprinted polymers modified electrochemical biosensor for simultaneous detection of Pb2+ and Hg2+. J. Food Compos. Anal. 2025, 144, 107777. [Google Scholar] [CrossRef]
- Azargoshasb, T.; Navid, H.A.; Yadollahzadeh, S.; Aghbolaghi, R.; Parvizi, R.; Parsanasab, G.M. Carbon Quantum Dot Embedding Silica-Molecularly Imprinted Polymer Coated Optical Fiber as Ratiometric Biosensors Toward Dopamine Detection. IEEE Sens. J. 2024, 24, 4510–4522. [Google Scholar] [CrossRef]
- Jalalvand, A.R. Fabrication of a novel molecularly imprinted biosensor assisted by multi-way calibration for simultaneous determination of cholesterol and cholestanol in serum samples. Chemom. Intell. Lab. Syst. 2022, 226, 104587. [Google Scholar] [CrossRef]
- Ashley, J.; Feng, X.; Sun, Y. A multifunctional molecularly imprinted polymer-based biosensor for direct detection of doxycycline in food samples. Talanta 2018, 182, 49–54. [Google Scholar] [CrossRef]
- Sun, D.; Yang, B.; Xu, Z.; Wang, W.; Jin, L.; Shi, G.; Guo, Y.; Ma, J.; Liang, L. Temperature-compensated reflective microfiber biosensor with molecularly imprinted polymer-enhanced specificity for trace lysozyme concentration detection. Food Control 2025, 176, 111402. [Google Scholar] [CrossRef]
- Liu, Y.; Zhang, R.; Yang, X.; He, Y.; Yang, X. An ultrasensitive SERS biosensor based on porous ZIF-8-encapsulated silver nanoflowers coordinated with host-gest recognition amplification strategy for the detection of bisphenol S. Microchem. J. 2025, 215, 114400. [Google Scholar] [CrossRef]
- Sun, D.; Xu, Z.; Jin, L.; Yang, B.; Wang, W.; Yang, Y.; Ma, J. A novel cascaded reflective temperature-independent fiber-optic biosensor for trace vanillin concentration detection enhanced specificity with molecularly imprinted polymer. Food Control 2025, 173, 111217. [Google Scholar] [CrossRef]
- Bukhamsin, A.; Lahcen, A.A.; de Oliveira Filho, J.D.O.; Shetty, S.; Blilou, I.; Kosel, J.; Salama, K.N. Minimally-invasive, real-time, non-destructive, species-independent phytohormone biosensor for precision farming. Biosens. Bioelectron. 2022, 214, 114515. [Google Scholar] [CrossRef]
- Alam, I.; Lertanantawong, B.; Sutthibutpong, T.; Punnakitikashem, P.; Asanithi, P. Molecularly Imprinted Polymer-Amyloid Fibril-Based Electrochemical Biosensor for Ultrasensitive Detection of Tryptophan. Biosensors 2022, 12, 291. [Google Scholar] [CrossRef]
- Prabakaran, K.; Jandas, P.J.; Luo, J.; Fu, C.; Wei, Q. Molecularly imprinted poly(methacrylic acid) based QCM biosensor for selective determination of L-tryptophan. Colloids Surf. A Physicochem. Eng. Asp. 2021, 611, 125859. [Google Scholar] [CrossRef]
- Lara Guerreiro, J.R.L.; Teixeira, N.; de Freitas, V.; Ferreira Sales, M.G.F.; Sutherland, D.S. A saliva molecular imprinted localized surface plasmon resonance biosensor for wine astringency estimation. Food Chem. 2017, 233, 457–466. [Google Scholar] [CrossRef] [PubMed]
- Qi, J.-F.; Tan, D.; Wang, X.-J.; Ma, H.-T.; Wan, Y.-C.; Hu, A.; Li, L.-H.; Xiao, B.; Lu, B. A novel acetylcholinesterase biosensor with dual-recognized strategy based on molecularly imprinted polymer. Sens. Actuators B Chem. 2021, 337, 129760. [Google Scholar] [CrossRef]
- Gao, F.; Hu, Y.; Chen, D.; Li-Chan, E.C.Y.; Grant, E.; Lu, X. Determination of Sudan I in paprika powder by molecularly imprinted polymers-thin layer chromatography-surface enhanced Raman spectroscopic biosensor. Talanta 2015, 143, 344–352. [Google Scholar] [CrossRef] [PubMed]



| Polymer Class | Dominant Transduction (Count) | Primary Biorecognition (Count) | Primary Target Classes (Count) | Dynamic Range (Min–Max) | Average Precision (RSD) | Average Accuracy | Ref. |
|---|---|---|---|---|---|---|---|
| Conductive & Electroactive (CPs) | Electrochemical (33), Optical (3), Others (3) | Enzyme (30), DNA Genosensor (3), Others (6) | Biomolecules (18), Small Organics (7), Others (14) | Molecules: ~1 pM to 6 mM; Cells: 101 to 108 CFU/mL | 0.1–20.0% (Typically < 6.5%) | 92.0–145.7% | [28,29,30,31,32,33,34,35,36,37,38,39,40,41,42,43,44,45,46,47,48,49,50,51,52,53,54,55,56,57,58,59,60,61,62,63,64,65,66] |
| Functional & Redox- | Electrochemical (19), Optical (6), Others (1) | Enzyme (16), DNA Genosensor (3), Others (7) | Biomolecules (9), Small Organics (5), Others (12) | Molecules: 0.1 fM to 5 mM; Cells: 101 to 107 CFU/mL | 0.20–9.28% | 84.0–118.8% | [67,68,69,70,71,72,73,74,75,76,77,78,79,80,81,82,83,84,85,86,87,88,89,90,91,92] |
| Hydrogels & Responsive | Electrochemical (14) | Enzyme (10), Antibody (1), Others (3) | Biomolecules (5), Proteins/Peptides (2), Others (7) | Molecules: 0.1 pM to 540.6 µM; Mass: 0.01 pg/mL to 1 µg/mL | 0.2–7.8% | 71.0–120.0% | [93,94,95,96,97,98,99,100,101,102,103,104,105,106] |
| Molecularly Imprinted (MIPs) | Optical (9), Electrochemical (7), Others (1) | Template/Biomol. (13), DNA Aptamer (3), Others (1) | Biomolecules (4), Heavy Metals (3), Others (10) | Molecules: 0.1 pM to 200 µM; Mass: 0.5 ng/mL to 0.5 mg/mL | 0.4–9.0% | 79.7–119.6% | [107,108,109,110,111,112,113,114,115,116,117,118,119,120,121,122,123] |
| Polymer Class | Biorecognition Element | Manufacturing Strategy | Detection Method | Target Molecules | References |
|---|---|---|---|---|---|
| Conductive & Electroactive | Enzymes (Xanthine Oxidase, Glucose Oxidase), Structural Polydiacetylene (PDA) | Electropolymerization, Chemical Polymerization, Spin-coating, Photopolymerization | Electrochemical (Amperometry, DPV, CV), Optical | Xanthine, Cholesterol, Heavy Metals (via enzyme inhibition), Pathogens (S. aureus) | [28,29,30,31,32] |
| Functional & Redox-Mediator | Aptamers, Enzymes (Galactose Oxidase), DNA Probes, Antibodies | Chemical Synthesis, Crosslinking, Microwave-assisted | Electrochemical (Amperometry, CV, DPV), Optical | Aflatoxin M1, Antibiotics (Tetracyclines), Galactose, Pathogenic DNA/Cells, Allergens | [67,68,69,70,71,72] |
| Hydrogels & Responsive | Enzymes (Acetylcholinesterase, Choline Oxidase, Cellobiose Dehydrogenase), Antibodies | Photopolymerization, Drop-casting, Free Radical Polymerization | Electrochemical (Amperometry, SWV, EIS) | Biocides (BAC, DDAC), Food Allergens (β-lactoglobulin), Choline, Lactose | [93,94,95,96] |
| Molecularly Imprinted (MIPs) | Imprinted Cavities, DNA Aptamers (Hybrid MIPs) | Electropolymerization, Molecular Imprinting (Self-polymerization), Electrodeposition | Electrochemical (DPV, CV, EIS), Optical | Heavy Metals (Pb, Hg, Cd, As), Aflatoxin M1, Food Allergens (Tropomyosin) | [107,108,109,110,111] |
| Matrix Category | Main Target Molecules | Main Biorecognition Strategy | Main Detection Method | Dynamic Range | LOD | References |
|---|---|---|---|---|---|---|
| Animal-Based Foods | Xanthine, Cholesterol, Lactose, Choline, Pathogens, Heavy Metals | Enzymes, ssDNA, Aptamers, Structural Proteins | Electrochemical (OECT, DPV, Amperometry), Optical | 3.0 × 10−1 to 6.5 × 106 (µM or CFU/mL) | Sub-µM to 50 CFU/mL | [28,29,30,31,32,69,70,71,73,95,96] |
| Animal-Based Foods | Aflatoxin M1, Heavy Metals (Pb, Hg), Allergens (Tropomyosin), Biocides, Antibiotics | MIPs, Antibodies, Aptamers, Enzymes | Electrochemical (CV, EIS, DPV), Fluorescence | 1.0 × 10−5 to 2.5 × 103 (µM or ng/mL) | Femtomolar to trace ng/mL | [67,68,72,93,94,107,108,109,110,111] |
| Plant-Based Foods | Organophosphates, Malathion, Aflatoxin B1, Ochratoxin A, Sudan I | Enzymes (AChE), MIPs, Aptamers | DPV, ECL, Colorimetry, SERS | 1.0 × 10−9 to 1.0 × 106 (µM or ng/mL) | Ultra-trace to low µg/kg | [63,64,66,91,92,122,123] |
| Plant-Based Foods | Acrylamide, Ovalbumin | ssDNA, Antibodies | FRET (Optical), Voltammetry | 6.7 × 10−1 to 1.6 × 101 µM | Trace | [65,106] |
| Beverages | Ethanol | Alcohol Dehydrogenase/Oxidase | Amperometry | 8.5 × 10−3 to 1.8 × 103 µM | 0.009 to 110 µM | [43,45,74,76] |
| Beverages | Glucose | Glucose Oxidase | Amperometry | 0.5 to 3.0 × 103 µM | 0.7 to 41.0 µM | [39,40,41,46,97] |
| Beverages | Pathogens/DNA | Aptamers | EIS | 102 to 108 CFU/mL | 3 CFU/mL | [44] |
| Beverages | Trace Contaminants (Pesticides, Tyramine, Dopamine) | MIPs, Tyrosinase, AChE | Optical (LMR), Voltammetry (DPV) | 3.0 × 10−3 to 1.0 × 102 µM | Trace (0.027 µM for Dopamine) | [37,38,112] |
| Beverages | Pesticides | Aptamers | Photoelectrochemical | 0.6 × 10−2 to 6.0 × 102 ng/mL | 0.002 ng/mL | [75] |
| Matrix Category | Target Molecules | Biorecognition Strategy | Polymer Architecture | Detection Method | Dynamic Range | LOD | Precision/Accuracy | References |
|---|---|---|---|---|---|---|---|---|
| Environmental | Phenols & Catechol | Tyrosinase, Laccase | PEDOT, PA6/Pebax, MOCPs, PM1; Nafion | Amperometry, Voltammetry, Optical | 1.0 × 10−1 to 4.0 × 102 µM | Sub-µM (0.0007–11.0 µM) | High (1.5–6.7%) | [47,49,79,81,84] |
| Environmental | Endocrine Disruptors (BPA, BPS) | Tyrosinase, MIPs | ZIF-8/SERS hybrids, PDDA/Nafion | Amperometry, SERS (Optical) | 2.8 × 10−1 to 4.5 × 101 µM [83] | Femtomolar to 0.066 µM | High (2.2–5.1%) | [83,98,116] |
| Environmental | Herbicides & Pesticides | Cyanobacteria, Enzymes | P(SNS-Aniline), Cyclodextrin/CNOs | Photoelectrochemical, Amperometry | 1.0 × 10−1 to 1.2 × 100 µM | 0.014 to 0.023 µM | Excellent | [48,102] |
| Environmental | Heavy Metals (Hg2+) | DNA Nanostructures | Polyacrylamide/DNA hydrogel | EIS | 1.0 × 10−7 to 1.0 × 10−2 µM | 0.042 pM | Moderate (4.1–7.8%) | [99] |
| Environmental | Bacterial Cells/Pathogens | Synthetic Boronic Acid | Carbonized Polymer Dots | Electrical Resistance | 1.0 × 101 to 1.0 × 107 CFU/mL | 6.3 CFU/mL | Data Not Available | [80] |
| Clinical/Multi-Matrix | Metabolites (Glucose, Pyruvate) | Oxidases (GOx, PyOx) | PIIDAnth, PFLO, poly(SNS-ERR), poly(BSeTT) | Amperometry, Voltammetry | 1.0 × 101 to 1.5 × 103 µM | Sub-µM (0.012 to 81.0 µM) | High (0.1–4.9% RSD); 95–116% Accuracy | [56,57,59,60,77] |
| Clinical/Multi-Matrix | Multi-Matrix Phenols & Toxins (BPA, OA) | Tyrosinase, Aptamers | CPNPs, OPECT (PEDOT:PSS) | Amperometry, Photoelectrochemical | 1.0 × 10−4 to 3.0 µM | Trace (1.25 × 10−5 to 0.017 µM) | High (4.2–10% RSD); 92–103% Accuracy | [52,53] |
| Clinical/Multi-Matrix | Multi-Matrix Biomarkers (AA, UA, L-Cys) | Non-enzymatic | Electropolymerized Purpald | Voltammetry (DPV) | 3.3 × 100 to 7.6 × 102 µM | Trace (0.137 to 0.392 µM) | High (0.25% RSD); 95–105% Accuracy | [54] |
| Clinical/Multi-Matrix | Steroids & Lipids (Cholesterol) | MIPs + Chemometrics | MWCNT/AuNP/MIP nanocomposites | Voltammetry (DPV) | 1.0 × 10−2 to 8.0 × 100 µM | 0.01 µM | High (2.8–3.0% RSD); 94–105% Accuracy | [113] |
| Clinical/Multi-Matrix | Antibiotics & Drugs (Doxycycline) | Fluorescent MIPs | Magnetic core–shell MIPs | Fluorescence Quenching | 2.0 × 10−1 to 6.0 × 100 µM | 0.117 µM | Data Not Available; 88–107% Accuracy | [114] |
| Clinical/Multi-Matrix | Neurotransmitters (Glutamate, Tyramine) | Dehydrogenases, Tyrosinase | Azure A/Chitosan, PDDA/Nafion | Voltammetry, Amperometry | Up to 1.3 × 102 µM | 1.5 to 3.3 µM | Moderate; ~99.5% Accuracy | [86,89] |
| Analytical Challenge | Traditional Limitation | Advanced Polymer Solution | Validation Requirement | References |
|---|---|---|---|---|
| Quantification Deficit | Reporting theoretical LOD in ideal buffer solutions. | Integrated antifouling skins to stabilize baseline noise. | Mandatory reporting of LOQ in undiluted samples. | [72,92,110] |
| Multi-Matrix Problem | Sensor fails when moved from blood to acidic juice matrices. | Chemometric resolution (N-PLS) and zwitterionic universal filters. | Cross-matrix interference testing (pH, proteins, tannins). | [54,113,119] |
| Reproducibility Gap | Manual drop-casting causes high batch-to-batch variance. | Standardized electropolymerization and automated screen-printing. | Reporting Inter-Electrode RSD. | [38,74,86] |
| Permeability Paradox | Thick hydrogels block fouling but cause slow signal response. | Nanocapsulation of single enzymes in thin polymer networks. | Reporting response times alongside sensitivity metrics. | [96,105] |
| Leaching in Flow Systems | Diffusional mediators wash away during continuous monitoring. | Covalent enzyme wiring using transition metal coordination polymers. | Operational stability metrics (cycles until failure). | [87,88,90] |
Disclaimer/Publisher’s Note: The statements, opinions and data contained in all publications are solely those of the individual author(s) and contributor(s) and not of MDPI and/or the editor(s). MDPI and/or the editor(s) disclaim responsibility for any injury to people or property resulting from any ideas, methods, instructions or products referred to in the content. |
© 2026 by the authors. Licensee MDPI, Basel, Switzerland. This article is an open access article distributed under the terms and conditions of the Creative Commons Attribution (CC BY) license.
Share and Cite
Mascini, M.; Palmieri, S.; Eugelio, F.; Rivero, M.I.; Del Carlo, M. Analytical Performances of Polymer-Based Biosensors for Real Samples Application. Biosensors 2026, 16, 207. https://doi.org/10.3390/bios16040207
Mascini M, Palmieri S, Eugelio F, Rivero MI, Del Carlo M. Analytical Performances of Polymer-Based Biosensors for Real Samples Application. Biosensors. 2026; 16(4):207. https://doi.org/10.3390/bios16040207
Chicago/Turabian StyleMascini, Marcello, Sara Palmieri, Fabiola Eugelio, Maikel Izquierdo Rivero, and Michele Del Carlo. 2026. "Analytical Performances of Polymer-Based Biosensors for Real Samples Application" Biosensors 16, no. 4: 207. https://doi.org/10.3390/bios16040207
APA StyleMascini, M., Palmieri, S., Eugelio, F., Rivero, M. I., & Del Carlo, M. (2026). Analytical Performances of Polymer-Based Biosensors for Real Samples Application. Biosensors, 16(4), 207. https://doi.org/10.3390/bios16040207

