Autofluorescence of Red Blood Cells Infected with P. falciparum as a Preliminary Analysis of Spectral Sweeps to Predict Infection
Abstract
1. Introduction
2. Materials and Methods
2.1. Sample Preparation
2.2. Spectrofluorimetry
2.3. Statistical Treatment
3. Results
3.1. Signal Processing
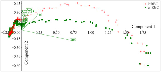
3.2. Principal Components Analysis (PCA)
- is the fluorescence amplitude of each peak i;
- is central wavelength of the Gaussian peak i;
- is the full width at half maximum of each Gaussian bell (FWHM);
- is the total number of Gaussian peaks being summed.
3.3. Linear Discriminant Analysis (LDA)
4. Discussion
5. Conclusions
Author Contributions
Funding
Institutional Review Board Statement
Informed Consent Statement
Data Availability Statement
Acknowledgments
Conflicts of Interest
Appendix A
Appendix A.1. Complementary Analysis of P. falciparum Strain 3D7
Appendix A.1.1. Description of Samples
Appendix A.1.2. Main Results



Appendix A.1.3. Statistical Validation
References
- Ramasamy, R. Zoonotic malaria—Global overview and research and policy needs. Front. Public Health 2014, 2, 123. [Google Scholar] [CrossRef]
- WHO World Malaria Report 2023 Geneva: World Health Organization. 2023. Available online: https://www.who.int/teams/global-malaria-programme/reports/world-malaria-report-2023 (accessed on 2 February 2024).
- Amexo, M.; Tolhurst, R.; Barnish, G.; Bates, I. Malaria misdiagnosis: Effects on the poor and vulnerable. Lancet 2004, 364, 1896–1898. [Google Scholar] [CrossRef] [PubMed]
- Tangpukdee, N.; Duangdee, C.; Wilairatana, P.; Krudsood, S. Malaria diagnosis: A brief review. Korean J. Parasitol. 2009, 47, 93–102. [Google Scholar] [CrossRef] [PubMed]
- Oyeyemi, O.T.; Ogunlade, A.F.; Oyewole, I.O. Comparative assessment of microscopy and rapid diagnostic test (RDT) as malaria diagnostic tools. Res. J. Parasitol. 2015, 10, 120–126. [Google Scholar] [CrossRef]
- Madkhali, A.M.; Ghzwani, A.H.; Al-Mekhlafi, H.M. Comparison of Rapid Diagnostic Test, Microscopy, and Polymerase Chain Reaction for the Detection of Plasmodium falciparum Malaria in a Low-Transmission Area, Jazan Region, Southwestern Saudi Arabia. Diagnostics 2022, 12, 1485. Available online: https://app.dimensions.ai/details/publication/pub.1148773921 (accessed on 12 June 2023). [CrossRef]
- Berzosa, P.; de Lucio, A.; Romay-Barja, M.; Herrador, Z.; González, V.; García, L.; Fernández-Martínez, A.; Santana-Morales, M.; Ncogo, P.; Valladares, B.; et al. Comparison of three diagnostic methods (microscopy, RDT, and PCR) for the detection of malaria parasites in representative samples from Equatorial Guinea. Malar. J. 2018, 17, 333. [Google Scholar] [CrossRef] [PubMed]
- Shankar, H.; Singh, M.P.; Phookan, S.; Singh, K.; Mishra, N. Diagnostic performance of rapid diagnostic test, light microscopy and polymerase chain reaction during mass survey conducted in low and high malaria-endemic areas from two North-Eastern states of India. Parasitol. Res. 2021, 120, 2251–2261. [Google Scholar] [CrossRef]
- Charpentier, E.; Benichou, E.; Pagès, A.; Chauvin, P.; Fillaux, J.; Valentin, A.; Guegan, H.; Guemas, E.; Salabert, A.S.; Armengol, C.; et al. Performance evaluation of different strategies based on microscopy techniques, rapid diagnostic test and molecular loop-mediated isothermal amplification assay for the diagnosis of imported malaria. Clin. Microbiol. Infect. 2020, 26, 115–121. [Google Scholar] [CrossRef]
- Feleke, D.G.; Alemu, Y.; Yemanebirhane, N. Performance of rapid diagnostic tests, microscopy, loop-mediated isothermal amplification (LAMP) and PCR for malaria diagnosis in Ethiopia: A systematic review and meta-analysis. Malar. J. 2021, 20, 384. [Google Scholar] [CrossRef]
- Slater, H.C.; Ding, X.C.; Knudson, S.; Bridges, D.J.; Moonga, H.; Saad, N.J.; De Smet, M.; Bennett, A.; Dittrich, S.; Slutsker, L.; et al. Performance and utility of more highly sensitive malaria rapid diagnostic tests. BMC Infect. Dis. 2022, 22, 121. [Google Scholar] [CrossRef] [PubMed]
- Yigezu, E.; Wondale, B.; Abebe, D.; Tamiru, G.; Eligo, N.; Lindtjørn, B.; Gadisa, E.; Tadesse, F.G.; Massebo, F. Malaria misdiagnosis in the routine health system in Arba Minch area district in southwest Ethiopia: An implication for malaria control and elimination. Malar. J. 2023, 22, 273. Available online: https://link.springer.com/article/10.1186/s12936-023-04711-2 (accessed on 29 July 2024). [CrossRef] [PubMed]
- Opoku Afriyie, S.; Addison, T.K.; Gebre, Y.; Mutala, A.H.; Antwi, K.B.; Abbas, D.A.; Addo, K.A.; Tweneboah, A.; Ayisi-Boateng, N.K.; Koepfli, C.; et al. Accuracy of diagnosis among clinical malaria patients: Comparing microscopy, RDT and a highly sensitive quantitative PCR looking at the implications for submicroscopic infections. Malar. J. 2023, 22, 76. [Google Scholar] [CrossRef]
- Zheng, Z.; Cheng, Z. Advances in Molecular Diagnosis of Malaria. Adv. Clin. Chem. 2017, 80, 155–192. [Google Scholar] [PubMed]
- Wu, W.T.; Martin, A.B.; Gandini, A.; Aubry, N.; Massoudi, M.; Antaki, J.F. Design of microfluidic channels for magnetic separation of malaria-infected red blood cells. Microfluid. Nanofluid. 2016, 20, 41. [Google Scholar] [CrossRef]
- Warkiani, M.E.; Tay, A.K.P.; Khoo, B.L.; Xiaofeng, X.; Han, J.; Lim, C.T. Malaria detection using inertial microfluidics. Lab Chip 2014, 15, 1101–1109. Available online: http://www.ncbi.nlm.nih.gov/pubmed/25537768 (accessed on 15 March 2017). [CrossRef] [PubMed]
- Li, J.; Saidi, A.M.; Seydel, K.; Lillehoj, P.B. Rapid diagnosis and prognosis of malaria infection using a microfluidic point-of-care immunoassay. Biosens. Bioelectron. 2024, 250, 116091. [Google Scholar] [CrossRef]
- Campuzano-Zuluaga, G.; Hänscheid, T.; Grobusch, M.P. Automated haematology analysis to diagnose malaria. Malar. J. 2010, 9, 346. Available online: http://www.malariajournal.com/content/9/1/346 (accessed on 30 August 2016). [CrossRef] [PubMed]
- Zuluaga-Idárraga, L.; Rios, A.; Sierra-Cifuentes, V.; Garzón, E.; Tobón-Castaño, A.; Takehara, I.; Toya, Y.; Izuka, M.; Uchihashi, K.; Lopera-Mesa, T.M. Performance of the hematology analyzer XN-31 prototype in the detection of Plasmodium infections in an endemic region of Colombia. Sci. Rep. 2021, 11, 5268. [Google Scholar] [CrossRef]
- Kagaya, W.; Takehara, I.; Kurihara, K.; Maina, M.; Chan, C.W.; Okomo, G.; Kongere, J.; Gitaka, J.; Kaneko, A. Potential application of the haematology analyser XN-31 prototype for field malaria surveillance in Kenya. Malar. J. 2022, 21, 252. [Google Scholar] [CrossRef] [PubMed]
- Wongsrichanalai, C.; Barcus, M.J.; Muth, S.; Sutamihardja, A.; Wernsdorfer, W.H. A Review of Malaria Diagnostic Tools: Microscopy and Rapid Diagnostic Test. Am. J. Trop. Med. Hyg. 2007, 77, 119–127. [Google Scholar] [CrossRef]
- Dumoulin, P.C.; Trop, S.A.; Ma, J.; Zhang, H.; Sherman, M.A.; Levitskaya, J. Flow cytometry-based detection and isolation of Plasmodium falciparum liver stages in vitro. PLoS ONE 2015, 10, e0129623. [Google Scholar] [CrossRef][Green Version]
- Yamada, K.; Yamamoto, T.; Sasaki, K.; Huber, A.R.; Brunner-Agten, S. Feasibility of Measuring Autofluorescence of Red Blood Cells Utilizing a Novel Flow Cytometer to Define Iron Deficiency Patients. Sysmex J. Int. 2017, 27, 1–7. [Google Scholar]
- Campo, J.J.; Aponte, J.J.; Nhabomba, A.J.; Sacarla, J.; Angulo-Barturen, I.; Jiménez-Díaz, M.B.; Alonso, P.L.; Dobano, C. Feasibility of flow cytometry for measurements of Plasmodium falciparum parasite burden in studies in areas of malaria endemicity by use of bidimensional assessment of YOYO-1 and autofluorescence. J. Clin. Microbiol. 2011, 49, 968–974. [Google Scholar] [CrossRef] [PubMed]
- Cai, C.; Carey, K.A.; Nedosekin, D.A.; Menyaev, Y.A.; Sarimollaoglu, M.; Galanzha, E.I.; Stumhofer, J.S.; Zharov, V.P. In vivo photoacoustic flow cytometry for early malaria diagnosis. Cytom. Part A 2016, 89, 531–542. [Google Scholar] [CrossRef]
- Goh, B.; Ching, K.; Soares Magalhães, R.J.; Ciocchetta, S.; Edstein, M.D.; Maciel-de-freitas, R.; Sikulu-Lord, M.T. The application of spectroscopy techniques for diagnosis of malaria parasites and arboviruses and surveillance of mosquito vectors: A systematic review and critical appraisal of evidence. PLoS Negl. Trop. Dis. 2021, 15, e0009218. [Google Scholar] [CrossRef]
- Khoshmanesh, A.; Dixon, M.W.A.; Kenny, S.; Tilley, L.; Mcnaughton, D.; Wood, B.R. Detection and Quantification of Early-Stage Malaria Parasites in Laboratory Infected Erythrocytes by Attenuated Total Reflectance Infrared Spectroscopy and Multivariate Analysis. Anal. Chem. 2014, 86, 4379–4386. [Google Scholar] [CrossRef] [PubMed]
- Mshani, I.H.; Siria, D.J.; Mwanga, E.P.; Sow, B.B.D.; Sanou, R.; Opiyo, M.; Sikulu-Lord, M.T.; Ferguson, H.M.; Diabate, A.; Wynne, K.; et al. Key considerations, target product profiles, and research gaps in the application of infrared spectroscopy and artificial intelligence for malaria surveillance and diagnosis. Malar. J. 2023, 22, 346. [Google Scholar] [CrossRef]
- Shrirao, A.B.; Schloss, R.S.; Fritz, Z.; Shrirao, M.V.; Rosen, R.; Yarmush, M.L. Autofluorescence of blood and its application in biomedical and clinical research. Biotechnol. Bioeng. 2021, 118, 4550–4576. [Google Scholar] [CrossRef]
- Zheng, W.; Li, D.; Zeng, Y.; Luo, Y.; Qu, J.Y. Two-photon excited hemoglobin fluorescence. Biomed. Opt. Express. 2011, 2, 71. [Google Scholar] [CrossRef]
- Sun, Q.; Zeng, Y.; Zhang, W.; Zheng, W.; Luo, Y.; Qu, J.Y. Two-photon excited fluorescence emission from hemoglobin. Multiphot. Microsc. Biomed. Sci. XV 2015, 9329, 86–90. [Google Scholar]
- Sun, Q.; Zheng, W.; Wang, J.; Luo, Y.; Qu, J.Y. Mechanism of two-photon excited hemoglobin fluorescence emission. J. Biomed. Opt. 2015, 20, 105014. [Google Scholar] [CrossRef] [PubMed]
- Bukara, K.; Jovanić, S.Z.; Drvenica, I.T.; Stančić, A.; Ilić, V.; Rabasović, M.D.; Pantelić, D.; Jelenković, B.; Bugarski, B.; Krmpot, A.J. Mapping of hemoglobin in erythrocytes and erythrocyte ghosts using two photon excitation fluorescence microscopy. J. Biomed. Opt. 2017, 22, 026003. [Google Scholar] [CrossRef] [PubMed]
- Peng, C.; Liu, J. Studies on Red-Shift Rules in Fluorescence Spectra of Human Blood Induced by LED. Appl. Phys. Res. 2013, 5, 1–6. [Google Scholar] [CrossRef]
- Opoku-Ansah, J.; Eghan, M.J.; Anderson, B.; Boampong, J.N. Wavelength Markers for Malaria (Plasmodium falciparum) Infected and Uninfected Red Blood Cells for Ring and Trophozoite Stages. Appl. Phys. Res. 2014, 6, 47–55. [Google Scholar]
- Serebrennikova, Y.M.; Patel, J.; Milhous, W.K.; García-Rubio, L.H. Quantitative analysis of morphological alterations in Plasmodium falciparum infected red blood cells through theoretical interpretation of spectral measurements. J. Theor. Biol. 2010, 265, 493–500. [Google Scholar] [CrossRef]
- Opoku-Ansah, J.; Eghan, M.J.; Anderson, B.; Boampong, J.N.; Buah-Bassuah, P.K. Laser-Induced Autofluorescence Technique for Plasmodium falciparum Parasite Density Estimation. Appl. Phys. Res. 2016, 8, 43. [Google Scholar] [CrossRef]
- Garrido-Tamayo, M.Á.; Pedraja-Rejas, L.; Tiutiunnyk, Y.; Hoyos, F.E.; Laroze, D. Mapping the research landscape in the diagnosis of Plasmodium falciparum malaria: Insights from a bibliometric study. Healthcare, 2024; under review. [Google Scholar]
- WHO Giemsa Staining of Malaria Blood Films. Malaria Microscopy Standard Operating Procedure—MM-SOP-07A. 2016. Available online: http://www.wpro.who.int/mvp/lab_quality/2096_oms_gmp_sop_07a_rev.pdf (accessed on 2 February 2024).
- WHO. Malaria Parasite Counting Malaria Microscopy Standard Operating Procedure—MM-SOP-09. 2016. Available online: https://www.who.int/publications/i/item/HTM-GMP-MM-SOP-09 (accessed on 2 February 2024).
- Vernot-Hernandez, J.P.; Heidrich, H.G. The relationship to knobs of the 92,000 D protein specific for knobby strains of Plasmodium falciparum. Z. Parasitenkd. 1985, 71, 41–51. [Google Scholar] [CrossRef]
- Hammer, Ø.; Harper, D.A.T.; Ryan, P.D. PAST: Paleontological Statistics Software Package for Education and Data Analysis. Paleaontología Electrónica 2001, 4, 103–107. [Google Scholar]
- Hobro, A.J.; Pavillon, N.; Fujita, K.; Ozkan, M.; Coban, C.; Smith, N.I. Label-free Raman imaging of the macrophage response to the malaria pigment hemozoin. Analyst 2015, 140, 2350–2359. [Google Scholar] [CrossRef]
- Molyneux, P.M.; Kilvington, S.; Wakefield, M.J.; Prydal, J.I.; Bannister, N.P. Autofluorescence Signatures of Seven Pathogens: Preliminary in Vitro Investigations of a Potential Diagnostic for Acanthamoeba Keratitis. Cornea 2015, 34, 1588–1592. [Google Scholar] [CrossRef]
- Laura-Ochoa, L. Evaluación de Algoritmos de Clasificación utilizando Validación Cruzada. In Proceedings of the 17th LACCEI International Multi-Conference for Engineering, Education, and Technology, Montego Bay, Jamaica, 24–26 July 2019; Volume 1, p. 471. [Google Scholar] [CrossRef]
- Silva, A.; Godínez, J.; Fernández, M.; Haro, E. Espectroscopía de fluorescencia inducida por láser en células. In La Física Biológica en México: Temas Selectos; El Colegio Nacional: Mexico City, Mexico, 2009; pp. 487–508. [Google Scholar]
- Dhamnetiya, D.; Goel, M.K.; Jha, R.P.; Shalini, S.; Bhattacharyya, K. How to Perform Discriminant Analysis in Medical Research? Explained with Illustrations. J. Lab. Physicians 2022, 14, 511–520. [Google Scholar] [CrossRef] [PubMed]
- Appolus, E.E.; Okoli, C.N. A Robust Comparison Powers of Four Multivariate Analysis of Variance Tests. Eur. J. Stat. Probab. 2022, 10, 11–20. [Google Scholar]
- Preißinger, K.; Molnar, P.; Vertessy, B.; Kezsmarki, I.; Kellermayer, M. Stage-Dependent Topographical and Optical Properties of Plasmodium falciparum-Infected Red Blood Cells. J. Biotechnol. Biomed. 2021, 4, 132–146. [Google Scholar] [CrossRef]
- Masilamani, V.; Devanesan, S.; Ravikumar, M.; Perinbam, K.; AlSalhi, M.; Prasad, S.; Palled, S.; Ganesh, K.M.; Alsaeed, A.H. Fluorescence spectral diagnosis of malaria a preliminary study. Diagn. Pathol. 2014, 9, 182. [Google Scholar] [CrossRef]
- Bellemare, M.J.; Bohle, D.S.; Brosseau, C.N.; Georges, E.; Godbout, M.; Kelly, J.; Leimanis, M.L.; Leonelli, R.; Olivier, M.; Smilkstein, M. Autofluorescence of condensed heme aggregates in malaria pigment and its synthetic equivalent hematin anhydride (B-hematin). J. Phys. Chem. B 2009, 113, 8391–8401. [Google Scholar] [CrossRef] [PubMed]
- Kasetsirikul, S.; Buranapong, J.; Srituravanich, W.; Kaewthamasorn, M.; Pimpin, A. The development of malaria diagnostic techniques: A review of the approaches with focus on dielectrophoretic and magnetophoretic methods. Malar. J. 2016, 15, 358. Available online: http://malariajournal.biomedcentral.com/articles/10.1186/s12936-016-1400-9 (accessed on 14 July 2016). [CrossRef]
- Hashimoto, M.; Yatsushiro, S.; Yamamura, S.; Kataoka, M. Development of a cell microarray chip system for early and accurate malaria diagnosis. Synth. Engl. Ed. 2017, 10, 34–41. [Google Scholar]
- Butykai, A.; Orbán, A.; Kocsis, V.; Szaller, D.; Bordács, S.; Tátrai-Szekeres, E.; Kiss, L.F.; Bóta, A.; Vértessy, B.G.; Zelles, T.; et al. Malaria pigment crystals as magnetic micro-rotors: Key for high-sensitivity diagnosis. Sci. Rep. 2013, 3, 1431. [Google Scholar] [CrossRef]
- Mens, P.F.; Matelon, R.J.; Nour, B.Y.M.; Newman, D.M.; Schallig, H.D.F.H. Laboratory evaluation on the sensitivity and specificity of a novel and rapid detection method for malaria diagnosis based on magneto-optical technology (MOT). Malar. J. 2010, 9, 207. [Google Scholar] [CrossRef] [PubMed]
- Lema, O.E.; Carter, J.Y.; Nagelkerke, N.; Wangai, M.W.; Kitenge, P.; Gikunda, S.M.; Arube, P.A.; Munafu, C.G.; Materu, S.F.; Adhiambo, C.A.; et al. Comparison of five methods of malaria detection in the outpatient setting. Am. J. Trop. Med. Hyg. 1999, 60, 177–182. [Google Scholar] [CrossRef] [PubMed]










| Sample Number | RBC | Medium | Strain of P. falciparum | Parasitemia (%) |
|---|---|---|---|---|
| 1–6 | Uninfected | EDTA | N/A | N/A |
| 7 | Infected | RPMI | FCR3 | 0.30 |
| 8 | Infected | RPMI | FCR3 | 1.75 |
| 9 | Infected | RPMI | FCR3 | 3.10 |
| 10 | Infected | RPMI | FCR3 | 3.70 |
| 11 | Infected | RPMI | FCR3 | 5.67 |
| 12 | Infected | RPMI | FCB1 | 7.60 |
| PC 1 | PC 2 | |
|---|---|---|
| Exc_305 | 0.91694 | −0.29296 |
| Exc_310 | 0.30807 | 0.2695 |
| Exc_315 | 0.17148 | 0.39064 |
| Exc_320 | 0.13431 | 0.42394 |
| Exc_325 | 0.093698 | 0.39272 |
| Exc_330 | 0.065165 | 0.38752 |
| Exc_335 | 0.034341 | 0.25178 |
| λex (nm) | Peak | Sample | λc (nm) | Shift (nm) | Amplitude (RFU) | Difference (RFU) | Increase in i-RBCs (%) | Spectral Region |
|---|---|---|---|---|---|---|---|---|
| 315 | Gaussian 1 | u-RBC | 345.0 | 9 | 0.1738 | 0.1362 | 78% | UV |
| i-RBC | 354.0 | 0.3100 | ||||||
| Gaussian 2 | u-RBC | 365.0 | 18 | 0.1500 | −0.0100 | −7% | UV | |
| i-RBC | 383.0 | 0.1400 | ||||||
| Gaussian 3 | u-RBC | 453.0 | −3 | 0.0720 | 0.0230 | 32% | Blue | |
| i-RBC | 450.0 | 0.0950 | ||||||
| Gaussian 6 | u-RBC | 628.0 | 0 | 0.0375 | 0.0025 | 7% | Red | |
| i-RBC | 628.0 | 0.0400 | ||||||
| 320 | Gaussian 1 | u-RBC | 353.6 | 1.4 | 0.1540 | 0.0660 | 43% | UV |
| i-RBC | 355.0 | 0.2200 | ||||||
| Gaussian 2 | u-RBC | 370.0 | 8 | 0.0760 | 0.1780 | 234% | UV | |
| i-RBC | 378.0 | 0.2540 | ||||||
| Gaussian 3 | u-RBC | 425.0 | −1 | 0.0760 | 0.0240 | 32% | Violet | |
| i-RBC | 424.0 | 0.1000 | ||||||
| Gaussian 4 | u-RBC | 468.0 | 7 | 0.0240 | 0.0310 | 129% | Blue | |
| i-RBC | 475.0 | 0.0550 | ||||||
| Gaussian 5 | u-RBC | 510.0 | 5 | 0.0200 | 0.0100 | 50% | Green | |
| i-RBC | 515.0 | 0.0300 | ||||||
| Gaussian 8 | u-RBC | 639.0 | −0.1 | 0.0430 | 0.0000 | 0% | Red | |
| i-RBC | 638.9 | 0.0430 |
| Current Status | Group Size | Expected Status | |
|---|---|---|---|
| i-RBC | u-RBC | ||
| i-RBC | 12 | 10 | 2 |
| u-RBC | 12 | 0 | 12 |
Disclaimer/Publisher’s Note: The statements, opinions and data contained in all publications are solely those of the individual author(s) and contributor(s) and not of MDPI and/or the editor(s). MDPI and/or the editor(s) disclaim responsibility for any injury to people or property resulting from any ideas, methods, instructions or products referred to in the content. |
© 2025 by the authors. Licensee MDPI, Basel, Switzerland. This article is an open access article distributed under the terms and conditions of the Creative Commons Attribution (CC BY) license (https://creativecommons.org/licenses/by/4.0/).
Share and Cite
Garrido-Tamayo, M.A.; Rincón Santamaría, A.; Hoyos, F.E.; González Vega, T.; Laroze, D. Autofluorescence of Red Blood Cells Infected with P. falciparum as a Preliminary Analysis of Spectral Sweeps to Predict Infection. Biosensors 2025, 15, 123. https://doi.org/10.3390/bios15020123
Garrido-Tamayo MA, Rincón Santamaría A, Hoyos FE, González Vega T, Laroze D. Autofluorescence of Red Blood Cells Infected with P. falciparum as a Preliminary Analysis of Spectral Sweeps to Predict Infection. Biosensors. 2025; 15(2):123. https://doi.org/10.3390/bios15020123
Chicago/Turabian StyleGarrido-Tamayo, Miguel A., Alejandro Rincón Santamaría, Fredy E. Hoyos, Tamara González Vega, and David Laroze. 2025. "Autofluorescence of Red Blood Cells Infected with P. falciparum as a Preliminary Analysis of Spectral Sweeps to Predict Infection" Biosensors 15, no. 2: 123. https://doi.org/10.3390/bios15020123
APA StyleGarrido-Tamayo, M. A., Rincón Santamaría, A., Hoyos, F. E., González Vega, T., & Laroze, D. (2025). Autofluorescence of Red Blood Cells Infected with P. falciparum as a Preliminary Analysis of Spectral Sweeps to Predict Infection. Biosensors, 15(2), 123. https://doi.org/10.3390/bios15020123

