Comparing the Mechanical Properties of Rice Cells and Protoplasts under PEG6000 Drought Stress Using Double Resonator Piezoelectric Cytometry
Abstract
1. Introduction
2. Materials and Methods
2.1. Materials and Major Reagents/Instruments
2.2. Sample Preparation
2.3. Quantitative Measurements of Surface Stress Generated by Plant Cells and their Viscoelastic Moduli using DRPC Technology
2.4. Dynamic Monitoring of the Mechanical Properties of Rice Cells under Different Concentrations of PEG6000 Stress Using DRPC
2.5. Dynamic Monitoring of the Mechanical Properties of Rice Protoplasts under Different Concentrations of PEG6000 Stress Using DRPC
2.6. Microscopic Observations of the Morphologies of Rice Cells and Protoplasts under Different Concentrations of PEG6000 Stress
3. Results
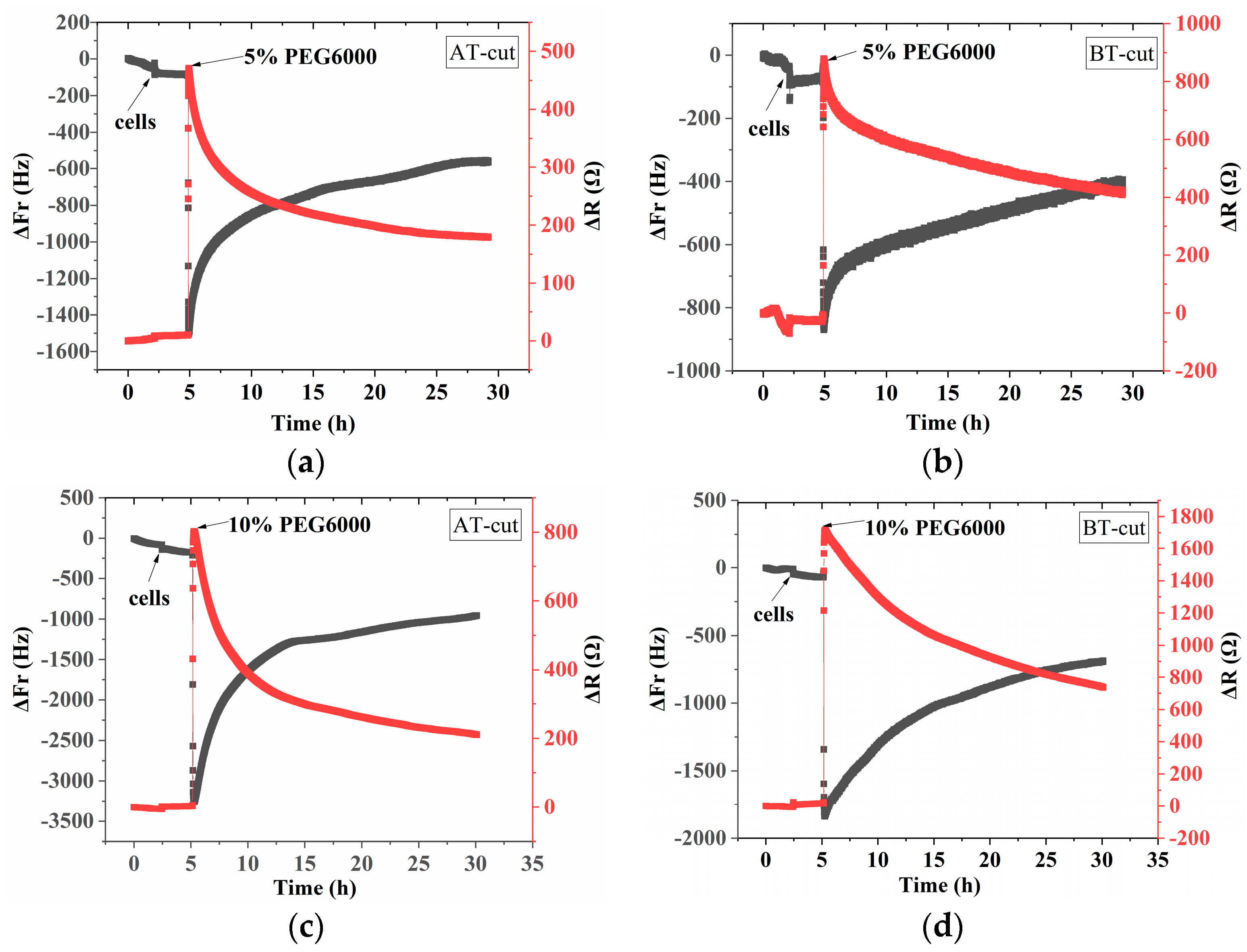
3.1. The Mechanical Changes of Rice Cells under Different Concentrations of PEG6000 Stress Concentrations
3.2. Mechanical Changes of Rice Protoplasts under Different Concentrations of PEG6000 Stress
3.3. Comparison of Mechanical Properties of Rice Cells and Protoplasts under Different Concentrations of PEG6000 Stress
3.4. Morphological Changes in Rice Cells and Protoplasts under Different Concentrations of PEG6000 Stress
4. Discussion
5. Conclusions
Author Contributions
Funding
Institutional Review Board Statement
Informed Consent Statement
Data Availability Statement
Acknowledgments
Conflicts of Interest
References
- Matysik, J.; Alia, A.; Bhalu, B.; Mohanty, P. Molecular mechanisms of quenching of reactive oxygen species by proline under stress in plants. Curr. Sci. 2002, 82, 525–532. [Google Scholar]
- Ganie, S.A.; Ahammed, G.J. Dynamics of cell wall structure and related genomic resources for drought tolerance in rice. Plant Cell Rep. 2021, 40, 437–459. [Google Scholar] [CrossRef] [PubMed]
- Tenhaken, R. Cell wall remodeling under abiotic stress. Front. Plant Sci. 2015, 5, 771. [Google Scholar] [CrossRef] [PubMed]
- Gall, H.L.; Philippe, F.; Domon, J.M.; Gillet, F.; Pelloux, J.; Rayon, C. Cell wall metabolism in response to abiotic stress. Plants 2015, 4, 112–166. [Google Scholar] [CrossRef] [PubMed]
- Moura, J.C.M.S.; Bonine, C.A.V.; de Oliveira Fernandes Viana, J.; Dornelas, M.C.; Mazzafera, P. Abiotic and biotic stresses and changes in the lignin content and composition in plants. J. Integr. Plant Biol. 2010, 52, 360–376. [Google Scholar] [CrossRef] [PubMed]
- Zheng, M.; Meng, Y.; Yang, C.; Zhou, Z.; Wang, Y.; Chen, B. Protein expression changes during cotton fiber elongation in response to drought stress and recovery. Proteomics 2014, 14, 1776–1795. [Google Scholar] [CrossRef] [PubMed]
- Hessini, K.; Martínez, J.P.; Gandour, M.; Albouchi, A.; Soltani, A.; Abdelly, C. Effect of water stress on growth, osmotic adjustment, cell wall elasticity and water-use efficiency in Spartina alterniflora. Environ. Exp. Bot. 2009, 67, 312–319. [Google Scholar] [CrossRef]
- Clifford, S.C.; Arndt, S.K.; Corlett, J.E.; Joshi, S.; Sankhla, N.; Popp, M.; Jones, H.G. The role of solute accumulation, osmotic adjustment and changes in cell wall elasticity in drought tolerance in Ziziphus mauritiana (Lamk.). J. Exp. Bot. 1998, 49, 967–977. [Google Scholar] [CrossRef]
- De Diego, N.; Sampedro, M.C.; Barrio, R.J.; Saiz-Fernandez, I.; Moncalean, P.; Lacuesta, M. Solute accumulation and elastic modulus changes in six radiata pine breeds exposed to drought. Tree Physiol. 2013, 33, 69–80. [Google Scholar] [CrossRef]
- Martínez, J.P.; Silva, H.; Ledent, J.F.; Pinto, M. Effect of drought stress on the osmotic adjustment, cell wall elasticity and cell volume of six cultivars of common beans (Phaseolus vulgaris L.). Eur. J. Agron. 2007, 26, 30–38. [Google Scholar] [CrossRef]
- Lin, C.C.; Kao, C.H. Osmotic stress-induced changes in cell wall peroxidase activity and hydrogen peroxide level in roots of rice seedlings. Plant Growth Regul. 2002, 37, 177–184. [Google Scholar] [CrossRef]
- Frachisse, J.M.; Thomine, S.; Allain, J.M. Calcium and plasma membrane force-gated ion channels behind development. Curr. Opin. Plant Biol. 2020, 53, 57–64. [Google Scholar] [CrossRef]
- Couchoud, M.; Der, C.; Girodet, S.; Vernoud, V.; Prudent, M.; Leborgne-Castel, N. Drought stress stimulates endocytosis and modifies membrane lipid order of rhizodermal cells of Medicago truncatula in a genotype-dependent manner. BMC Plant Biol. 2019, 19, 1–14. [Google Scholar] [CrossRef]
- Sharma, P.; Lakra, N.; Goyal, A.; Ahlawat, Y.K.; Zaid, A.; Siddique, K.H.M. Drought and heat stress mediated activation of lipid signaling in plants: A critical review. Front. Plant Sci. 2023, 14, 1216835. [Google Scholar] [CrossRef] [PubMed]
- ElBasyoni, I.; Saadalla, M.; Baenziger, S.; Bockelman, H.; Morsy, S. Cell membrane stability and association mapping for drought and heat tolerance in a worldwide wheat collection. Sustainability 2017, 9, 1606. [Google Scholar] [CrossRef]
- Wang, X.; Mao, T. Understanding the functions and mechanisms of plant cytoskeleton in response to environmental signals. Curr. Opin. Plant Biol. 2019, 52, 86–96. [Google Scholar] [CrossRef] [PubMed]
- Ginsberg, L.; McDonald, R.; Lin, Q.; Hendrickx, R.; Spigolon, G.; Ravichandran, G.; Daraio, C.; Roumeli, E. Cell wall and cytoskeletal contributions in single cell biomechanics of Nicotiana tabacum. Quant. Plant Biol. 2022, 3, e1. [Google Scholar] [CrossRef] [PubMed]
- Mohanta, T.K.; Bashir, T.; Hashem, A.; Abd-Allah, E.F.; Khan, A.L.; Al-Harrasi, A.S. Early events in plant abiotic stress signaling: Interplay between calcium, reactive oxygen species and phytohormones. J. Plant Growth Regul. 2018, 37, 1033–1049. [Google Scholar] [CrossRef]
- Codjoe, J.M.; Miller, K.; Haswell, E.S. Plant cell mechanobiology: Greater than the sum of its parts. Plant Cell 2022, 34, 129–145. [Google Scholar] [CrossRef]
- Ding, Y.; Zhang, Y.; Zheng, Q.S.; Tyree, M.T. Pressure–volume curves: Revisiting the impact of negative turgor during cell collapse by literature review and simulations of cell micromechanics. New Phytol. 2014, 203, 378–387. [Google Scholar] [CrossRef]
- Nakayama, H.; Koga, H.; Long, Y.; Hamant, O.; Ferjani, A. Looking beyond the gene network–metabolic and mechanical cell drivers of leaf morphogenesis. J. Cell Sci. 2022, 135, jcs259611. [Google Scholar] [CrossRef] [PubMed]
- Knoblauch, J.; Mullendore, D.L.; Jensen, K.H.; Knoblauch, M. Pico gauges for minimally invasive intracellular hydrostatic pressure measurements. Plant Physiol. 2014, 166, 1271–1279. [Google Scholar] [CrossRef] [PubMed]
- Bidhendi, A.J.; Geitmann, A. Methods to quantify primary plant cell wall mechanics. J. Exp. Bot. 2019, 70, 3615–3648. [Google Scholar] [CrossRef] [PubMed]
- Vahabi, S.; Salman, B.N.; Javanmard, A. Atomic force microscopy application in biological research: A review study. Iran. J. Med. Sci. 2013, 38, 76. [Google Scholar] [PubMed]
- Elsayad, K.; Werner, S.; Gallemí, M.; Kong, J.; Guajardo, E.R.S.; Zhang, L.; Jaillais, Y.; Greb, T.; Belkhadir, Y. Mapping the subcellular mechanical properties of live cells in tissues with fluorescence emission–Brillouin imaging. Sci. Signal. 2016, 9, rs5. [Google Scholar] [CrossRef] [PubMed]
- Zhou, T.; Marx, K.A.; Dewilde, A.H.; McIntosh, D.; Braunhut, S.J. Dynamic cell adhesion and viscoelastic signatures distinguish normal from malignant human mammary cells using quartz crystal microbalance. Anal. Biochem. 2012, 421, 164–171. [Google Scholar] [CrossRef] [PubMed]
- Bufi, N.; Durand-Smet, P.; Asnacios, A. Single-cell mechanics: The parallel plates technique. In Methods in Cell Biology; Academic Press: Cambridge, MA, USA, 2015; Volume 125, pp. 187–209. [Google Scholar]
- Salipante, P.F. Microfluidic techniques for mechanical measurements of biological samples. Biophys. Rev. 2023, 4, 011303. [Google Scholar] [CrossRef] [PubMed]
- Zeng, M.; Zhou, T.; Su, Z.; Pan, W. Electrochemically prepared poly (L-lysine) and 3-hydroxyphenylboronic acid composite as a conventional adhesion material for rice suspension cells. Electrochem. Commun. 2020, 115, 106737. [Google Scholar] [CrossRef]
- Chen, Z.; Zhou, T.; Hu, J.; Duan, H. Quartz crystal microbalance with dissipation monitoring of Dynamic viscoelastic changes of tobacco BY-2 cells under different osmotic conditions. Biosensors 2021, 11, 136. [Google Scholar] [CrossRef]
- Zhou, T.; Huang, J.; Xiong, L.; Shen, H.; Huang, F.; Li, W.; Peng, H.; Su, Z.; Pan, W.; Zhao, J.; et al. Real-Time Quantification of Cell Mechanics and Functions by Double Resonator Piezoelectric Cytometry–Theory and Study of Cellular Adhesion of HUVECs. Adv. Mater. Interfaces 2023, 10, 2300048. [Google Scholar] [CrossRef]
- Zhou, Z.; Peng, H.; Li, J.; Chen, Z.; Huo, J.; Zhou, T. Real-time monitoring of the contractile properties of H9C2 cardiomyocytes by double resonator piezoelectric cytometry. Anal. Methods 2023, 15, 2839–2852. [Google Scholar] [CrossRef] [PubMed]
- Li, W.; Li, J.; Wu, Y.; Zhou, T. A novel method in identifying pyroptosis and apoptosis based on the double resonator piezoelectric cytometry technology. Biosensors 2023, 13, 356. [Google Scholar] [CrossRef] [PubMed]
- Blum, A. Use of PEG to Induce and Control Plant Water Deficit in Experimental Hydroponics Culture. 2008. Available online: https://plantstress.com/use-of-peg/ (accessed on 4 June 2024).
- Rajeswar, S.; Narasimhan, S. Peg-induced drought stress in plants: A review. Res. J. Pharm. Technol. 2021, 14, 6173–6178. [Google Scholar] [CrossRef]
- Sobahan, M.A.; Akter, N.; Rana, M.M. Polyethylene glycol mediated drought stress impacts on germination, growth and accumulation of proline in rice (Oryza sativa L.). SAARC J. Agric. 2022, 20, 107. [Google Scholar] [CrossRef]
- Haswell, E.S.; Verslues, P.E. The ongoing search for the molecular basis of plant osmosensing. J. Gen. Physiol. 2015, 145, 389–394. [Google Scholar] [CrossRef] [PubMed]
- Liu, Y.; Wu, W.; Feng, S.; Chen, Y.; Wu, X.; Zhang, Q.; Wu, S. Dynamic response of the cell traction force to osmotic shock. Microsyst. Nanoeng. 2023, 9, 131. [Google Scholar] [CrossRef] [PubMed]
- Murrell, M.P.; Voituriez, R.; Joanny, J.F.; Nassoy, P.; Sykes, C.; Gardel, M.L. Liposome adhesion generates traction stress. Nat. Phys. 2014, 10, 163–169. [Google Scholar] [CrossRef]
- Durand-Smet, P.; Chastrette, N.; Guiroy, A.; Richert, A.; Berne-Dedieu, A.; Szecsi, J.; Boudaoud, A.; Frachisse, J.M.; Bendahmane, M.; Hamant, O.; et al. A comparative mechanical analysis of plant and animal cells reveals convergence across kingdoms. Biophys. J. 2014, 107, 2237–2244. [Google Scholar] [CrossRef] [PubMed]
- Roffay, C.; Molinard, G.; Kim, K.; Urbanska, M.; Andrade, V.; Barbarasa, V.; Nowak, P.; Mercier, V.; Carcia-Calvo, J.; Matile, S.; et al. Passive coupling of membrane tension and cell volume during active response of cells to osmosis. Proc. Natl. Acad. Sci. USA 2021, 118, e2103228118. [Google Scholar] [CrossRef]
- Blume, Y.B.; Krasylenko, Y.A.; Yemets, A.I. The role of the plant cytoskeleton in phytohormone signaling under abiotic and biotic stresses. Mech. Plant Horm. Signal. Under Stress 2017, 2, 127–185. [Google Scholar]
- Quezada, E.H.; Arthikala, M.K.; Nanjareddy, K. Cytoskeleton in abiotic stress signaling. In Mitigation of Plant Abiotic Stress by Microorganisms; Academic Press: Cambridge, MA, USA, 2022; pp. 347–371. [Google Scholar]
- Balcerowicz, M. A New Order through Disorder: Intrinsically Disordered Proteins Reshape the Cytoskeleton under Drought Stress. Plant Physiol. 2020, 183, 425–426. [Google Scholar] [CrossRef] [PubMed]
- Śniegowska-Świerk, K.; Dubas, E.; Rapacz, M. Drought-induced changes in the actin cytoskeleton of barley (Hordeum vulgare L.) leaves. Acta Physiol. Plant. 2015, 37, 1–13. [Google Scholar] [CrossRef]
- Wang, N.; Naruse, K.; Stamenović, D.; Fredberg, J.J.; Mijailovich, S.M.; Tolic-Norrelykke, I.M.; Polte, T.; Mannix, R.; Ingber, D.E. Mechanical behavior in living cells consistent with the tensegrity model. Proc. Natl. Acad. Sci. USA 2001, 98, 7765–7770. [Google Scholar] [CrossRef] [PubMed]
- Hsiao, A.S.; Wang, K.; Ho TH, D. An intrinsically disordered protein interacts with the cytoskeleton for adaptive root growth under stress. Plant Physiol. 2020, 183, 570–587. [Google Scholar] [CrossRef] [PubMed]
- Komis, G.; Apostolakos, P.; Galatis, B. Hyperosmotic stress-induced actin filament reorganization in leaf cells of Chlorophyton comosum. J. Exp. Bot. 2002, 53, 1699–1710. [Google Scholar] [CrossRef] [PubMed]
- Kumar, S.; Jeevaraj, T.; Yunus, M.H.; Chakraborty, S.; Chakraborty, N. The plant cytoskeleton takes center stage in abiotic stress responses and resilience. Plant Cell Environ. 2023, 46, 5–22. [Google Scholar] [CrossRef] [PubMed]
- Novaković, L.; Guo, T.; Bacic, A.; Sampathkumar, A.; Johnson, K.L. Hitting the wall—Sensing and signaling pathways involved in plant cell wall remodeling in response to abiotic stress. Plants 2018, 7, 89. [Google Scholar] [CrossRef] [PubMed]
- Voxeur, A.; Höfte, H. Cell wall integrity signaling in plants: “To grow or not to grow that’s the question”. Glycobiology 2016, 26, 950–960. [Google Scholar] [CrossRef] [PubMed]
- Ene, I.V.; Walker, L.A.; Schiavone, M.; Lee, K.K.; Martin-Yken, H.; Dague, E.; Gow, N.A.R.; Munro, C.A.; Brown, A.J.P. Cell wall remodeling enzymes modulate fungal cell wall elasticity and osmotic stress resistance. MBio 2015, 6, 10–1128. [Google Scholar] [CrossRef]
- Guo, M.; Pegoraro, A.F.; Mao, A.; Zhou, E.H.; Arany, P.R.; Han, Y.; Burnette, D.T.; Jensen, M.H.; Kasza, K.E.; Moore, J.R.; et al. Cell volume change through water efflux impacts cell stiffness and stem cell fate. Proc. Natl. Acad. Sci. USA 2017, 114, E8618–E8627. [Google Scholar] [CrossRef]
- Vaahtera, L.; Schulz, J.; Hamann, T. Cell wall integrity maintenance during plant development and interaction with the environment. Nat. Plants 2019, 5, 924–932. [Google Scholar] [CrossRef] [PubMed]















| Method/Instrument | Cell Viscoelasticity | Cellular Force | Simultaneous Measurement of Cellular Force and Viscoelasticity | Nondestructive Long-Term | Single Cell | Cell Cluster |
|---|---|---|---|---|---|---|
| Pico gauges | − | + | − | − | + | − |
| Indentation techniques | + | − | − | − | + | − |
| Atomic force microscopy, AFM | + | + | − | − | + | − |
| Brillouin scattering microscopy, BSM | + | − | − | + | + | − |
| Quartz Crystal Microbalance, QCM | + | − | − | + | + | + |
| Parallel plate rheometer, PPR | + | + | − | − | + | − |
| Microfluidic—Cell mechanics techniques | + | + | − | + | + | + |
| Double resonator piezoelectric cytometry, DRPC | + | + | + | + | + | + |
| Concentration of PEG6000 | G′~ΔS | G″~ΔS | G″~G′ | |||||||
|---|---|---|---|---|---|---|---|---|---|---|
| Slope | R2 | Time Region (h) | Slope | R2 | Time Region (h) | Slope | R2 | Time Region (h) | ||
| cells | 5% | −0.8577 | 0.9739 | 5.03–13.6 | −0.8972 | 0.9688 | 5.03–13.6 | 1.0482 | 0.9981 | 5.03–13.6 |
| 10% | −0.6484 | 0.9927 | 5.17–10.43 | −0.7641 | 0.9784 | 5.17–10.43 | 1.1838 | 0.9947 | 5.17–10.43 | |
| 15% | −0.6054 | 0.9764 | 5.63–18.82 | −0.4849 | 0.9601 | 5.63–18.82 | 0.8062 | 0.9961 | 5.63–18.82 | |
| 25% | −0.8934 | 0.9146 | 7.31–21.36 | −0.8029 | 0.8758 | 7.31–21.36 | 0.9157 | 0.9939 | 7.31–21.36 | |
| protoplasts | 5% | −0.1944 | 0.7186 | 16.02–28.7 | 0.1184 | 0.7316 | 16.02–28.7 | 0.7932 | 0.9839 | 8.19–16.02 |
| 10% | −0.1340 | 0.8998 | 6.23–8.64 | 0.2411 | 0.8425 | 6.23–8.64 | 1.2517 | 0.9330 | 8.72–19.42 | |
| 15% | −0.4370 | 0.9468 | 5.52–9.72 | −0.6866 | 0.9684 | 5.52–9.72 | 2.2203 | 0.9866 | 6.00–10.7 | |
| 25% | −1.5380 | 0.9128 | 9.15–29.64 | −0.7824 | 0.8732 | 9.15–29.64 | 0.5317 | 0.9923 | 7.96–29.58 | |
Disclaimer/Publisher’s Note: The statements, opinions and data contained in all publications are solely those of the individual author(s) and contributor(s) and not of MDPI and/or the editor(s). MDPI and/or the editor(s) disclaim responsibility for any injury to people or property resulting from any ideas, methods, instructions or products referred to in the content. |
© 2024 by the authors. Licensee MDPI, Basel, Switzerland. This article is an open access article distributed under the terms and conditions of the Creative Commons Attribution (CC BY) license (https://creativecommons.org/licenses/by/4.0/).
Share and Cite
Yan, Y.; Zhou, T.; Zhang, Y.; Kong, Z.; Pan, W.; Tan, C. Comparing the Mechanical Properties of Rice Cells and Protoplasts under PEG6000 Drought Stress Using Double Resonator Piezoelectric Cytometry. Biosensors 2024, 14, 303. https://doi.org/10.3390/bios14060303
Yan Y, Zhou T, Zhang Y, Kong Z, Pan W, Tan C. Comparing the Mechanical Properties of Rice Cells and Protoplasts under PEG6000 Drought Stress Using Double Resonator Piezoelectric Cytometry. Biosensors. 2024; 14(6):303. https://doi.org/10.3390/bios14060303
Chicago/Turabian StyleYan, Yu, Tiean Zhou, Yu Zhang, Zhicheng Kong, Weisong Pan, and Chengfang Tan. 2024. "Comparing the Mechanical Properties of Rice Cells and Protoplasts under PEG6000 Drought Stress Using Double Resonator Piezoelectric Cytometry" Biosensors 14, no. 6: 303. https://doi.org/10.3390/bios14060303
APA StyleYan, Y., Zhou, T., Zhang, Y., Kong, Z., Pan, W., & Tan, C. (2024). Comparing the Mechanical Properties of Rice Cells and Protoplasts under PEG6000 Drought Stress Using Double Resonator Piezoelectric Cytometry. Biosensors, 14(6), 303. https://doi.org/10.3390/bios14060303

