Development of High Surface Area Organosilicate Nanoparticulate Thin Films for Use in Sensing Hydrophobic Compounds in Sediment and Water
Abstract
1. Introduction
2. Materials and Methods
2.1. Nanoporous Organosilicate Thin Film Fabrication
2.2. Preparation and Analysis of NPO Films
2.3. Assessment of NPO Film PCB153 Adsorption Capacity
2.4. Application of the NPO Film to Assess PCB in Sediment
2.5. Statistical Analysis
3. Results and Discussion
3.1. NPO Film Characteristics and Optimization
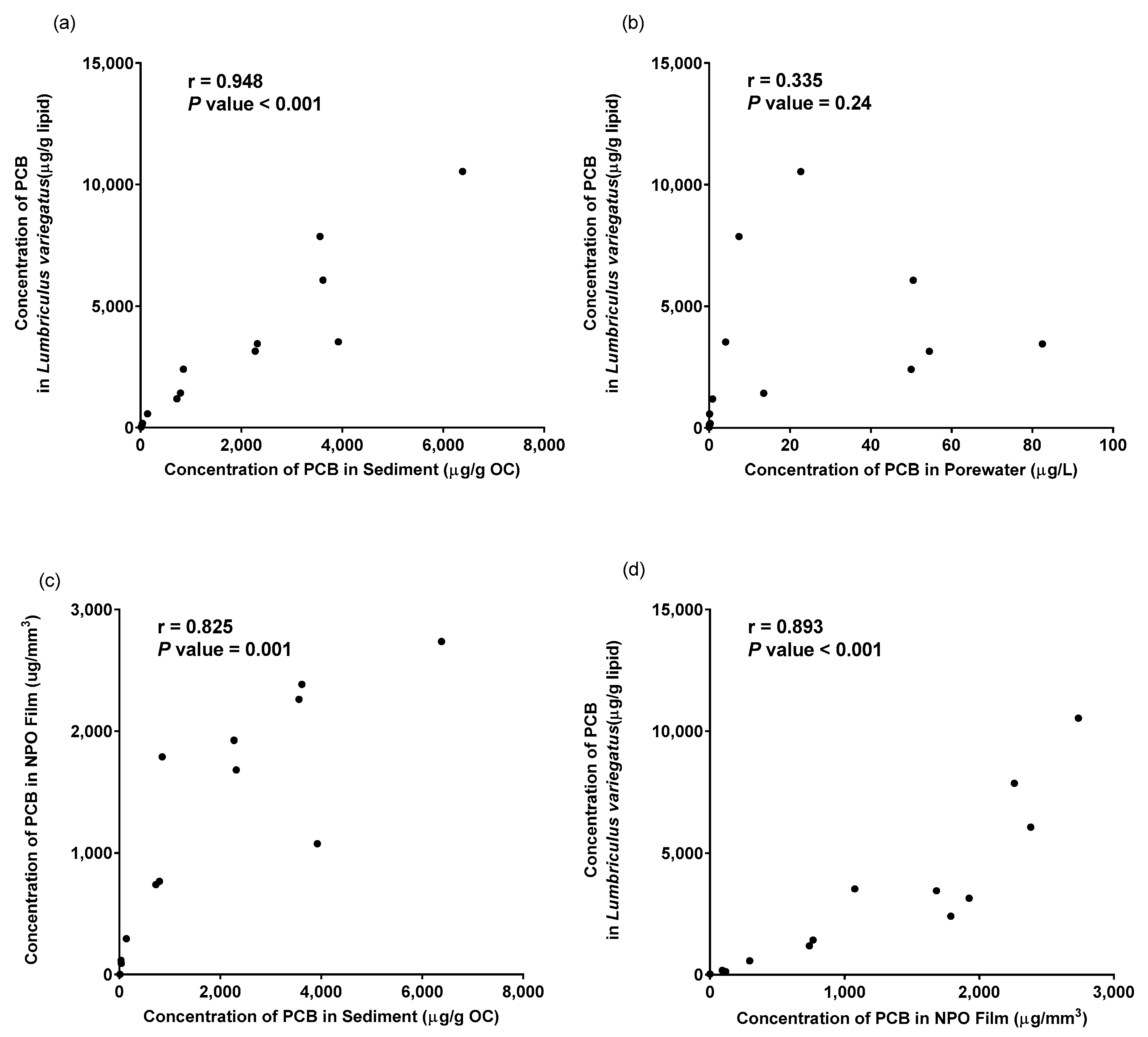
3.2. Application of NPO Film Platform to Assess PCB in Sediment
4. Conclusions
Author Contributions
Funding
Institutional Review Board Statement
Informed Consent Statement
Data Availability Statement
Acknowledgments
Conflicts of Interest
References
- Di Toro, D.M.; Zarba, C.S.; Hansen, D.J.; Berry, W.J.; Swartz, R.C.; Cowan, C.E.; Pavlou, S.P.; Allen, H.E.; Thomas, N.A.; Paquin, P.R. Technical basis for establishing sediment quality criteria for nonionic organic chemicals using equilibrium partitioning. Environ. Toxicol. Chem. 1991, 10, 1541–1583. [Google Scholar] [CrossRef]
- Di Toro, D.M.; McGrath, J.A.; Hansen, D.J.; Berry, W.J.; Paquin, P.R.; Mathew, R.; Wu, K.B.; Santore, R.C. Predicting sediment metal toxicity using a sediment biotic ligand model: Methodology and initial application. Environ. Toxicol. Chem. 2005, 24, 2410–2427. [Google Scholar] [CrossRef] [PubMed]
- Allen, H.E.; Fu, G.; Deng, B. Analysis of acid-volatile sulfide (AVS) and simultaneously extracted metals (SEM) for the estimation of potential toxicity in aquatic sediments. Environ. Toxicol. Chem. 1993, 12, 1441–1453. [Google Scholar]
- Lydy, M.J.; Landrum, P.F.; Oen, A.M.; Allinson, M.; Smedes, F.; Harwood, A.D.; Li, H.; Maruya, K.A.; Liu, J. Passive sampling methods for contaminated sediments: State of the science for organic contaminants. Integr. Environ. Assess. Manag. 2014, 10, 167–178. [Google Scholar] [CrossRef] [PubMed]
- Peijnenburg, W.J.; Teasdale, P.R.; Reible, D.; Mondon, J.; Bennett, W.W.; Campbell, P.G. Passive sampling methods for contaminated sediments: State of the science for metals. Integr. Environ. Assess. Manag. 2014, 10, 179–196. [Google Scholar] [CrossRef] [PubMed]
- Barthe, M.; Pelletier, É.; Breedveld, G.D.; Cornelissen, G. Passive samplers versus surfactant extraction for the evaluation of PAH availability in sediments with variable levels of contamination. Chemosphere 2008, 71, 1486–1493. [Google Scholar] [CrossRef] [PubMed]
- Huckins, J.N.; Manuweera, G.K.; Petty, J.D.; Mackay, D.; Lebo, J.A. Lipid-containing semipermeable membrane devices for monitoring organic contaminants in water. Environ. Sci. Technol. 1993, 27, 2489–2496. [Google Scholar] [CrossRef]
- Hawthorne, S.B.; Grabanski, C.B.; Miller, D.J.; Kreitinger, J.P. Solid-Phase Microextraction Measurement of Parent and Alkyl Polycyclic Aromatic Hydrocarbons in Milliliter Sediment Pore Water Samples and Determination of KDOC Values. Environ. Sci. Technol. 2005, 39, 2795–2803. [Google Scholar] [CrossRef]
- van der Wal, L.; van Gestel, C.A.M.; Hermens, J.L.M. Solid phase microextraction as a tool to predict internal concentrations of soil contaminants in terrestrial organisms after exposure to a laboratory standard soil. Chemosphere 2004, 54, 561–568. [Google Scholar] [CrossRef]
- Joyce, A.S.; Portis, L.M.; Parks, A.N.; Burgess, R.M. Evaluating the Relationship between Equilibrium Passive Sampler Uptake and Aquatic Organism Bioaccumulation. Environ. Sci. Technol. 2016, 50, 11437–11451. [Google Scholar] [CrossRef]
- Das, S.; Sen, B.; Debnath, N. Recent trends in nanomaterials applications in environmental monitoring and remediation. Environ. Sci. Pollut. Res. 2015, 22, 18333–18344. [Google Scholar] [CrossRef] [PubMed]
- Govindhan, M.; Adhikari, B.R.; Chen, A.C. Nanomaterials-based electrochemical detection of chemical contaminants. Rsc Adv. 2014, 4, 63741–63760. [Google Scholar] [CrossRef]
- Shen, L.; Fischer, J.; Martin, J.; Hoque, M.E.; Telgmann, L.; Hintelmann, H.; Metcalfe, C.D.; Yargeau, V. Carbon Nanotube Integrative Sampler (CNIS) for passive sampling of nanosilver in the aquatic environment. Sci. Total Environ. 2016, 569, 223–233. [Google Scholar] [CrossRef] [PubMed]
- Chatterjee, S.G.; Chatterjee, S.; Ray, A.K.; Chakraborty, A.K. Graphene-metal oxide nanohybrids for toxic gas sensor: A review. Sens. Actuators B-Chem. 2015, 221, 1170–1181. [Google Scholar] [CrossRef]
- Yu, J.G.; Zhao, X.H.; Yu, L.Y.; Jiao, F.P.; Jiang, J.H.; Chen, X.Q. Removal, recovery and enrichment of metals from aqueous solutions using carbon nanotubes. J. Radioanal. Nucl. Chem. 2014, 299, 1155–1163. [Google Scholar] [CrossRef]
- Achilleos, D.S.; Hatton, T.A.; Vamvakaki, M. Photoreponsive Hybrid Nanoparticles with Inherent FRET Activity. Langmuir 2016, 32, 5981–5989. [Google Scholar] [CrossRef] [PubMed]
- Choi, S.W.; Kim, J.; Lee, J.H.; Byun, Y.T. Remarkable improvement of CO-sensing performances in single-walled carbon nanotubes due to modification of the conducting channel by functionalization of Au nanoparticles. Sens. Actuators B-Chem. 2016, 232, 625–632. [Google Scholar] [CrossRef]
- Cao, J.; Zhang, X.X.; Wu, X.D.; Wang, S.M.; Lu, C.H. Cellulose nanocrystals mediated assembly of graphene in rubber composites for chemical sensing applications. Carbohydr. Polym. 2016, 140, 88–95. [Google Scholar] [CrossRef] [PubMed]
- Araghi, S.H.; Entezari, M.H. Amino-functionalized silica magnetite nanoparticles for the simultaneous removal of pollutants from aqueous solution. Appl. Surf. Sci. 2015, 333, 68–77. [Google Scholar] [CrossRef]
- Zhang, H.Y.; Ruan, Y.J.; Lin, L.; Lin, M.G.; Zeng, X.X.; Xi, Z.M.; Fu, F.F. A turn-off fluorescent biosensor for the rapid and sensitive detection of uranyl ion based on molybdenum disulfide nanosheets and specific DNAzyme. Spectrochim. Acta Part A-Mol. Biomol. Spectrosc. 2015, 146, 1–6. [Google Scholar] [CrossRef]
- Zuo, X.W.; Zhang, H.G.; Zhu, Q.; Wang, W.F.; Feng, J.; Chen, X.G. A dual-color fluorescent biosensing platform based on WS2 nanosheet for detection of Hg2+ and Ag+. Biosens. Bioelectron. 2016, 85, 464–470. [Google Scholar] [CrossRef]
- Challis, J.K.; Hanson, M.L.; Wong, C.S. Development and Calibration of an Organic-Diffusive Gradients in Thin Films Aquatic Passive Sampler for a Diverse Suite of Polar Organic Contaminants. Anal. Chem. 2016, 88, 10583–10591. [Google Scholar] [CrossRef]
- Nasir, T.; Herzog, G.; Hébrant, M.; Despas, C.; Liu, L.; Walcarius, A. Mesoporous Silica Thin Films for Improved Electrochemical Detection of Paraquat. ACS Sens. 2018, 3, 484–493. [Google Scholar] [CrossRef]
- Li, M.; Xie, K.; Wang, G.; Zheng, J.; Cao, Y.; Cheng, X.; Li, Z.; Wei, F.; Tu, H.; Tang, J. An AIE-Active Ultrathin Polymeric Self-Assembled Monolayer Sensor for Trace Volatile Explosive Detection. Macromol. Rapid Commun. 2021, 42, 2100551. [Google Scholar] [CrossRef]
- Johnson, B.J.; Melde, B.J.; Leska, I.A.; Charles, P.T.; Hewitt, A.D. Solid-phase extraction using hierarchical organosilicates for enhanced detection of nitroenergetic targets. J. Environ. Monit. 2011, 13, 1404–1409. [Google Scholar] [CrossRef]
- Liu, Y.; Shen, Y.; Lee, M.L. Porous Layer Solid Phase Microextraction Using Silica Bonded Phases. Anal. Chem. 1997, 69, 190–195. [Google Scholar] [CrossRef]
- Zhai, M.M.; Cui, R.J.; Gu, N.; Zhang, G.H.; Lin, W.; Yu, L.J. Nanocomposite of Au Nanoparticles/Helical Carbon Nanofibers and Application in Hydrogen Peroxide Biosensor. J. Nanosci. Nanotechnol. 2015, 15, 4682–4687. [Google Scholar] [CrossRef]
- da Costa Silva, R.G.; Augusto, F. Highly porous solid-phase microextraction fiber coating based on poly(ethylene glycol)-modified ormosils synthesized by sol-gel technology. J. Chromatogr. A 2005, 1072, 7–12. [Google Scholar] [CrossRef]
- Oh, W.; Shin, T.J.; Ree, M.; Jin, M.Y.; Char, K. Residual Stress Behavior in Methylsilsesquioxane-Based Dielectric Thin Films. Mol. Cryst. Liq. Cryst. 2001, 371, 397–402. [Google Scholar] [CrossRef]
- Oh, W.; Ree, M. Anisotropic Thermal Expansion Behavior of Thin Films of Polymethylsilsesquioxane, a Spin-on-Glass Dielectric for High-Performance Integrated Circuits. Langmuir 2004, 20, 6932–6939. [Google Scholar] [CrossRef] [PubMed]
- Nozaki, S.; Ono, H.; Uchida, K.; Morisaki, H.; Ito, N.; Yoshimaru, M. Ultralow k nanoporous silica by oxidation of silicon nanoparticles. In Proceedings of the IEEE 2002 International Interconnect Technology Conference (Cat. No.02EX519), Burlingame, CA, USA, 5 June 2002; pp. 69–71. [Google Scholar] [CrossRef]
- Korampally, V.; Yun, M.; Thiruvengadathan, R.; Dasgupta, P.; Gangopadhyay, K.; Gangopadhyay, S. Entropy driven spontaneous formation of highly porous films from polymer nanoparticle composites. Nanotechnology 2009, 20, 425602. [Google Scholar] [CrossRef]
- Krishnan, S.; Weinman, C.J.; Ober, C.K. Advances in polymers for anti-biofouling surfaces. J. Mater. Chem. 2008, 18, 3405–3413. [Google Scholar] [CrossRef]
- Ngoubeyou, P.S.K.; Wolkersdorfer, C.; Ndibewu, P.P.; Augustyn, W. Toxicity of polychlorinated biphenyls in aquatic environments—A review. Aquat. Toxicol. 2022, 251, 106284. [Google Scholar] [CrossRef]
- Ingersoll, C.G.; Steevens, J.A.; MacDonald, D.D.; Brumbaugh, W.G.; Coady, M.R.; Farrar, J.D.; Lotufo, G.R.; Kemble, N.E.; Kunz, J.L.; Stanley, J.K.; et al. Evaluation of toxicity to the amphipod, Hyalella azteca, and to the midge, Chironomus dilutus; and bioaccumulation by the oligochaete, Lumbriculus variegatus, with exposure to PCB-contaminated sediments from Anniston, Alabama. In U.S. Geological Survey Scientific Investigations Report 2013–5125; U.S. Geological Survey: Reston, VA, USA, 2014. [Google Scholar] [CrossRef]
- Bruggeman, D. The calculation of various physical constants of heterogeneous substances. I. The dielectric constants and conductivities of mixtures composed of isotropic substances. Ann. Phys. 1935, 416, 636–791. [Google Scholar] [CrossRef]
- USEPA. Sediment Toxicity Identification Evaluation (TIE) Phases I, II, and III Guidance Document; EPA/600/R-07/080; United States Environmental Protection Agency, Office of Research and Development: Washington, DC, USA, 2007.
- USEPA. Test Methods for Evaluating Solid Waste, Physical/Chemical Methods, 3rd ed.; SW-846. Method 8082A: Polychlorinated biphenyls (PCBs) by gas chromatography; United States Environmental Protection Agency, Office of Solid Waste: Washington, DC, USA, 2007.
- Steevens, J.A.; Lotufo, G.R.; Kemble, N.E.; Ingersoll, C.G.; Stanley, J.K.; Farrar, J.D.; Sinclair, J.A.; MacDonald, D.D. Evaluation of Bioaccumulation in the Oligochaete, Lumbriculus variegatus, Exposed to Sediments from the Anniston PCB Site; Scientific Investigations Report 2013–5125; U.S. Geological Survey: Reston, VA, USA, 2014.
- Steevens, J.A.; Korampally, V.R.; Stanley, J.K.; Bok, S.; Gangopadhyay, K.; Gangopadhyay, S. Development of High Surface Area Organosilicate Nanoparticulate Thin Films for Use in Sampling Hydrophobic Compounds in Sediment-Data; Data Release; U.S. Geological Survey: Reston, VA, USA, 2024. [CrossRef]
- Bok, S.; Dasgupta, P.K.; Korampally, V.; Polo-Parada, L.; Folk, W.R.; Gangopadhyay, K.; Gangopadhyay, S. Novel nanostructured platform and nanoparticles for sensitive detection of biological materials. In Proceedings of the SENSORS, 2010 IEEE, Waikoloa, HI, USA, 1–4 November 2010; pp. 450–453. [Google Scholar]
- Bok, S.; Korampally, V.; Darr, C.M.; Folk, W.R.; Polo-Parada, L.; Gangopadhyay, K.; Gangopadhyay, S. Femtogram-level detection of Clostridium botulinum neurotoxin type A by sandwich immunoassay using nanoporous substrate and ultra-bright fluorescent suprananoparticles. Biosens. Bioelectron. 2013, 41, 409–416. [Google Scholar] [CrossRef]
- Hawker, D.W.; Connell, D.W. Octanol-water partition coefficients of polychlorinated biphenyl congeners. Environ. Sci. Technol. 1988, 22, 382–387. [Google Scholar] [CrossRef]





| Curing Temperature (°C) | Surface Area (mm2) | Thickness (mm) | Volume (mm3) | PCB 153 (ng) | ng PCB 153/mm3 Sampler Volume |
|---|---|---|---|---|---|
| 250 | 565 (101) | 0.00176 | 0.994 (0.178) | 8.2 (1.6) | 8.5 (2.6) |
| 350 | 477 (31) | 0.00161 | 0.766 (0.050) | 9.2 (3.5) | 12.0 (4.2) |
| 450 | 495 (45) | 0.00137 | 0.678 (0.062) | 10.0 (3.4) | 14.9 (5.1) |
| 550 | 469 (61) | 0.000641 | 0.300 (0.039) | 6.4 (2.0) | 22.1 (8.8) |
Disclaimer/Publisher’s Note: The statements, opinions and data contained in all publications are solely those of the individual author(s) and contributor(s) and not of MDPI and/or the editor(s). MDPI and/or the editor(s) disclaim responsibility for any injury to people or property resulting from any ideas, methods, instructions or products referred to in the content. |
© 2024 by the authors. Licensee MDPI, Basel, Switzerland. This article is an open access article distributed under the terms and conditions of the Creative Commons Attribution (CC BY) license (https://creativecommons.org/licenses/by/4.0/).
Share and Cite
Bok, S.; Korampally, V.R.; Stanley, J.K.; Gangopadhyay, K.; Gangopadhyay, S.; Steevens, J.A. Development of High Surface Area Organosilicate Nanoparticulate Thin Films for Use in Sensing Hydrophobic Compounds in Sediment and Water. Biosensors 2024, 14, 288. https://doi.org/10.3390/bios14060288
Bok S, Korampally VR, Stanley JK, Gangopadhyay K, Gangopadhyay S, Steevens JA. Development of High Surface Area Organosilicate Nanoparticulate Thin Films for Use in Sensing Hydrophobic Compounds in Sediment and Water. Biosensors. 2024; 14(6):288. https://doi.org/10.3390/bios14060288
Chicago/Turabian StyleBok, Sangho, Venumadhav R. Korampally, Jacob K. Stanley, Keshab Gangopadhyay, Shubhra Gangopadhyay, and Jeffery A. Steevens. 2024. "Development of High Surface Area Organosilicate Nanoparticulate Thin Films for Use in Sensing Hydrophobic Compounds in Sediment and Water" Biosensors 14, no. 6: 288. https://doi.org/10.3390/bios14060288
APA StyleBok, S., Korampally, V. R., Stanley, J. K., Gangopadhyay, K., Gangopadhyay, S., & Steevens, J. A. (2024). Development of High Surface Area Organosilicate Nanoparticulate Thin Films for Use in Sensing Hydrophobic Compounds in Sediment and Water. Biosensors, 14(6), 288. https://doi.org/10.3390/bios14060288

