Macromolecule–Nanoparticle-Based Hybrid Materials for Biosensor Applications
Abstract
1. Introduction
2. Fundamentals and Parameters for Sensing of Biomolecules
- a.
- Fundamentals of sensing of biomolecules:
- Recognition Element: Using particular interactions like antigen–antibody binding or enzyme–substrate catalysis, the recognition element—which includes aptamers, antibodies, enzymes, and molecularly imprinted polymers—interacts selectively with the target analyte to determine the specificity of the sensor.
- Transducer: Transducers are available in a variety of forms, including optical (such as fluorescence and absorbance), electrochemical (such as amperometry and potentiometry), and mechanical (such as piezoelectric) sensors. They function by changing the altered physical or chemical properties of the sensor to convert the recognition and binding events into measurable signals.
- Signal Processing: In order to extract meaningful information about the target analyte while improving the signal-to-noise ratio, eliminating interference, and extracting pertinent information, signal processing techniques like amplification, filtering, and data analysis are used to manipulate and analyze the raw sensor signal.
- Detection Mechanism: The process by which the target biomolecule binds to the recognition element is known as the detection mechanism. Depending on the type of transducer used, this process involves changes in optical, electrochemical, or mechanical properties that allow the sensor to determine the presence or concentration of the target analyte based on the strength or type of signal that is generated.
- Calibration and Validation: Validation ensures that sensor measurements are accurate, consistent, and reliable under a range of conditions, confirming the sensor’s suitability for the intended use. Calibration establishes the relationship between the concentration of the target analyte and the sensor output.
- Miniaturization and Integration: Miniaturizing sensor parts and incorporating them into implantable or portable devices are key developments in sensing technology. Integration increases usability and accessibility across a range of applications, while miniaturization improves sensitivity, selectivity, and response time.
- b.
- Parameters of sensing of biomolecules:
- Sensitivity: The term “sensitivity” describes a sensor’s capacity to recognize variations in the quantity being measured. It shows the extent to which a change in the input stimulus alters the sensor’s output. Minor changes in the measured parameter can be retrieved through a highly sensitive sensor.
- Selectivity/Specificity: The term “selectivity” or “specificity” describes a sensor’s capacity to react exclusively to the target analyte or element of interest, disregarding interference from other substances or outside variables.
- Resolution: The smallest change in the measured quantity that the sensor can distinguish is referred to as resolution. It stands for the smallest input increment that can cause the sensor’s output to a noticeable change.
- Linearity: Plotting the sensor response against the actual input values and evaluating its linearity determines how well the response implies a straight line. Throughout its measurement range, a linear sensor shows a constant relationship between the input and output.
- Range: The range denotes the lowest and maximum values of the parameter being measured that the sensor is capable of precisely detecting or measuring. It outlines the range in which the sensor functions optimally.
- Response Time: The duration taken by the sensor to recognize and respond to alterations in the input stimulus is measured as its response time. It shows how accurate the sensor can be when measuring under different conditions.
- Stability: The ability of the sensor to retain its calibration and performance characteristics over time is referred to as stability. In continuous operation, a stable sensor shows very little drift or output variations.
- Limit of Detection (LOD): A sensor can reliably detect the lowest concentration or smallest amount of an analyte or parameter above the background noise at the limit of detection. The lower limit of the sensor’s measurable range is defined by it, and statistical techniques like signal-to-noise ratio analysis are frequently used to determine LOD. The LOD is particularly significant for applications that need to detect small changes in the measured quantity or low concentrations. A lower LOD indicates a sensor’s increased sensitivity and ability to detect trace amounts of the target analyte amidst noise or interference.
3. Fabrication of Working Electrode towards Sensing of Biomolecules
4. Electrochemical Sensing of Biomolecules
4.1. Glucose Biosensors
4.2. Hydrogen Peroxide (H2O2) Biosensors
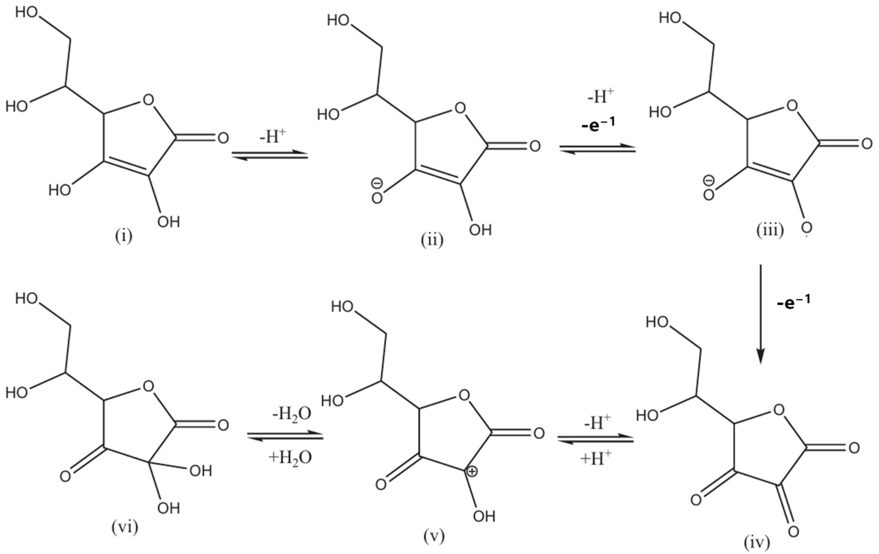
- (i)
- The bulkier structure of Hb contributes to the activation of the electrode surface and facilitates electron transfer kinetics without impeding the diffusion of hydroxide ions through the 3D porous network. Surface modification of Hb targets the heme cofactor, which consists of a ring of conjugated double bonds surrounding an iron atom. These iron atoms possess narrowly spaced energy levels, allowing for easy electron transfer facilitated by extra conjugation of double bonds. This phenomenon prevents energy loss as heat and enables energy conversion into smaller processes, such as proton pumping across a membrane or metal reduction [144].
- (ii)
- The 3D structure of Hb features a configuration where hydrophobic amino acid clusters are buried inside the molecule, while hydrophilic residues are located towards the surface [145]. This structural arrangement enhances the hydrophilicity of the electrode surface and increases the number of active sites compared to bare Ni foam electrodes, as illustrated in Figure 3b.
4.3. Uric Acid (UA) Biosensors
4.4. Ascorbic Acid (AA) Biosensors
4.5. Dopamine Biosensors
4.6. Amino Acid Biosensors
| Electrocatalyst Material | Linear Range | Sensitivity | LOD | Ref. |
|---|---|---|---|---|
| Poly(CoTBrImPc) | 10–100 nM | 2.99 μA·nM−1·cm−2 | 3 nM | [229] |
| poly-CoTPzPyPc | 10–100 μM | - | 2.5 μM | [230] |
| RGO-pTACoPc | 0.05–2.0 μM | 10.19 nA·nM−1·cm−2 | 0.018 μM | [231] |
| Pd-NP/CPE | 0.6 to 112 μM | - | 200 μM | [232] |
| Urease-based ion-selective field effect transistors (ISFET) biosensor | 0.5–148 µM | 5.4 nA·µM−1 | - | [233] |
| Graphite Teflon electrode-modified L/D-arginine oxidize | 100–1000 μM | - | 160 and 33 μM | [234] |
| Arginine deiminase (ADI)/PANI/Nafion/Pt-SPE | 3–200 μM | - | 1 μM | [235] |
| PbPc | 1–50,000 μM | - | 1 μM | [236] |
| L-tryptophan | 5–150 μM | - | 1.73 and 5.78 μM | [237] |
| Screen-printed diamond electrode | 1–194 μM | - | 0.62 μM | [238] |
| Functionalized MWCNT | 0.7 nM–200 μM | - | 0.16 nM | [239] |
| Carbon black functionalized with syringic acid | 20–100 μM | - | 0.639 μM | [240] |
| Iron tetrasulphonated phthalocyanine-decorated MWCNT | 10–200 μM | - | 1 μM | [241] |
| Co(II)-phthalocyanine | 2.6–200 μM | 0.78 μA·µM−1·cm−2 | 4 μM | [242] |
| MWCNT and molecularly imprinted polymer | 0.002–100 μM | - | 0.001 μM | [243] |
| 4-amino-3-hydroxyl-1-naphthalenesulphonic acid/rGO based polymer | 0.5–200 μM | 0.0451 μA·μM−1 | 0.31 μM | [244] |
| rGO-hemin-Ag | 0.1–1000 μM | - | 0.03 μM | [245] |
| Molecularly imprinted polymer/rGO | 0.1–400 μM | - | 0.046 μM | [246] |
4.7. Cholesterol Biosensors
4.8. Cancer Biosensors
5. Conclusions, Challenges, and Future Directions of Macromolecule-Based Hybrids in Biosensor Applications
Author Contributions
Funding
Institutional Review Board Statement
Informed Consent Statement
Data Availability Statement
Acknowledgments
Conflicts of Interest
References
- Javaid, M.; Haleem, A.; Rab, S.; Singh, R.P.; Suman, R. Sensors for daily life: A review. Sens. Int. 2021, 2, 100121. [Google Scholar] [CrossRef]
- Javaid, M.; Haleem, A.; Singh, R.P.; Rab, S.; Suman, R. Significance of sensors for industry 4.0: Roles, capabilities, and applications. Sens. Int. 2021, 2, 100110. [Google Scholar] [CrossRef]
- Lokesh, K.S.; Shivaraj, Y.; Dayananda, B.P.; Chandra, S. Synthesis of phthalocyanine stabilized rhodium nanoparticles and their application in biosensing of cytochrome c. Bioelectrochemistry 2009, 75, 104–109. [Google Scholar] [CrossRef]
- Kim, J.H.; Suh, Y.J.; Park, D.; Yim, H.; Kim, H.; Kim, H.J.; Yoon, D.S.; Hwang, K.S. Technological advances in electrochemical biosensors for the detection of disease biomarkers. Biomed. Eng. Lett. 2021, 11, 309–334. [Google Scholar] [CrossRef]
- Bhatia, D.; Paul, S.; Acharjee, T.; Ramachairy, S.S. Biosensors and their widespread impact on human health. Sens. Int. 2024, 5, 100257. [Google Scholar] [CrossRef]
- Sahu, P.; Pinkalwar, N.; Dubey, R.D.; Paroha, S.; Chatterjee, S.; Chatterjee, T. Biomarkers: An emerging tool for diagnosis of a disease and drug development. Asian J. Res. Pharm. Sci. 2011, 1, 9–16. [Google Scholar]
- Gonzalez-Gonzalez, R.B.; Flores-Contreras, E.A.; Gonzalez-Gonzalez, E.; Torres Castillo, N.E.; Parra-Saldivar, R.; Iqbal, H.M. Biosensor constructs for the monitoring of persistent emerging pollutants in environmental matrices. Ind. Eng. Chem. Res. 2022, 62, 4503–4520. [Google Scholar] [CrossRef]
- Sajjan, V.A.; Aralekallu, S.; Nemakal, M.; Palanna, M.; Prabhu, C.K.; Sannegowda, L.K. Nanomolar detection of lead using electrochemical methods based on a novel phthalocyanine. Inorganica Chim. Acta 2020, 506, 119564. [Google Scholar] [CrossRef]
- Palanna, M.; Aralekallu, S.; Prabhu, C.K.; Sajjan, V.A.; Sannegowda, L.K. Nanomolar detection of mercury (II) using electropolymerized phthalocyanine film. Electrochim. Acta 2021, 367, 137519. [Google Scholar] [CrossRef]
- Datta, L.P.; Manchineella, S.; Govindaraju, T. Biomolecules-derived biomaterials. Biomaterials 2020, 230, 119633. [Google Scholar] [CrossRef]
- İzol, E.; Yapici, İ.; Tarhan, A. Medicinal Aromatic Plants and Phytochemicals from the Perspective of Biochemistry. In Medicinal, Aromatic Plants and Phytochemicals; İzol, E., Yılmaz, M.A., Haspolat, Y.K., Eds.; Orient Publications: New Delhi, India, 2023; pp. 1–10. [Google Scholar]
- Suresh, R.; Pandiaraj, M.; Sankaralingam, M.; Giribabu, K. Graphene–metal chalcogenide modified electrochemical sensors. In Graphene-Based Electrochemical Sensors for Biomolecules, Micro and Nanotechnologies; Elsevier: Amsterdam, The Netherlands, 2019; pp. 139–153. [Google Scholar]
- Yazhini, A.; Chakraborti, S.; Srinivasan, N. Protein Structure, Dynamics and Assembly: Implications for Drug Discovery. In Innovations and Implementations of Computer Aided Drug Discovery Strategies in Rational Drug Design; Springer: Singapore, 2021; pp. 91–122. [Google Scholar]
- Khowala, S.; Verma, D.; Banik, S.P. Biomolecules: (Introduction, Structure and Function); Indian Institute of Chemical Biology: Kolkata, India, 2008; pp. 3–92. [Google Scholar]
- Minchin, S.; Lodge, J. Understanding biochemistry: Structure and function of nucleic acids. Essays Biochem. 2019, 63, 433–456. [Google Scholar] [CrossRef] [PubMed]
- Belmont, P.; Constant, J.F.; Demeunynck, M. Nucleic acid conformation diversity: From structure to function and regulation. Chem. Soc. Rev. 2001, 30, 70–81. [Google Scholar] [CrossRef]
- Casares, D.; Escribá, P.V.; Rosselló, C.A. Membrane lipid composition: Effect on membrane and organelle structure, function and compartmentalization and therapeutic avenues. Int. J. Mol. Sci. 2019, 20, 2167. [Google Scholar] [CrossRef] [PubMed]
- Drew, S.W.; Demain, A.L. Effect of primary metabolites on secondary metabolism. Annu. Rev. Microbiol. 1977, 31, 343–356. [Google Scholar] [CrossRef] [PubMed]
- Baker, S.A.; Rutter, J. Metabolites as signalling molecules. Nat. Rev. Mol. Cellbiology 2023, 24, 355. [Google Scholar] [CrossRef] [PubMed]
- Agorogiannis, E.I.; Agorogiannis, G.I.; Papadimitriou, A.; Hadjigeorgiou, G.M. Protein misfolding in neurodegenerative diseases. Neuropathol. Appl. Neurobiol. 2004, 30, 215–224. [Google Scholar] [CrossRef]
- Romero-Laorden, N.; Castro, E. Inherited mutations in DNA repair genes and cancerrisk. Curr. Probl. Cancer 2017, 41, 251–264. [Google Scholar] [CrossRef] [PubMed]
- Deprince, A.; Haas, J.T.; Staels, B. Dysregulated lipid metabolism links NAFLD tocardiovascular disease. Mol. Metab. 2020, 42, 101092. [Google Scholar] [CrossRef]
- Arora, R.K.; Saini, R.P. Biosensors: Way of diagnosis. Int. J. Pharm. Sci. Res. 2013, 4, 2517–2527. [Google Scholar]
- Bobade, S.; Kalorey, D.R.; Warke, S. Biosensor Devices: A review on their biological applications. Biosci. Biotechnol. Res. Commun. 2016, 9, 132–137. [Google Scholar] [CrossRef]
- Sharma, S.K.; Sehgal, N.; Kumar, A. Biomolecules for development of biosensors and their applications. Curr. Appl. Phys. 2003, 3, 307–316. [Google Scholar] [CrossRef]
- Borisov, S.M.; Wolfbeis, O.S. Optical biosensors. Chem. Rev. 2008, 108, 423–461. [Google Scholar] [CrossRef] [PubMed]
- Lechuga, L.M. Optical biosensors. Compr. Anal. Chem. 2005, 44, 209–250. [Google Scholar]
- Pohanka, M. The piezoelectric biosensors: Principles and applications. Int. J. Electrochem. Sci 2017, 12, 496–506. [Google Scholar] [CrossRef]
- Gupta, A.K.; Yadav, A.; Koch, P.; Mishra, P. Piezoelectric biosensors: Principle, techniques, and their application in food analysis. In Biosensors in Food Safety and Quality; CRC Press: Boca Raton, FL, USA, 2022; pp. 37–46. [Google Scholar]
- Guo, X. Surface plasmon resonance-based biosensor technique: A review. J. Biophotonics 2012, 5, 483–501. [Google Scholar] [CrossRef]
- Englebienne, P.; Van Hoonacker, A.; Verhas, M. Surface plasmon resonance: Principles, methods and applications in biomedical sciences. Spectroscopy 2003, 17, 255–273. [Google Scholar] [CrossRef]
- Pohanka, M.; Skládal, P. Electrochemical biosensors-principles and applications. J. Appl. Biomed. 2008, 6, 57–64. [Google Scholar] [CrossRef]
- Grieshaber, D.; MacKenzie, R.; Vörös, J.; Reimhult, E. Electrochemical biosensors-sensor principles and architectures. Sensors 2008, 8, 1400–1458. [Google Scholar] [CrossRef] [PubMed]
- Singh, A.; Sharma, A.; Ahmed, A.; Sundramoorthy, A.K.; Furukawa, H.; Arya, S.; Khosla, A. Recent advances in electrochemical biosensors: Applications, challenges, and future scope. Biosensors 2021, 11, 336. [Google Scholar] [CrossRef]
- Sajjan, V.A.; Aralekallu, S.; Nemakal, M.; Palanna, M.; Prabhu, C.K.; Sannegowda, L.K. Nanomolar detection of 4-nitrophenol using Schiff-base phthalocyanine. Microchem. J. 2021, 164, 105980. [Google Scholar] [CrossRef]
- Mohammed, I.; Nemakal, M.; Aralekallu, S.; Sajjan, V.A.; Divakara, T.R.; Palanna, M.; Prabhu, C.P.K.; Sannegowda, L.K. Phthalocyanine sheet polymer based amperometric sensor for the selective detection of 2,4-dichlorophenol. J. Electroanal. Chem. 2020, 871, 114292. [Google Scholar] [CrossRef]
- Nemakal, M.; Aralekallu, S.; Mohammed, I.; Pari, M.; Reddy, K.V.; Sannegowda, L.K. Nanomolar detection of 4-aminophenol using amperometric sensor based on a novel phthalocyanine. Electrochim. Acta 2019, 318, 342–353. [Google Scholar] [CrossRef]
- Keshavananda Prabhu, C.P.; Aralekallu, S.; Palanna, M.; Sajjan, V.; Renuka, B.; Sannegowda, L.K. Novel polymeric zinc phthalocyanine for electro-oxidation and detection of ammonia. J. Appl. Electrochem. 2022, 52, 325–338. [Google Scholar] [CrossRef]
- Nemakal, M.; Sannegowda, L. Hybrid composites based on phthalocyanine and carbonaceous materials for sensing applications: A review. Int. J. Biosen. Bioelectron 2021, 7, 84–89. [Google Scholar] [CrossRef]
- Basova, T.V.; Ray, A.K. Hybrid materials based on phthalocyanines and metal nanoparticles for chemiresistive and electrochemical sensors: A mini-review. ECS J. Solid-State Sci. Technol. 2020, 9, 061001. [Google Scholar] [CrossRef]
- Costa, P.; Nunes-Pereira, J.; Oliveira, J.; Silva, J.; Moreira, J.A.; Carabineiro, S.A.C.; Bunijnsters, J.G.; Lanceros-Mendez, S. High-performance graphene-based carbon nanofiller/polymer composites for piezoresistive sensor applications. Compos. Sci. Technol. 2017, 153, 241–252. [Google Scholar] [CrossRef]
- Chen, G.; Roy, I.; Yang, C.; Prasad, P.N. Nanochemistry and nanomedicine for nanoparticle-based diagnostics and therapy. Chem. Rev. 2016, 116, 2826–2885. [Google Scholar] [CrossRef]
- Taheri, M.; Deen, I.A.; Packirisamy, M.; Deen, M.J. Metal oxide-based electrical/electrochemical sensors for health monitoring systems. TrAC Trends Anal. Chem. 2023, 171, 117509. [Google Scholar] [CrossRef]
- Kanan, S.M.; El-Kadri, O.M.; Abu-Yousef, I.A.; Kanan, M.C. Semiconducting metal oxide -based sensors for selective gas pollutant detection. Sensors 2009, 9, 8158–8196. [Google Scholar] [CrossRef]
- Yang, W.; Ratinac, K.R.; Ringer, S.P.; Thordarson, P.; Gooding, J.J.; Braet, F. Carbon nanomaterials in biosensors: Should you use nanotubes or graphene? Angew. Int. Ed. 2010, 49, 2114–2138. [Google Scholar] [CrossRef]
- Wang, J.; Ye, D.; Meng, Q.; Di, C.A.; Zhu, D. Advances in Organic Transistor-Based Biosensors. Adv. Mater. Technol. 2020, 5, 2000218. [Google Scholar] [CrossRef]
- Gonçalves, J.M.; Iglesias, B.A.; Martins, P.R.; Angnes, L. Recent advances in electroanalytical drug detection by porphyrin/phthalocyanine macrocycles: Developments and future perspectives. Analyst 2021, 146, 365–381. [Google Scholar] [CrossRef] [PubMed]
- Li, W.S.; Aida, T. Dendrimer porphyrins and phthalocyanines. Chem. Rev. 2009, 109, 6047–6076. [Google Scholar] [CrossRef] [PubMed]
- Quaglio, D.; Polli, F.; Del Plato, C.; Cianfoni, G.; Tortora, C.; Mazzei, F.; Botta, B.; Calcaterra, A.; Ghirga, F. Calixarene: A versatile scaffold for the development of highly sensitive biosensors. Supramol. Chem. 2021, 33, 345–369. [Google Scholar] [CrossRef]
- Saniye, S.; Melis, K.; Hande, U.; Ali, C.; Levent, T. A Novel and Effective Surface Design: Conducting Polymer/β-Cyclodextrin Host–Guest System for Cholesterol Biosensor. ACS Appl. Mater. Interfaces 2014, 6, 18290–18300. [Google Scholar]
- Healy, B.; Yu, T.; C. da Silva Alves, D.; Okeke, C.; Breslin, C.B. Cyclodextrins as supramolecular recognition systems: Applications in the fabrication of electrochemical sensors. Materials 2021, 14, 1668. [Google Scholar] [CrossRef] [PubMed]
- Lenik, J. Cyclodextrins based electrochemical sensors for biomedical and pharmaceutical analysis. Curr. Med. Chem. 2017, 24, 2359–2391. [Google Scholar] [CrossRef] [PubMed]
- Manjunatha, N.; Hojamberdiev, M.; Sannegowda, L.K. Nitrogen-rich palladium tetra amino-hippuric acid phthalocyanine complex and its hybrid composite with multi-walled carbon nanotubes for supercapacitor application. J. Energy Storage 2022, 50, 104696. [Google Scholar]
- Giddaerappa; Manjunatha, N.; Shantharaja; Hojamberdiev, M.; Sannegowda, L.K. Tetraphenolphthalein cobalt (II) phthalocyanine polymer modified with multiwalled carbon nanotubes as an efficient catalyst for the oxygen reduction reaction. ACS Omega 2022, 7, 14291–14304. [Google Scholar] [CrossRef]
- Shantharaja; Giddaerappa; Sannegowda, L.K. Phthalocyanine based metal-organic frame work with carbon nanoparticles as hybrid catalyst for oxygen reduction reaction. Electrochim. Acta 2023, 456, 142405. [Google Scholar] [CrossRef]
- Shantharaja; Giddaerappa; Sajjan, V.A.; Lokesh, K.S. Polymeric cobalt phthalocyanine on nickel foam as an efficient electrocatalyst for oxygen evolution reaction. Int. J. Hydrogen Energy 2023, 48, 35850–35861. [Google Scholar] [CrossRef]
- Kousar, N.; Giddaerappa; Sannegowda, L.K. Hybrid cobalt phthalocyanine polymer as a potential electrocatalyst for hydrogen evolution reaction. Int. J. Hydrogen Energy 2024, 50, 37–47. [Google Scholar] [CrossRef]
- Paolesse, R.; Nardis, S.; Monti, D.; Stefanelli, M.; Di Natale, C. Porphyrinoids for chemical sensor applications. Chem. Rev. 2017, 117, 2517–2583. [Google Scholar] [CrossRef] [PubMed]
- Hamad, O.A.; Kareem, R.O.; Omer, P.K. Recent Developments in Synthesise, Properties, Characterization, and Application of Phthalocyanine and Metal Phthalocyanine. J. Chem. Rev. 2024, 6, 39. [Google Scholar]
- Mukherjee, D.; Manjunatha, R.; Sampath, S.; Ray, A.K. Phthalocyanines as sensitive materials for chemical sensors. In Materials for Chemical Sensing; Cesar Paixão, T., Reddy, S., Eds.; Springer: Cham, Switzerland, 2017; pp. 165–226. [Google Scholar]
- Giuffrida, S.G.; Forysiak, W.; Cwynar, P.; Szweda, R. Shaping Macromolecules for Sensing Applications—From Polymer Hydrogels to Foldamers. Polymers 2022, 14, 580. [Google Scholar] [CrossRef] [PubMed]
- Sinha, A.; Mugo, S.M.; Chen, J.; Lokesh, K.S. MXene-based sensors and biosensors: Next-generation detection platforms. In Handbook of Nanomaterials in Analytical Chemistry. Modern Trends in Analysis; Elsevier: Amsterdam, The Netherlands, 2020; pp. 361–372. [Google Scholar]
- Hosu, O.; Florea, A.; Cristea, C.; Sandulescu, R. Functionalized advanced hybrid materials for biosensing applications. In Advanced Biosensors for Health Care Applications; Elsevier: Amsterdam, The Netherlands, 2019; pp. 171–207. [Google Scholar]
- Aralekallu, S.; Mohammed, I.; Manjunatha, N.; Palanna, M.; Sannegowda, L.K. Synthesis of novel azo group substituted polymeric phthalocyanine for amperometric sensing of nitrite. Sens. Actuators B Chem. 2019, 282, 417–425. [Google Scholar] [CrossRef]
- Giddaerappa; Puttaningaiah, K.P.C.H.; Aralekallu, S.; Shantharaja; Kousar, N.; ChikkabasurKumbara, A.; Sannegowda, L.K. Uranium Phthalocyanine-Anchored Acid-Functionalized Multiwalled Carbon Nanotubes for Water Electrolysis. ACS Appl. Nano Mater. 2023, 6, 8880. [Google Scholar] [CrossRef]
- Wang, H.S. Metal–organic frameworks for biosensing and bioimaging applications. Coord. Chem. Rev. 2017, 349, 139–155. [Google Scholar] [CrossRef]
- Rasheed, T.; Rizwan, K. Metal-organic frameworks-based hybrid nanocomposites as state-of–the-art analytical tools for electrochemical sensing applications. Biosens. Bioelectron. 2022, 199, 113867. [Google Scholar] [CrossRef]
- Lei, J.; Qian, R.; Ling, P.; Cui, L.; Ju, H. Design and sensing applications of metal–organic framework composites. TrAC Trends Anal. Chem. 2014, 58, 71–78. [Google Scholar] [CrossRef]
- Nyokong, T.; Khene, S. Modification of electrode surfaces with metallo phthalocyanine nanomaterial hybrids. In Electrochemistry of N4 Macrocyclic Metal Complexes: Volume 2: Biomimesis, Electroanalysis and Electrosynthesis of MN4 Metal Complexes; Springer: Cham, Switzerland, 2016; pp. 225–275. [Google Scholar]
- Abdulbari, H.A.; Basheer, E.A. Electrochemical biosensors: Electrode development, materials, design, and fabrication. ChemBioEng Rev. 2017, 4, 92–105. [Google Scholar] [CrossRef]
- Khan, S.; Ali, S.; Bermak, A. Recent developments in printing flexible and wearable sensing electronics for healthcare applications. Sensors 2019, 19, 1230. [Google Scholar] [CrossRef] [PubMed]
- Kalita, N.; Gogoi, S.; Minteer, S.D.; Goswami, P. Advances in bioelectrode design for developing electrochemical biosensors. ACS Meas. Sci. Au 2023, 3, 404–433. [Google Scholar] [CrossRef]
- Ahmad, R.; Wolfbeis, O.S.; Hahn, Y.B.; Alshareef, H.N.; Torsi, L.; Salama, K.N. Deposition of nanomaterials: A crucial step in biosensor fabrication. Mater. Today Commun. 2018, 17, 289–321. [Google Scholar] [CrossRef]
- Putzbach, W.; Ronkainen, N.J. Immobilization techniques in the fabrication of nanomaterial-based electrochemical biosensors: A review. Sensors 2013, 13, 4811–4840. [Google Scholar] [CrossRef] [PubMed]
- Suresh, R.R.; Lakshmanakumar, M.; ArockiaJayalatha, J.B.B.; Rajan, K.S.; Sethuraman, S.; Krishnan, U.M.; Rayappan, J.B.B. Fabrication of screen-printed electrodes: Opportunities and challenges. J. Mater. Sci. 2021, 56, 8951–9006. [Google Scholar] [CrossRef]
- Dimitriou, E.; Michailidis, N. Printable conductive inks used for the fabrication of electronics: An overview. Nanotechnology 2021, 32, 502009. [Google Scholar] [CrossRef]
- Li, J.; Wang, J.; Yi, X.; Liu, Z.; Wei, T.; Yan, J.; Xue, B. III-Nitride LED Chip Fabrication Techniques. In III-Nitrides Light Emitting Diodes: Technology and Applications; Springer: Singapore, 2020; pp. 151–183. [Google Scholar]
- Ambaye, A.D.; Kefeni, K.K.; Mishra, S.B.; Nxumalo, E.N.; Ntsendwana, B. Recent developments in nanotechnology-based printing electrode systems for electrochemical sensors. Talanta 2021, 225, 121951. [Google Scholar] [CrossRef] [PubMed]
- Khadpekar, A.J.; Khan, M.; Sose, A.; Majumder, A. Low Cost and Lithography-free Stamp fabrication for Microcontact Printing. Sci. Rep. 2019, 9, 1024. [Google Scholar] [CrossRef]
- Samanta, D.; Sarkar, A. Immobilization of bio-macromolecules on self-assembled monolayers: Methods and sensor applications. Chem. Soc. Rev. 2011, 40, 2567–2592. [Google Scholar] [CrossRef]
- Suni, I.I. Substrate materials for biomolecular immobilization within electrochemical biosensors. Biosensors 2021, 11, 239. [Google Scholar] [CrossRef]
- Gomar-Nadal, E.; Puigmartí-Luis, J.; Amabilino, D.B. Assembly of functional molecular nanostructures on surfaces. Chem. Soc. Rev. 2008, 37, 490–504. [Google Scholar] [CrossRef] [PubMed]
- Xu, J.; Wang, Y.; Hu, S. Nanocomposites of graphene and graphene oxides: Synthesis, molecular functionalization and application in electrochemical sensors and biosensors. A review. Microchim. Acta 2017, 184, 1–44. [Google Scholar] [CrossRef]
- Sinha, A.; Lu, X.; Wu, L.; Tan, D.; Li, Y.; Chen, J.; Jain, R. Voltammetric sensing of biomolecules at carbon-based electrode interfaces: A review. TrAC Trends Anal. Chem. 2018, 98, 174–189. [Google Scholar]
- Gururaja, M.N.; Hari Rao, A.N. A Review on Recent Applications and Future Prospectus of Hybrid Composites. Int. J. Soft Comput. Eng. 2012, 1, 352. [Google Scholar]
- International Diabetes Federation. Available online: https://idf.org/about-diabetes/diabetes-facts-figures/ (accessed on 29 March 2024).
- Blood Sugar Test: MedlinePlus Medical Encyclopaedia. Available online: https://medlineplus.gov/ency/article/003482.html (accessed on 29 March 2024).
- Chen, C.; Xie, Q.; Yang, D.; Xiao, H.; Fu, Y.; Tan, Y.; Yao, S. Recent Advances in Electrochemical Glucose Biosensors: A Review. RSC Adv. 2013, 3, 4473–4491. [Google Scholar] [CrossRef]
- Hsu, Y.-W.; Hsu, T.-K.; Sun, C.-L.; Nien, Y.-T.; Pu, N.-W.; Ger, M.-D. Synthesis of CuO/Graphene Nanocomposites for Nonenzymatic Electrochemical Glucose Biosensor Applications. Electrochim. Acta 2012, 82, 152–157. [Google Scholar] [CrossRef]
- Hassan, M.H.; Vyas, C.; Grieve, B.; Bartolo, P. Recent Advances in Enzymatic and Non-Enzymatic Electrochemical Glucose Sensing. Sensors 2021, 21, 4672. [Google Scholar] [CrossRef] [PubMed]
- Shang, J.; Liu, Y.; Pan, T. Macrocycles in Bioinspired Catalysis: From Molecules to Materials. Front Chem. 2021, 9, 635315. [Google Scholar] [CrossRef]
- Qi, M.; Zhang, Y.; Cao, C.; Lu, Y.; Liu, G. Increased Sensitivity of Extracellular Glucose Monitoring Based on AuNP Decorated GO Nanocomposites. RSC Adv. 2016, 6, 39180–39187. [Google Scholar] [CrossRef]
- Deepalakshmi, T.; Tran, D.T.; Kim, N.H.; Chong, K.T.; Lee, J.H. Nitrogen-Doped Graphene-Encapsulated Nickel Cobalt Nitride as a Highly Sensitive and Selective Electrode for Glucose and Hydrogen Peroxide Sensing Applications. ACS Appl. Mater. Interfaces 2018, 10, 35847–35858. [Google Scholar] [CrossRef] [PubMed]
- Sheng, Q.; Liu, D.; Zheng, J. NiCo Alloy Nanoparticles Anchored on Polypyrrole/Reduced Graphene Oxide Nanocomposites for Nonenzymatic Glucose Sensing. New J. Chem. 2016, 40, 6658–6665. [Google Scholar] [CrossRef]
- Adeniyi, O.; Nwahara, N.; Mwanza, D.; Nyokong, T.; Mashazi, P. Nanohybrid electrocatalyst based on cobalt phthalocyanine-carbon nanotube-reduced graphene oxide for ultrasensitive detection of glucose in human saliva. Sens. Actuators B Chem. 2021, 348, 130723. [Google Scholar] [CrossRef]
- Mounesh; Manikanta, P.; Reddy, K.R.V.; Selvaraj, M.; Vidyasagar, C.C.; Nagaraja, B.M. Novel decorated aluminium (III) phthalocyanine complex with the application of MWCNTs on electrodes: Electrochemical non-enzymatic oxidation and reduction of glucose and hydrogen peroxide. RSC Adv. 2023, 13, 20723–20736. [Google Scholar] [CrossRef] [PubMed]
- Wang, Q.; Jia, Q.; Hu, P.; Ji, L. Tunable Non-Enzymatic Glucose Electrochemical Sensing Based on the Ni/Co Bimetallic MOFs. Molecules 2023, 28, 5649. [Google Scholar] [CrossRef] [PubMed]
- Ramanaviciene, A.; German, N.; Kausaite-Minkstimiene, A.; Ramanavicius, A. Glucose Biosensor Based on Dendritic Gold Nanostructures Electrodeposited on Graphite Electrode by Different Electrochemical Methods. Chemosensors 2021, 9, 188. [Google Scholar] [CrossRef]
- Murugan, P.; Annamalai, J.; Atchudan, R.; Govindasamy, M.; Nallaswamy, D.; Ganapathy, D.; Reshetilov, A.; Sundramoorthy, A.K. Electrochemical Sensing of Glucose Using Glucose Oxidase/PEDOT:4-Sulfocalix [4]arene/MXene Composite Modified Electrode. Micromachines 2022, 13, 304. [Google Scholar] [CrossRef] [PubMed]
- Zhuang, X.; Tian, C.; Luan, F.; Wu, X.; Chen, L. One-Step Electrochemical Fabrication of a Nickel Oxide Nanoparticle/Polyaniline Nanowire/Graphene Oxide Hybrid on a Glassy Carbon Electrode for use as a NonEnzymatic Glucose Biosensor. RSC Adv. 2016, 6, 92541–92546. [Google Scholar] [CrossRef]
- Nemakal, M.; Shantharaja; Giddaerappa; Palanna, M.; Sannegowda, L.K.; Sharath Kumar, P.S. Zinc phthalocyanine anchored magnetite particles: Efficient platform for sensing of thiocyanate. J. Electroanal. Chem. 2021, 895, 115385. [Google Scholar] [CrossRef]
- Zhang, Q.; Luo, Q.; Qin, Z.; Liu, L.; Wu, Z.; Shen, B.; Hu, W. Self-Assembly of Graphene-Encapsulated Cu Composites for Nonenzymatic Glucose Sensing. ACS Omega 2018, 3, 3420–3428. [Google Scholar] [CrossRef]
- Subramanian, P.; Niedziolka-Jonsson, J.; Lesniewski, A.; Wang, Q.; Li, M.; Boukherroub, R.; Szunerits, S. Preparation of Reduced Graphene Oxide–Ni(OH)2 Composites by Electrophoretic Deposition: Application for Non-Enzymatic Glucose Sensing. J. Mater. Chem. A 2014, 2, 5525–5533. [Google Scholar] [CrossRef]
- Li, M.; Bo, X.; Zhang, Y.; Han, C.; Guo, L. One-Pot Ionic Liquid-Assisted Synthesis of Highly Dispersed PtPd Nanoparticles/Reduced Graphene Oxide Composites for Nonenzymatic Glucose Detection. Biosens. Bioelectron. 2014, 56, 223–230. [Google Scholar] [CrossRef] [PubMed]
- Zhan, B.; Liu, C.; Chen, H.; Shi, H.; Wang, L.; Chen, P.; Huang, W.; Dong, X. Free-Standing Electrochemical Electrode Based on Ni(OH)2/3D Graphene Foam for Nonenzymatic Glucose Detection. Nanoscale 2014, 6, 7424–7429. [Google Scholar] [CrossRef] [PubMed]
- Hu, Y.; He, F.; Ben, A.; Chen, C. Synthesis of Hollow Pt– Ni–Graphene Nanostructures for Nonenzymatic Glucose Detection. J. Electroanal. Chem. 2014, 726, 55–61. [Google Scholar] [CrossRef]
- Guesmi, S.; Moulaee, K.; Bressi, V.; Kahri, H.; Khaskhoussi, A.; Espro, C.; Barhoumia, H.; Neri, G. MOF synthesized at room temperature. Mater. Adv. 2024, 5, 1160. [Google Scholar] [CrossRef]
- Muqaddas, S.; Javed, M.; Nadeem, S.; Asghar, M.A.; Haider, A.; Ahmad, M.; Ashraf, A.R.; Nazir, A.; Iqbal, M.; Alwadai, N.; et al. Carbon Nanotube Fiber-Based Flexible Microelectrode for Electrochemical Glucose Sensors. ACS Omega 2023, 8, 2272–2280. [Google Scholar] [CrossRef] [PubMed]
- Yadav, M.; Singh, G.; Lata, S. Polyvinylpyrrolidone/TiO2 composites’ preparation via sol–gel procedure furthered with non-enzymatic glucose sensing and antibacterial effectiveness. Env. Sci. Pollut. Res. 2023, 30, 98563–98580. [Google Scholar] [CrossRef] [PubMed]
- Kim, S.E.; Yoon, J.C.; Tae, H.-J.; Muthurasu, A. Electrospun Manganese-Based Metal–Organic Frameworks for MnOx Nanostructures Embedded in Carbon Nanofibers as a High-Performance Nonenzymatic Glucose Sensor. ACS Omega 2023, 8, 42689–42698. [Google Scholar] [CrossRef]
- Chen, T.; Jiang, H.; Xie, K.; Xia, H. A Small Highly Sensitive Glucose Sensor Based on a Glucose Oxidase-Modified U-Shaped Microfiber. Sensors 2024, 24, 684. [Google Scholar] [CrossRef]
- Liu, Z.; Guo, Y.; Dong, C. A High Performance Nonenzymatic Electrochemical Glucose Sensor Based on Polyvinylpyrrolidone–Graphene Nanosheets–Nickel Nanoparticles–Chitosan Nanocomposite. Talanta 2015, 137, 87–93. [Google Scholar] [CrossRef]
- Chen, W.; Cai, S.; Ren, Q.Q. Recent Advances in Electrochemical Sensing for Hydrogen Peroxide: A Review. Analyst 2012, 137, 49–58. [Google Scholar] [CrossRef] [PubMed]
- Zhang, R.; Chen, W. Recent Advances in Graphene-based Nanomaterials for Fabricating Electrochemical Hydrogen Peroxide Sensors. Biosens. Bioelectron. 2017, 89, 249–268. [Google Scholar] [CrossRef] [PubMed]
- Ju, J.; Chen, W. In Situ Growth of Surfactant-free Gold Nanoparticles on Nitrogen-doped Graphene Quantum Dots for Electrochemical Detection of Hydrogen Peroxide in Biological Environments. Anal. Chem. 2015, 87, 1903–1910. [Google Scholar] [CrossRef] [PubMed]
- Pinkernell, U.; Effkemann, S.; Karst, U. Simultaneous HPLC Determination of Peroxyacetic Acid and Hydrogen Peroxide. Anal. Chem. 1997, 69, 3623–3627. [Google Scholar] [CrossRef]
- Klassen, N.V.; Marchington, D.; McGowan, H.C.E. H2O2 Determination by the I3− Method and by KMnO4Titration. Anal. Chem. 1994, 66, 2921–2925. [Google Scholar] [CrossRef]
- Gubitz, G.; Zoonen, P.-V.; Gooijer, C.; Velthorst, N.-H.; Frei, R.W. Immobilized fluorophores in dynamic chemiluminescence detection of hydrogen peroxide. Anal. Chem. 1985, 57, 2071–2074. [Google Scholar] [CrossRef]
- Nogueira, R.F.P.; Oliveira, M.C.; Paterlini, W.C. Simple and fast spectrophotometric determination of H2O2 in photo-Fenton reactions using metavanadate. Talanta 2005, 66, 86–91. [Google Scholar] [CrossRef] [PubMed]
- Oh, W.-K.; Jeong, Y.S.; Kim, S.; Jang, J. Fluorescent Polymer Nanoparticle for Selective Sensing of Intracellular Hydrogen Peroxide. Acs Nano 2012, 6, 8516–8524. [Google Scholar] [CrossRef]
- Hu, Y.; Zhang, Z.; Yang, C. The determination of hydrogen peroxide generated from cigarette smoke with an ultrasensitive and highly selective chemiluminescence method. Anal. Chim. Acta 2007, 601, 95–100. [Google Scholar] [CrossRef]
- Jia, J.; Wang, B.; Wu, A.; Cheng, G.; Li, Z.; Dong, S. A Method to Construct a Third-Generation Horseradish Peroxidase Biosensor: Self-Assembling Gold Nanoparticles to Three-Dimensional Sol−Gel Network. Anal Chem 2002, 74, 2217–2223. [Google Scholar] [CrossRef]
- Luo, X.L.; Xu, J.J.; Zhang, Q.; Yang, G.J.; Chen, H.Y. Electrochemically Deposited Chitosan Hydrogel for Horseradish Peroxidase Immobilization through Gold Nanoparticles Self-Assembly. Biosens. Bioelectron 2005, 21, 190–196. [Google Scholar] [CrossRef] [PubMed]
- Chen, X.; Wu, G.; Cai, Z.; Oyama, M.; Chen, X. Advances in enzyme-free electrochemical sensors for hydrogen peroxide, glucose, and uric acid. Microchim. Acta 2014, 181, 689–705. [Google Scholar] [CrossRef]
- Amar, N.; Sadia, K.; Anca, M.; Tariq, Y. Non-enzymatic hydrogen peroxide detection on a novel nanohybrid composite of chitosan and graphene oxide. Material Res. Bull. 2023, 167, 112427. [Google Scholar]
- Lokesh, K.S.; Shambhulinga, A.; Manjunatha, N.; Imadadulla, M.; Hojamberdiev, M. Porphyrin macrocycle-stabilized gold and silver nanoparticles and their application in catalysis of hydrogen peroxide. Dyes Pigm. 2015, 120, 155–160. [Google Scholar] [CrossRef]
- Koodlur, L.S. Layer-by-layer self-assembly of a water-soluble phthalocyanine on gold. Application to the electrochemical determination of hydrogen peroxide. Bioelectrochemistry 2013, 91, 21–27. [Google Scholar]
- Lokesh, K.S.; De Wael, K.; Adriaens, A. Self-assembled supramolecular array of polymeric phthalocyanine on gold for the determination of hydrogen peroxide. Langmuir 2010, 26, 17665–17673. [Google Scholar] [CrossRef] [PubMed]
- Chandra, S.; Lokesh, K.S.; Nicolai, A.; Lang, H. Dendrimer-rhodium nanoparticle modified glassy carbon electrode for amperometric detection of hydrogen peroxide. Anal. Chim. Acta 2009, 632, 63–68. [Google Scholar] [CrossRef] [PubMed]
- Sun, H.; Zhou, Y.; Ren, J.; Qu, X. Carbon Nanozymes: Enzymatic Properties, Catalytic Mechanism, and Applications. Angew. Chem. 2018, 57, 9224–9237. [Google Scholar] [CrossRef]
- Asadian, E.; Ghalkhani, M.; Shahrokhian, S. Electrochemical sensing based on carbon nanoparticles: A review. Sens. Actuators B Chem. 2019, 293, 183–209. [Google Scholar] [CrossRef]
- Li, C.; Wang, Y.; Jiang, H.; Wang, X. Review—Intracellular Sensors Based on Carbonaceous Nanomaterials: A Review. J. Electrochem. Soc. 2020, 167, 037540. [Google Scholar] [CrossRef]
- Yang, X.-L.; Chen, X.; Hou, G.-H.; Guan, R.-F.; Shao, R.; Xie, M.-H. A Multiresponsive Metal–Organic Framework: Direct Chemiluminescence, Photoluminescence, and Dual Tunable Sensing Applications. Adv. Funct. Mater. 2016, 26, 393–398. [Google Scholar] [CrossRef]
- Zhao, M.; Wang, Y.; Ma, Q.; Huang, Y.; Zhang, X.; Ping, J.; Zhang, Z.; Lu, Q.; Yu, Y.; Xu, H. Ultrathin 2D metal–organic framework nanosheets. Adv. Mater. 2015, 27, 7372–7378. [Google Scholar] [CrossRef] [PubMed]
- Rowsell, J.L.C.; Yaghi, O.M. Metal–organic Frameworks: A New Class of Porous Materials. Microporous Mesoporous Mater. 2004, 73, 3–14. [Google Scholar] [CrossRef]
- Xia, W.; Li, J.J.; Wang, T. The Synergistic Effect of Ceria and Co in N-doped Leaf-like Carbon Nanosheets Derived from a 2D MOF and Their Enhanced Performance in the Oxygen Reduction Reaction. Chem. Commun. 2018, 54, 1623–1626. [Google Scholar] [CrossRef] [PubMed]
- Ferreira, G.C.; Kadish, K.M.; Smith, K.M.; Guilard, R. The Handbook of Porphyrin Science; World Scientific Publishers: Singapore, 2013; Volume 27. [Google Scholar]
- Ishihara, S.; Labuta, J.; Van Rossom, W. Porphyrin-based Sensor Nano-architectonics in Diverse Physical Detection Modes. Phys. Chem. Chem. Phys. 2014, 16, 9713–9746. [Google Scholar] [CrossRef]
- Ma, X.; Pang, C.; Li, S.; Xiong, Y.; Li, J.; Luo, J.; Yang, Y. Synthesis of Zr-coordinated Amide Porphyrin-based Two-dimensional Covalent Organic Framework at Liquid-liquid Interface for Electrochemical Sensing of Tetracycline. Biosens. Bioelectron. 2019, 146, 111734. [Google Scholar] [CrossRef] [PubMed]
- Hua, M.-Y.; Chen, C.-J.; Chen, H.-C.; Tsai, R.-Y.; Cheng, W.; Cheng, C.-L.; Liu, Y.-C. Preparation of a Porous Composite Film for the Fabrication of a Hydrogen Peroxide Sensor. Sensors 2011, 11, 5873–5885. [Google Scholar] [CrossRef] [PubMed]
- Prabhu, C.P.K.; Naveen, K.R.; Aralekallu, S.; Shivalingayya; Sannegowda, L.K. Novel polymeric cobalt tetrabenzimidazole phthalocyanine for nanomolar detection of hydrogen peroxide. RSC Sustain. 2023, 1, 128–138. [Google Scholar]
- Mohammed, I.; Nemakal, M.; Sajjan, V.A.; Puttappashetty, D.B.; Sannegowda, L.K. Electropolymerized film of cobalt tetrabenzimidazolephthalocyanine for the amperometric detection of H2O2. J. Electroanal. Chem. 2018, 826, 96–103. [Google Scholar] [CrossRef]
- Akhtar, N.; El-Safty, S.A.; Khairy, M. Simple and Sensitive Electrochemical Sensor-Based Three-Dimensional Porous Ni-Hemoglobin Composite Electrode. Chemosensors 2014, 2, 235–250. [Google Scholar] [CrossRef]
- Bunea, A.; Pavel, I.; David, S.; Gaspar, S. Modification with hemeproteins increases the diffusive movement of nanorods in dilute hydrogen peroxide solutions. Chem. Commun. 2013, 49, 8803–8805. [Google Scholar] [CrossRef] [PubMed]
- Murata, K.; Suzuki, M.; Nakamura, N.; Ohno, H. Direct evidence of electron flow via the heme c group for the direct electron transfer reaction of fructose dehydrogenase using a silver nanoparticle-modified electrode. Electrochem. Commun. 2009, 11, 1623–1626. [Google Scholar] [CrossRef]
- He, F.-G.; Yin, J.-Y.; Sharma, G.; Kumar, A.; Stadler, F.J.; Du, B. Facile Fabrication of Hierarchical rGO/PANI@PtNi Nanocomposite via Microwave-Assisted Treatment for Non-Enzymatic Detection of Hydrogen Peroxide. Nanomaterials 2019, 9, 1109. [Google Scholar] [CrossRef] [PubMed]
- Jiang, B.-B.; Wei, A.-W.; Wu, F.-H.; Chen, L.; Yuan, G.-Z.; Dong, C.; Ye, Y. A non-enzymatic hydrogen peroxide sensor based on a glassy carbon electrode modified with cuprous oxide and nitrogen-doped graphene in a nafion matrix. Microchim. Acta 2014, 181, 1463–1470. [Google Scholar] [CrossRef]
- Mohammad-Rezaei, R.; Razmi, H. Reduced Graphene Oxide/Carbon Ceramic Electrode Modifed with CdS Haemoglobin as a Sensitive Hydrogen Peroxide Biosensor. Electroanalysis 2012, 24, 2094–2101. [Google Scholar] [CrossRef]
- Sun, W.; Ju, X.; Zhang, Y.; Sun, X.; Li, G.; Sun, Z. Application of Carboxyl Functionalized Graphene Oxide as Mimetic Peroxidase for Sensitive Voltammetric Detection of H2O2 with 3,3′,5,5′-tetramethylbenzidine. Electrochem. Commun. 2013, 26, 113–116. [Google Scholar] [CrossRef]
- Jha, S.K.; Kumar, C.N.; Raj, R.P.; Jha, N.S.; Mohan, S. Synthesis of 3D Porous CeO2/Reduced Graphene Oxide Xerogel Composite and Low-Level Detection of H2O2. Electrochim. Acta 2014, 120, 308–313. [Google Scholar] [CrossRef]
- Zhang, Y.; Li, N.; Liu, B.; Zhang, H. Hydrogen Peroxide and Dopamine Sensors Based on Electrodeposition of Reduced Graphene Oxide/Silver Nanoparticles. Sensors 2024, 24, 355. [Google Scholar] [CrossRef] [PubMed]
- Guan, Y.; Xu, F.; Sun, L.; Luo, Y.; Cheng, R.; Zou, Y.; Liao, L.; Cao, Z. Hydrogen Peroxide Electrochemical Sensor Based on Ag/Cu Bimetallic Nanoparticles Modified on Polypyrrole. Sensors 2023, 23, 8536. [Google Scholar] [CrossRef]
- Gerbreders, V.; Krasovska, M.; Sledevskis, E.; Mihailova, I.; Mizers, V. Co3O4 Nanostructured Sensor for Electrochemical Detection of H2O2 as a Stress Biomarker in Barley: Fe3O4 Nanoparticles-Mediated Enhancement of Salt Stress Tolerance. Micromachines 2024, 15, 311. [Google Scholar] [CrossRef]
- Gligor, D.; Maicaneanu, S.A.; Varodi, C. Low-Cost Carbon Paste Cu(II)-Exchanged Zeolite Amperometric Sensor for Hydrogen Peroxide Detection. Chemosensors 2024, 12, 23. [Google Scholar] [CrossRef]
- Song, R.; Zhang, J.; Yang, G.; Wu, Y.; Yu, J.; Zhu, H. A Non-Disposable Electrochemical Sensor Based on Laser-Synthesized Pd/LIG Nanocomposite-Modified Screen-Printed Electrodes for the Detection of H2O2. Sensors 2024, 24, 2043. [Google Scholar] [CrossRef] [PubMed]
- Balasubramaniyan, N.G.; Perumal, P. Highly efficient electrochemical detection of H2O2 utilizing an innovative copper porphyrinic nanosheet decorated bismuth metal–organic framework modified electrode. Anal. Methods 2024, 16, 624–638. [Google Scholar] [CrossRef] [PubMed]
- Manjunatha, B.; Bodke, Y.D.; Mounesh; Bhat, S.A. Coumarin-based composite material for the latent fingerprint visualization and electrochemical sensing of hydrogen peroxide. RSC Sustain. 2024, 2, 475–482. [Google Scholar]
- Liu, J.; Bo, X.; Zhao, Z.; Guo, L. Highly Exposed Pt Nanoparticles Supported on Porous Graphene for Electrochemical Detection of Hydrogen Peroxide in Living Cells. Biosens. Bioelectron. 2015, 74, 71–77. [Google Scholar] [CrossRef] [PubMed]
- Zhang, M.; Halder, A.; Hou, C.; Ulstrup, J.; Chi, Q. Free Standing and Flexible Graphene Papers as Disposable Non-Enzymatic Electrochemical Sensors. Bioelectrochemistry 2016, 109, 87–94. [Google Scholar] [CrossRef] [PubMed]
- Liu, H.; Guo, K.; Duan, C.; Dong, X.; Gao, J. Hollow TiO2 Modified Reduced Graphene Oxide Microspheres Encapsulating Hemoglobin for a Mediator-Free Biosensor. Biosens. Bioelectron. 2017, 87, 473–479. [Google Scholar] [CrossRef]
- Sharma, V.; Mobin, S.M. Cytocompatible Peroxidase Mimic CuO:Graphene Nanosphere Composite as Colorimetric Dual Sensor for Hydrogen Peroxide and Cholesterol With its Logic Gate Implementation. Sens. Actuators B 2017, 240, 338–348. [Google Scholar] [CrossRef]
- Gao, W.; Tjiu, W.W.; Wei, J.; Liu, T. Highly Sensitive Nonenzymatic Glucose and H2O2 Sensor Based on Ni(OH)2/Electroreduced Graphene Oxide-Multiwalled Carbon Nanotube Film Modified Glass Carbon Electrode. Talanta 2014, 120, 484–490. [Google Scholar] [CrossRef]
- Dinesh, B.; Mani, V.; Saraswathi, R.; Chen, S.-M. Direct electrochemistry of cytochrome c immobilized on a graphene oxide–carbon nanotube composite for picomolar detection of hydrogen peroxide. RSC Adv. 2014, 4, 28229–28237. [Google Scholar] [CrossRef]
- You, Q.; Guo, Z.; Zhang, R.; Chang, Z.; Ge, M.; Mei, Q.; Dong, W.-F. Simultaneous Recognition of Dopamine and Uric Acid in the Presence of Ascorbic Acid via an Intercalated MXene/PPy Nanocomposite. Sensors 2021, 21, 3069. [Google Scholar] [CrossRef] [PubMed]
- Han, B.; Pan, M.; Liu, X.; Liu, J.; Cui, T.; Chen, Q. Electrochemical Detection for Uric Acid Based on β-Lactoglobulin-Functionalized Multiwall Carbon Nanotubes Synthesis with PtNPs Nanocomposite. Materials 2019, 12, 214. [Google Scholar] [CrossRef] [PubMed]
- Baldina, A.A.; Pershina, L.V.; Noskova, U.V.; Nikitina, A.A.; Muravev, A.A.; Skorb, E.V.; Nikolaev, K.G. Uricase Crowding via Polyelectrolyte Layers Coacervation for Carbon Fiber-Based Electrochemical Detection of Uric Acid. Polymers 2022, 14, 5145. [Google Scholar] [CrossRef] [PubMed]
- Wang, R.; Liu, S.; Song, X.; Jiang, K.; Hou, Y.; Cheng, Q.; Miao, W.; Tian, L.; Ren, Y.; Xu, S. Polypyrrole/α-Fe2O3 Hybrids for Enhanced Electrochemical Sensing Performance towards Uric Acid. Coatings 2024, 14, 227. [Google Scholar] [CrossRef]
- Liu, Y.; Zhao, W.; Gao, Y.; Zhuo, Q.; Chu, T.; Zhou, C.; Huang, W.; Zheng, Y.; Li, Y. Colorimetric and electrochemical dual-mode uric acid determination utilizing peroxidase-mimicking activity of CoCu bimetallic nanoclusters. Anal. Methods 2024, 16, 1102–1110. [Google Scholar] [CrossRef] [PubMed]
- Fukuda, T.; Muguruma, H.; Iwasa, H.; Tanaka, T.; Hiratsuka, A.; Shimizu, T.; Tsuji, K.; Kishimoto, T. Electrochemical determination of uric acid in urine and serum with uricase/carbon nanotube/carboxymethyl cellulose electrode. Anal. Biochem. 2020, 590, 113533. [Google Scholar] [CrossRef]
- Yang, M.; Wang, H.; Liu, P.; Cheng, J. A 3D electrochemical biosensor based on Super-Aligned Carbon NanoTube array for point-of-care uric acid monitoring. Biosens. Bioelectron. 2021, 179, 113082. [Google Scholar] [CrossRef] [PubMed]
- Yulkifli, Y.; Yandes, W.P.; Isa, I.M.; Hashim, N.; Ulianas, A.; Sharif, S.N.M.; Saidin, M.I.; Ahmad, M.S.; Yazid, S.N.A.M.; Suyanta, S.; et al. A Nanocomposite Paste Electrode Sensor for Simultaneous Detection of Uric Acid and Bisphenol A Using Zinc Hydroxide Nitrate-Sodium DodecylsulfateBispyribac. Sensors 2023, 23, 8366. [Google Scholar] [CrossRef] [PubMed]
- Yan, Q.; Zhi, N.; Yang, L.; Xu, G.; Feng, Q.; Zhang, Q.; Sun, S. A highly sensitive uric acid electrochemical biosensor based on a nano-cube cuprous oxide/ferrocene/uricase modified glassy carbon electrode. Sci. Rep. 2020, 10, 10607. [Google Scholar] [CrossRef]
- Stoikov, D.; Ivanov, A.; Shafigullina, I.; Gavrikova, M.; Padnya, P.; Shiabiev, I.; Stoikov, I.; Evtugyn, G. Flow-Through Amperometric Biosensor System Based on Functionalized Aryl Derivative of Phenothiazine and PAMAM-Calix-Dendrimers for the Determination of Uric Acid. Biosensors 2024, 14, 120. [Google Scholar] [CrossRef]
- Da Cruz, F.S.; de Souza Paula, F.; Franco, D.L.; dos Santos, W.T.; Ferreira, L.F. Electrochemical detection of uric acid using graphite screen-printed electrodes modified with prussian blue/poly(4-aminosalicylic acid)/uricase. J. Electroanal. Chem. 2017, 806, 172–179. [Google Scholar] [CrossRef]
- Li, Z.; Wang, Y.; Fan, Z.; Sun, Y.; Sun, Y.; Yang, Y.; Zhang, Y.; Ma, J.; Wang, Z.; Zhu, Z. A Dual-Function Wearable Electrochemical Sensor for Uric Acid and Glucose Sensing in Sweat. Biosensors 2023, 13, 105. [Google Scholar] [CrossRef]
- Nagal, V.; Masrat, S.; Khan, M.; Alam, S.; Ahmad, A.; Alshammari, M.B.; Bhat, K.S.; Novikov, S.M.; Mishra, P.; Khosla, A.; et al. Highly Sensitive Electrochemical Non-Enzymatic Uric Acid Sensor Based on Cobalt Oxide Puffy Balls-like Nanostructure. Biosensors 2023, 13, 375. [Google Scholar] [CrossRef] [PubMed]
- Giddaerappa; Nemakal, M.; Mohammed, I.; Sannegowda, L.K. Mannich reaction derived phthalocyanine polymer for electrochemical detection of salicylic acid. Inorg. Chim. Acta 2020, 512, 119895. [Google Scholar] [CrossRef]
- Nemakal, M.; Giddaerappa; Shantharaja; Sajjan, V.A.; Sannegowda, L.K. Novel amide coupled phthalocyanines: Synthesis and structure-property relationship for electrocatalysis and sensing of hydroquinone. J. Electroanal. Chem. 2021, 898, 115657. [Google Scholar] [CrossRef]
- Wang, Y.; Xu, H.; Zhang, J.; Li, G. Electrochemical Sensors for Clinic Analysis. Sensors 2008, 8, 2043–2081. [Google Scholar] [CrossRef]
- Thirumalai, D.; Lee, S.; Kwon, M.; Paik, H.-j.; Lee, J.; Chang, S.-C. Disposable Voltametric Sensor Modified with Block Copolymer-Dispersed Graphene for Simultaneous Determination of Dopamine and Ascorbic Acid in Ex Vivo Mouse Brain Tissue. Biosensors 2021, 11, 368. [Google Scholar] [CrossRef] [PubMed]
- Alberti, G.; Zanoni, C.; Magnaghi, L.R.; Biesuz, R. Ascorbic Acid Sensing by Molecularly Imprinted Electrosynthesized Polymer (e-MIP) on Screen-Printed Electrodes. Chemosensors 2023, 11, 348. [Google Scholar] [CrossRef]
- Dinesh, B.; Vilian, A.E.; Kwak, C.H.; Huh, Y.S.; Saraswathi, R.; Han, Y.-K. The facile and simple synthesis of poly (3,4ethylene dioxythiophene) anchored reduced graphene oxide nanocomposite for biochemical analysis. Anal. Chim. Acta 2019, 1077, 150–159. [Google Scholar] [CrossRef]
- Murugan, N.; Jerome, R.; Preethika, M.; Sundaramurthy, A.; Sundramoorthy, A.K. 2D-titanium carbide (MXene) based selective electrochemical sensor for simultaneous detection of ascorbic acid, dopamine and uric acid. J. Mater. Sci. Technol. 2021, 72, 122–131. [Google Scholar] [CrossRef]
- Manjunatha, N.; Aralekallu, S.; Mohammed, I.; Prabhu, K.C.P.; Sannegowda, L.K. Chemisorbed palladium phthalocyanine for simultaneous determination of biomolecules. Microchem. J. 2018, 143, 82–91. [Google Scholar]
- Wang, Y.; Yang, T.; Hasebe, Y.; Zhang, Z.; Tao, D. Carbon Black-Carbon Nanotube Co-Doped Polyimide Sensors for Simultaneous Determination of Ascorbic Acid, Uric Acid, and Dopamine. Materials 2018, 11, 1691. [Google Scholar] [CrossRef] [PubMed]
- Chang, A.S.; Tahira, A.; Chang, F.; Solangi, A.G.; Bhatti, M.A.; Vigolo, B.; Nafady, A.; Ibupoto, Z.H. Highly Heterogeneous Morphology of Cobalt Oxide Nanostructures for the Development of Sensitive and Selective Ascorbic Acid Non-Enzymatic Sensor. Biosensors 2023, 13, 147. [Google Scholar] [CrossRef] [PubMed]
- Zhang, H.; Liang, F.; Li, S.; Zong, F.; Xu, Y. A high-performance photoelectrochemical sensor based on CdS–Au composite nanomaterials and localized surface plasmon resonance for ultrasensitive detection of ascorbic acid. Anal. Methods 2024, 16, 1175–1184. [Google Scholar] [CrossRef] [PubMed]
- Jilani, B.S.; Pari, M.; Reddy, K.V.; Lokesh, K.S. Simultaneous and sensitive detection of ascorbic acid in presence of dopamine using MWCNTs-decorated cobalt (II) phthalocyanine modified GCE. Microchem. J. 2019, 147, 755–763. [Google Scholar]
- Benes, F.M. Carlsson and the discovery of dopamine. Trends Pharmacol. Sci. 2001, 22, 46. [Google Scholar] [CrossRef] [PubMed]
- Carlsson, A.; Lindqvist, M.; Magnusson, T. 3,4-Dihydroxyphenylalanine and 5-hydroxytryptophan as reserpine antagonists. Nature 1957, 180, 1200. [Google Scholar] [CrossRef] [PubMed]
- Alizadeh, T.; Karimi, S.Z. novel enzyme-less uric acid voltammetric sensor based on highly selective nano-imprinted polymer synthesized utilizing [tetrabutylammonium]+-[urate]− ion-pair complex as template. Microchem. J. 2022, 183, 108095. [Google Scholar] [CrossRef]
- Lu, T.; Ji, S.; Jin, W.; Yang, Q.; Luo, Q.; Ren, T.L. Biocompatible and Long-Term Monitoring Strategies of Wearable, Ingestible and Implantable Biosensors: Reform the Next Generation Healthcare. Sensors 2023, 23, 2991. [Google Scholar] [CrossRef]
- Sajid, M.; Baig, N.; Alhooshani, K. Chemically modified electrodes for electrochemical detection of dopamine: Challenges and opportunities. Trends Anal. Chem. 2019, 118, 368–385. [Google Scholar] [CrossRef]
- Sajid, M.; Nazal, M.K.; Mansha, M.; Alsharaa, A.; Jillani, S.M.S.; Basheer, C. Chemically modified electrodes for electrochemical detection of dopamine in the presence of uric acid and ascorbic acid: A review. Trends Anal. Chem. 2016, 76, 15–29. [Google Scholar] [CrossRef]
- Lakard, S.; Pavel, I.; Lakard, B. Electrochemical Biosensing of Dopamine Neurotransmitter: A Review. Biosensors 2021, 11, 60179. [Google Scholar] [CrossRef] [PubMed]
- Rodrı, J.N.; Fenoll, L.G.; Peñalver, J.; Garcı, P.A.; Varón, R.; Martı, F.; Garcı, F.; Tudela, J. Tyrosinase action on monophenols: Evidence for direct enzymatic release of o-diphenol. Biochim. Biophys. Acta (BBA)-Protein Struct. Mol. Enzymol. 2001, 1548, 238–256. [Google Scholar]
- Nikolelis, D.P.; Petropoulou, S.-S.E.; Pergel, E.; Toth, K. Biosensors for the Rapid Detection of Dopamine Using Bilayer Lipid Membranes (BLMs) With Incorporated Calix[4]resorcinarene Receptor. Electroanalysis 2002, 14, 783. [Google Scholar] [CrossRef]
- Panapimonlawat, T.; Phanichphant, S.; Sriwichai, S. Electrochemical Dopamine Biosensor Based on Poly(3-aminobenzylamine) Layer-by-Layer Self-Assembled Multilayer Thin Film. Polymers 2021, 13, 1488. [Google Scholar] [CrossRef]
- Liu, Q.; Zhang, A.; Wang, R.; Zhang, Q.; Cui, D. A Review on Metal- and Metal Oxide-Based Nanozymes: Properties, Mechanisms, and Applications. Nano-Micro Lett. 2021, 13, 154. [Google Scholar] [CrossRef]
- Keshavananda, P.C.P.; Nemakal, M.; Aralekallu, S.; Imadadulla, M.; Palanna, M.; Sajjan, V.A.; Akshitha, D.; Sannegowda, L.K. A comparative study of carboxylic acid and benzimidazole phthalocyanines and their surface modification for dopamine sensing. J. Electroanal. Chem. 2019, 847, 113262. [Google Scholar] [CrossRef]
- Nobuhle, N.; Sithi, M.; Tebello, N. Electrocatalytic Activity of Cobalt Phthalocyanines Revisited: Effect of the Number of Oxygen Atoms and Conjugation to Carbon Nanomaterials. Electrocatalysis 2021, 12, 499–515. [Google Scholar]
- Mounesh; Reddy, K.R.V. Novel garnished cobalt(ii) phthalocyanine with MWCNTs on modified GCE: Sensitive and reliable electrochemical investigation of paracetamol and dopamine. New J. Chem. 2020, 44, 16831–16844. [Google Scholar] [CrossRef]
- Morais, R.G.; Rey-Raap, N.; Figueiredo, J.L.; Pereira, M.F.R. Optimization of cobalt on CNT towards the oxygen evolution reaction and its synergy with iron (II) phthalocyanine as bifunctional oxygen electrocatalyst. Catal. Today 2023, 418, 114057. [Google Scholar] [CrossRef]
- Olguín, H.J.; Guzmán, D.C.; García, E.H.; Mejía, G.B. The Role of Dopamine and Its Dysfunction as a Consequence of Oxidative Stress. Oxidative Med. Cell. Longev. 2016, 13, 9730467. [Google Scholar]
- Florescu, M.; David, M. Tyrosinase-Based Biosensors for Selective Dopamine, Detection. Sensors 2017, 17, 1314. [Google Scholar] [CrossRef]
- Ciriello, R.; Graziano, M.; Bianco, G.; Guerrieri, A. Electrosynthesized Poly(o-aminophenol) Films as Biomimetic Coatings for Dopamine Detection on Pt Substrates. Chemosensors 2021, 9, 280. [Google Scholar] [CrossRef]
- Elugoke, S.E.; Fayemi, O.E.; Adekunle, A.S.; Adesanya, F.A.; Ebenso, E.E. Electrochemical Detection of Dopamine at a Novel poly(2,4,6-trihydroxybenzaldehyde) Film Modified Electrode. ChemElectroChem 2024, 11, e202400021. [Google Scholar] [CrossRef]
- Shinde, M.; Torati, S.R.; Slaughter, G. Nb4C3Tx MXene-AgNPs decorated laser-induced graphene for selective detection of dopamine. J. Electroanal. Chem. 2024, 959, 118180. [Google Scholar] [CrossRef]
- Wang, Y.; Hamid, S.; Zhang, X.; Akhtar, N.; Zhang, X.; He, T. Anelectrochemiluminescent biosensor for dopamine detection using a poly(luminol–benzidine sulfate) electrode modified by tyramine oxidase. New J. Chem. 2017, 41, 1591–1597. [Google Scholar] [CrossRef]
- Ray, S.; Biswas, R.; Banerjee, R.; Biswas, P. A Gold nanoparticle-intercalated mesoporous silica-based nanozyme for the selective colorimetric detection of dopamine. Nanoscale Adv. 2020, 2, 734–745. [Google Scholar] [CrossRef] [PubMed]
- Elugoke, S.E.; Fayemi, O.E.; Adekunle, A.S.; Mamba, B.B.; Nkambule, T.T.I.; Ebenso, E.E. Electrochemical sensor for the detection of dopamine using carbon quantum dots/copper oxide nanocomposite modified electrode. FlatChem 2022, 33, 100372. [Google Scholar] [CrossRef]
- Yu, H.; Pang, Y.; Tang, J. Polyaniline Nanofiber Modified Platinum Electrode Used to Determination of Dopamine by Square Wave Voltammetry Technique. Int. J. Electrochem. Sci. 2015, 10, 8353–8360. [Google Scholar] [CrossRef]
- Kim, D.S. Electrochemical detection of dopamine using periodic cylindrical gold nanoelec-trode arrays. Sci. Rep. 2018, 8, 14049. [Google Scholar] [CrossRef]
- Xu, G.; Jarjes, Z.A.; Desprez, V.; Kilmartin, P.A.; Travas-Sejdic, J. Sensitive, selective, disposable electrochemical dopamine sensor based on PEDOT-modified laser scribed graphene. Biosens. Bioelectron. 2018, 107, 184–191. [Google Scholar] [CrossRef] [PubMed]
- Talemi, R.P.; Mousavi, S.M.; Afruzi, H. Using gold nanostars modified pencil graphite electrode as a novel substrate for design a sensitive and selective Dopamine aptasensor. Mater. Sci. Eng. C 2017, 73, 700–708. [Google Scholar] [CrossRef] [PubMed]
- Sakthivel, K.; Govindasamy, M.; Chen, S.M.; Muthumariappan, A.; Mani, V.; Chen, T.W.; Selvaraj, S. MWCNTs/MoSz decorated cobalt oxide polyhedrons composite film modified electrode for electrochemical deter-mination of dopamine in rat brain and human blood serum samples. Int. J. Electrochem. Sci. 2017, 12, 7435–7445. [Google Scholar] [CrossRef]
- Kumbhat, S.; Shankaran, D.R.; Kim, S.J.; Gobi, K.V.; Joshi, V.; Miura, N. Surface Plasmon Resonance Biosensor for Dopamine Using D3 Dopamine Receptor as a Biorecognition Molecule. Biosens. Bioelectron. 2007, 23, 421–427. [Google Scholar] [CrossRef] [PubMed]
- Cao, Y.; Mcdermott, M.T. Femtomolar and Selective Dopamine Detection by a Gold Nanoparticle Enhanced Surface Plasmon Resonance Aptasensor. bioRxiv 2018. [Google Scholar] [CrossRef]
- Jiang, K.; Wang, Y.; Thakur, G.; Kotsuchibashi, Y.; Naicker, S.; Narain, R.; Thundat, T. Rapid and Highly Sensitive Detection of Dopamine Using Conjugated Oxaborole-Based Polymer and Glycopolymer Systems. ACS Appl. Mater. Interfaces 2017, 9, 15225–15231. [Google Scholar] [CrossRef] [PubMed]
- Park, S.J.; Lee, J.; Seo, S.E.; Kim, K.H.; Park, C.S.; Lee, S.H.; Ban, H.S.; Lee, B.D.; Song, H.S.; Kim, J.; et al. High-Performance Conducting Polymer Nanotube-based Liquid-Ion Gated Field-Effect Transistor Aptasensor for Dopamine Exocytosis. Sci. Rep. 2020, 10, 3772. [Google Scholar] [CrossRef] [PubMed]
- Alahmadi, N.; El-Said, W.A. Electrochemical Sensing of Dopamine Using Polpyrrole/Molybdenum Oxide Bilayer-Modified ITO Electrode. Biosensors 2023, 13, 578. [Google Scholar] [CrossRef] [PubMed]
- Wang, Z.; Liang, Q.; Wang, Y.; Luo, G. Carbon Nanotube-Intercalated Graphite Electrodes for Simultaneous Determination of Dopamine and Serotonin in the Presence of Ascorbic Acid. J. Electroanal. Chem. 2003, 540, 129–134. [Google Scholar] [CrossRef]
- Salimi, A.; Mamkhezri, H.; Hallaj, R. Simultaneous Determination of Ascorbic Acid, Uric Acid and Neurotransmitters with a Carbon Ceramic Electrode Prepared by Sol-Gel Technique. Talanta 2006, 70, 823–832. [Google Scholar] [CrossRef]
- Zhang, Y.; Yuan, R.; Chai, Y.; Li, W.; Zhong, X.; Zhong, H. Biosensors and Bioelectronics Simultaneous Voltammetric Determination for DA, AA and NO2 Based on Graphene/Poly-Cyclodextrin/MWCNIs Nanocomposite Platform. Biosens. Bioelectron. 2011, 26, 3977–3980. [Google Scholar] [CrossRef] [PubMed]
- Pundir, C.S.; Lata, S.; Narwal, V. Biosensors for determination of D and L- amino acids: A review. Biosens. Bioelectron. 2018, 117, 373. [Google Scholar] [CrossRef] [PubMed]
- Dinu, A.; Apetrei, C. A Review of Sensors and Biosensors Modified with Conducting Polymers and Molecularly Imprinted Polymers Used in Electrochemical Detection of Amino Acids: Phenylalanine, Tyrosine, and Tryptophan. Int. J. Mol. Sci. 2022, 23, 1218. [Google Scholar] [CrossRef] [PubMed]
- Moulaee, K.; Neri, G. Electrochemical Amino Acid Sensing: A Review on Challenges and Achievements. Biosensors 2021, 11, 502. [Google Scholar] [CrossRef] [PubMed]
- Shantharaja; Nemakal, M.; Giddaerappa; Hegde, S.G.; Sannegowda, S.G. Novel biocompatible amide phthalocyanine for simultaneous electrochemical detection of adenine and guanine. Microchem. J. 2022, 175, 107223. [Google Scholar] [CrossRef]
- Keshavananda Prabhu, C.P.; Manjunatha, N.; Shambhulinga, A.; Imadadulla, M.; Shivaprasad, K.H.; Amshumali, M.K.; Sannegowda, K.L. Synthesis and characterization of novel imine substituted phthalocyanine for sensing of L-cysteine. J. Electroanal. Chem. 2019, 834, 130–137. [Google Scholar] [CrossRef]
- Shantharaja; Nemakal, M.; Giddaerappa; Sannegowda, L.K. Biocompatible polymeric pyrazolopyrimidiniumcobalt(II) phthalocyanine: An efficient electroanalytical platform for the detection of l-arginine. Sens. Actuators A 2021, 324, 112690. [Google Scholar] [CrossRef]
- Mania, V.; Huanga, S.T.; Devasenathipathy, R. Electropolymerization of cobalt tetraamino-phthalocyanine at reduced graphene oxide for electrochemical determination of cysteine and hydrazine. RSC Adv. 2016, 6, 38463–38469. [Google Scholar] [CrossRef]
- Rafati, A.A.; Afraz, A.; Hajian, A.; Assari, P. Simultaneous determination of ascorbic acid, dopamine, and uric acid using a carbon paste electrode modified with multiwalled carbon nanotubes, ionic liquid, and palladium nanoparticles. Microchim Acta. 2014, 181, 1999–2008. [Google Scholar] [CrossRef]
- Arral, M.L.; Halpern, J.M. Electrochemical detection of N°-hydroxy-I-arginine. ECS Trans. 2018, 85, 1163–1169. [Google Scholar] [CrossRef]
- Dominguez, R.; Serra, B.; Reviejo, A.J.; Pingarron, J.M. Chiral analysis of amino acids using electrochemical composite bienzyme biosensors. Anal. Biochem. 2001, 298, 275–282. [Google Scholar] [CrossRef]
- Zhybak, M.T.; Fayura, L.Y.; Boretsky, Y.R.; Gonchar, M.V.; Sibirny, A.A.; Dempsey, E.; Turner, A.P.F.; Korpan, Y.I. Amperometric L-arginine biosensor based on a novel recombinant arginine deiminase. Microchim. Acta 2017, 184, 2679–2686. [Google Scholar]
- Shahrokhian, S. Lead phthalocyanine as a selective carrier for preparation of a cysteine-selective electrode. Anal. Chem. 2001, 73, 5972–5978. [Google Scholar] [CrossRef] [PubMed]
- Tasić, Ž.Z.; Petrović Mihajlović, M.B.; Radovanović, M.B.; Simonović, A.T.; Medić, D.V.; Antonijević, M.M. Electrochemical determination of L-tryptophan in food samples on graphite electrode prepared from waste batteries. Sci. Rep. 2022, 12, 5469. [Google Scholar] [CrossRef] [PubMed]
- Matsunaga, T.; Kondo, T.; Shitanda, I.; Hoshi, Y.; Itagaki, M.; Tojo, T.; Yuasa, M. Sensitive electrochemical detection of L-Cysteine at a screen-printed diamond electrode. Carbon 2021, 173, 395–402. [Google Scholar] [CrossRef]
- Ardakani, M.; Alizadeh, Z. A Certain Electrochemical Nanosensor Based on Functionalized Multi-Walled Carbon Nanotube for Determination of Cysteine in the Presence of Paracetamol. J. Nanostruct. 2020, 10, 258–267. [Google Scholar]
- Sundaram, S.; Kadir, M.R.A. A New Highly Conducting Carbon Black (CL-08) Modified Electrode Functionalized with Syringic Acid for Sensitive and Selective L-Cysteine Electrocatalysis at Low Potential. Electrochim. Acta 2017, 224, 475–486. [Google Scholar] [CrossRef]
- Devasenathipathy, R.; Mani, V.; Chen, S.M.; Kohilarani, K.; Ramaraj, S. Determination of L-cysteine at iron tetrasulfonated phthalocyanine decorated multiwalled carbon nanotubes film modified electrode. Int. J. Electrochem. Sci. 2015, 10, 682–690. [Google Scholar] [CrossRef]
- Ibáñez, H.; Sanjuán, I.; Montiel, M.A.; Foster, C.W.; Banks, C.E.; Iniesta, J.L. Cysteine determination in embryo cell culture media using Co(II)-phthalocyanine modified disposable screen-printed electrodes. J. Electroanal. Chem. 2016, 780, 303–310. [Google Scholar] [CrossRef]
- Wu, X.; Deng, P.; Tian, Y.; Ding, Z.; Li, G.; Liu, J.; Zuberi, Z.; He, Q. Rapid recognition and determination of tryptophan by carbon nanotubes and molecularly imprinted polymer-modified glassy carbon electrode. Bioelectrochemistry 2020, 131, 107393. [Google Scholar] [CrossRef]
- Raj, R.M.; Goyal, R.N. A facile method to anchor reduced graphene oxide polymer nanocomposite on the glassy carbon surface and its application in the voltametric estimation of tryptophan in presence of 5-hydroxytryptamine. Sens. Actuators B Chem. 2016, 233, 445–453. [Google Scholar]
- Zou, H.Y.; Lu, X.-Y.; Kong, F.Y.; Wang, Z.X.; Li, H.Y.; Fang, H.L.; Wang, W. A voltammetric sensor based on reduced graphene oxide-hemin-Ag nanocomposites for sensitive determination of tyrosine. RSC Adv. 2020, 10, 28026–28031. [Google Scholar] [CrossRef] [PubMed]
- Zheng, W.; Zhao, M.; Liu, W.; Yu, S.; Niu, L.; Li, G.; Li, H.; Liu, W. Electrochemical sensor based on molecularly imprinted polymer/reduced graphene oxide composite for simultaneous determination of uric acid and tyrosine. J. Electroanal. Chem. 2018, 813, 75–82. [Google Scholar] [CrossRef]
- Lata, S.; Pundir, C.S. L-amino acid biosensor based on L-amino acid oxidaseimmobilized onto NiHCNFe/c-MWCNT/PPy/GC electrode. Int. J. Biol. Macromol. 2013, 54, 250–257. [Google Scholar] [CrossRef] [PubMed]
- Pei, L.Z.; Cai, Z.Y.; Pei, Y.Q.; Xie, Y.K.; Fan, C.G.; Fu, D.G. Electrochemical determination of L-cysteine using polyaniline/CuGeO, nanowire modified electrode. Russ. J. Electrochem. 2014, 50, 458–467. [Google Scholar] [CrossRef]
- Ramya, K.; Jaya Lakshmi, K.S.; Amreen, K.; Goel, S. Electrochemical Synthesis of Molecularly Imprinted Polymers for L-Tyrosine Detection. IEEE Trans. NanoBiosci. 2024. [Google Scholar] [CrossRef]
- Levitan, Y.; Fang, A.; Dantsker, R.; Romanenko, V. Cholesterol and ion channels. In Cholesterol Binding and Cholesterol Transport Proteins: Structure and Function in Health and Disease; Springer: Dordrecht, The Netherlands, 2010; pp. 509–549. [Google Scholar]
- Sulimovici, S.; Boyd, G. The cholesterol side-chain cleavage enzymes in steroid hormone-producing tissues. Vitam. Horm. 1970, 27, 199–234. [Google Scholar]
- Marcel, Y.; Vezina, C.; Teng, B.; Sniderman, A. Transfer of cholesterol esters between human high-density lipoproteins and triglyceride-rich lipoproteins controlled by a plasma protein factor. Atherosclerosis 1980, 35, 127–133. [Google Scholar] [CrossRef] [PubMed]
- Menotti, A.; Lanti, M.; Zanchetti, A.; Botta, G.; Laurenzi, M.; Terradura-Vagnarelli, O. The role of HDL cholesterol in metabolic syndrome predicting cardiovascular events. The Gubbio population study, Nutr. Metab. Cardiovasc. Dis. 2011, 21, 315–322. [Google Scholar]
- Olbricht, C.J.; Koch, K.M. Persistent nephrotic syndrome, high cholesterol and mortality. Nephron 1994, 66, 358–359. [Google Scholar] [CrossRef]
- Setty, N.; Srinivas Setty, H.D.; Sadananda, K.S.; Nanjappa, M.C.; Patra, S.; Basappa, H.; Krishnappa, S. Massive pericardial effusion and cardiac tamponade due to cholesterol pericarditis in a case of subclinical hypothyroidism. J. Am. College Cardiol. 2014, 63, 1451. [Google Scholar] [CrossRef]
- Shiu, S.W.; Zhou, H.; Wong, Y.; Tan, K.C. Endothelial lipase and reverse cholesterol transport in type 2 diabetes mellitus. J. Diabetes Investig. 2010, 1, 111–116. [Google Scholar] [CrossRef] [PubMed]
- Searcy, R.L.; Craig, R.G.; Bergquist, L.M. Chromatographic estimations of serum lipoprotein cholesterol. Clin. Chim. Acta 1961, 6, 475–480. [Google Scholar] [CrossRef] [PubMed]
- Obermer, E.; Milton, R. A micro-photometric method for the determination of free cholesterol and cholesterol esters in blood-plasma. Biochem. J. 1933, 27, 345–350. [Google Scholar] [CrossRef] [PubMed]
- Sivakumar, M.; Veeramani, V.; Chen, S.M.; Madhu, R.; Liu, S.B. Porous carbon-NiO nanocomposites for amperometric detection of hydrazine and hydrogen peroxide. Microchim. Acta 2019, 186, 59. [Google Scholar] [CrossRef]
- Sheng, Q.; Shen, Y.; Zhang, J.; Zheng, J. Ni doped Ag@ C core–shell nanomaterials and their application in electrochemical H2O2 sensing. Anal. Methods 2017, 9, 163–169. [Google Scholar] [CrossRef]
- Zhou, J.; Min, M.; Liu, Y.; Tang, J.; Tang, W. Layered assembly of NiMn-layered double hydroxide on graphene oxide for enhanced non-enzymatic sugars and hydrogen peroxide detection. Sens. Actuators B Chem. 2018, 260, 408–417. [Google Scholar] [CrossRef]
- Alice, V.; Sandro, G. A mini review-Cholesterol oxidase: Biochemistry and structural features. FEBS J. 2009, 276, 6826–6843. [Google Scholar]
- Anh, T.T.; Lan, H.; Tam, L.T.; Pham, V.H.; Tam, P.D. Highly sensitive non-enzymatic cholesterol sensor based on zinc oxide nanorods. J. Electron. Mater. 2018, 47, 6701–6708. [Google Scholar] [CrossRef]
- Li, Y.; Bai, H.; Liu, Q.; Bao, J.; Han, M.; Dai, Z. A non-enzymatic cholesterol sensor constructed by using porous tubular silver nanoparticles. Biosens. Bioelectron. 2010, 25, 2356–2360. [Google Scholar] [CrossRef]
- Hou, Z.; Sun, D.; Wang, G.; Ma, J. Highly sensitive cholesterol concentration trace detection based on a microfiber optic-biosensor enhanced specificity with beta-cyclodextrin film. Spectrochim. Acta Part A Mol. Biomol. Spectrosc. 2023, 300, 122881. [Google Scholar] [CrossRef]
- Thivya, P.; Ramya, R.; Wilson, J. Poly(3,4-thylenedioxythiophene)/taurinebiocomposite on screen printed electrode: Nonenzymatic cholesterol biosensor. Microchem. J. 2020, 157, 105037. [Google Scholar] [CrossRef]
- Yang, L.; Zhao, H.; Li, Y.; Ran, X.; Deng, G.; Zhang, Y.; Ye, H.; Zhao, G.; Li, C.P. Indicator displacement assay for cholesterol electrochemical sensing using a calix[6]arene functionalized graphene-modified electrode. Analyst 2016, 141, 270–278. [Google Scholar] [CrossRef]
- Rahman, M.M.; Li, X.B.; Kim, J.; Lim, B.O.; Ahammad, A.S.; Lee, J.J. A cholesterol biosensor based on a bi-enzyme immobilized on conducting poly(thionine) film. Sens. Actuators B Chem. 2014, 202, 536–542. [Google Scholar] [CrossRef]
- Eghbali, M.; Kheiri, F.; Sirousazar, M.; Jannatdousta, E.; Afghan, A. An ultrasensitive non-enzymatic electrochemical cholesterol sensor based on copper foam/CuO/Pt/p-phenylenediamine molecularly imprinted polymer. J Appl Electrochem. 2023, 53, 2001–2012. [Google Scholar] [CrossRef]
- Murugesan, K.; Das, S.; Dutta, K. Application of polyaniline/zinc oxide nanocomposites for non-enzymatic cholesterol detection: A preliminary investigation on the effect of dopants on the morphology, thermal stability, electrochemical and sensing behavior of the nanocomposites. Polymer-Plast. Technol. Mater. 2024. [Google Scholar] [CrossRef]
- Navaneeth, P.; Jeethu, R.; Suneesh, P.V.; Bipin, G.N.; Satheesh, B.T.G. Highly Sensitive and Wide Range Non-Enzymatic Electrochemical Detection of Cholesterol using Pencil Lead Electrodes. J. Electrochem. Soc. 2021, 168, 047515. [Google Scholar]
- Yang, M.; Kim, D.S.; Lee, T.J.; Lee, S.J.; Lee, K.G.; Choi, B.G. Polyoxometalate-grafted graphene nanohybrid for electrochemical detection of hydrogen peroxide and glucose. J. Colloid Interface Sci. 2016, 468, 51–56. [Google Scholar] [CrossRef] [PubMed]
- Bairagi, P.K.; Verma, N. Electrochemically deposited dendritic poly (methyl orange) nanofilm on metal-carbon-polymer nanocomposite: A novel non-enzymatic electrochemical biosensor for cholesterol. J. Electroanal. Chem. 2018, 814, 134–143. [Google Scholar] [CrossRef]
- Ruecha, N.; Rangkupan, R.; Rodthongkum, N.; Chailapakul, O. Novel paper-based cholesterol biosensor using graphene/polyvinylpyrrolidone/polyaniline nanocomposite. Biosens. Bioelectron. 2014, 52, 13–19. [Google Scholar] [CrossRef]
- Gautam, V.; Singh, K.P.; Yadav, V.L. Polyaniline/MWCNTs/starch modified carbon paste electrode for non-enzymatic detection of cholesterol: Application to real sample (cow milk). Anal. Bioanal. Chem. 2018, 410, 2173–2181. [Google Scholar] [CrossRef]
- Agnihotri, N.; Chowdhury, A.D.; De, A. Non-enzymatic electrochemical detection of cholesterol using β-cyclodextrin functionalized graphene. Biosens. Bioelectron. 2015, 63, 212–217. [Google Scholar] [CrossRef]
- Dervisevic, M.; Çevik, E.; Senel, M.; Nergiz, C.; Abasiyanik, M.F. Amperometric cholesterol biosensor based on reconstituted cholesterol oxidase on boronic acid functional conducting polymers. J. Electroanal. Chem. 2016, 776, 18–24. [Google Scholar] [CrossRef]
- Tan, X.; Li, M.; Cai, P.; Luo, L.; Zou, X. An amperometric cholesterol biosensor based on multiwalled carbon nanotubes and organically modified sol-gel/chitosan hybrid composite film. Anal. Biochem. 2005, 337, 111–120. [Google Scholar]
- Cinti, S.; Arduini, F.; Moscone, D.; Palleschi, G.; Gonzalez-Macia, L.; Killard, A.J. Cholesterol biosensor based on inkjet-printed Prussian blue nanoparticle-modified screen-printed electrodes. Sens. Actuators B 2015, 221, 187–190. [Google Scholar] [CrossRef]
- Wang, S.; Chen, S.; Shang, K.; Gao, X.; Wang, X. Sensitive electrochemical detection of cholesterol using a portable paper sensor based on the synergistic effect of cholesterol oxidase and nanoporous gold. Int. J. Biol. Macromol. 2021, 189, 356–362. [Google Scholar] [CrossRef] [PubMed]
- Rastogi, L.; Dash, K.; Sashidhar, R.B. Selective and sensitive detection of cholesterol using intrinsic peroxidase-like activity of biogenic palladium nanoparticles. Curr. Res. Biotechnol. 2021, 3, 42–48. [Google Scholar] [CrossRef]
- Puyol, M.; Seoane, J.; Aguilar, E.; Vozza, L.B.; Orbe, I.; Crawford, K.H.; Fernandez, A.; Bray, F.; Johnson, S.E.; Gopa, S. World Cancer Research Day: A Call to Action for a Coordinated International Research Effort to Prevent, Diagnose, and Treat Cancer. Clin. Cancer Res. 2021, 27, 963–966. [Google Scholar] [CrossRef] [PubMed]
- Smith, L.; Stiller, C.A.; Aitken, J.F.; Hjalgrim, L.L.; Johannesen, T.; Lahteenmaki, P.; McCabe, M.G.; Phillips, R.; Pritchard, J.K.; Steliarova, F.E.; et al. International variation in childhood cancer mortality rates from 2001 to 2015: Comparison of trends in the International Cancer Benchmarking Partnership countries. Int. J. Cancer 2021, 150, 28–37. [Google Scholar] [CrossRef] [PubMed]
- Parvanian, S.; Mostafavi, S.M.; Aghashiri, M. Multifunctional nanoparticle developments in cancer diagnosis and treatment. Sens. Bio-Sens. Res. 2017, 13, 81–87. [Google Scholar] [CrossRef]
- Nyokong, T.; Imadadulla, M.; Oluwole, D.; Nemakal, M.; Sannegowda, K.L. Investigation of novel substituted zinc and aluminium phthalocyanines for photodynamic therapy of epithelial breast cancer. Dye. Pigment. 2019, 170, 107592. [Google Scholar]
- Gaddimath, S.; Payamalle, S.; Channabasavana Hundi Puttaningaiah, K.P.; Hur, J. Recent Advances in pH and Redox Responsive Polymer Nanocomposites for Cancer Therapy. J. Compos. Sci. 2024, 8, 28. [Google Scholar] [CrossRef]
- Zubair, M.; Wang, S.; Ali, N. Advanced Approaches to Breast Cancer Classification and Diagnosis. Front. Pharmacol. 2021, 11, 632079. [Google Scholar] [CrossRef] [PubMed]
- Li, W.Q.; Guo, H.F.; Li, L.Y.; Zhang, Y.F.; Cui, J.W. The promising role of antibody drug conjugate in cancer therapy: Combining targeting ability with cytotoxicity effectively. Cancer Med. 2021, 10, 4677–4696. [Google Scholar] [CrossRef] [PubMed]
- Shivalingayya; Preeti, R.K.; Ganiger, S.K.; Shashidhar, A.C.; Lagashetty, A. Multifunctional Nanoparticles for Biomedical Applications. J. Chem. Biol. Phys. Sci. 2022, 12, 410–422. [Google Scholar]
- Alsaab, H.O.; Alqathama, A.; Al-Hibs, A.S.; Alzhrani, R.; Alrabighi, K.K.; Alwithenani, A.; Almalki, A.H.; Althobaiti, Y.S. Nanomaterials for Antiangiogenic Therapies for Cancer: A Promising Tool for Personalized Medicine. Int. J. Mol. Sci. 2021, 22, 1631. [Google Scholar] [CrossRef] [PubMed]
- Kurmi, B.D.; Patel, P.; Paliwal, R.; Paliwal, S.R. Molecular approaches for targeted drug delivery towards cancer: A concise review with respect to nanotechnology. J. Drug Deliv. Sci. Technol. 2020, 57, 101682. [Google Scholar] [CrossRef]
- Mukhtar, M.; Bilal, M.; Rahdar, A.; Barani, M.; Arshad, R.; Behl, T.; Brisc, C.; Banica, F.; Bungau, S. Nanomaterials for Diagnosis and Treatment of Brain Cancer: Recent Updates. Chemosensors 2020, 8, 117. [Google Scholar] [CrossRef]
- Ghazzy, A.; Naik, R.R.; Shakya, A.K. Metal–Polymer Nanocomposites: A Promising Approach to Antibacterial Materials. Polymers 2023, 15, 2167. [Google Scholar] [CrossRef]
- Mukherjeea, S.; Mukherjeea, A.; Bytesnikovaa, Z.; Ashrafi, A.M.; Richtera, L.; Adam, V. 2D graphene-based advanced nanoarchitectonics for electrochemical biosensors: Applications in cancer biomarker detection. Biosens. Bioelectron. 2024, 250, 116050. [Google Scholar] [CrossRef]
- Lee, M.-H.; Lin, C.-C.; Kutner, W.; Thomas, J.L.; Lin, C.-Y.; Iskierko, Z.; Ku, Y.-S.; Lin, C.-Y.; Borowicz, P.; Sharma, P.S.; et al. Peptide-imprinted conductive polymer on continuous monolayer molybdenum disulfide transferred electrodes for electrochemical sensing of Matrix Metalloproteinase-1 in lung cancer culture medium. Biosens. Bioelectron. X 2023, 13, 100258. [Google Scholar] [CrossRef]
- Amani, J.; Khoshroo, A.; Rahimi-Nasrabadi, M. Electrochemical immunosensor for the breast cancer marker CA 15–3 based on the catalytic activity of a CuS/reduced graphene oxide nanocomposite towards the electrooxidation of catechol. Microchim Acta 2018, 185, 79. [Google Scholar] [CrossRef] [PubMed]
- Li, R.; Yu, K.; Fan, G.C.; Song, Z.; Luo, X. Polyethyleneimine cross-linked BSA with enhanced antifouling capability for electrochemical detection of cancer antigen 125 in complex biofluids. Sens. Actuators B Chem. 2024, 408, 135520. [Google Scholar] [CrossRef]
- Ribeiro, J.A.; Pereira, C.M.; Silva, A.F.; Sales, M.G.F. Disposable electrochemical detection of breast cancer tumour marker CA 15-3 using poly(Toluidine Blue) as imprinted polymer receptor. Biosens. Bioelectron. 2018, 109, 246–254. [Google Scholar] [CrossRef] [PubMed]
- Hong, W.Y.; Jeon, S.H.; Lee, E.S.; Cho, Y. An integrated multifunctional platform based on biotin-doped conducting polymer nanowires for cell capture, release, and electrochemical sensing. Biomaterials 2014, 35, 9573–9580. [Google Scholar] [CrossRef]
- Peng, Y.; Zhao, X.; Li, M.; Yue, Y.; Pan, C.; Li, T.; Ou, S.; Hu, Z. DNA bridged polycrystalline Cu2+-NMOFs for electrochemical detection of mesenchymal circulating tumor cells. Sens. Actuators B Chem. 2024, 402, 135111. [Google Scholar] [CrossRef]
- Song, Q.; Liu, H.; Wang, W.; Chen, C.; Cao, Y.; Chen, B.; Cai, B.; He, R. Carboxyl graphene modified PEDOT:PSS organic electrochemical transistor for in situ detection of cancer cell morphology. Nanoscale 2024, 16, 3631–3640. [Google Scholar] [CrossRef] [PubMed]
- Lahcen, A.A.; Rauf, S.; Aljedaibi, A.; de Oliveira Filho, J.I.; Beduk, T.; Mani, V.; Alshareef, H.N.; Salama, K.N. Laser-scribed graphene sensor based on gold nanostructures and molecularly imprinted polymers: Application for Her-2 cancer biomarker detection. Sens. Actuat. B-Chem. 2021, 347, 130556. [Google Scholar] [CrossRef]
- Sadeghi, M.; Kashanian, S.; Naghib, S.M.; Arkan, E. A high-performance electrochemical aptasensor based on graphene-decorated rhodium nanoparticles to detect HER2-ECD oncomarker in liquid biopsy. Sci. Rep. 2022, 12, 3299. [Google Scholar] [CrossRef] [PubMed]
- Salahandish, R.; Ghaffarinejad, A.; Omidinia, E.; Zargartalebi, H.; Majidzadeh-A, K.; Naghib, S.M.; Sanati-Nezhad, A. Label-free ultrasensitive detection of breast cancer miRNA-21 biomarker employing electrochemical nano-genosensor based on sandwiched AgNPs in PANI and N-doped graphene. Biosens. Bioelectron. 2018, 120, 129–136. [Google Scholar] [CrossRef]
- Ardakani, M.M.; Tavakolian-Ardakani, Z.; Sahraei, N.; Moshtaghioun, S.M. Fabrication of an ultrasensitive and selective electrochemical aptasensor to detect carcinoembryonic antigen by using a new nanocomposite. Biosens. Bioelectron. 2019, 129, 1–6. [Google Scholar] [CrossRef]
- Asadi, H.; Ramasamy, R.P. Graphene-based Electrochemical Biosensor for Impedimetric Detection of miRNAs as Potential Cancer Biomarkers. J. Electrochem. Soc. 2020, 167, 167523. [Google Scholar] [CrossRef]
- Wang, H.; Wang, X.; Wang, J.; Fu, W.; Yao, C. A SPR biosensor based on signal amplification using antibody-QD conjugates for quantitative determination of multiple tumor markers. Sci. Rep. 2016, 6, 33140. [Google Scholar] [CrossRef] [PubMed]
- Ribaut, C.; Voisin, V.; Malachovská, V.; Dubois, V.; Mégret, P.; Wattiez, R.; Caucheteur, C. Small biomolecule immunosensing with plasmonic optical fiber grating sensor. Biosens. Bioelectron. 2016, 77, 315–322. [Google Scholar] [CrossRef] [PubMed]
- Gao, J.; Wang, C.; Wang, C.; Chu, Y.; Wang, S.; Sun, M.Y.; Ji, H.; Gao, Y.; Wang, Y.; Han, Y.; et al. Poly-l-lysine-modified graphene field-effect transistor biosensors for ultrasensitive breast cancer miRNAs and SARS-CoV-2 RNA detection. Anal. Chem. 2022, 94, 1626–1636. [Google Scholar] [CrossRef] [PubMed]
- Wang, K.; He, M.-Q.; Zhai, F.-H.; He, R.-H.; Yu, Y.-L. A novel electrochemical biosensor based on polyadenine modified aptamer for label-free and ultrasensitive detection of human breast cancer cells. Talanta 2017, 166, 87–92. [Google Scholar] [CrossRef] [PubMed]
- Pothipor, C.; Aroonyadet, N.; Bamrungsap, S.; Jakmunee, J.; Ounnunkad, K. A highly sensitive electrochemical microRNA-21 biosensor based on intercalating methylene blue signal amplification and a highly dispersed gold nanoparticles/graphene/polypyrrole composite. Analyst 2021, 146, 2679–2688. [Google Scholar] [CrossRef] [PubMed]
- Shuai, H.L.; Huang, K.-J.; Zhang, W.-J.; Cao, X.; Jia, M.-P. Sandwich-type microRNA biosensor based on magnesium oxide nanoflower and graphene oxide–gold nanoparticles hybrids coupling with enzyme signal amplification. Sens. Actuators B Chem. 2017, 243, 403–411. [Google Scholar] [CrossRef]
- Nie, W.; Wang, Q.; Zou, L.; Zheng, Y.; Liu, X.; Yang, X.; Wang, K. Low-fouling surface plasmon resonance sensor for highly sensitive detection of microRNA in a complex matrix based on the DNA tetrahedron. Anal. Chem. 2018, 90, 12584–12591. [Google Scholar] [CrossRef]
- Hassanpour, S.; Hasanzadeh, M.; Saadati, A.; Shadjou, N.; Soleymani, J.; Jouyban, A. A novel paper-based immunoassay of breast cancer specific carbohydrate (CA 15.3) using silver nanoparticles-reduced graphene oxide nano-ink technology: A new platform to construction of microfluidic paper-based analytical devices (µPADs) towards biomedical analysis. Microchem. J. 2019, 146, 345–358. [Google Scholar]
- Mani, V.; Chikkaveeraiah, B.V.; Patel, V.; Gutkind, J.S.; Rusling, J.F. Ultrasensitive immunosensor for cancer biomarker proteins using gold nanoparticle film electrodes and multienzyme-particle amplification. ACS Nano 2009, 24, 585–594. [Google Scholar] [CrossRef]



















| Electrocatalyst Material | Linear Range | Sensitivity (µA·mM−1·cm−2) | LOD | Ref. |
|---|---|---|---|---|
| GR/CuO NPs nanocomposites | 1 mM to 8 mM | 1065 | 1 µM | [89] |
| GCE/GO-Ph-AuNPs-CP/Gox | 0.3 to 20 nM | 42 | - | [92] |
| Nickel Cobalt Alloy Nanoparticles Anchored on Polypyrrole/Reduced Graphene Oxide | 0.5–4.1 µM | 153.5 | 0.17 µM | [93] |
| NiCo2N/N-GR core–shell | 0.5 µM to 4.1 mM | 1803 | 50 nM | [94] |
| GCE-SWCNT/rGO/CoPc | 0.0003–0.50 mM | 992.4 | 0.12 μM | [95] |
| AlPc/MWCNTs | 50–500 µM | 0.058 | 2.5 nM | [96] |
| Ni2Co1-BDC on GCE | 0.5–2899 µM | 3925 | 0.29 µM | [97] |
| Dendritic gold nanostructures (DGNs) modified on graphite electrode | Up to 9.97 mM | - | 0.059 mM | [98] |
| glucose oxidase (GOX) onto poly(3,4-ethylenedioxythiophene):4-sulfocalix[4]arene (PEDOT:SCX)/MXene | 0.5–8 mM | - | 22.5 µM | [99] |
| NiO NPs/polyaniline nanowire/GO composite | 0.002–5.56 mM | 376.22 | 0.5 µM | [100] |
| CuNPs/rGO core–shell nanocomposite | 0.001–2 mM | 150 | 0.34 µM | [102] |
| rGO/Ni(OH)2 nanostructures | 15 µM to 30 mM | 11.4 | 15 µM | [103] |
| PtPd-IL-rGO nanocomposite | 0.1–22 mM | 1.47 | 2 µM | [104] |
| Ni(OH)2/3D GF | 1 µM to 1.17 mM | 2.65 | 0.34 µM | [105] |
| GR/PtNi NPs | 0.5–20 mM | 30.3 | 2 µM | [106] |
| Cs/Cu-MOF/SPCE | 2 to 1700 μM | 1378.11 | 2 μM | [107] |
| CuO@CNTFs | up to 13 mM | ~3000 | 1.4 μM | [108] |
| PVP–TiO2 NCs | 0 to 13 mM | 360.13 | 756.8 µM | [109] |
| MOF MnOx-CNFs | 0 to 9.1 mM | 80.6 | 0.3 μM | [110] |
| U-Shaped Microfiber with GOx | 0–3 mg/mL | 5.73 nm/(mg/mL) | 0.17 mg/mL | [111] |
| PVP/GNs/NiNPs/CS composite | 0.1 µM to 0.5 mM | 103.8 | 30 nM | [112] |
| Electrocatalyst Material | Linear Range | Sensitivity (μA·mM−1·cm−2) | LOD | Ref. |
|---|---|---|---|---|
| PAn-PAA/Au | 0.04 to 12 mM | 417.5 | 0.02 mM | [140] |
| Poly(CoTBImPc)/CNTs/GCE | 10–100 nM | 3.4522 | 2 nM | [141] |
| GO/poly(CoTBIPc) | 2–200 μM | - | 0.6 μM | [142] |
| Functionalization of hemoglobin (Hb) macromolecule on 3D structured Ni foam | 50–850 μM | 0.39 | 0.41 μM | [143] |
| Platinum–nickel decorated polyaniline nano-spheres on reduced graphene oxide (rGO/PANI@PtNi) | 0.1–126.4 mM | - | 0.5 μM | [146] |
| Cu2O/N graphene/GCE | 5–357 μM | - | 0.80 μM | [147] |
| rGO/carbon ceramic with CdS-hemoglobin | 2–240 μM | 1.056 | 0.24 μM | [148] |
| Carboxyl (COOH)-functionalized Graphene oxide | 0.006–0.8 μM | 1 nM | [149] | |
| 3D Porous CeO2/Reduced Graphene Oxide Xerogel Composite | 60.7 nM to 3.0 μM | 1.978 | 30.40 nM | [150] |
| Silver nanoparticles (AgNPs)/reduced graphene oxide (rGO) nanocomposites | 5 to 620 μM | 49 | 3.19 μM | [151] |
| PPy–Ag/Cu | 1.0–37.0 mM | 445.78 | 0.063 μM | [152] |
| Co3O4 nPTLS (featuring petal-shaped Co3O4 nanostructures) | 25–5000 μM | 201 | 5.2 µM | [153] |
| Copper-exchanged zeolite-modified electrode | Up to 30 mM | 0.87 | 10 µM | [154] |
| Laser-Synthesized Pd/LIG Nanocomposite-Modified Screen-Printed Electrode | 5 µM–0.9 mM | - | 0.37 µM | [155] |
| Copper porphyrinic nanosheet decorated bismuth metal–organic framework modified electrode | 10–120 μM | - | 0.20 μM | [156] |
| Coumarin derivative compound(CTH)/MWCNT-modified GC electrode | 50–400 nmol L−1 | - | 12 nmol | [157] |
| PtNPs/porous GR | 1–1477 mM | 341.14 | 0.50 μM | [158] |
| Freestanding graphene papers | 1–30 mM | 500,000 | 100 nM | [159] |
| Hollow TiO2-modified rGO microspheres | 0.1–360 μM | 417.6 | 10 nM | [160] |
| CuO/graphene nanosphere composite | 0.01–0.1 mM | - | 6.88 μM | [161] |
| Ni(OH)2/rGO/MWCNTs | 10–9050 μM | 2042.0 | 4.0 μM | [162] |
| Cytochrome c (Cyt c)/GO/CNT/AuNPs | 0.001–0.14 mM | 0.533 | 0.027 nm | [163] |
| Electrocatalyst Material | Linear Range | Sensitivity (μA·mM−1·cm−2) | LOD | Ref. |
|---|---|---|---|---|
| Ti3C2Tx/polypyrrole (MXene/PPy) | 50–500 μM | - | 0.15 μM | [164] |
| (BSA)/BLG-MWCNTs-PtNPs/GCE | 0.02 to 0.5 mM | 31.131 | 0.8 μΜ | [165] |
| PAH/UOx/PSS/(PAH/PSS)2 | 1–70 μM | 10.64 × 10−3 | 0.81 μΜ | [166] |
| PolyPyrrol/α-Fe2O3 | 5–200 μM | - | 1.349 μM | [167] |
| Cobalt-Copper bimetallic nanoclusters | 2 to 1000 μM | - | 0.61 μM | [168] |
| UOx/MWCNT-CMC/Au | 20–5000 μΜ | 0.233 | 2.8 μΜ | [169] |
| GA/UOx/Chitosan/SACNT/Pt | 100–1000 μΜ | 0.518 | 1.0 μΜ | [170] |
| Zinc hydroxide nitrate-sodium dodecylsulfatebispyribac modified with multiwalled carbon nanotube (ZHN-SDS-BP/MWCNT) | 5.0 µM to 0.7 mM | - | 0.371 μM | [171] |
| UOx/Fc/Cu2O/GCE | 0.1–1000 μΜ | 0.002 | 0.06 μΜ | [172] |
| Functionalized Aryl Derivative of Phenothiazineand PAMAM-Calix-Dendrimers | 10 nM to 20 μM | - | 4 nM | [173] |
| Graphite screen-printed electrodes/Prussian blue/poly(4-aminosalicylic acid)/uricase | 10–200 μΜ | - | 3.0 μΜ | [174] |
| Carboxyl functionalized multiwall carbon nanotubes (MWCNT-COOH) | 0 to 1.6 mM | - | 3.58 μM | [175] |
| Puffy balls-shaped cobalt oxide nanostructure-modified glassy carbon | 0–1000 μM | - | 2.4 μM | [176] |
| Electrocatalyst Material | Linear Range | LOD | Ref. |
|---|---|---|---|
| PDbS–rGO/SPCE | 10–1100 µM | 0.88 µM | [180] |
| Elecrosynthesized molecularly imprinted polypyrrole | 30–2400 µM | 21 µM | [181] |
| PEDOT/rGO/GCE | 0.1–907 µM | 1.5 µM | [182] |
| C3F7-azo-TaWO6/GCE | 100–1000 µM | 4.6 µM | [183] |
| (PdTAPc)/MWCNTs/GCE | 3–24 µM | 1 µM | [184] |
| CB-CNT/PI/GCE | 100–5000 µM | 75 µM | [185] |
| Co3O4(Cobalt oxide) | 0.5 to 6.5 mM | 0.001 mM | [186] |
| Cadmium sulfide–gold (CdS–Au) composite nanomaterials | 0.01–200 μM | 0.2 nM | [187] |
| GCE/MWCNT-CoTMBANAPc | 7.5–70 nM | 6.6 µM | [188] |
| Electrocatalyst Material | Linear Range | Sensitivity | LOD | Ref. |
|---|---|---|---|---|
| poly(luminol–benzidine sulfate) | 1–20 nM | - | 0.5 nM | [209] |
| AuMS | 10–80 μM | - | 1.28 nM | [210] |
| CQDs/CuO | 1–180 μM | - | 25.40 μM | [211] |
| PANI-NF/Pt | 62.5–603 μM | - | 33.30 μM | [212] |
| CAuNE | 1–100 μM | - | 5.83 μM | [213] |
| PEDOT-LSG | 1–150 μM | 0.220 μA/μM | 0.33 μM | [214] |
| PGE/GNS/DA | 1–100 ng/L | - | 0.29 ng/L | [215] |
| MWCNT/MoS2/Co3O4 PHs | 0.03–1950.2 μA 2150.2–5540 μM | 2.197 μA/μM 3.486 μA/μM | 0.013 μM | [216] |
| DA-RC | 0.085–700 ng/mL | - | 0.085 ng/mL | [217] |
| DAAPT-AuNPs | 200 fM–20 nM | - | 200 fM | [218] |
| Conjugated polymer P(NIPAAm149-stMAAmBO19) and P(LAEMA21), | 1 nM–0.1 mM | - | 5 × 10−11 mol L−1 | [219] |
| Conducting polymers/nanofibers | 1–100 nM | - | 0.1 nM | [220] |
| Polypyrrole/MoO3 NP | 5–1000 nM | - | 2 nM | [221] |
| MWCNT-IE | 0.5–10 μM | 8.06 µA/μM | 0.99 μM | [222] |
| Sol–gel CCE | 0.5–50 μM | 0.0414 μA/μM | 0.07 μM | [223] |
| 0.5–20 μM | 0.75 μA/μM | 0.1 μM | [223] | |
| CDP-GS-MWCNTs | 0.15–21.65 μM | - | 0.05 μM | [224] |
| Electrocatalyst Material | Sensitivity | Linear Range | LOD | Ref. |
|---|---|---|---|---|
| PLE | 1422.22 µA·mM−1·cm−2 | 625–9375 µM | - | [271] |
| PO/rGO | 95.6 µA·mM−1·cm−2 | 100–2 × 104 µM | 1.02 µM | [272] |
| CNf/Polymer | 226.30 µA·mM−1·cm−2 | 0.04–600 mg dL−1 | 0.002 mg dL−1 | [273] |
| G/PVP/PANI/Paper | 34.77 µA·mM−1·cm−2 | 50–10,000 µM | 1 µM | [274] |
| PANI/MWCNTs/Starch | 800 µA·mM−1·cm−2 | 32–5000 µM | 10 µM | [275] |
| Graphene/β-CD | 0.01 µA·mM−1·cm−2 | 0.001–0.10 mM | 1 µM | [276] |
| Poly (CBNP)/PGE | 1.49 µA·µM−1·cm−2 | 0.0025–0.0275 mM | 0.0004 mM | [277] |
| Chitosan/silica/MWCNTs | 1.55 µA·mM−1·cm−2 | 8 × 10−6–4.5 × 10−4 M | 1 mM | [278] |
| PBNPs | 2.1 µA·mM−1·cm−2 | 0–15 mM | 0.2 mM | [279] |
| SPE/NPG | 32.68 µA·mM−1·cm−2 | 50 µM to 6 mM | 8.36 µM | [280] |
| GK-Pd NPs | – | 5–100 µM | 3.7 µM | [281] |
| Biomarkers | Electrocatalyst Material | Linear Range | LOD | Ref. |
|---|---|---|---|---|
| HER2-ECD | GE/RGONs/Rh-NPs | 10–500 ng/mL | 0.667 ng/mL | [303] |
| miRNA-21 | NFG/AgNPs/PANI/RGo/Au | 10 fM–10 µM | 0.2 fM | [304] |
| CEA | GO-carbon nanotubes–hemin | 1 fg/mL–0.01 µg/mL | 0.82 fg/mL | [305] |
| miRNA-21 | Graphene/GCE | 10−14 to 10−8 M | 3 × 10−15 M | [306] |
| CYFRA 21-1 | Au layer + SAM (HDT) + AuNP + SAM (AHT) + anti-CYFRA 21-1 + anti-CYFRA 21-1/QD | - | 0.1 ng/mL | [307] |
| CK7 | Gold layer + cytokeratin 7 antibodies | - | 0.4 nM | [308] |
| miRNA | Gr/poly-L-lysine | - | 1 fM | [309] |
| M CF-7 cells | Apt/GO/AuNPs | 10–105 cells/mL | 8 cells/mL | [310] |
| miRNA-21 | Gr/AuNPs/PPY | 1 fM–1 nM | 0.02 fM | [311] |
| miRNA-21 | GO/AuNPs/MgO | 0.1–100 fM | 50 aM | [312] |
| MicroRNA | Au film + DNA tetrahedron probes (DTPs) | - | 0.8 fM | [313] |
| CA15-3 | Ag-rGO/AuNPs | 15–125 U/mL | 15 U.mL−1 | [314] |
| PSA | CNT/Au-Ab1/Ag/Ab2-HRP | 4–10 ng/mL | 0.5 pg/mL | [315] |
Disclaimer/Publisher’s Note: The statements, opinions and data contained in all publications are solely those of the individual author(s) and contributor(s) and not of MDPI and/or the editor(s). MDPI and/or the editor(s) disclaim responsibility for any injury to people or property resulting from any ideas, methods, instructions or products referred to in the content. |
© 2024 by the authors. Licensee MDPI, Basel, Switzerland. This article is an open access article distributed under the terms and conditions of the Creative Commons Attribution (CC BY) license (https://creativecommons.org/licenses/by/4.0/).
Share and Cite
Kuntoji, G.; Kousar, N.; Gaddimath, S.; Koodlur Sannegowda, L. Macromolecule–Nanoparticle-Based Hybrid Materials for Biosensor Applications. Biosensors 2024, 14, 277. https://doi.org/10.3390/bios14060277
Kuntoji G, Kousar N, Gaddimath S, Koodlur Sannegowda L. Macromolecule–Nanoparticle-Based Hybrid Materials for Biosensor Applications. Biosensors. 2024; 14(6):277. https://doi.org/10.3390/bios14060277
Chicago/Turabian StyleKuntoji, Giddaerappa, Naseem Kousar, Shivalingayya Gaddimath, and Lokesh Koodlur Sannegowda. 2024. "Macromolecule–Nanoparticle-Based Hybrid Materials for Biosensor Applications" Biosensors 14, no. 6: 277. https://doi.org/10.3390/bios14060277
APA StyleKuntoji, G., Kousar, N., Gaddimath, S., & Koodlur Sannegowda, L. (2024). Macromolecule–Nanoparticle-Based Hybrid Materials for Biosensor Applications. Biosensors, 14(6), 277. https://doi.org/10.3390/bios14060277

