Flow-Through Amperometric Biosensor System Based on Functionalized Aryl Derivative of Phenothiazine and PAMAM-Calix-Dendrimers for the Determination of Uric Acid
Abstract
1. Introduction
2. Materials and Methods
2.1. Reagents
2.2. Screen-Printed Electrodes Manufacture and Modification
2.3. Design and Mounting of Flow-Through Cell and Uricase Immobilization
2.4. Biosensor Signal Measurement
3. Results
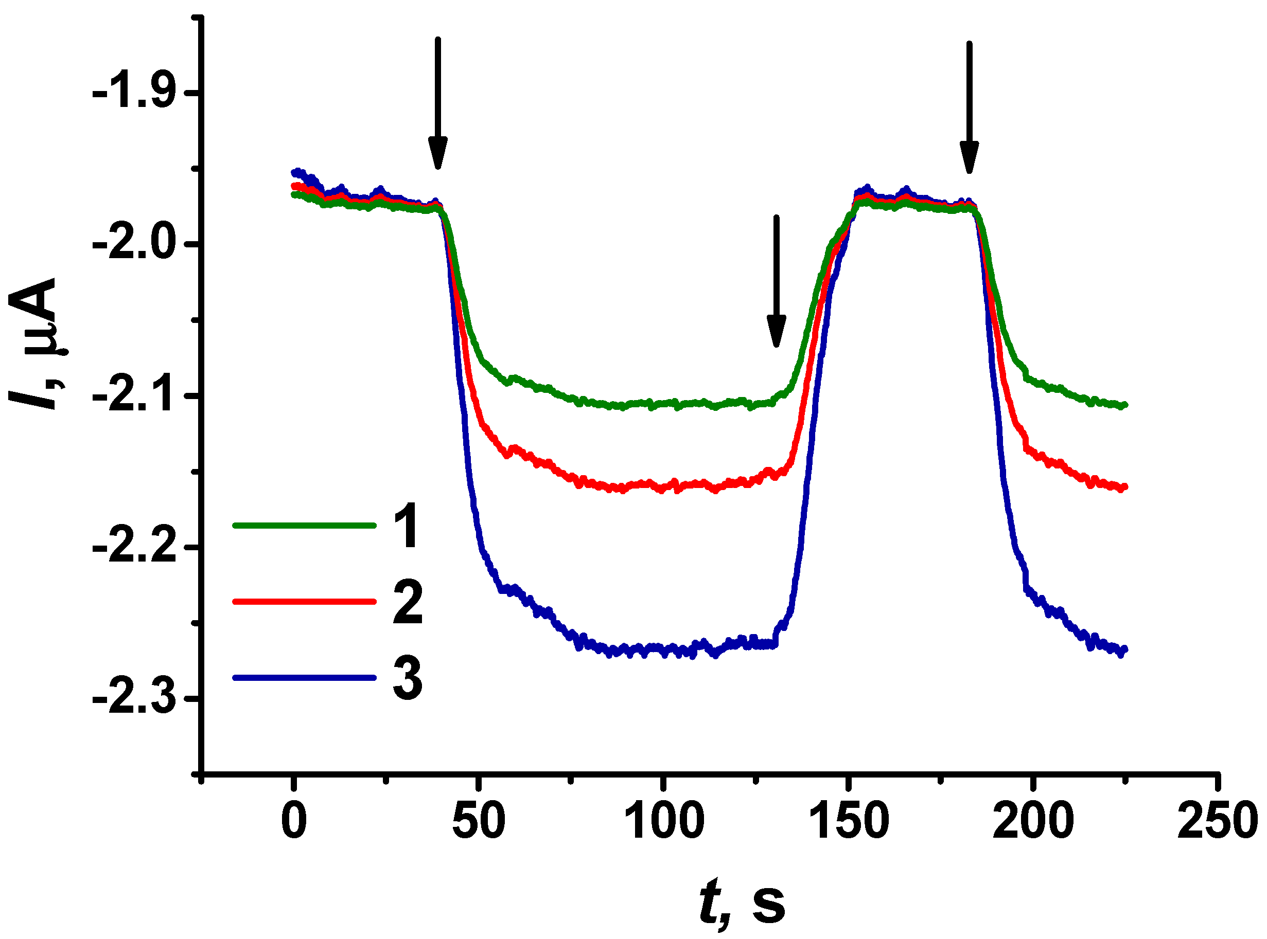
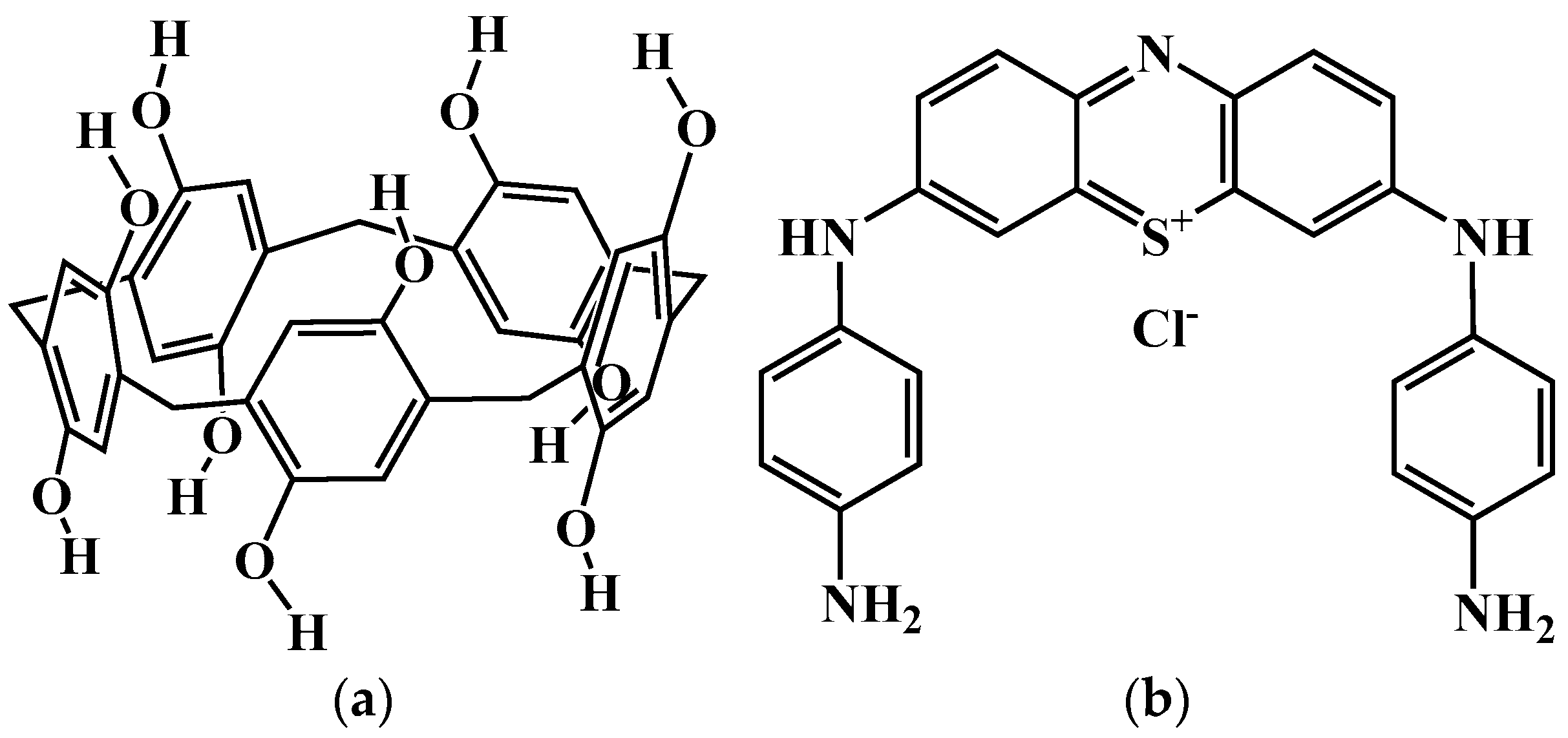
3.1. Electrochemical Properties of PhTz-(NH2)2 Polymerized on Modified SPE
3.2. Flow-Through Uricase Biosensor System
4. Discussion
Supplementary Materials
Author Contributions
Funding
Institutional Review Board Statement
Informed Consent Statement
Data Availability Statement
Conflicts of Interest
References
- Ghasemi-Varnamkhasti, M.; Rodríguez-Méndez, M.L. Monitoring the Aging of Beers Using a Bioelectronic Tongue. Food Control 2012, 25, 216–224. [Google Scholar] [CrossRef]
- Mishra, R.K.; Dominguez, R.B.; Bhand, S.; Muñoz, R.; Marty, J.-L. A Novel Automated Flow-Based Biosensor for the Determination of Organophosphate Pesticides in Milk. Biosens. Bioelectron. 2012, 32, 56–61. [Google Scholar] [CrossRef]
- Ashrafi, A.M.; Sýs, M.; Sedláčková, E.; Farag, A.S.; Adam, V.; Přibyl, J.; Richtera, L. Application of the Enzymatic Electrochemical Biosensors for Monitoring Non-Competitive Inhibition of Enzyme Activity by Heavy Metals. Sensors 2019, 19, 2939. [Google Scholar] [CrossRef] [PubMed]
- El Harrad, L.; Bourais, I.; Mohammadi, H.; Amine, A. Recent Advances in Electrochemical Biosensors Based on Enzyme Inhibition for Clinical and Pharmaceutical Applications. Sensors 2018, 18, 164. [Google Scholar] [CrossRef] [PubMed]
- Scognamiglio, V.; Pezzotti, G.; Pezzotti, I.; Cano, J.; Buonasera, K.; Giannini, D.; Giardi, M.T. Biosensors for Effective Environmental and Agrifood Protection and Commercialization: From Research to Market. Microchim. Acta 2010, 170, 215–225. [Google Scholar] [CrossRef]
- Bäcker, M.; Rakowski, D.; Poghossian, A.; Biselli, M.; Wagner, P.; Schöning, M.J. Chip-Based Amperometric Enzyme Sensor System for Monitoring of Bioprocesses by Flow-Injection Analysis. J. Biotechnol. 2013, 163, 371–376. [Google Scholar] [CrossRef] [PubMed]
- Zhou, X.; Yang, L.; Tan, X.; Zhao, G.; Xie, X.; Du, G. A Robust Electrochemical Immunosensor Based on Hydroxyl Pillar[5]Arene@AuNPs@g-C3N4 Hybrid Nanomaterial for Ultrasensitive Detection of Prostate Specific Antigen. Biosens. Bioelectron. 2018, 112, 31–39. [Google Scholar] [CrossRef]
- Guo, F.; Xiao, P.; Yan, B.; Hahn, M.; Kong, Y.; Zhang, W.; Piao, Y.; Diao, G. One-Pot Synthesis of Hydrazide-Pillar[5]Arene Functionalized Reduced Graphene Oxide for Supercapacitor Electrode. Chem. Eng. J. 2020, 391, 123511. [Google Scholar] [CrossRef]
- Wu, Y.; Yi, J.; Su, A.; Zhang, Y.; Wang, H.; Yang, L.; Yang, W.; Pang, P. An Electrochemical Biosensor for T4 Polynucleotide Kinase Activity Identification According to Host–Guest Recognition among Phosphate Pillar[5]Arene@palladium Nanoparticles@reduced Graphene Oxide Nanocomposite and Toluidine Blue. Microchim. Acta 2023, 190, 394. [Google Scholar] [CrossRef]
- Gómez-González, B.; García-Río, L.; Basílio, N.; Mejuto, J.C.; Simal-Gandara, J. Molecular Recognition by Pillar[5]Arenes: Evidence for Simultaneous Electrostatic and Hydrophobic Interactions. Pharmaceutics 2022, 14, 60. [Google Scholar] [CrossRef]
- Wang, Y.; Wang, D.; Wang, J.; Wang, C.; Wang, J.; Ding, Y.; Yao, Y. Pillar[5]Arene-Derived Covalent Organic Materials with Pre-Encoded Molecular Recognition for Targeted and Synergistic Cancer Photo- and Chemotherapy. Chem. Commun. 2022, 58, 1689–1692. [Google Scholar] [CrossRef]
- Chang, R.; Chen, C.-Y.; Gao, L.; Li, Y.; Lee, Z.-H.; Zhao, H.; Sue, A.C.-H.; Chang, K.-C. Highly Selective Cu2+ Detection with a Naphthalimide-Functionalised Pillar[5]Arene Fluorescent Chemosensor. Org. Biomol. Chem. 2024, 22, 745–752. [Google Scholar] [CrossRef] [PubMed]
- Zhu, W.-B.; Wei, T.; Fan, Y.-Q.; Qu, W.-J.; Zhu, W.; Ma, X.-Q.; Yao, H.; Zhang, Y.-M.; Lin, Q. A Pillar[5]Arene-Based and OH− Dependent Dual-Channel Supramolecular Chemosensor for Recyclable CO2 Gas Detection: High Sensitive and Selective off-on-off Response. Dye. Pigment. 2020, 174, 108073. [Google Scholar] [CrossRef]
- Lou, X.-Y.; Song, N.; Yang, Y.-W. A Stimuli-Responsive Pillar[5]Arene-Based Hybrid Material with Enhanced Tunable Multicolor Luminescence and Ion-Sensing Ability. Natl. Sci. Rev. 2021, 8, nwaa281. [Google Scholar] [CrossRef]
- Zhou, J.; Chen, M.; Xie, J.; Diao, G. Synergistically Enhanced Electrochemical Response of Host–Guest Recognition Based on Ternary Nanocomposites: Reduced Graphene Oxide-Amphiphilic Pillar[5]Arene-Gold Nanoparticles. ACS Appl. Mater. Interfaces 2013, 5, 11218–11224. [Google Scholar] [CrossRef] [PubMed]
- Dai, D.; Li, Z.; Yang, J.; Wang, C.; Wu, J.-R.; Wang, Y.; Zhang, D.; Yang, Y.-W. Supramolecular Assembly-Induced Emission Enhancement for Efficient Mercury(II) Detection and Removal. J. Am. Chem. Soc. 2019, 141, 4756–4763. [Google Scholar] [CrossRef] [PubMed]
- Feng, W.; Jin, M.; Yang, K.; Pei, Y.; Pei, Z. Supramolecular Delivery Systems Based on Pillararenes. Chem. Commun. 2018, 54, 13626–13640. [Google Scholar] [CrossRef] [PubMed]
- Chen, L.; Cai, Y.; Feng, W.; Yuan, L. Pillararenes as Macrocyclic Hosts: A Rising Star in Metal Ion Separation. Chem. Commun. 2019, 55, 7883–7898. [Google Scholar] [CrossRef] [PubMed]
- Demay-Drouhard, P.; Du, K.; Samanta, K.; Wan, X.; Yang, W.; Srinivasan, R.; Sue, A.C.-H.; Zuilhof, H. Functionalization at Will of Rim-Differentiated Pillar[5]Arenes. Org. Lett. 2019, 21, 3976–3980. [Google Scholar] [CrossRef]
- Yang, Q.-Y.; Zhang, Y.-M.; Ma, X.-Q.; Dong, H.-Q.; Zhang, Y.-F.; Guan, W.-L.; Yao, H.; Wei, T.-B.; Lin, Q. A Pillar[5]Arene-Based Fluorescent Sensor for Sensitive Detection of L-Met through a Dual-Site Collaborative Mechanism. Spectrochim. Acta A 2020, 240, 118569. [Google Scholar] [CrossRef]
- Nimse, S.B.; Kim, J.; Ta, V.-T.; Kim, H.-S.; Song, K.-S.; Jung, C.-Y.; Nguyen, V.-T.; Kim, T. New Water-Soluble Iminecalix [4]Arene with a Deep Hydrophobic Cavity. Tetrahedron Lett. 2009, 50, 7346–7350. [Google Scholar] [CrossRef]
- Nimse, S.B.; Nguyen, V.-T.; Kim, J.; Kim, H.-S.; Song, K.-S.; Eoum, W.-Y.; Jung, C.-Y.; Ta, V.-T.; Seelam, S.R.; Kim, T. Water-Soluble Aminocalix[4]Arene Receptors with Hydrophobic and Hydrophilic Mouths. Tetrahedron Lett. 2010, 51, 2840–2845. [Google Scholar] [CrossRef]
- Wang, J.; Ding, X.; Guo, X. Assembly Behaviors of Calixarene-Based Amphiphile and Supra-Amphiphile and the Applications in Drug Delivery and Protein Recognition. Adv. Colloid Interface Sci. 2019, 269, 187–202. [Google Scholar] [CrossRef] [PubMed]
- Solovieva, S.E.; Burilov, V.A.; Antipin, I.S. Thiacalix[4]Arene’s Lower Rim Derivatives: Synthesis and Supramolecular Properties. Macroheterocycles 2017, 10, 134–146. [Google Scholar] [CrossRef][Green Version]
- Zhao, M.; Lv, J.; Guo, D.-S. Promising Advances of Thiacalix[4]Arene in Crystal Structures. RSC Adv. 2017, 7, 10021–10050. [Google Scholar] [CrossRef]
- Shokova, E.A.; Kovalev, V.V. Thiacalixarenes-A New Class of Synthetic Receptors. Russ. J. Org. Chem. 2003, 39, 1–28. [Google Scholar] [CrossRef]
- Kulikova, T.; Shamagsumova, R.; Rogov, A.; Stoikov, I.; Padnya, P.; Shiabiev, I.; Evtugyn, G. Electrochemical DNA-Sensor Based on Macrocyclic Dendrimers with Terminal Amino Groups and Carbon Nanomaterials. Sensors 2023, 23, 4761. [Google Scholar] [CrossRef] [PubMed]
- Arora, V.; Chawla, H.M.; Singh, S.P. Calixarenes as Sensor Materials for Recognition and Separation of Metal Ions. Arkivoc 2007, 2007, 172–200. [Google Scholar] [CrossRef]
- Kurzątkowska, K.; Sayin, S.; Yilmaz, M.; Radecka, H.; Radecki, J. Gold Electrodes Modified with Calix[4]Arene for Electrochemical Determination of Dopamine in the Presence of Selected Neurotransmitters. Sensors 2017, 17, 1368. [Google Scholar] [CrossRef]
- Wang, F.; Wu, Y.; Lu, K.; Ye, B. A Simple but Highly Sensitive and Selective Calixarene-Based Voltammetric Sensor for Serotonin. Electrochim. Acta 2013, 87, 756–762. [Google Scholar] [CrossRef]
- Karyakin, A.A.; Strakhova, A.K.; Karyakina, E.E.; Varfolomeyev, S.D.; Yatsimirsky, A.K. The Electrochemical Polymerization of Methylene Blue and Bioelectrochemical Activity of the Resulting Film. Bioelectrochem. Bioenerg. 1993, 32, 35–43. [Google Scholar] [CrossRef]
- Fenoy, G.E.; Marmisollé, W.A.; Azzaroni, O.; Knoll, W. Acetylcholine Biosensor Based on the Electrochemical Functionalization of Graphene Field-Effect Transistors. Bios. Bioelectron. 2020, 148, 111796. [Google Scholar] [CrossRef]
- Emr, S.A.; Yacynych, A.M. Use of Polymer Films in Amperometric Biosensors. Electroanalysis 1995, 7, 913–923. [Google Scholar] [CrossRef]
- Sharma, P.S.; Dabrowski, M.; Noworyta, K.; Huynh, T.-P.; Kc, C.B.; Sobczak, J.W.; Pieta, P.; D’Souza, F.; Kutner, W. Fullerene Derived Molecularly Imprinted Polymer for Chemosensing of Adenosine-5′-Triphosphate (ATP). Anal. Chim. Acta 2014, 844, 61–69. [Google Scholar] [CrossRef] [PubMed]
- Ghica, M.E.; Brett, C.M.A. Poly(Brilliant Green) and Poly(Thionine) Modified Carbon Nanotube Coated Carbon Film Electrodes for Glucose and Uric Acid Biosensors. Talanta 2014, 130, 198–206. [Google Scholar] [CrossRef] [PubMed]
- Abellán-Llobregat, A.; González-Gaitán, C.; Vidal, L.; Canals, A.; Morallón, E. Portable Electrochemical Sensor Based on 4-Aminobenzoic Acid-Functionalized Herringbone Carbon Nanotubes for the Determination of Ascorbic Acid and Uric Acid in Human Fluids. Biosens. Bioelectron. 2018, 109, 123–131. [Google Scholar] [CrossRef]
- Oh, J.S.; Choi, S.W.; Ku, B.S.; Hong, S.C.; Kim, Y.J.; Koo, B.S.; Kim, Y.-G.; Lee, C.-K.; Yoo, B. SAT0522 the Association between Uric Acid Level and Urolithiasis on Ultrasonography. Ann. Rheum. Dis. 2014, 73, 780. [Google Scholar] [CrossRef]
- Ben Salem, C.; Slim, R.; Fathallah, N.; Hmouda, H. Drug-Induced Hyperuricaemia and Gout. Rheumatology 2017, 56, 679–688. [Google Scholar] [CrossRef] [PubMed]
- Luo, Y.-C.; Do, J.-S.; Liu, C.-C. An Amperometric Uric Acid Biosensor Based on Modified Ir–C Electrode. Biosens. Bioelectron. 2006, 22, 482–488. [Google Scholar] [CrossRef] [PubMed]
- Vonka, V.; Humlova, Z.; Klamova, H.; Kujovska-Krcmova, L.; Petrackova, M.; Hamsikova, E.; Krmencikova-Fliegl, M.; Duskova, M.; Roth, Z. Kynurenine and Uric Acid Levels in Chronic Myeloid Leukemia Patients. OncoImmunology 2015, 4, e992646. [Google Scholar] [CrossRef]
- Wijemanne, N.; Soysa, P.; Wijesundara, S.; Perera, H. Development and Validation of a Simple High Performance Liquid Chromatography/UV Method for Simultaneous Determination of Urinary Uric Acid, Hypoxanthine, and Creatinine in Human Urine. Int. J. Anal. Chem. 2018, 2018, e1647923. [Google Scholar] [CrossRef]
- Bhargava, A.K.; Lal, H.; Pundir, C.S. Discrete Analysis of Serum Uric Acid with Immobilized Uricase and Peroxidase. J. Biochem. Biophys. Methods 1999, 39, 125–136. [Google Scholar] [CrossRef]
- Zhao, S.; Wang, J.; Ye, F.; Liu, Y.-M. Determination of Uric Acid in Human Urine and Serum by Capillary Electrophoresis with Chemiluminescence Detection. Anal. Biochem. 2008, 378, 127–131. [Google Scholar] [CrossRef]
- Stoikov, D.; Ivanov, A.; Shurpik, D.; Stoikov, I.; Evtugyn, G. Flow-Through Electrochemical Biosensor with a Replaceable Enzyme Reactor and Screen-Printed Electrode for the Determination of Uric Acid and Tyrosine. Anal. Lett. 2022, 55, 1281–1295. [Google Scholar] [CrossRef]
- Ivanov, A.; Stoikov, D.; Shafigullina, I.; Shurpik, D.; Stoikov, I.; Evtugyn, G. Flow-Through Acetylcholinesterase Sensor with Replaceable Enzyme Reactor. Biosensors 2022, 12, 676. [Google Scholar] [CrossRef] [PubMed]
- Ogoshi, T.; Aoki, T.; Kitajima, K.; Fujinami, S.; Yamagishi, T.; Nakamoto, Y. Facile, Rapid, and High-Yield Synthesis of Pillar[5]Arene from Commercially Available Reagents and Its X-ray Crystal Structure. J. Org. Chem. 2011, 76, 328–331. [Google Scholar] [CrossRef]
- Khadieva, A.; Gorbachuk, V.; Stoikov, I. Synthesis and Supramolecular Self-Assembly of Phenothiazine Functionalized by Carboxyphenyl Fragments. Russ. Chem. Bull. 2020, 69, 333–338. [Google Scholar] [CrossRef]
- Mostovaya, O.A.; Padnya, P.L.; Shurpik, D.N.; Shiabiev, I.E.; Stoikov, I.I. Novel Lactide Derivatives of P-Tert-Butylthiacalix [4]Arene: Directed Synthesis and Molecular Recognition of Catecholamines. J. Mol. Liq. 2021, 327, 114806. [Google Scholar] [CrossRef]
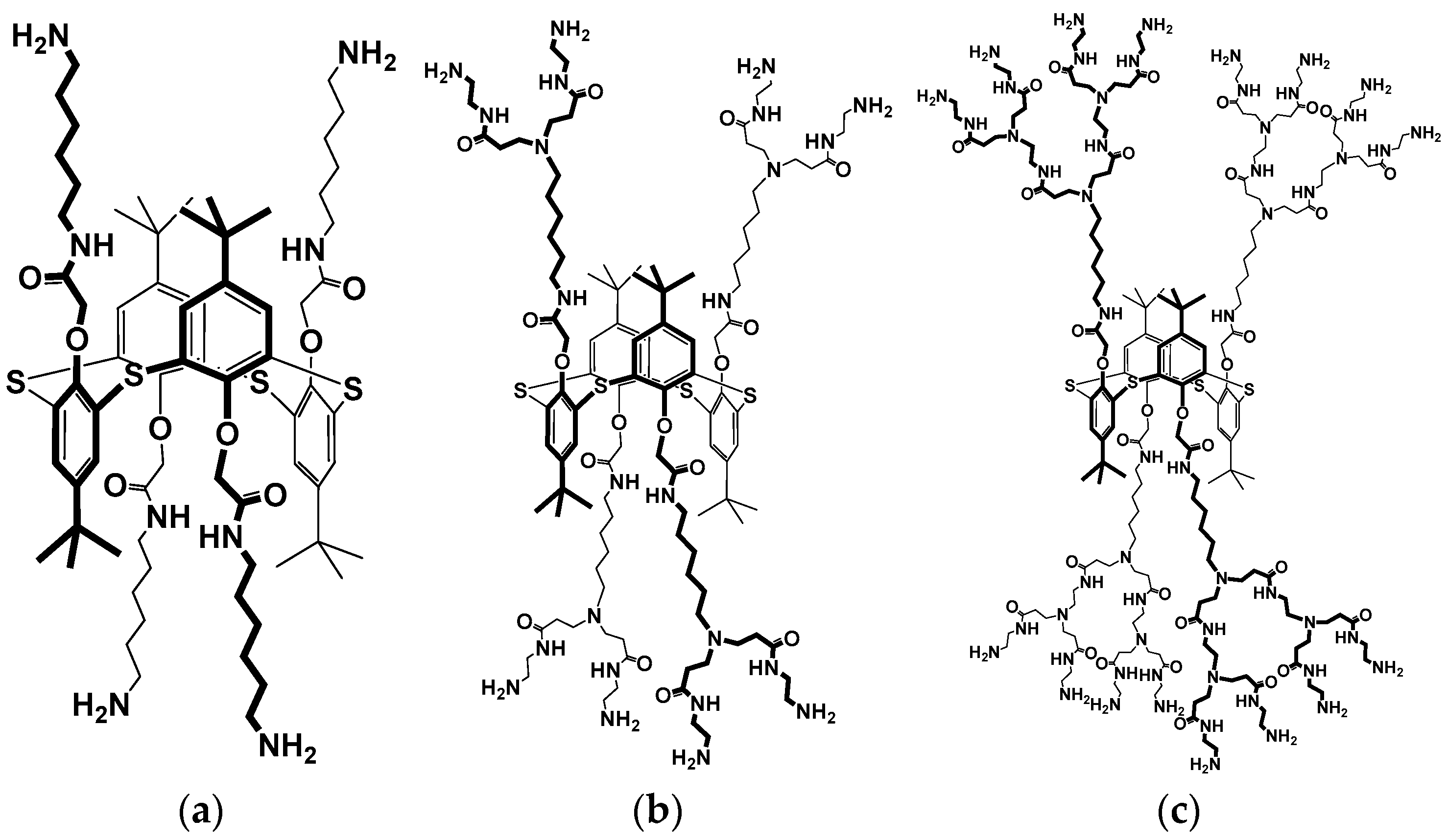
- Mostovaya, O.; Padnya, P.; Shiabiev, I.; Mukhametzyanov, T.; Stoikov, I. PAMAM-Calix-Dendrimers: Synthesis and Thiacalixarene Conformation Effect on DNA Binding. Int. J. Mol. Sci. 2021, 22, 11901. [Google Scholar] [CrossRef] [PubMed]
- Mostovaya, O.; Shiabiev, I.; Pysin, D.; Stanavaya, A.; Abashkin, V.; Shcharbin, D.; Padnya, P.; Stoikov, I. PAMAM-Calix-Dendrimers: Second Generation Synthesis, Fluorescent Properties and Catecholamines Binding. Pharmaceutics 2022, 14, 2748. [Google Scholar] [CrossRef] [PubMed]
- Hongpaisan, J.; Roomans, G.M. Retaining Ionic Concentrations during in Vitro Storage of Tissue for Microanalytical Studies. J. Microsc. 1999, 193, 257–267. [Google Scholar] [CrossRef]
- Kuzin, Y.I.; Padnya, P.L.; Stoikov, I.I.; Gorbatchuk, V.V.; Stoikov, D.I.; Khadieva, A.I.; Evtugyn, G.A. Electrochemical Behavior of the Monomeric and Polymeric Forms of N-Phenyl-3-(Phenylimino)-3H-Phenothiazin-7-Amine. Electrochim. Acta 2020, 345, 136195. [Google Scholar] [CrossRef]
- Nirbhaya, V.; Chauhan, D.; Jain, R.; Chandra, R.; Kumar, S. Nanostructured Graphitic Carbon Nitride Based Ultrasensing Electrochemical Biosensor for Food Toxin Detection. Bioelectrochemistry 2021, 139, 107738. [Google Scholar] [CrossRef] [PubMed]
- Yuan, M.; Minteer, S.D. Redox Polymers in Electrochemical Systems: From Methods of Mediation to Energy Storage. Curr. Opin. Electrochem. 2019, 15, 1–6. [Google Scholar] [CrossRef]
- Malanina, A.; Kuzin, Y.; Khadieva, A.; Shibaeva, K.; Padnya, P.; Stoikov, I.; Evtugyn, G. Voltammetric Sensor for Doxorubicin Determination Based on Self-Assembled DNA-Polyphenothiazine Composite. Nanomaterials 2023, 13, 2369. [Google Scholar] [CrossRef] [PubMed]
- Smolko, V.A.; Shurpik, D.N.; Shamagsumova, R.V.; Porfireva, A.V.; Evtugyn, V.G.; Yakimova, L.S.; Stoikov, I.I.; Evtugyn, G.A. Electrochemical Behavior of Pillar[5] on Glassy Carbon Electrode and Its Interaction with Cu2+ and Ag+ Ions. Electrochim. Acta 2014, 147, 726–734. [Google Scholar] [CrossRef]
- Feng, S.; Yu, L.; Yan, M.; Ye, J.; Huang, J.; Yang, X. Holey Nitrogen-Doped Graphene Aerogel for Simultaneously Electrochemical Determination of Ascorbic Acid, Dopamine and Uric Acid. Talanta 2021, 224, 121851. [Google Scholar] [CrossRef]
- Fukuda, T.; Muguruma, H.; Iwasa, H.; Tanaka, T.; Hiratsuka, A.; Shimizu, T.; Tsuji, K.; Kishimoto, T. Electrochemical Determination of Uric Acid in Urine and Serum with Uricase/Carbon Nanotube /Carboxymethylcellulose Electrode. Anal. Biochem. 2020, 590, 113533. [Google Scholar] [CrossRef]
- Thanh, T.S.; Qui, P.T.; Tu, N.T.T.; Toan, T.T.T.; Hoa, T.T.B.; Son, L.V.T.; Nguyen, D.M.; Tuyen, T.N.; Khieu, D.Q. Electrochemical Determination of Uric Acid in Urine by Using Zeolite Imidazolate Framework-11 Modified Electrode. J. Nanomater. 2021, 2021, e9914062. [Google Scholar] [CrossRef]
- Tang, T.; Zhou, M.; Lv, J.; Cheng, H.; Wang, H.; Qin, D.; Hu, G.; Liu, X. Sensitive and Selective Electrochemical Determination of Uric Acid in Urine Based on Ultrasmall Iron Oxide Nanoparticles Decorated Urchin-like Nitrogen-Doped Carbon. Colloids Surf. B Biointerfaces 2022, 216, 112538. [Google Scholar] [CrossRef]
- Guo, H.; Liu, B.; Pan, Z.; Sun, L.; Peng, L.; Chen, Y.; Wu, N.; Wang, M.; Yang, W. Electrochemical Determination of Dopamine and Uric Acid with Covalent Organic Frameworks and Ox-MWCNT Co-Modified Glassy Carbon Electrode. Colloids Surf. A Physicochem. Eng. Asp. 2022, 648, 129316. [Google Scholar] [CrossRef]









| Electrode and Modifications | Method of Measurement | Concentration Range, M | LOD, M | Reference |
|---|---|---|---|---|
| Glassy carbon electrode, nitrogen-doped graphene aerogel | Cyclic voltammetry | 4 × 10−7–5 × 10−5 | 1.2 × 10−7 | [57] |
| Gold electrode, carbon nanotubes, carboxymethylcellulose | Cyclic voltammetry | 2 × 10−5−2.7 × 10−3 | 2.8 × 10−6 | [58] |
| Zeolite imidazolate framework-11 modified electrode | Differential pulse voltammetry | 5 × 10−6−5.4 × 10−4 | 4.8 × 10−7 | [59] |
| Ultrasmall iron oxide nanoparticles decorated urchin-like nitrogen-doped carbon | Differential pulse voltammetry | 2 × 10−6–2 × 10−4 | 2.9 × 10−7 | [60] |
| Covalent organic frameworks and Ox-MWCNT Co-Modified glassy carbon electrode | Differential pulse voltammetry | 6 × 10−7−2.5 × 10−4 | 6.3 × 10−8 | [61] |
| SPE, pillar[5]arene, poly(methylene blue), polythionine, uricase on polylactic acid | Chronoamperometry in flow-through conditions | 1 × 10−7–1 × 10−5 | 3 × 10−8 | [44] |
| SPE, CB, pillar[5]arene, PAMAM-calix-dendrimer G2, poly(PhTz-(NH2)2),uricase on polylactic acid | Chronoamperometry in flow-through conditions | 1 × 10−8–2 × 10−5 | 4 × 10−9 | This work |
| Measurement Medium | Spiked, μM | Found, μM | Recovery, % |
|---|---|---|---|
| Undiluted artificial urine | 10 | 12.2 ± 0.2 | 122 ± 2 |
| 3 times diluted artificial urine | 10 | 10.7 ± 0.1 | 107 ± 1 |
| 10 times diluted artificial urine | 10 | 10.1 ± 0.1 | 101 ± 1 |
Disclaimer/Publisher’s Note: The statements, opinions and data contained in all publications are solely those of the individual author(s) and contributor(s) and not of MDPI and/or the editor(s). MDPI and/or the editor(s) disclaim responsibility for any injury to people or property resulting from any ideas, methods, instructions or products referred to in the content. |
© 2024 by the authors. Licensee MDPI, Basel, Switzerland. This article is an open access article distributed under the terms and conditions of the Creative Commons Attribution (CC BY) license (https://creativecommons.org/licenses/by/4.0/).
Share and Cite
Stoikov, D.; Ivanov, A.; Shafigullina, I.; Gavrikova, M.; Padnya, P.; Shiabiev, I.; Stoikov, I.; Evtugyn, G. Flow-Through Amperometric Biosensor System Based on Functionalized Aryl Derivative of Phenothiazine and PAMAM-Calix-Dendrimers for the Determination of Uric Acid. Biosensors 2024, 14, 120. https://doi.org/10.3390/bios14030120
Stoikov D, Ivanov A, Shafigullina I, Gavrikova M, Padnya P, Shiabiev I, Stoikov I, Evtugyn G. Flow-Through Amperometric Biosensor System Based on Functionalized Aryl Derivative of Phenothiazine and PAMAM-Calix-Dendrimers for the Determination of Uric Acid. Biosensors. 2024; 14(3):120. https://doi.org/10.3390/bios14030120
Chicago/Turabian StyleStoikov, Dmitry, Alexey Ivanov, Insiya Shafigullina, Milena Gavrikova, Pavel Padnya, Igor Shiabiev, Ivan Stoikov, and Gennady Evtugyn. 2024. "Flow-Through Amperometric Biosensor System Based on Functionalized Aryl Derivative of Phenothiazine and PAMAM-Calix-Dendrimers for the Determination of Uric Acid" Biosensors 14, no. 3: 120. https://doi.org/10.3390/bios14030120
APA StyleStoikov, D., Ivanov, A., Shafigullina, I., Gavrikova, M., Padnya, P., Shiabiev, I., Stoikov, I., & Evtugyn, G. (2024). Flow-Through Amperometric Biosensor System Based on Functionalized Aryl Derivative of Phenothiazine and PAMAM-Calix-Dendrimers for the Determination of Uric Acid. Biosensors, 14(3), 120. https://doi.org/10.3390/bios14030120

