SDBS-AEO Mixture for Triton X-100 Replacement: Surface Activity and Application in Biosensors
Abstract
1. Introduction
2. Materials and Methods
2.1. Materials
2.2. Sample Preparation
2.3. Determination of the Surface Tension
2.4. Micellization and Synergistic Parameters of Binary Surfactant Mixtures
2.5. Thermodynamics of Mixed Micelles of the Binary Surfactant Mixtures
2.6. Dynamic Adsorption Parameters of Binary Surfactant Mixstures
2.7. Determination of Interfacial Tension
2.8. Determination of Wettability
2.9. Determination of Foaming Properties
2.10. Determination of Emulsification Properties
2.11. Determination of Cell Membrane Permeability
2.12. Evaluation of SDBS-AEO Mixture for Triton X-100 Replacement in Biosensors
2.13. Data Statistical Analysis
3. Results and Discussion
3.1. Screening of Surfactant Monomers
3.2. Determination of the Optimal Ratio of the SDBS-AEOn Mixture
3.2.1. Theoretical Calculation of the Synergistic Interaction Parameters of SDBS-AEOn Mixtures
3.2.2. Calculation of the Dynamic Adsorption Parameters of SDBS-AEOn Mixtures
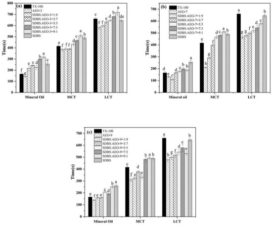
3.2.3. Dynamic Interface Tension
3.3. Macroscopic Properties of SDBS-AEOn Mixtrure
3.3.1. Wettability
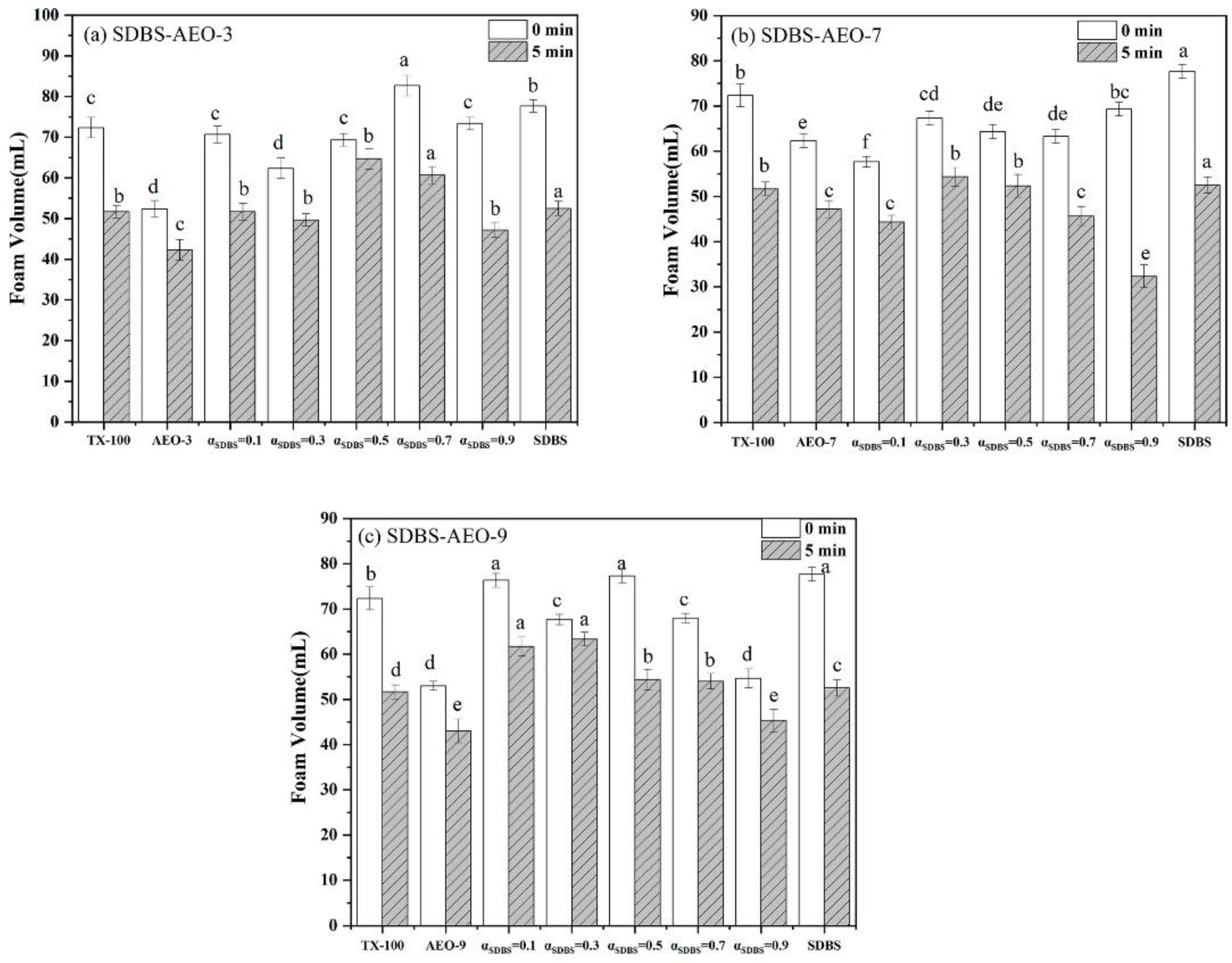
3.3.2. Foam Performance
3.3.3. Emulsification Performance
3.3.4. Hemolytic Activity
3.4. Replacement of TX-100 by SDBS-AEO Mixture in Sensor Making
4. Conclusions
Author Contributions
Funding
Data Availability Statement
Conflicts of Interest
References
- Huang, S.M.; Hwang, J.J.; Lin, L.H.; Liu, H.J.; Yeh, T.C. Interfacial Properties of Chitosan and Nonylphenol Polyoxyethylene Ether. J. Appl. Polym. Sci. 2010, 116, 2227–2233. [Google Scholar] [CrossRef]
- Mirsalari, M.; Elhami, S. Colorimetric detection of insulin in human serum using GO/AuNPs/TX-100 nanocomposite. Spectrochim. Acta Part. A-Mol. Biomol. Spectrosc. 2020, 240, 8. [Google Scholar] [CrossRef] [PubMed]
- Isik, A.F.; Keskin, N.O.S.; Ulcay, Y. Synthesis and in vitro antimicrobial characterization of Boron-PVA Electrospun nanofibers. J. Text. Inst. 2019, 110, 575–580. [Google Scholar] [CrossRef]
- Lin, F.-Y.; Lien, H.-L.; Shih, Y.-H.; Ta Fu Kuo, D. Effect of surfactants and implementation strategies for the pentachlorophenol degradation with Ni/Fe bimetallic nanoparticles in soil. Sep. Purif. Technol. 2025, 354, 129097. [Google Scholar] [CrossRef]
- Hong, Y.J.; Feng, C.L.; Yan, Z.F.; Wang, Y.; Liu, D.Q.; Liao, W.; Bai, Y.C. Nonylphenol occurrence, distribution, toxicity and analytical methods in freshwater. Environ. Chem. Lett. 2020, 18, 2095–2106. [Google Scholar] [CrossRef]
- Zha, J.M.; Sun, L.W.; Spear, P.A.; Wang, Z.J. Comparison of ethinylestradiol and nonylphenol effects on reproduction of Chinese rare minnows (Gobiocypris rarus). Ecotox. Environ. Safe. 2008, 71, 390–399. [Google Scholar] [CrossRef]
- David, A.; Fenet, H.; Gomez, E. Alkylphenols in marine environments: Distribution monitoring strategies and detection considerations. Mar. Pollut. Bull. 2009, 58, 953–960. [Google Scholar] [CrossRef]
- Liu, X.M.; Chen, Z.; Cui, Z.G. Fatty alcohol polyoxyethylene ether sulfonate for foam flooding in high-salinity and high-temperature reservoir conditions. Colloid Surf. A-Physicochem. Eng. Asp. 2021, 629, 127366. [Google Scholar] [CrossRef]
- Farcet, J.B.; Kindermann, J.; Karbiener, M.; Kreil, T.R. Development of a Triton X-100 replacement for effective virus inactivation in biotechnology processes. Eng. Rep. 2019, 1, e12078. [Google Scholar] [CrossRef]
- Luo, W.; Hickman, D.; Keykhosravani, M.; Wilson, J.; Fink, J.; Huang, L.H.; Chen, D.Y.; O’Donnell, S. Identification and characterization of a Triton X-100 replacement for virus inactivation. Biotechnol. Prog. 2020, 36, e3036. [Google Scholar] [CrossRef]
- Ding, F.M.; Zhou, X.; Wu, Z.F.; Xing, Z.Q. Synthesis of a Cleavable Vanillin-Based Polyoxyethylene Surfactant and Its Pilot Application in Cotton Fabric Pretreatment. ACS Sustain. Chem. Eng. 2019, 7, 5494–5500. [Google Scholar] [CrossRef]
- Yu, J.; Fischman, D.A.; Steck, T.L. Selective solubilization of proteins and phospholipids from red blood cell membranes by nonionic detergents. J. Supramol. Struct. 1973, 1, 233–248. [Google Scholar] [CrossRef] [PubMed]
- Tan, S.W.; Gooran, N.; Lim, H.M.; Yoon, B.K.; Jackman, J.A. Tethered Bilayer Lipid Membrane Platform for Screening Triton X-100 Detergent Replacements by Electrochemical Impedance Spectroscopy. Nanomaterials 2023, 13, 874. [Google Scholar] [CrossRef]
- Lim, J.C.; Lee, M.C.; Lim, T.-K.; Kim, B.J. Synthesis of sorbital based nonionic surfactants and characterization of interfacial and adhesive properties for waterborne pressure sensitive adhesives. Colloids Surf. A Physicochem. Eng. Asp. 2014, 446, 80–89. [Google Scholar] [CrossRef]
- Rosen, M.J.; Murphy, D.S. Synergism in binary mixtures of surfactants: V. Two-phase liquid—Liquid systems at low surfactant concentrations. J. Colloid Interface Sci. 1986, 110, 224–236. [Google Scholar] [CrossRef]
- Rodenas, E.; Valiente, M.; del Sol Villafruela, M. Different Theoretical Approaches for the Study of the Mixed Tetraethylene Glycol Mono-n-dodecyl Ether/Hexadecyltrimethylammonium Bromide Micelles. J. Phys. Chem. B 1999, 103, 4549–4554. [Google Scholar] [CrossRef]
- Zheng, Y.; Lu, X.; Lai, L.; Yu, L.; Zheng, H.; Dai, C. The micelle thermodynamics and mixed properties of sulfobetaine-type zwitterionic Gemini surfactant with nonionic and anionic surfactants. J. Mol. Liq. 2020, 299, 112108. [Google Scholar] [CrossRef]
- Fainerman, V.B.; Makievski, A.V.; Miller, R. The measurement of dynamic surface tensions of highly viscous liquids by the maximum bubble pressure method. Colloids Surf. A: Physicochem. Eng. Asp. 1993, 75, 229–235. [Google Scholar] [CrossRef]
- Guo, W.; Cai, Z.-S.; Xu, Q.; Sun, K.; Huang, X.; Cao, Z. Synthesis and properties of dehydroabietyl glycidyl ether grafted hydroxypropyl chitosan. BioResources 2020, 15, 4110–4123. [Google Scholar] [CrossRef]
- Lyu, B.; Yu, Y.; Gao, D.; Wang, Y.; Ma, J. Asymmetric sodium benzenesulfonate Gemini surfactant: Synthesis, properties and application. J. Mol. Liq. 2019, 285, 500–507. [Google Scholar] [CrossRef]
- Pinazo, A.; Pons, R.; Bustelo, M.; Manresa, M.A.; Morán, C.; Raluy, M.; Pérez, L. Gemini histidine based surfactants: Characterization; surface properties and biological activity. J. Mol. Liq. 2019, 289, 111156. [Google Scholar] [CrossRef]
- Li, J.; Yan, G.; Zhou, L.; Bai, X.; Chen, X. Molecular mechanism of the effect of benzene ring structure in nonionic surfactants on the wettability of anthracite. Colloids Surf. A Physicochem. Eng. Asp. 2023, 657, 130634. [Google Scholar] [CrossRef]
- Ren, Z.H. Interacting Behavior between Amino Sulfonate Surfactant and Octylphenol Polyoxyethylene Ether in Aqueous Solution and Effect of Hydrophilicity. Ind. Eng. Chem. Res. 2014, 53, 10035–10040. [Google Scholar] [CrossRef]
- Rubingh, D.N. Solution Chemistry of Surfactants; Springer Science & Business Media: Berlin/Heidelberg, Germany, 1979. [Google Scholar]
- Kanokkarn, P.; Shiina, T.; Santikunaporn, M.; Chavadej, S. Equilibrium and dynamic surface tension in relation to diffusivity and foaming properties: Effects of surfactant type and structure. Colloids Surf. A Physicochem. Eng. Asp. 2017, 524, 135–142. [Google Scholar] [CrossRef]
- Chen, Y.; Xu, G. Improvement of Ca2+-tolerance by the introduction of EO groups for the anionic surfactants: Molecular dynamics simulation. Colloids Surf. A Physicochem. Eng. Asp. 2013, 424, 26–32. [Google Scholar] [CrossRef]
- Gang, H.-Z.; He, X.; He, X.; Bao, X.; Liu, J.; Yang, S.; Li, Y.; Mu, B.-Z. Interfacial properties and salt tolerance of carboxylated nonylphenol ethoxylate surfactants. Colloids Surf. A Physicochem. Eng. Asp. 2021, 616, 126222. [Google Scholar] [CrossRef]
- Guanhua, N.; Qian, S.; Meng, X.; Hui, W.; Yuhang, X.; Weimin, C.; Gang, W. Effect of NaCl-SDS compound solution on the wettability and functional groups of coal. Fuel 2019, 257, 116077. [Google Scholar] [CrossRef]
- Patil, V.K.; Gawali, I.T.; Usmani, G.A. Synthesis and Properties of Novel Cationic Triazolium Gemini Surfactants. J. Dispers. Sci. Technol. 2016, 37, 1630–1637. [Google Scholar] [CrossRef]
- Mattei, B.; Lira, R.B.; Perez, K.R.; Riske, K.A. Membrane permeabilization induced by Triton X-100: The role of membrane phase state and edge tension. Chem. Phys. Lipids 2017, 202, 28–37. [Google Scholar] [CrossRef]
- Manaargadoo-Catin, M.; Ali-Cherif, A.; Pougnas, J.L.; Perrin, C. Hemolysis by surfactants—A review. Adv. Colloid Interface Sci. 2016, 228, 1–16. [Google Scholar] [CrossRef]
- Imkan; Ali, I.; Ullah, S.; Imran, M.; Saifullah, S.; Hussain, K.; Kanwal, T.; Nisar, J.; Raza Shah, M. Synthesis of biocompatible triazole based non-ionic surfactant and its vesicular drug delivery investigation. Chem. Phys. Lipids 2020, 228, 104894. [Google Scholar] [CrossRef] [PubMed]
- Gooran, N.; Tan, S.W.; Frey, S.L.; Jackman, J.A. Unraveling the Biophysical Mechanisms of How Antiviral Detergents Disrupt Supported Lipid Membranes: Toward Replacing Triton X-100. Langmuir 2024, 40, 6524–6536. [Google Scholar] [CrossRef]






| Category | Surfactants | CMC (mmol/L) | γCMC (mN/m) | pC20 | Γmax (μmol/m2) | Amin (nm2) |
|---|---|---|---|---|---|---|
| TX-100 | 0.28 | 29.81 | 4.69 | 3.39 | 0.48 | |
| Anionic | SDBS | 0.25 | 31.81 | 4.34 | 4.68 | 0.35 |
| SLS | 7.07 | 33.26 | 3.76 | 2.39 | 0.69 | |
| NLSS | 3.71 | 41.17 | 3.45 | 1.85 | 0.89 | |
| SDS | 7.41 | 44.78 | 2.94 | 1.48 | 1.11 | |
| SBS | 10.20 | 33.27 | 3.79 | 2.52 | 0.65 | |
| AES | 0.50 | 35.40 | 3.84 | 2.84 | 0.58 | |
| Non-ionic | AEO | 0.16 | 33.81 | 4.81 | 3.65 | 0.45 |
| Brij58 | 0.033 | 43.21 | 3.77 | 2.88 | 0.57 | |
| TW-80 | 0.012 | 40.48 | 3.48 | 2.47 | 0.67 |
| Surfactant | α1 | CMC (mmol/L) | γCMC (mN/m) | X1 | βM | (KJ/mol) | (KJ/mol) | (J/mol) | ||||
|---|---|---|---|---|---|---|---|---|---|---|---|---|
| AEO-3 | 0.1 | 0.047 | 28.23 | 0.07 | −1.52 | 1.43 | 0.19 | −1.20 | 1.20 | −1.58 | −3.944 | 7.93 |
| 0.3 | 0.059 | 29.58 | 0.19 | −1.51 | 0.24 | −1.33 | −0.91 | −2.262 | 4.52 | |||
| 0.5 | 0.087 | 30.28 | 0.35 | −1.66 | 0.31 | −1.10 | −0.29 | −1.683 | 4.66 | |||
| 0.7 | 0.112 | 29.20 | 0.49 | −1.73 | 0.44 | −1.25 | −0.34 | −1.989 | 5.55 | |||
| 0.9 | 0.162 | 28.41 | 0.71 | −2.39 | 0.67 | −1.86 | −0.41 | −2.033 | 5.44 | |||
| AEO-7 | 0.1 | 0.112 | 30.88 | 0.12 | −1.28 | 0.85 | 0.09 | −0.64 | 0.66 | −0.21 | −0.580 | 1.24 |
| 0.3 | 0.120 | 33.07 | 0.19 | −0.43 | 0.21 | −0.67 | −0.28 | −1.438 | 3.87 | |||
| 0.5 | 0.132 | 30.95 | 0.37 | −0.86 | 0.39 | −0.81 | −0.60 | −1.924 | 4.43 | |||
| 0.7 | 0.166 | 31.04 | 0.50 | −0.31 | 0.53 | −0.55 | −0.76 | −1.905 | 3.85 | |||
| 0.9 | 0.195 | 29.62 | 0.76 | −1.45 | 0.72 | −1.20 | −0.36 | −1.774 | 4.74 | |||
| AEO-9 | 0.1 | 0.140 | 30.01 | 0.11 | −1.14 | 0.39 | 0.18 | −1.56 | 0.51 | −0.92 | −2.651 | 5.79 |
| 0.3 | 0.170 | 33.42 | 0.26 | −0.45 | 0.35 | −0.62 | −0.56 | −1.983 | 4.77 | |||
| 0.5 | 0.190 | 32.35 | 0.43 | −0.39 | 0.51 | −1.24 | −0.21 | −1.887 | 5.61 | |||
| 0.7 | 0.210 | 31.51 | 0.65 | −0.85 | 0.71 | −0.71 | −0.25 | −1.921 | 5.60 | |||
| 0.9 | 0.230 | 31.18 | 0.78 | −0.98 | 0.75 | −1.32 | −1.12 | −2.352 | 4.15 |
| Surfactant | C < CMC | C > CMC | ||||||
|---|---|---|---|---|---|---|---|---|
| Initial Adsorption | Late Adsorption | K (s−1) | ||||||
(mN/m·s1/2) | Da (m2/s) | (mN/m·s1/2) | Da (m2/s) | |||||
| AEO-3 | 0 | −2.14 | 0.08 | 11.83 | 0.04 | 13.45 | 7.78 | 3.81 |
| 0.1 | −4.24 | 0.26 | 14.66 | 0.11 | 19.73 | 15.58 | 2.04 | |
| 0.3 | −5.95 | 0.16 | 14.01 | 0.12 | 17.80 | 16.01 | 1.57 | |
| 0.5 | −4.13 | 0.15 | 8.07 | 0.06 | 25.67 | 21.87 | 1.76 | |
| 0.7 | −4.65 | 0.27 | 9.21 | 0.06 | 21.43 | 19.08 | 1.61 | |
| 0.9 | −6.68 | 0.44 | 11.19 | 0.11 | 24.67 | 19.46 | 2.05 | |
| 1 | −3.53 | 0.30 | 13.99 | 0.03 | 13.90 | 2.70 | 33.76 | |
| AEO-7 | 0 | −5.84 | 1.52 | 20.18 | 0.70 | 23.10 | 15.61 | 2.79 |
| 0.1 | −7.96 | 4.49 | 17.36 | 0.65 | 21.45 | 17.98 | 1.81 | |
| 0.3 | −6.31 | 1.50 | 17.63 | 0.35 | 15.98 | 11.32 | 2.54 | |
| 0.5 | −7.71 | 1.54 | 18.48 | 0.44 | 12.34 | 9.98 | 1.95 | |
| 0.7 | −7.00 | 0.61 | 19.30 | 0.23 | 9.95 | 5.89 | 3.64 | |
| 0.9 | −6.19 | 0.54 | 17.94 | 0.13 | 13.56 | 9.58 | 2.55 | |
| 1 | −3.53 | 0.30 | 13.99 | 0.03 | 13.90 | 2.70 | 33.76 | |
| AEO-9 | 0 | −4.77 | 3.17 | 43.58 | 2.08 | 12.54 | 9.45 | 2.24 |
| 0.1 | −12.7 | 5.93 | 40.11 | 1.03 | 9.54 | 9.20 | 1.31 | |
| 0.3 | −8.97 | 0.39 | 29.02 | 0.3 | 11.54 | 9.07 | 2.06 | |
| 0.5 | −8.71 | 3.63 | 27.95 | 2.01 | 6.09 | 4.65 | 2.19 | |
| 0.7 | −5.73 | 1.81 | 27.02 | 0.33 | 7.65 | 6.70 | 1.66 | |
| 0.9 | −8.31 | 3.98 | 52.8 | 1.92 | 10.98 | 8.96 | 1.91 | |
| 1 | −3.53 | 0.30 | 13.99 | 0.03 | 13.90 | 2.70 | 33.76 | |
Disclaimer/Publisher’s Note: The statements, opinions and data contained in all publications are solely those of the individual author(s) and contributor(s) and not of MDPI and/or the editor(s). MDPI and/or the editor(s) disclaim responsibility for any injury to people or property resulting from any ideas, methods, instructions or products referred to in the content. |
© 2024 by the authors. Licensee MDPI, Basel, Switzerland. This article is an open access article distributed under the terms and conditions of the Creative Commons Attribution (CC BY) license (https://creativecommons.org/licenses/by/4.0/).
Share and Cite
Li, Z.; Wang, L.; Tang, M.; Sun, Y.; Zhang, L.; Chen, Z. SDBS-AEO Mixture for Triton X-100 Replacement: Surface Activity and Application in Biosensors. Biosensors 2024, 14, 505. https://doi.org/10.3390/bios14100505
Li Z, Wang L, Tang M, Sun Y, Zhang L, Chen Z. SDBS-AEO Mixture for Triton X-100 Replacement: Surface Activity and Application in Biosensors. Biosensors. 2024; 14(10):505. https://doi.org/10.3390/bios14100505
Chicago/Turabian StyleLi, Zhenzhen, Lei Wang, Mengjie Tang, Yulong Sun, Li Zhang, and Zhongxiu Chen. 2024. "SDBS-AEO Mixture for Triton X-100 Replacement: Surface Activity and Application in Biosensors" Biosensors 14, no. 10: 505. https://doi.org/10.3390/bios14100505
APA StyleLi, Z., Wang, L., Tang, M., Sun, Y., Zhang, L., & Chen, Z. (2024). SDBS-AEO Mixture for Triton X-100 Replacement: Surface Activity and Application in Biosensors. Biosensors, 14(10), 505. https://doi.org/10.3390/bios14100505
