Evaluation of the Interaction of Cinacalcet with Calf Thymus dsDNA: Use of Electrochemical, Spectrofluorimetric, and Molecular Docking Methods
Abstract
:1. Introduction
2. Material and Methods
2.1. Materials
2.2. Preparation of Solutions
2.3. Apparatus
2.4. Methods
2.4.1. Electrochemical Measurements
2.4.2. Fluorescence Measurements
2.4.3. Molecular Docking
2.4.4. Characterization of ct-dsDNA/GCE with AFM
3. Results and Discussion
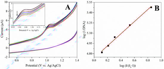
3.1. Electrochemical Interaction of CIN and ct-dsDNA/GCE
3.2. Interaction between CIN and ct-dsDNA Using Fluorescence Spectroscopy
- (i)
- for hydrophobic forces, ΔH > 0 and ΔS > 0;
- (ii)
- for van der Waals interactions and hydrogen bonds, ΔH < 0 and ΔS < 0;
- (iii)
- for electrostatic interactions, ΔH < 0 and ΔS > 0.
3.3. Molecular Docking Studies for the Interaction of CIN and ct-dsDNA
4. Conclusions
Author Contributions
Funding
Institutional Review Board Statement
Informed Consent Statement
Data Availability Statement
Acknowledgments
Conflicts of Interest
References
- Cunningham, J.; Locatelli, F.; Rodriguez, M. Secondary Hyperparathyroidism: Pathogenesis, Disease Progression, and Therapeutic Options. Clin. J. Am. Soc. Nephrol. 2011, 6, 913–921. [Google Scholar] [CrossRef] [PubMed] [Green Version]
- Koiwa, F.; Tokunaga, S.; Asada, S.; Endo, Y.; Fukagawa, M.; Akizawa, T. Efficacy of Evocalcet in Previously Cinacalcet-Treated Secondary Hyperparathyroidism Patients. Kidney Int. Rep. 2021, 6, 2830–2839. [Google Scholar] [CrossRef] [PubMed]
- Balfour, J.A.B.; Scott, L.J. Cinacalcet Hydrochloride. Drugs 2005, 65, 271–281. [Google Scholar] [CrossRef] [PubMed]
- Shane, E. Clinical Review 122: Parathyroid Carcinoma. J. Clin. Endocrinol. Metab. 2001, 86, 485–493. [Google Scholar] [CrossRef] [PubMed]
- Nemeth, E.F.; Heaton, W.H.; Miller, M.; Fox, J.; Balandrin, M.F.; Van Wagenen, B.C.; Colloton, M.; Karbon, W.; Scherrer, J.; Shatzen, E.; et al. Pharmacodynamics of the Type II Calcimimetic Compound Cinacalcet HCl. J. Pharmacol. Exp. Ther. 2004, 308, 627–635. [Google Scholar] [CrossRef] [Green Version]
- Ari, E.; Kaya, Y.; Demir, H.; Asicioglu, E.; Eren, Z.; Celik, E.; Arikan, H. Cinacalcet May Improve Oxidative DNA Damage in Maintenance Hemodialysis Patients: An Observational Study. Int. Urol. Nephrol. 2014, 46, 1843–1849. [Google Scholar] [CrossRef]
- Moe, S.M.; Wetherill, L.; Decker, B.S.; Lai, D.; Abdalla, S.; Long, J.; Vatta, M.; Foroud, T.M.; Chertow, G.M. Calcium-Sensing Receptor Genotype and Response to Cinacalcet in Patients Undergoing Hemodialysis. Clin. J. Am. Soc. Nephrol. 2017, 12, 1128–1138. [Google Scholar] [CrossRef]
- Paleček, E.; Bartošík, M. Electrochemistry of Nucleic Acids. Chem. Rev. 2012, 112, 3427–3481. [Google Scholar] [CrossRef]
- Labuda, J.; Brett, A.M.O.; Evtugyn, G.; Fojta, M.; Mascini, M.; Ozsoz, M.; Palchetti, I.; Paleček, E.; Wang, J. Electrochemical Nucleic Acid-Based Biosensors: Concepts, Terms, and Methodology (IUPAC Technical Report). Pure Appl. Chem. 2010, 82, 1161–1187. [Google Scholar] [CrossRef]
- Hai, X.; Li, Y.; Zhu, C.; Song, W.; Cao, J.; Bi, S. DNA-Based Label-Free Electrochemical Biosensors: From Principles to Applications. TrAC Trends Anal. Chem. 2020, 133, 116098. [Google Scholar] [CrossRef]
- Kurbanoglu, S.; Dogan-Topal, B.; Rodriguez, E.P.; Bozal-Palabiyik, B.; Ozkan, S.A.; Uslu, B. Advances in Electrochemical DNA Biosensors and Their Interaction Mechanism with Pharmaceuticals. J. Electroanal. Chem. 2016, 775, 8–26. [Google Scholar] [CrossRef]
- Wu, Q.; Zhang, Y.; Yang, Q.; Yuan, N.; Zhang, W. Review of Electrochemical DNA Biosensors for Detecting Food Borne Pathogens. Sensors 2019, 19, 4916. [Google Scholar] [CrossRef] [Green Version]
- Diculescu, V.C.; Chiorcea-Paquim, A.M.; Oliveira-Brett, A.M. Applications of a DNA-Electrochemical Biosensor. TrAC - Trends Anal. Chem. 2016, 79, 23–36. [Google Scholar] [CrossRef]
- Bozal-Palabiyik, B.; Kurbanoglu, S.; Erkmen, C.; Uslu, B. Future Prospects and Concluding Remarks for Electroanalytical Applications of Quantum Dots; Elsevier Inc.: Amsterdam, Netherlands, 2021; ISBN 9780128216705. [Google Scholar]
- Nemčeková, K.; Labuda, J.; Milata, V.; Blaškovičová, J.; Sochr, J. Interaction of DNA and Mononucleotides with Theophylline Investigated Using Electrochemical Biosensors and Biosensing. Bioelectrochemistry 2018, 123, 182–189. [Google Scholar] [CrossRef]
- Javar, H.A.; Mahmoudi-Moghaddam, H. A Label-Free DNA Biosensor for Determination of Topotecan as an Anticancer Drug: Electrochemical, Spectroscopic and Docking Studies. J. Electrochem. Soc. 2020, 167, 127502. [Google Scholar] [CrossRef]
- Asai, K.; Yamamoto, T.; Nagashima, S.; Ogata, G.; Hibino, H.; Einaga, Y. An Electrochemical Aptamer-Based Sensor Prepared by Utilizing the Strong Interaction between a DNA Aptamer and Diamond. Analyst 2020, 145, 544–549. [Google Scholar] [CrossRef]
- Rupar, J.; Aleksić, M.M.; Dobričić, V.; Brborić, J.; Čudina, O. An Electrochemical Study of 9-Chloroacridine Redox Behavior and Its Interaction with Double-Stranded DNA. Bioelectrochemistry 2020, 135, 107579. [Google Scholar] [CrossRef]
- Ozkan-Ariksoysal, D. Electrochemical DNA Biosensors Based on Quantum Dots; Elsevier Inc.: Amsterdam, Netherlands, 2021; ISBN 9780128216705. [Google Scholar]
- Waihenya, S.; Şenel, P.; Osonga, F.J.; Erdoğan, T.; Altay, F.; Gölcü, A.; Sadik, O.A. Mechanism of Interactions of DsDNA Binding with Apigenin and Its Sulfamate Derivatives Using Multispectroscopic, Voltammetric, and Molecular Docking Studies. ACS Omega 2021, 6, 5124–5137. [Google Scholar] [CrossRef]
- Ipte, P.R.; Sharma, A.; Pal, H.; Satpati, A.K. Probing the Interaction of Ciprofloxacin with DsDNA: Electrochemical, Spectro-Electrochemical and AFM Investigation. J. Electroanal. Chem. 2021, 885, 115098. [Google Scholar] [CrossRef]
- Şenel, P.; Agar, S.; Sayin, V.O.; Altay, F.; Yurtsever, M.; Gölcü, A. Elucidation of Binding Interactions and Mechanism of Fludarabine with DsDNA via Multispectroscopic and Molecular Docking Studies. J. Pharm. Biomed. Anal. 2020, 179, 112994. [Google Scholar] [CrossRef]
- Panda, S.S.; Bera, R.K.V.V. Chemometrics and Monte-Carlo Simulation Assisted RP-LC Method for Estimation of Cinacalcet Hydro-Chloride in Pharmaceutical Products. Int. J. Pharm. Sci. Nanotechnol. 2021, 14, 5436–5447. [Google Scholar] [CrossRef]
- Farnoudian-Habibi, A.; Jaymand, M. Separation and Quantitative Determination of Cinacalcet Metabolites in Urine Sample Using RP-HPLC after Derivation with a Fluorescent Labeling Reagent. J. Chromatogr. B 2016, 1027, 214–220. [Google Scholar] [CrossRef] [PubMed]
- Rao, R.N.; Saida, S.; Naidu, C.G.; Sravan, B.; Ramesh, B. Liquid Chromatographic Separation, Determination and ESI-MS/MS, FT-IR and NMR Characterization of the Forced Degradation Products of Cinacalcet. Anal. Methods 2014, 6, 5076–5087. [Google Scholar] [CrossRef]
- Drew, H.R.; Wing, R.M.; Takano, T.; Broka, C.; Tanaka, S.; Itakura, K.; Dickerson, R.E. Structure of a B-DNA Dodecamer: Conformation and Dynamics. Proc. Natl. Acad. Sci. USA 1981, 78, 2179–2183. [Google Scholar] [CrossRef] [Green Version]
- Halgren, T.A.; Murphy, R.B.; Friesner, R.A.; Beard, H.S.; Frye, L.L.; Pollard, W.T.; Banks, J.L. Glide: A New Approach for Rapid, Accurate Docking and Scoring. 2. Enrichment Factors in Database Screening. J. Med. Chem. 2004, 47, 1750–1759. [Google Scholar] [CrossRef]
- Friesner, R.A.; Murphy, R.B.; Repasky, M.P.; Frye, L.L.; Greenwood, J.R.; Halgren, T.A.; Sanschagrin, P.C.; Mainz, D.T. Extra Precision Glide: Docking and Scoring Incorporating a Model of Hydrophobic Enclosure for Protein−Ligand Complexes. J. Med. Chem. 2006, 49, 6177–6196. [Google Scholar] [CrossRef] [Green Version]
- Machini, W.B.S.; Fernandes, I.P.G.; Oliveira-Brett, A.M. Antidiabetic Drug Metformin Oxidation and in Situ Interaction with DsDNA Using a DsDNA-electrochemical Biosensor. Electroanalysis 2019, 31, 1977–1987. [Google Scholar] [CrossRef]
- Hasanzadeh, M.; Shadjou, N. Pharmacogenomic Study Using Bio- and Nanobioelectrochemistry: Drug-DNA Interaction. Mater. Sci. Eng. C 2016, 61, 1002–1017. [Google Scholar] [CrossRef]
- Erdem, A. Nanomaterial-Based Electrochemical DNA Sensing Strategies. Talanta 2007, 74, 318–325. [Google Scholar] [CrossRef]
- Erdem, A.; Ozsoz, M. Electrochemical DNA Biosensors Based on DNA-Drug Interactions. Electroanalysis 2002, 14, 965–974. [Google Scholar] [CrossRef]
- Yardım, Y.; Vandeput, M.; Çelebi, M.; Şentürk, Z.; Kauffmann, J.M. A Reduced Graphene Oxide-based Electrochemical DNA Biosensor for the Detection of Interaction between Cisplatin and DNA Based on Guanine and Adenine. Wiley Online Libr. 2017, 29, 1451–1458. [Google Scholar] [CrossRef]
- Goyal, R.N.; Brajter-Toth, A.; Dryhurst, G.; Nguyen, N.T. A Comparison of the Peroxidase-Catalyzed and Electrochemical Oxidation of Uric Acid. Bioelectrochemistry Bioenerg. 1982, 9, 39–60. [Google Scholar] [CrossRef]
- Unal, D.N.; Erkmen, C.; Selcuk, O.; Kurbanoglu, S.; Eren, G.; Uslu, B. Phosphodiesterase-3 Enzyme Inhibitor Drug Milrinone Interaction with DNA and HSA: Electrochemical, Spectroscopic and Molecular Docking. J. Electrochem. Soc. 2022, 169, 027521. [Google Scholar] [CrossRef]
- Wang, J.; Rivas, G.; Cai, X.; Shiraishi, H.; Farias, P.A.M.; Dontha, N.; Luo, D. Accumulation and Trace Measurements of Phenothiazine Drugs at DNA-Modified Electrodes. Anal. Chim. Acta 1996, 332, 139–144. [Google Scholar] [CrossRef]
- Ponkarpagam, S.; Mahalakshmi, G.; Vennila, K.N.; Elango, K.P. Concentration-Dependent Mode of Binding of Drug Oxatomide with DNA: Multi-Spectroscopic, Voltammetric and Metadynamics Simulation Analysis Multi-Spectroscopic, Voltammetric and Metadynamics Simulation Analysis. J. Biomol. Struct. Dyn. 2021, 1–11. [Google Scholar] [CrossRef]
- Shahabadi, N.; Pourfoulad, M.; Moghadam, N.H. Experimental and Computational Studies on the Effects of Valganciclovir as an Antiviral Drug on Calf Thymus DNA. Nucleosides Nucleotides Nucleic Acids 2017, 36, 31–48. [Google Scholar] [CrossRef]
- Moradi, S.Z.; Nowroozi, A.; Sadrjavadi, K.; Moradi, S.; Mansouri, K.; Hosseinzadeh, L.; Shahlaei, M. Direct Evidences for the Groove Binding of the Clomifene to Double Stranded DNA. Int. J. Biol. Macromol. 2018, 114, 40–53. [Google Scholar] [CrossRef]
- Lei, H.; Wang, X.; Wu, C. Early Stage Intercalation of Doxorubicin to DNA Fragments Observed in Molecular Dynamics Binding Simulations. J. Mol. Graph. Model. 2012, 38, 279–289. [Google Scholar] [CrossRef]
- Sirajuddin, M.; Ali, S.; Badshah, A. Drug-DNA Interactions and Their Study by UV-Visible, Fluorescence Spectroscopies and Cyclic Voltametry. J. Photochem. Photobiol. B Biol. 2013, 124, 1–19. [Google Scholar] [CrossRef]
- Li, Y.T.; Sun, W.; Wu, Z.Y.; Zheng, Y.J.; Yan, C.W. Synthesis, Structure and Voltammetric Studies of Copper(II) Polymer with DNA Interaction: The First 1-D Coordination Polymer Alternately Bridged by Oxalate and Oxamidate Ligands. J. Inorg. Organomet. Polym. Mater. 2010, 20, 586–591. [Google Scholar] [CrossRef]
- Haq, I. Thermodynamics of Drug–DNA Interactions. Arch. Biochem. Biophys. 2002, 403, 1–15. [Google Scholar] [CrossRef]
- Zhong, W.; Yu, J.S.; Huang, W.; Ni, K.; Liang, Y. Spectroscopic Studies of Interaction of Chlorobenzylidine with DNA. Biopolymers 2001, 62, 315–323. [Google Scholar] [CrossRef]







| Temperature (K) | Enhancement Constants Value | Binding Constants Value | ln Kf (M−1) | ΔG° (kJ mol–1) | ΔH° (kJ mol–1) | ΔS° (J mol–1 K–1) | ||||
|---|---|---|---|---|---|---|---|---|---|---|
| R2 | KD (M−1) | R2 | n | Kf | log Kf | |||||
| 288 | 0.999 | 21,541.0 | 0.998 | 1.11 | 5.62 × 104 | 4.75 | 10.94 | −26.28 | 114.78 | 489.78 |
| 298 | 0.999 | 19,669.0 | 0.993 | 1.24 | 3.16 × 105 | 5.50 | 12.66 | −31.17 | ||
| 308 | 0.999 | 16,017.0 | 0.992 | 1.39 | 1.26 × 106 | 6.10 | 14.05 | −36.07 | ||
Publisher’s Note: MDPI stays neutral with regard to jurisdictional claims in published maps and institutional affiliations. |
© 2022 by the authors. Licensee MDPI, Basel, Switzerland. This article is an open access article distributed under the terms and conditions of the Creative Commons Attribution (CC BY) license (https://creativecommons.org/licenses/by/4.0/).
Share and Cite
Erkmen, C.; Unal, D.N.; Kurbanoglu, S.; Eren, G.; Uslu, B. Evaluation of the Interaction of Cinacalcet with Calf Thymus dsDNA: Use of Electrochemical, Spectrofluorimetric, and Molecular Docking Methods. Biosensors 2022, 12, 278. https://doi.org/10.3390/bios12050278
Erkmen C, Unal DN, Kurbanoglu S, Eren G, Uslu B. Evaluation of the Interaction of Cinacalcet with Calf Thymus dsDNA: Use of Electrochemical, Spectrofluorimetric, and Molecular Docking Methods. Biosensors. 2022; 12(5):278. https://doi.org/10.3390/bios12050278
Chicago/Turabian StyleErkmen, Cem, Didem Nur Unal, Sevinc Kurbanoglu, Gokcen Eren, and Bengi Uslu. 2022. "Evaluation of the Interaction of Cinacalcet with Calf Thymus dsDNA: Use of Electrochemical, Spectrofluorimetric, and Molecular Docking Methods" Biosensors 12, no. 5: 278. https://doi.org/10.3390/bios12050278
APA StyleErkmen, C., Unal, D. N., Kurbanoglu, S., Eren, G., & Uslu, B. (2022). Evaluation of the Interaction of Cinacalcet with Calf Thymus dsDNA: Use of Electrochemical, Spectrofluorimetric, and Molecular Docking Methods. Biosensors, 12(5), 278. https://doi.org/10.3390/bios12050278

