Ho2O3-TiO2 Nanobelts Electrode for Highly Selective and Sensitive Detection of Cancer miRNAs
Abstract
:1. Introduction
2. Materials and Methods
2.1. Materials
2.2. Preparation of Ho2O3-TiO2 Nanobelts
2.3. Structure Characterization
2.4. Electrochemistry Tests
3. Results and Discussion
3.1. Structural Characterization
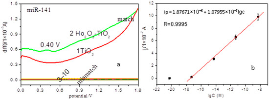
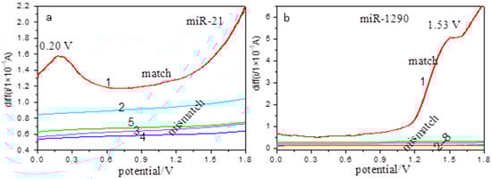
3.2. Specific and Sensitive Detection of Cancer miRNAs
3.3. Mechanism of the Electrochemical Detection of Cancer
4. Conclusions
Supplementary Materials
Author Contributions
Funding
Institutional Review Board Statement
Informed Consent Statement
Data Availability Statement
Conflicts of Interest
References
- Cheng, Y.; Dong, L.; Zhang, J.; Zhao, Y.Q.; Li, Z.P. Recent advances in microRNA detection. Analyst 2018, 143, 1758–1774. [Google Scholar] [CrossRef] [PubMed]
- Jou, F.J.; Lu, C.H.; Ou, Y.C.; Wang, S.S.; Hsu, S.L.; Willner, I.; Ho, J.A. Diagnosing the miR-141 prostate cancer biomarker using nucleic acid-functionalized CdSe/ZnS QDs and telomerase. Chem. Sci. 2015, 6, 659–665. [Google Scholar] [CrossRef] [PubMed]
- Wang, S.F.; Ma, F.; Feng, Y.; Liu, T.; He, S.S. Role of exosomal miR-21 in the tumor microenvironment and osteosarcoma tumorigenesis and progression (Review). Int. J. Oncol. 2020, 56, 1055–1063. [Google Scholar] [CrossRef] [PubMed]
- Li, A.; Yu, J.; Kim, H.; Wolfgang, C.L.; Canto, M.I.; Hruban, R.H.; Goggins, M. MicroRNA array analysis finds elevated serum miR-1290 accurately distinguishes patients with low-stage pancreatic cancer from healthy and disease controls. Clin. Cancer Res. 2013, 19, 3600–3610. [Google Scholar] [CrossRef] [PubMed]
- D’Agata, R.; Spoto, G. Advanced methods for microRNA biosensing: A problem-solving perspective. Anal. Bioanal. Chem. 2019, 411, 4425–4444. [Google Scholar] [CrossRef]
- Cui, J.J.; Ge, Y.K.; Chen, S.W.; Liu, H.; Huang, Z.; Jiang, H.D.; Chen, J. Nano-p–n junction heterostructure TiO2 nanobelts for the electrochemical detection of anticancer drug and biointeractions with cancer cells. J. Mater. Chem. B 2013, 1, 2072–2077. [Google Scholar] [CrossRef]
- Cui, J.J.; Chen, J.; Chen, S.W.; Gao, L.; Xu, P.; Li, H. Au/TiO2 nanobelt heterostructures for the detection of cancer cells and anticancer drug activity by potential sensing. Nanotechnology 2016, 27, 095603. [Google Scholar] [CrossRef]
- Wang, X.P.; Cui, J.J.; Chen, S.W.; Yang, Y.; Gao, L.; He, Q.F. Electrochemical sensing of pancreatic cancer miR-1290 based on yeast-templated mesoporous TiO2 modified electrodes. Anal. Chim. Acta 2020, 1105, 82–86. [Google Scholar] [CrossRef]
- Liu, S.X.; Li, J.K.; Jiang, C.L.; Huang, L.; Qiao, B.; Lv, C.Z. Rutile Titanium Dioxide Facet Heterojunction Nanostructure with Double-Stranded Specific Nuclease for Photoelectrochemical MicroRNA-155 Detection. Appl. Nano Mater. 2022, 5, 2266–2272. [Google Scholar] [CrossRef]
- Tian, C.Y.; Wang, L.; Luan, F.; Zhuang, X.M. An electrochemiluminescence sensor for the detection of prostate protein antigen based on the graphene quantum dots infilled TiO2 nanotube arrays. Talanta 2019, 191, 103–108. [Google Scholar] [CrossRef]
- Cui, J.J.; Sun, D.H.; Zhou, W.J.; Liu, H.; Hu, P.G.; Ren, N.; Qin, H.M.; Huang, Z.; Lin, J.J.; Ma, H.Y. Electrocatalytic oxidation of nucleobases by TiO2 nanobelts. Phys. Chem. Chem. Phys. 2011, 13, 9232–9237. [Google Scholar] [CrossRef] [PubMed]
- Akah, A. Application of rare earths in fluid catalytic cracking: A review. J. Rare Earths 2017, 35, 941–956. [Google Scholar] [CrossRef]
- Wang, Z.L.; Mao, X.; Chen, P.; Xiao, M.; Monny, S.A.; Wang, S.C.; Konarova, M.X.N.; Du, A.J.; Wang, L.Z. Understanding the Roles of Oxygen Vacancy in Hematite based Photoelectrochemical Process. Angew. Chem. Int. Ed. 2019, 58, 1030–1034. [Google Scholar] [CrossRef] [PubMed]
- Sahar, Z.A.; Sobhan, M.D.; Masoud, S.N. Simple sonochemical synthesis of Ho2O3-SiO2 nanocomposites as an effective photocatalyst for degradation and removal of organic contaminant. Ultrason. Sonochem. 2017, 39, 452–460. [Google Scholar]
- Zhao, X.N.; Liu, X.Z.; Lu, D.Z.; Wu, P.; Yan, Q.Y.; Liu, M.; Fang, P.F. Synergistic effect of Fe2O3/Ho2O3 Co-modified 2D-titanate heterojunctions on enhanced photocatalytic degradation. Solid State Sci. 2017, 63, 42–53. [Google Scholar] [CrossRef]
- Sobhan, M.D.; Sahar, Z.A.; Masoud, S.N. Facile hydrothermal and novel preparation of nanostructured Ho2O3 for photodegradation of eriochrome black T dye as water pollutant. Adv. Powder Technol. 2017, 28, 747–754. [Google Scholar]
- Hu, W.; Chen, Z.; Lu, Z.; Wang, X.; Fu, X. Effect of Bi2O3 and Ho2O3 co-doping on the dielectric properties and temperature reliability of X8R BaTiO3-based ceramics. Ceram. Int. 2021, 47, 24982–24987. [Google Scholar] [CrossRef]
- Heiba, Z.K.; Mohamed, M.B. Structural and magnetic properties of Mn doped Ho2O3 nanocrystalline. J. Mol. Struct. 2015, 1105, 135–140. [Google Scholar] [CrossRef]
- Pan, T.M.; Huang, M.D. Structural properties and sensing characteristics of high-k Ho2O3 sensing film-based electrolyte–insulator–semiconductor. Mater. Chem. Phys. 2011, 129, 919–924. [Google Scholar] [CrossRef]
- Chen, S.S.; Zhu, Y.H.; Li, W.; Liu, W.J.; Li, L.C.; Yang, Z.H.; Liu, C.; Yao, W.J.; Lu, X.H.; Feng, X. Synthesis, Features, and applications of mesoporous titania with TiO2(B). Chin. J. Catal. 2010, 31, 605–614. [Google Scholar] [CrossRef]
- Yang, H.G.; Sun, C.H.; Qiao, S.Z.; Zou, J.; Liu, G.; Smith, S.C.; Cheng, H.M.; Lu, G.Q. Anatase TiO2 single crystals with a large percentage of reactive facets. Nature 2008, 453, 638–642. [Google Scholar] [CrossRef] [PubMed]
- Chen, X.B.; Mao, S.S. Titanium dioxide nanomaterials: synthesis, properties, modifications, and applications. Chem. Rev. 2007, 107, 2891–2959. [Google Scholar] [CrossRef] [PubMed]
- Zeng, W.; Liu, T.; Wang, Z.; Tsukimoto, S.; Saito, M.; Ikuhara, Y. Oxygen Adsorption on Anatase TiO2 (101) and (001) Surfaces from First Principles. Mater. Trans. 2010, 51, 171–175. [Google Scholar] [CrossRef]
- Linh, N.H.; Nguyen, T.Q.; Diño, W.A.; Kasai, H. Effect of oxygen vacancy on the adsorption of O2 on anatase TiO2 (001): A DFT-based study. Surf. Sci. 2015, 633, 38–45. [Google Scholar] [CrossRef]
- Tomić, M.; Šetka, M.; Chmela, O.; Gràcia, I.; Figueras, E.; Cané, C.; Vallejos, S. Cerium Oxide-Tungsten Oxide Core-Shell Nanowire-Based Microsensors Sensitive to Acetone. Biosensors 2018, 8, 116. [Google Scholar] [CrossRef]
- Asadzadeh-Firouzabadi, A.; Zare, H. Preparation and application of AgNPs/SWCNTs nanohybrid as an electroactive label for sensitive detection of miRNA related to lung cancer. Sens. Actuators B Chem. 2018, 260, 824–831. [Google Scholar] [CrossRef]
- Jörissen, L. Bifunctional oxygen/air electrodes. J. Power Sources 2006, 155, 23–32. [Google Scholar] [CrossRef]
- Chi, X.W.; Tang, Y.G.; Zeng, X.Q. Electrode Reactions Coupled with Chemical Reactions of Oxygen, Water and Acetaldehyde in an Ionic Liquid: New Approaches for Sensing Volatile Organic Compounds. Electrochim. Acta 2016, 216, 171–180. [Google Scholar] [CrossRef]
- Ji, Q.Q.; Bi, L.; Zhang, J.T.; Cao, H.J.; Zhao, X.S. The role of oxygen vacancies of ABO perovskite oxides in the oxygen reduction reaction. Energy Environ. Sci. 2020, 13, 1408–1428. [Google Scholar] [CrossRef]
- Feng, H.F.; Xu, Z.F.; Ren, L.; Liu, C.; Zhuang, J.C.; Hu, Z.P.; Xu, X.; Chen, J.; Wang, J.; Hao, W.C.; et al. Activating Titania for Efficient Electrocatalysis by Vacancy Engineering. ACS Catal. 2018, 8, 4288–4293. [Google Scholar] [CrossRef]
- Kousar, F.; Rasheed, U.; Khalil, R.M.A.; Niaz, N.A.; Hussain, F.; Imran, M.; Shakoor, U.; Algadi, H.; Ashiq, N. First principles investigation of oxygen vacancies filaments in polymorphic Titania and their role in memristor’s applications. Chaos Solitons Fractals 2021, 148, 111024. [Google Scholar] [CrossRef]
- Lu, J.; Qian, G.; Luo, L.; He, H.; Yin, S. Contributions of oxygen vacancies to the hydrogen evolution catalytic activity of tungsten oxides. Int. J. Hydrogen Energy 2021, 46, 676–682. [Google Scholar] [CrossRef]





| No. | miRNA | Squences |
|---|---|---|
| 1,2 | miR-141 Match probe Mismatch probes | 5′-UAACACUGUCUGGUAAGAUGG-3′ 5′-CCATCTTTACCAGACAGTGTTA-3′ |
| 3 | 5′-ACATCTTTACCAGACAGTGTTA-3′ | |
| 4 | 5′-GCATCTTTACCAGACAGTGTTA-3′ | |
| 5 | 5′-TCATCTTTACCAGACAGTGTTA-3′ | |
| 6 | 5′-CCATCTTTACCCGACAGTGTTA-3′ | |
| 7 | 5′-CCATCTTTACCGGACAGTGTTA-3′ | |
| 8 | 5′-CCATCTTTACCTGACAGTGTTA-3′ | |
| 9 | 5′-CCATCTTTACCAGACAGTGTTC-3′ | |
| 10 | 5′-CCATCTTTACCAGACAGTGTTG-3′ |
| No. | miRNA | Squences |
|---|---|---|
| 1 | miR-21 Match probe Mismatch probes | 5′-TAGCTTATCAGACTGATGTTGA-3′ 5′-TCAACATCAGTCTGATAAGCTA-3′ |
| 2 | 5′-TCAACATCAGTGTGATAAGCTA-3′ | |
| 3 | 5′-TCAACATCAGTTTGATAAGCTA-3′ | |
| 4 | 5′-TCAACATCAGTCTGATCAGCTA-3′ | |
| 5 | 5′-TCAACATCAGTCTGATAAGATA-3′ |
| No. | miRNA | Squences |
|---|---|---|
| 1 | miR-1290 Match probe Mismatch probes | 5′-TGGATTTTTGGATCAGGGA-3′ 5′-TCCCTGATCCAAAAATCCA-3′ |
| 2 | 5′-TCCCTGATCAAAAAATCCA-3′ | |
| 3 | 5′-TCCCTGATCGAAAAATCCA-3′ | |
| 4 | 5′-TCCCTGATCTAAAAATCCA-3′ | |
| 5 | 5′-TCGCTGATCCAAAAATCCA-3′ | |
| 6 | 5′-TCCCGGATCCAAAAATCCA-3′ | |
| 7 | 5′-TCCCTGATCCAAACATCCA-3′ | |
| 8 | 5′-TCCCTGATCCAAAAATACA-3′ |
Publisher’s Note: MDPI stays neutral with regard to jurisdictional claims in published maps and institutional affiliations. |
© 2022 by the authors. Licensee MDPI, Basel, Switzerland. This article is an open access article distributed under the terms and conditions of the Creative Commons Attribution (CC BY) license (https://creativecommons.org/licenses/by/4.0/).
Share and Cite
Cui, J.; Wang, X.; Chen, S. Ho2O3-TiO2 Nanobelts Electrode for Highly Selective and Sensitive Detection of Cancer miRNAs. Biosensors 2022, 12, 800. https://doi.org/10.3390/bios12100800
Cui J, Wang X, Chen S. Ho2O3-TiO2 Nanobelts Electrode for Highly Selective and Sensitive Detection of Cancer miRNAs. Biosensors. 2022; 12(10):800. https://doi.org/10.3390/bios12100800
Chicago/Turabian StyleCui, Jingjie, Xuping Wang, and Shaowei Chen. 2022. "Ho2O3-TiO2 Nanobelts Electrode for Highly Selective and Sensitive Detection of Cancer miRNAs" Biosensors 12, no. 10: 800. https://doi.org/10.3390/bios12100800
APA StyleCui, J., Wang, X., & Chen, S. (2022). Ho2O3-TiO2 Nanobelts Electrode for Highly Selective and Sensitive Detection of Cancer miRNAs. Biosensors, 12(10), 800. https://doi.org/10.3390/bios12100800

