Development of Novel Magneto-Biosensor for Sulfapyridine Detection
Abstract
1. Introduction
2. Materials and Methods
2.1. Reagents and Apparatus
2.2. Preparation of Oil-in-Water Magnetic Emulsion
2.3. Electrochemical Measurements
2.4. Fabrication of the Biosensor
2.5. Process for Biosensor Bio-Functionalization
2.6. Preparation of Magnetic Nanoparticles
2.7. Preparation of the MNP-Ab Labels
2.8. Magneto-ELISA for MNP-Ab155/SA7-HRP
3. Results
3.1. Characterization of the Magnetic Nanoparticles
3.2. Characterization of CMA-Modified Electrode.
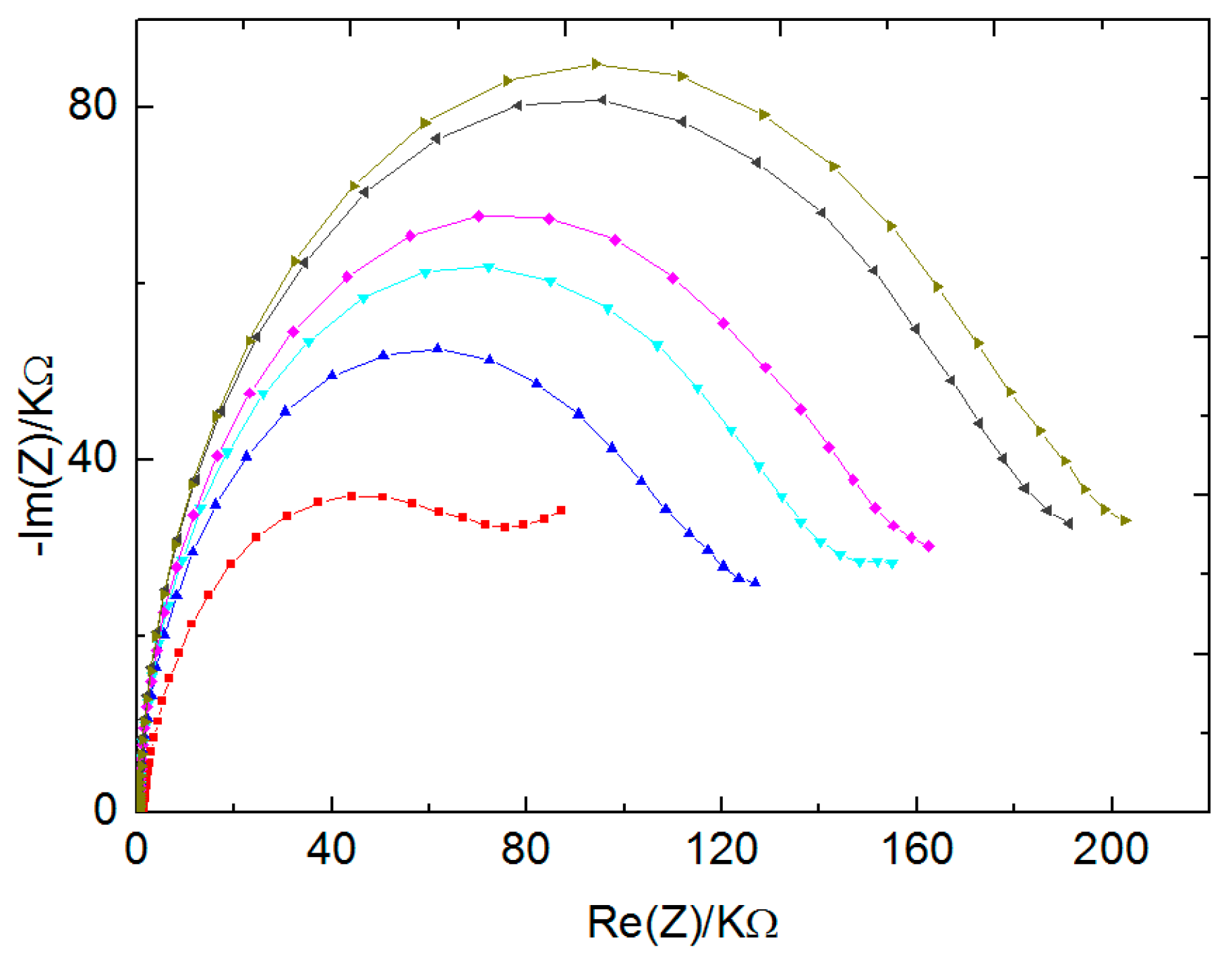
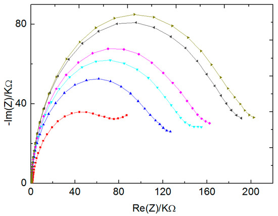
3.3. Titration Assay for Ab155 to SA2BSA Coated Wes by EIS
3.4. Competitive Assay for the Detection of Sulfapyridine (SPY) Usin SA2-BSA Coated Electrode with Ab155
3.5. Competitive Assay for the Detection of Sulfapyridine (SPY) Usin SA2-BSA Coated Electrode with MNP-Ab155
4. Conclusions
Author Contributions
Funding
Conflicts of Interest
References
- Rosi-Marshall, E.J.; Kelly, J.J. Antibiotic Stewardship Should Consider Environmental Fate of Antibiotics. Environ. Sci. Technol. 2015, 49, 5257–5258. [Google Scholar] [CrossRef] [PubMed]
- Ge, L.; Zhang, P.; Halsall, C.; Li, Y.; Chen, C.-E.; Li, J.; Sun, H.; Yao, Z. The importance of reactive oxygen species on the aqueous phototransformation of sulfonamide antibiotics: Kinetics, pathways, and comparisons with direct photolysis. Water Res. 2019, 149, 243–250. [Google Scholar] [CrossRef] [PubMed]
- Acosta-Rangel, A.; Sánchez-Polo, M.; Rozalen, M.; Rivera-Utrilla, J.; Polo, A.M.S.; Mota, A.J. Comparative Study of the Oxidative Degradation of Different 4-Aminobenzene Sulfonamides in Aqueous Solution by Sulfite Activation in the Presence of Fe(0), Fe(II), Fe(III) Or Fe(VI). Water 2019, 11, 2332. [Google Scholar] [CrossRef]
- Li, L.; Lin, Z.; Huang, Z.; Peng, A. Rapid detection of sulfaguanidine in fish by using a photonic crystal molecularly imprinted polymer. Food Chem. 2019, 281, 57–62. [Google Scholar] [CrossRef] [PubMed]
- Yan, C.; Yang, Y.; Zhou, J.; Liu, M.; Nie, M.; Shi, H.; Gu, L. Antibiotics in the surface water of the Yangtze Estuary: Occurrence, distribution and risk assessment. Environ. Pollut. 2013, 175, 22–29. [Google Scholar] [CrossRef]
- Pang, G.-F.; Cao, Y.-Z.; Zhang, J.-J.; Li, X.-M.; Li, Z.-Y.; Jia, G.-Q.; Fan, C.-L. Liquid chromatography–fluorescence detection for simultaneous analysis of sulfonamide residues in honey. Anal. Bioanal. Chem. 2003, 376, 534–541. [Google Scholar] [CrossRef]
- Wang, Y.-C.; Hsieh, F.-C.; Wang, J.-L.; Shu, Y.-Y. Solvent pulse desorption on-line solid-phase extraction combined with high-performance liquid chromatographic determination of 14 sulfonamides in environmental water samples. Anal. Methods 2019, 11, 4370–4375. [Google Scholar] [CrossRef]
- Georgiadis, D.-E.; Tsalbouris, A.; Kabir, A.; Furton, K.G.; Samanidou, V. Novel capsule phase microextraction in combination with high performance liquid chromatography with diode array detection for rapid monitoring of sulfonamide drugs in milk. J. Sep. Sci. 2019, 42, 1440–1450. [Google Scholar] [CrossRef]
- Hassani, N.E.A.E.; Baraket, A.; Neto, E.T.T.; Lee, M.; Salvador, J.P.; Marco, M.-P.; Bausells, J.; Bari, N.E.; Bouchikhi, B.; Elaissari, A.; et al. Novel Strategy for Sulfapyridine Detection Using a Fully Integrated Bio-MEMS: Application to Honey Analysis. Procedia Technol. 2017, 27, 254–255. [Google Scholar] [CrossRef]
- Hassani, N.E.A.E.; Baraket, A.; Boudjaoui, S.; Neto, E.T.T.; Bausells, J.; Bari, N.E.; Bouchikhi, B.; Elaissari, A.; Errachid, A.; Zine, N. Development and application of a novel electrochemical immunosensor for tetracycline screening in honey using a fully integrated electrochemical Bio-MEMS. Biosens. Bioelectron. 2019, 130, 330–337. [Google Scholar] [CrossRef]
- Muriano, A.; Chabottaux, V.; Diserens, J.-M.; Granier, B.; Sanchez-Baeza, F.; Marco, M.-P. Rapid immunochemical analysis of the sulfonamide-sugar conjugated fraction of antibiotic contaminated honey samples. Food Chem. 2015, 178, 156–163. [Google Scholar] [CrossRef] [PubMed]
- Valera, E.; Muriano, A.; Pividori, I.; Sánchez-Baeza, F.; Marco, M.-P. Development of a Coulombimetric immunosensor based on specific antibodies labeled with CdS nanoparticles for sulfonamide antibiotic residues analysis and its application to honey samples. Biosens. Bioelectron. 2013, 43, 211–217. [Google Scholar] [CrossRef] [PubMed]
- Adrian, J.; Pasche, S.; Diserens, J.-M.; Sánchez-Baeza, F.; Gao, H.; Marco, M.-P.; Voirin, G. Waveguide interrogated optical immunosensor (WIOS) for detection of sulfonamide antibiotics in milk. Biosens. Bioelectron. 2009, 24, 3340–3346. [Google Scholar] [CrossRef] [PubMed]
- Su, D.; Wu, K.; Krishna, V.D.; Klein, T.; Liu, J.; Feng, Y.; Perez, A.M.; Cheeran, M.C.-J.; Wang, J.-P. Detection of Influenza a Virus in Swine Nasal Swab Samples with a Wash-Free Magnetic Bioassay and a Handheld Giant Magnetoresistance Sensing System. Front. Microbiol. 2019, 10, 1077. [Google Scholar] [CrossRef]
- Klein, T.; Wang, W.; Yu, L.; Wu, K.; Boylan, K.L.M.; Vogel, R.I.; Skubitz, A.P.N.; Wang, J.-P. Development of a multiplexed giant magnetoresistive biosensor array prototype to quantify ovarian cancer biomarkers. Biosens. Bioelectron. 2019, 126, 301–307. [Google Scholar] [CrossRef]
- Brezulianu, A.; Geman, O.; Zbancioc, M.D.; Hagan, M.; Aghion, C.; Hemanth, D.J.; Son, L.H. IoT Based Heart Activity Monitoring Using Inductive Sensors. Sensors 2019, 19, 3284. [Google Scholar] [CrossRef]
- Azie, O.; Greenberg, Z.F.; Batich, C.D.; Dobson, J.P. Carbodiimide Conjugation of Latent Transforming Growth Factor β1 to Superparamagnetic Iron Oxide Nanoparticles for Remote Activation. Int. J. Mol. Sci. 2019, 20, 3190. [Google Scholar] [CrossRef]
- Hien, L.T.; Quynh, L.K.; Huyen, V.T.; Tu, B.D.; Hien, N.T.; Phuong, D.M.; Nhung, P.H.; Giang, D.T.H.; Duc, N.H. DNA-magnetic bead detection using disposable cards and the anisotropic magnetoresistive sensor. Adv. Nat. Sci. Nanosci. Nanotechnol. 2016, 7, 045006. [Google Scholar] [CrossRef]
- Jamshaid, T.; Tenorio-Neto, E.T.; Eissa, M.M.; Zine, N.; Kunita, M.H.; Errachid, A.; Elaissari, A. Magnetic particles: From preparation to lab-on-a-chip, biosensors, microsystems and microfluidics applications. Trends Anal. Chem. 2016, 79, 344–362. [Google Scholar] [CrossRef]
- Jamshaid, T.; Tenorio-Neto, E.T.; Eissa, M.; Zine, N.; Errachid, A.; Kunita, M.H.; Elaissari, A. Preparation and characterization of submicron hybrid magnetic latex particles. Polym. Adv. Technol. 2015, 26, 1102–1108. [Google Scholar] [CrossRef]
- Tenório-Neto, E.T.; Baraket, A.; Kabbaj, D.; Zine, N.; Errachid, A.; Fessi, H.; Kunita, M.H.; Elaissari, A. Submicron magnetic core conducting polypyrrole polymer shell: Preparation and characterization. Mater. Sci. Eng. C 2016, 61, 688–694. [Google Scholar] [CrossRef] [PubMed]
- Jamshaid, T.; Eissa, M.; Zine, N.; El-Salhi, A.E.; Ahmad, N.M.; Elaissari, A. Chapter 9: Soft Hybrid Nanoparticles: From Preparation to Biomedical Applications. In Soft Nanoparticles for Biomedical Applications; Royal Society of Chemistry: Edinburgh, UK, 2014; pp. 312–341. [Google Scholar]
- Font, H.; Adrian, J.; Galve, R.; Estévez, M.-C.; Castellari, M.; Gratacós-Cubarsí, M.; Sánchez-Baeza, F.; Marco, M.-P. Immunochemical Assays for Direct Sulfonamide Antibiotic Detection In Milk and Hair Samples Using Antibody Derivatized Magnetic Nanoparticles. J. Agric. Food Chem. 2008, 56, 736–743. [Google Scholar] [CrossRef] [PubMed]
- Montagne, F.; Mondain-Monval, O.; Pichot, C.; Mozzanega, H.; Elaissari, A. Preparation and characterization of narrow sized (o/w) magnetic emulsion. J. Magn. Magn. Mater. 2002, 250, 302–312. [Google Scholar] [CrossRef]
- Montagne, F.; Braconnot, S.; Mondain-Monval, O.; Pichot, C.; Elaïssari, A. Colloidal and Physicochemical Characterization of Highly Magnetic O/W Magnetic Emulsions. J. Dispers. Sci. Technol. 2003, 24, 821–832. [Google Scholar] [CrossRef]
- Gallardo-Gonzalez, J.; Baraket, A.; Boudjaoui, S.; Metzner, T.; Hauser, F.; Rößler, T.; Krause, S.; Zine, N.; Streklas, A.; Alcácer, A.; et al. A fully integrated passive microfluidic Lab-on-a-Chip for real-time electrochemical detection of ammonium: Sewage applications. Sci. Total Environ. 2019, 653, 1223–1230. [Google Scholar] [CrossRef]
- Allongue, P.; Delamar, M.; Desbat, B.; Fagebaume, O.; Hitmi, R.; Pinson, J.; Savéant, J.-M. Covalent Modification of Carbon Surfaces by Aryl Radicals Generated from the Electrochemical Reduction of Diazonium Salts. J. Am. Chem. Soc. 1997, 119, 201–207. [Google Scholar] [CrossRef]
- Lagonotte, P.; Ilie, V.A.R.; Martemianov, S.; Thomas, A. Extrapolation to zero frequency with first time constant of ferri-ferrocyanide/Pt interface using Foster equivalent circuit and factorized modelling. J. Electroanal. Chem. 2019, 839, 256–263. [Google Scholar] [CrossRef]











© 2020 by the authors. Licensee MDPI, Basel, Switzerland. This article is an open access article distributed under the terms and conditions of the Creative Commons Attribution (CC BY) license (http://creativecommons.org/licenses/by/4.0/).
Share and Cite
Jamshaid, T.; Tenório-Neto, E.T.; Baraket, A.; Lebaz, N.; Elaissari, A.; Sanchís, A.; Salvador, J.-P.; Marco, M.-P.; Bausells, J.; Errachid, A.; et al. Development of Novel Magneto-Biosensor for Sulfapyridine Detection. Biosensors 2020, 10, 43. https://doi.org/10.3390/bios10040043
Jamshaid T, Tenório-Neto ET, Baraket A, Lebaz N, Elaissari A, Sanchís A, Salvador J-P, Marco M-P, Bausells J, Errachid A, et al. Development of Novel Magneto-Biosensor for Sulfapyridine Detection. Biosensors. 2020; 10(4):43. https://doi.org/10.3390/bios10040043
Chicago/Turabian StyleJamshaid, Talha, Ernandes Taveira Tenório-Neto, Abdoullatif Baraket, Noureddine Lebaz, Abdelhamid Elaissari, Ana Sanchís, J.-Pablo Salvador, M.-Pilar Marco, Joan Bausells, Abdelhamid Errachid, and et al. 2020. "Development of Novel Magneto-Biosensor for Sulfapyridine Detection" Biosensors 10, no. 4: 43. https://doi.org/10.3390/bios10040043
APA StyleJamshaid, T., Tenório-Neto, E. T., Baraket, A., Lebaz, N., Elaissari, A., Sanchís, A., Salvador, J.-P., Marco, M.-P., Bausells, J., Errachid, A., & Zine, N. (2020). Development of Novel Magneto-Biosensor for Sulfapyridine Detection. Biosensors, 10(4), 43. https://doi.org/10.3390/bios10040043

