Endohedral Fullerene Fe@C28 Adsorbed on Au(111) Surface as a High-Efficiency Spin Filter: A Theoretical Study
Abstract
1. Introduction
2. Materials and Methods
3. Results
3.1. Electronic Structure of Fe@C28
3.2. Adsorption Properties
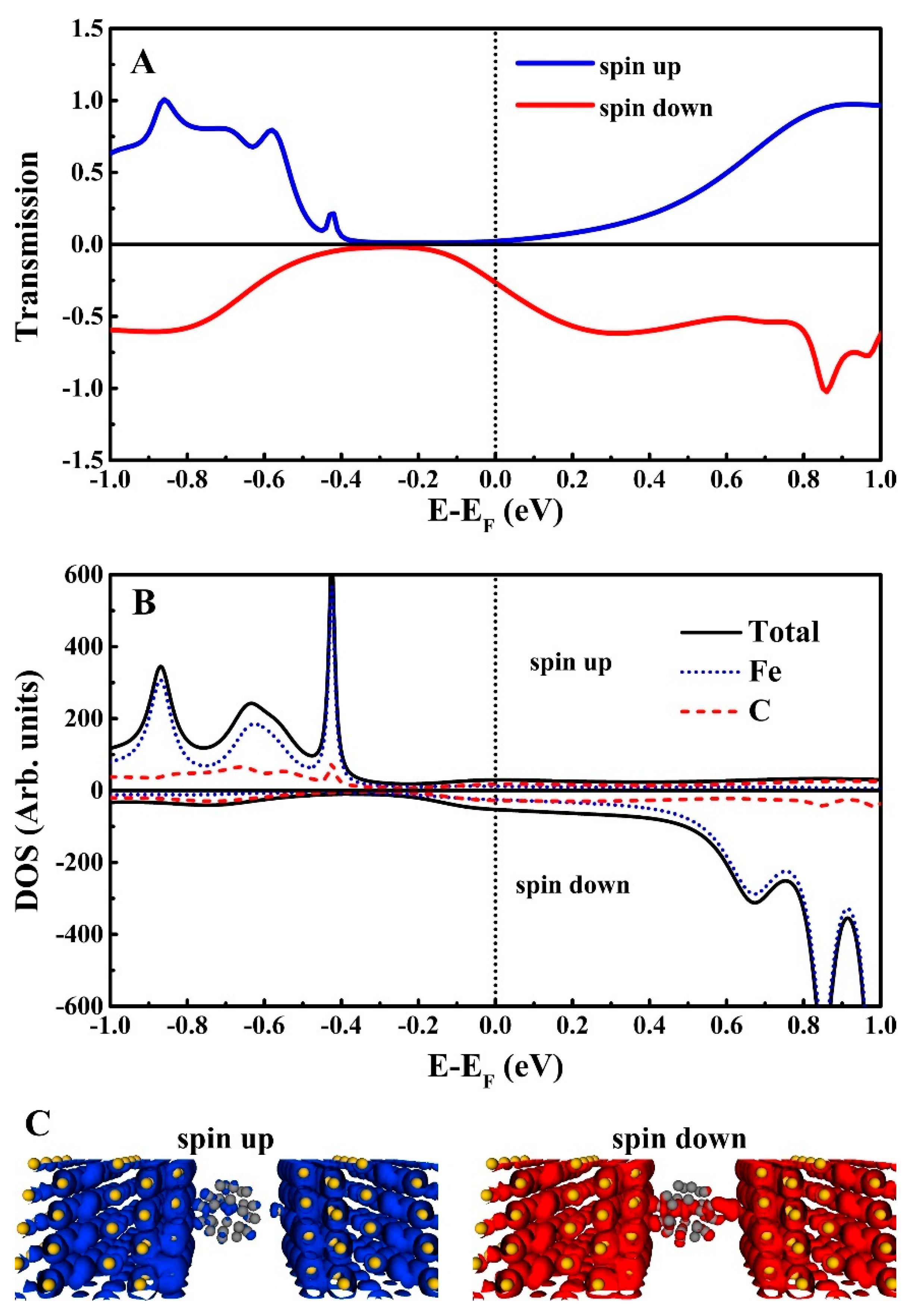
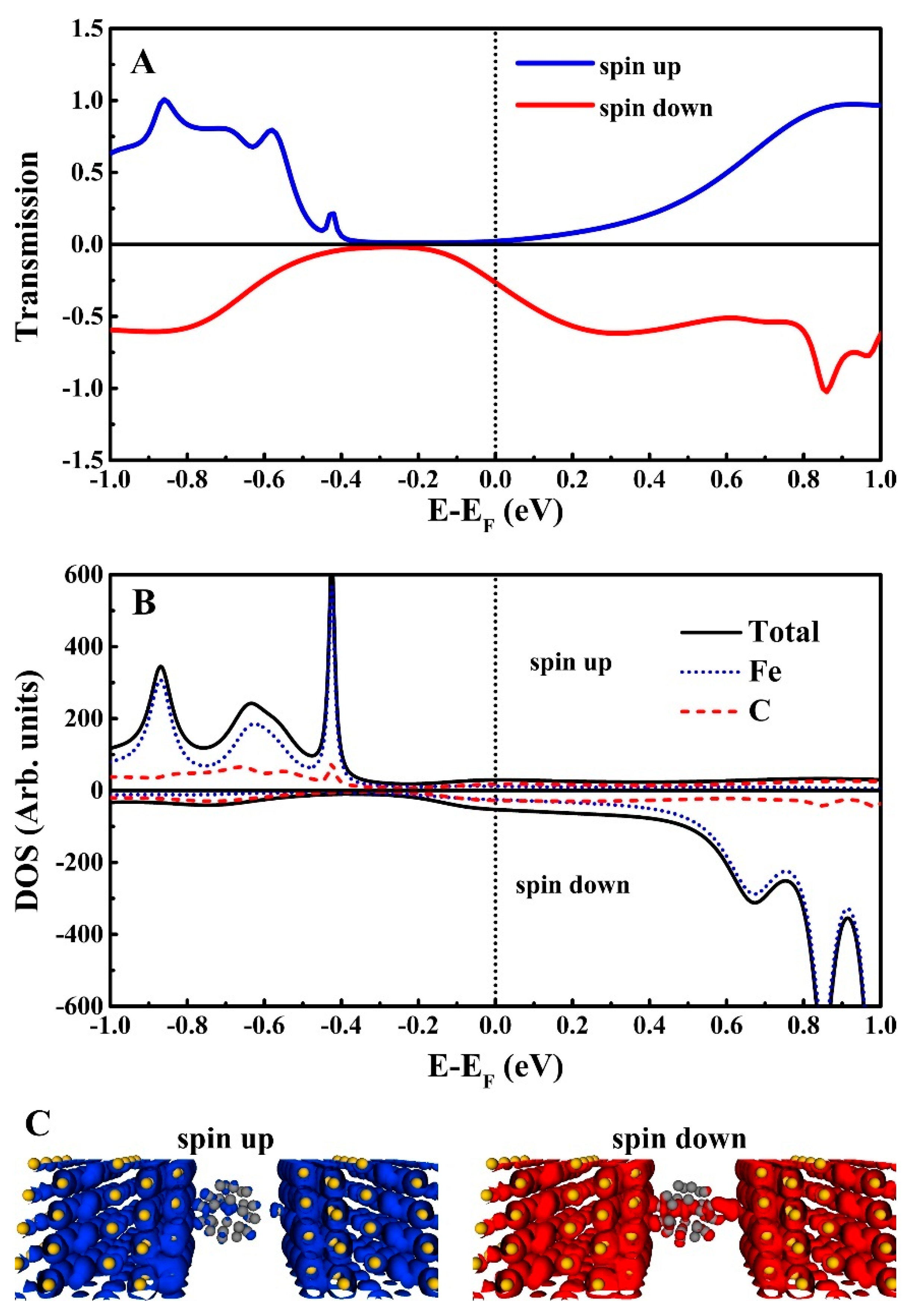
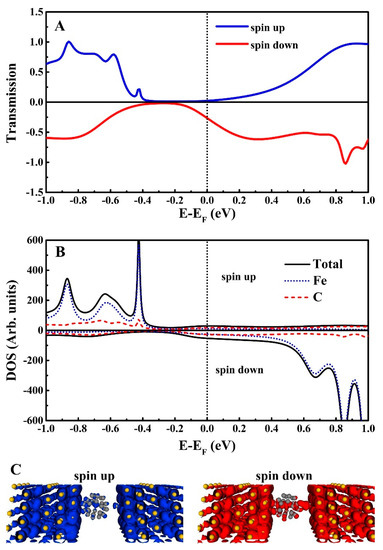
3.3. Transport Properties
4. Conclusions
Author Contributions
Funding
Acknowledgments
Conflicts of Interest
References
- de Bruijckere, J.; Gehring, P.; Palacios-Corella, M.; Clemente-Leon, M.; Coronado, E.; Paaske, J.; Hedegard, P.; van der Zant, H.S.J. Ground-State Spin Blockade in a Single-Molecule Junction. Phys. Rev. Lett. 2019, 122, 197701. [Google Scholar] [CrossRef] [PubMed]
- Li, D.Z.; Banerjee, R.; Mondal, S.; Maliyov, I.; Romanova, M.; Dappe, Y.J.; Smogunov, A. Symmetry aspects of spin filtering in molecular junctions: Hybridization and quantum interference effects. Phys. Rev. B 2019, 99, 115403. [Google Scholar] [CrossRef]
- Mishra, S.; Poonia, V.S.; Fontanesi, C.; Naaman, R.; Fleming, A.M.; Burrows, C.J. Effect of Oxidative Damage on Charge and Spin Transport in DNA. J. Am. Chem. Soc. 2019, 141, 123–126. [Google Scholar] [CrossRef] [PubMed]
- Li, R.N.; Li, N.; Wang, H.; Weismann, A.; Zhang, Y.J.; Hou, S.M.; Wu, K.; Wang, Y.F. Tuning the spin-related transport properties of FePc on Au(111) through single-molecule chemistry. Chem. Commun. 2018, 54, 9135. [Google Scholar] [CrossRef] [PubMed]
- Banerjee, A.; Pal, A.J. All-Organic Dual Spin Valves with Well-Resolved Four Resistive-States. Small 2018, 14, 1801510. [Google Scholar] [CrossRef] [PubMed]
- Cardoso, C.; Soriano, D.; García-Martínez, N.A. Fernández-Rossier, J. Van der Waals Spin Valves. Phys. Rev. Lett. 2018, 121, 067701. [Google Scholar] [CrossRef]
- Guo, L.D.; Gu, X.R.; Zhu, X.W.; Sun, X.N. Recent Advances in Molecular Spintronics: Multifunctional Spintronic Devices. Adv. Mater. 2019, 1805355. [Google Scholar] [CrossRef] [PubMed]
- Cornia, A.; Seneor, P. The molecular way. Nat. Mater. 2017, 16, 505–506. [Google Scholar] [CrossRef]
- Urdampilleta, M.; Klayatskaya, S.; Ruben, M.; Wernsdorfer, W. Magnetic Interaction Between a Radical Spin and a Single-Molecule Magnet in a Molecular Spin-Valve. ACS Nano 2015, 9, 4458–4464. [Google Scholar] [CrossRef]
- Perrin, M.L.; Enrique Burzurí, E.; van der Zant, H.S.J. Single-molecule transistors. Chem. Soc. Rev. 2015, 44, 902–919. [Google Scholar] [CrossRef]
- Zhang, X.M.; Ai, X.W.; Zhang, R.X.; Ma, Q.L.; Wang, Z.C.; Qin, G.W.; Wang, J.W.; Wang, S.G.; Suzuki, K.; Miyazaki, T.; et al. Spin conserved electron transport behaviors in fullerenes (C60 and C70) spin valves. Carbon 2016, 106, 202–207. [Google Scholar] [CrossRef]
- Liang, S.H.; Geng, R.G.; Yang, B.S.; Zhao, W.B.; Subedi, R.C.; Li, X.G.; Han, X.F.; Nguyen, T.D. Curvature-enhanced Spin-orbit Coupling and Spinterface Effect in Fullerene-based Spin Valves. Sci. Rep. 2016, 6, 19461. [Google Scholar] [CrossRef] [PubMed]
- Liu, H.L.; Wang, J.Y.; Groesbeck, M.; Pan, X.; Zhang, C.; Vardeny, Z.V. Studies of spin related processes in fullerene C60 devices. J. Mater. Chem. C 2018, 14, 3621–3627. [Google Scholar] [CrossRef]
- Çakır, D.; Otálvaro, D.M.; Brocks, G. From spin-polarized interfaces to giant magnetoresistance in organic spin valves. Phys. Rev. B 2014, 89, 115407. [Google Scholar] [CrossRef]
- Çakır, D.; Otálvaro, D.M.; Brocks, G. Magnetoresistance in multilayer fullerene spin valves: A first-principles study. Phys. Rev. B 2014, 90, 245404. [Google Scholar] [CrossRef]
- Caliskan, S. A first principles study on spin resolved electronic properties of X@C70 (X = N, B) endohedral fullerene based molecular devices. Physica E 2019, 108, 83–89. [Google Scholar] [CrossRef]
- Wang, W.; Guo, Y.D.; Yan, X.H. The spin-dependent transport of transition metal encapsulated B40 fullerene. RSC Adv. 2016, 6, 40155–40161. [Google Scholar] [CrossRef]
- An, Y.P.; Zhang, M.J.; Wu, D.P.; Fu, Z.M.; Wang, T.X.; Xia, C.X. Electronic transport properties of the first all-boron fullerene B40 and its metallofullerene Sr@B40. Phys. Chem. Chem. Phys. 2016, 18, 12024–12028. [Google Scholar] [CrossRef]
- Guo, T.; Diener, M.D.; Chai, Y.; Alford, M.J.; Haufler, R.E.; McClure, S.M.; Ohno, T.; Weaver, J.H.; Scuseria, G.E.; Smalley, R.E. Uranium Stabilization of C28: A Tetravalent Fullerene. Science 1992, 18, 1661–1664. [Google Scholar] [CrossRef]
- Garg, I.; Sharma, H.; Kapila, N.; Dharamvira, K.; Jindala, V.K. Transition metal induced magnetism in smaller fullerenes(Cn for n ≤ 36). Nanoscale 2011, 3, 217–224. [Google Scholar] [CrossRef]
- Wang, Y.; Diaz-Tendero, S.; Alcami, A.; Martin, F. Aromaticity, Coulomb repulsion, π delocalization or strain: who is who in endohedral metallofullerene stability? Phys. Chem. Chem. Phys. 2019, 21, 124–131. [Google Scholar] [CrossRef] [PubMed]
- Xu, D.X.; Xie, W.Y.; Gao, Y.; Jiang, W.R.; Wang, Z.G. Altered superatomic properties of U@C28 by the electron rearrangement via adatom defects. Chem. Phys. Lett. 2018, 712, 20–24. [Google Scholar] [CrossRef]
- Miralrio, A.; Sansores, L.E. On the search of stable, aromatic and ionic endohedral compounds of C28: A theoretical study. Comput. Theor. Chem. 2016, 1083, 53–63. [Google Scholar] [CrossRef]
- Muñoz-Castro, A.; King, R.B. Evaluation of bonding, electron affinity, and optical properties of M@C28 (M = Zr, Hf, Th, and U): Role of d- and f-orbitals in endohedral fullerenes from relativistic DFT calculations. J. Comput. Chem. 2017, 38, 44–50. [Google Scholar] [CrossRef] [PubMed]
- Adjizian, J.J.; Vlandas, A.; Rio, J.; Charlier, J.C.; Ewels, C.P. Ab initio infrared vibrational modes for neutral and charged small fullerenes. Phil. Trans. R. Soc. A 2016, 374, 20150323. [Google Scholar] [CrossRef] [PubMed]
- Sharma, A.; Kaur, S.; Sharma, H.; Mudahar, I. Electronic and magnetic properties of small fullerene carbon nanobuds: A DFT study. Mater. Res. Express 2018, 5, 065032. [Google Scholar] [CrossRef]
- Montiel, F.; Miralrio, A.; Sansores, L.E.; Fomine, S. Complexes of graphene nanoribbons with porphyrins and metal-encapsulated C28 as molecular rectifiers: a theoretical study. Mol. Simulat. 2017, 9, 706–713. [Google Scholar] [CrossRef]
- Muñoz-Castro, A. Fulfilling the 2(N+1)2 Hirsch rule in smaller hollow fullerenes. Evaluation of long-range magnetic behavior and NMR patterns of C28, C284-, C24N4, and C28H4. Int J Quantum Chem. 2018, 118, e25645. [Google Scholar]
- Soler, J.M.; Artacho, E.; Gale, J.D.; García, A.; Junquera, J.; Ordejón, P.; Sánchez-Portal, D. The SIESTA method for ab initio order-N materials simulation. J. Phys. Condens. Matter. 2002, 14, 2745–2779. [Google Scholar] [CrossRef]
- Perdew, J.P.; Burke, K.; Ernzerhof, M. Generalized Gradient Approximation Made Simple. Phys. Rev. Lett. 1996, 77, 3865–3868. [Google Scholar] [CrossRef]
- Taylor, J.; Guo, H.; Wang, J. Ab initio modeling of quantum transport properties of molecular electronic devices. Phys. Rev. B 2001, 63, 245407. [Google Scholar] [CrossRef]
- Waldron, D.; Haney, P.; Larade, B.; MacDonald, A.; Guo, H. Nonlinear Spin Current and Magnetoresistance of Molecular Tunnel Junctions. Phys. Rev. Lett. 2006, 96, 166804. [Google Scholar] [CrossRef] [PubMed]
- Rascón-Ramos, H.; Artés, J.M.; Li, Y.H.; Hihath, J. Binding configurations and intramolecular strain in single-molecule devices. Nat. Mater. 2015, 14, 517–522. [Google Scholar] [CrossRef] [PubMed]
- Kim, Y.H.; Kim, H.S.; Lee, J.; Tsutsui, M.; Kawai, T. Stretching-Induced Conductance Variations as Fingerprints of Contact Configurations in Single-Molecule Junctions. J. Am. Chem. Soc. 2017, 139, 8286–8294. [Google Scholar] [CrossRef] [PubMed]
- Ramachandran, R.; Li, H.P.B.; Lo, W.Y.; Neshchadin, A.; Yu, L.P.; Hihath, J. An Electromechanical Approach to Understanding Binding Configurations in Single-Molecule Devices. Nano Lett. 2018, 18, 6638–6644. [Google Scholar] [CrossRef] [PubMed]
- Karimi, M.A.; Bahoosh, S.G.; Herz, M.; Hayakawa, R.; Pauly, F.; Scheer, E. Shot Noise of 1,4-Benzenedithiol Single-Molecule Junctions. Nano. Lett. 2016, 16, 1803–1807. [Google Scholar] [CrossRef] [PubMed]
- Xin, N.; Guan, J.X.; Zhou, C.G.; Chen, X.J.N.; Gu, C.H.; Li, Y.; Ratner, M.A.; Nitzan, A.; Stoddart, J.F.; Guo, X.F. Concepts in the design and engineering of single-molecule electronic devices. Nat. Rev. Phys. 2019, 1, 221–230. [Google Scholar] [CrossRef]
- Sharma, A.; Tulapurkar, A.; Muralidharan, B. Ultrasensitive Nanoscale Magnetic-Field Sensors Based on Resonant Spin Filtering. IEEE T. Electron Dev. 2016, 63, 4527–4534. [Google Scholar] [CrossRef]






© 2019 by the authors. Licensee MDPI, Basel, Switzerland. This article is an open access article distributed under the terms and conditions of the Creative Commons Attribution (CC BY) license (http://creativecommons.org/licenses/by/4.0/).
Share and Cite
Xu, K.; Yang, T.; Feng, Y.; Ruan, X.; Liu, Z.; Liang, G.; Wang, X. Endohedral Fullerene Fe@C28 Adsorbed on Au(111) Surface as a High-Efficiency Spin Filter: A Theoretical Study. Nanomaterials 2019, 9, 1068. https://doi.org/10.3390/nano9081068
Xu K, Yang T, Feng Y, Ruan X, Liu Z, Liang G, Wang X. Endohedral Fullerene Fe@C28 Adsorbed on Au(111) Surface as a High-Efficiency Spin Filter: A Theoretical Study. Nanomaterials. 2019; 9(8):1068. https://doi.org/10.3390/nano9081068
Chicago/Turabian StyleXu, Ke, Tie Yang, Yu Feng, Xin Ruan, Zhenyan Liu, Guijie Liang, and Xiaotian Wang. 2019. "Endohedral Fullerene Fe@C28 Adsorbed on Au(111) Surface as a High-Efficiency Spin Filter: A Theoretical Study" Nanomaterials 9, no. 8: 1068. https://doi.org/10.3390/nano9081068
APA StyleXu, K., Yang, T., Feng, Y., Ruan, X., Liu, Z., Liang, G., & Wang, X. (2019). Endohedral Fullerene Fe@C28 Adsorbed on Au(111) Surface as a High-Efficiency Spin Filter: A Theoretical Study. Nanomaterials, 9(8), 1068. https://doi.org/10.3390/nano9081068

