Homogeneous Core/Shell NiMoO4@NiMoO4 and Activated Carbon for High Performance Asymmetric Supercapacitor
Abstract
1. Introduction
2. Experimental Section
2.1. Materials Synthesis
2.2. Preparation of SOWAs
2.3. Preparation of Nanowire Arrays with Same Mass as Sample II
2.4. Preparation of an AC Electrode
2.5. Materials Characterization
2.6. Electrochemical Measurements
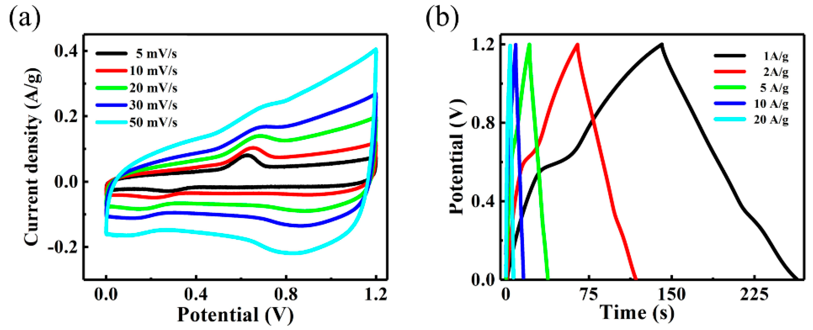
3. Results and Discussion
4. Conclusions
Supplementary Materials
Author Contributions
Funding
Conflicts of Interest
Abbreviations
References
- Nishino, A. Capacitors: Operating principles, current market and technical trends. J. Power Sources 1996, 60, 137–147. [Google Scholar] [CrossRef]
- Brousse, T.; Bélanger, D.; Long, J.W. To be or not to be pseudocapacitive. J. Electrochem. Soc. 2015, 162, A5185–A5189. [Google Scholar] [CrossRef]
- Xiao, W.; Chen, J.S.; Li, C.M.; Xu, R.; Lou, X.W. Synthesis, characterization, and lithium storage capability of AMoO4 (A = Ni, Co) nanorods. Chem. Mater. 2009, 22, 746–754. [Google Scholar] [CrossRef]
- Chen, S.; Zhu, J.W.; Wu, X.D.; Han, Q.F.; Wang, X. Graphene Oxide−MnO2 Nanocomposites for Supercapacitors. ACS Nano 2010, 4, 2822–2830. [Google Scholar] [CrossRef] [PubMed]
- Huang, Y.; Huang, Y.; Meng, W.; Zhu, M.; Xue, H.; Lee, C.-S.; Zhi, C. Enhanced tolerance to stretch-induced performance degradation of stretchable MnO2-based supercapacitors. ACS Appl. Mater. Interfaces 2015, 7, 2569–2574. [Google Scholar] [CrossRef] [PubMed]
- Xu, J.; Wang, Q.F.; Wang, X.W.; Xiang, Q.Y.; Liang, B.; Chen, D.; Shen, G.Z. Flexible Asymmetric Supercapacitors Based upon Co9S8 Nanorod//Co3O4@RuO2 Nanosheet Arrays on Carbon Cloth. ACS Nano 2013, 7, 5453–5462. [Google Scholar] [CrossRef] [PubMed]
- Hu, C.C.; Chang, K.H.; Lin, M.C.; Wu, Y.T. Design and Tailoring of the Nanotubular Arrayed Architecture of Hydrous RuO2 for Next Generation Supercapacitors. Nano Lett. 2006, 6, 2690–2695. [Google Scholar] [CrossRef]
- Ge, X.J.; He, Y.; Plachy, T.; Kazantseva, N.; Saha, P.; Cheng, Q.L. Hierarchical PANI/NiCo-LDH Core-Shell Composite Networks on Carbon Cloth for High Performance Asymmetric Supercapacitor. Nanomaterials 2019, 9, 527. [Google Scholar] [CrossRef]
- Yang, H.B.; Zhu, X.Q.; Zhu, E.H.; Lou, G.B.; Wu, Y.T.; Lu, Y.Z.; Wang, H.Y.; Song, J.T.; Tao, Y.J.; Pei, G.; et al. Electrochemically Stable Cobalt–Zinc Mixed Oxide/Hydroxide Hierarchical Porous Film Electrode for High-Performance Asymmetric Supercapacitor. Nanomaterials 2019, 9, 345. [Google Scholar] [CrossRef]
- Kenney, M.J.; Gong, M.; Li, Y.G.; Wu, J.Z.; Feng, J.; Lanza, M.; Dai, H.J. High-Performance Silicon Photoanodes Passivated with Ultrathin Nickel Films for Water Oxidation. Science 2013, 342, 836–840. [Google Scholar] [CrossRef]
- Xiao, K.; Xia, L.; Liu, G.; Wang, S.; Ding, L.-X.; Wang, H. Honeycomb-like NiMoO4 ultrathin nanosheet arrays for high-performance electrochemical energy storage. J. Mater. Chem. A 2015, 3, 6128–6135. [Google Scholar] [CrossRef]
- Liu, M.C.; Kong, L.B.; Lu, C.; Ma, X.J.; Li, X.M.; Luo, Y.C.; Kang, L. Design and synthesis of CoMoO4–NiMoO4 x H2O bundles with improved electrochemical properties for supercapacitors. J. Mater. Chem. A 2013, 1, 1380–1387. [Google Scholar] [CrossRef]
- Jiang, J.; Li, Y.; Liu, J.; Huang, X.; Yuan, C.; Lou, X.W.D. Recent advances in metal oxide-based electrode architecture design for electrochemical energy storage. Adv. Mater. 2012, 24, 5166–5180. [Google Scholar] [CrossRef]
- Simon, P.; Gogotsi, Y. Materials for electrochemical capacitors. Nat. Mater. 2008, 7, 845–854. [Google Scholar] [CrossRef]
- Zhang, H.; Yu, X.; Braun, P.V. Three-dimensional bicontinuous ultrafast-charge and-discharge bulk battery electrodes. Nat. Nanotechnol. 2011, 6, 277. [Google Scholar] [CrossRef]
- Liu, B.; Zhang, J.; Wang, X.; Chen, G.; Chen, D.; Zhou, C.; Shen, G. Hierarchical three-dimensional ZnCo2O4 nanowire arrays/carbon cloth anodes for a novel class of high-performance flexible lithium-ion batteries. Nano Lett. 2012, 12, 3005–3011. [Google Scholar] [CrossRef]
- Cheng, H.; Lu, Z.G.; Deng, J.Q.; Chung, C.; Zhang, K.; Li, Y.Y. A facile method to improve the high rate capability of Co3O4 nanowire array electrodes. Nano Res. 2010, 3, 895–901. [Google Scholar] [CrossRef]
- Shen, L.; Uchaker, E.; Zhang, X.; Cao, G. Hydrogenated Li4Ti5O12 nanowire arrays for high rate lithium ion batteries. Adv. Mater. 2012, 24, 6502–6506. [Google Scholar] [CrossRef]
- Wang, W.; Tian, M.; Abdulagatov, A.; George, S.M.; Lee, Y.C.; Yang, R. Three-dimensional Ni/TiO2 nanowire network for high areal capacity lithium ion microbattery applications. Nano Lett. 2012, 12, 655–660. [Google Scholar] [CrossRef]
- Chan, C.K.; Peng, H.; Liu, G.; McIlwrath, K.; Zhang, X.F.; Huggins, R.A.; Cui, Y. High-performance lithium battery anodes using silicon nanowires. Nat. Nanotechnol. 2008, 3, 31–35. [Google Scholar] [CrossRef]
- Kim, J.H.; Zhu, K.; Yan, Y.; Perkins, C.L.; Frank, A.J. Microstructure and pseudocapacitive properties of electrodes constructed of oriented NiO-TiO2 nanotube arrays. Nano Lett. 2010, 10, 4099–4104. [Google Scholar] [CrossRef]
- Xia, X.; Tu, J.; Zhang, Y.; Wang, X.; Gu, C.; Zhao, X.B.; Fan, H.J. High-quality metal oxide core/shell nanowire arrays on conductive substrates for electrochemical energy storage. ACS Nano 2012, 6, 5531–5538. [Google Scholar] [CrossRef]
- Guan, C.; Li, X.; Wang, Z.; Cao, X.; Soci, C.; Zhang, H.; Fan, H.J. Nanoporous walls on macroporous foam: Rational design of electrodes to push areal pseudocapacitance. Adv. Mater. 2012, 24, 4186–4190. [Google Scholar] [CrossRef]
- Yu, D.; Chen, C.; Xie, S.; Liu, Y.; Park, K.; Zhou, X.; Zhang, Q.; Li, J.; Cao, G. Mesoporous vanadium pentoxide nanofibers with significantly enhanced Li-ion storage properties by electrospinning. Energy Environ. Sci. 2011, 4, 858–861. [Google Scholar] [CrossRef]
- Luo, Y.; Luo, J.; Jiang, J.; Zhou, W.; Yang, H.; Qi, X.; Zhang, H.; Fan, H.J.; Denis, Y.; Li, C.M. Seed-assisted synthesis of highly ordered TiO2@α-Fe2O3 core/shell arrays on carbon textiles for lithium-ion battery applications. Energy Environ. Sci. 2012, 5, 6559–6566. [Google Scholar] [CrossRef]
- Chen, H.; Yu, L.; Zhang, J.M.; Liu, C.P. Construction of hierarchical NiMoO4@MnO2 nanosheet arrays on titanium mesh for supercapacitor electrodes. Ceram. Int. 2016, 42, 18058–18063. [Google Scholar] [CrossRef]
- Zhao, J.; Liu, F.Q.; Li, W.H. Phosphate Ion-Modified RuO2/Ti3C2 Composite as a High-Performance Supercapacitor Material. Nanomaterials 2019, 9, 377. [Google Scholar] [CrossRef]
- Chen, H.; Fan, M.; Li, C.; Tian, G.; Lv, C.; Chen, D.; Shu, K.; Jiang, J. One-pot synthesis of hollow NiSe-CoSe nanoparticles with improved performance for hybrid supercapacitors. J. Power Sources 2016, 329, 314–322. [Google Scholar] [CrossRef]
- Chang, J.; Jin, M.; Yao, F.; Kim, T.H.; Le, V.T.; Yue, H.; Gunes, F.; Li, B.; Ghosh, A.; Xie, S. Asymmetric supercapacitors based on graphene/MnO2 nanospheres and graphene/MoO3 nanosheets with high energy density. Adv. Funct. Mater. 2013, 23, 5074–5083. [Google Scholar] [CrossRef]
- Hu, X.; Xiong, W.; Wang, W.; Qin, S.L.; Cheng, H.Y.; Zeng, Y.; Wang, B.; Zhu, Z.H. Hierarchical Manganese Dioxide/Poly(3,4-ethylenedioxythiophene) Core-Shell Nanoflakes on Ramie-Derived Carbon Fiber for HighPerformance Flexible All-Solid-State Supercapacitor. ACS Sustain. Chem. Eng. 2016, 4, 1201–1211. [Google Scholar] [CrossRef]
- Jothi, P.R.; Kannan, S.; Velayutham, G. Enhanced methanol electro-oxidation over in-situ carbon and graphene supported one dimensional NiMoO4 nanorods. J. Power Sources 2015, 277, 350–359. [Google Scholar] [CrossRef]
- Lu, X.; Zheng, D.; Zhai, T.; Liu, Z.; Huang, Y.; Xie, S.; Tong, Y. Facile synthesis of large-area manganese oxide nanorod arrays as a high-performance electrochemical supercapacitor. Energy Environ. Sci. 2011, 4, 2915–2921. [Google Scholar] [CrossRef]
- Cui, L.; Li, J.; Zhang, X.-G. Preparation and properties of Co3O4 nanorods as supercapacitor material. J. Appl. Electrochem. 2009, 39, 1871. [Google Scholar] [CrossRef]
- Zhang, G.; Lou, X.W.D. Controlled growth of NiCo2O4 nanorods and ultrathin nanosheets on carbon nanofibers for high-performance supercapacitors. Sci. Rep. 2013, 3, 1470. [Google Scholar] [CrossRef]
- Liu, H.; He, P.; Li, Z.; Sun, D.; Huang, H.; Li, J.; Zhu, G. Crystalline vanadium pentoxide with hierarchical mesopores and its capacitive behavior. Chem. Asian J. 2006, 1, 701–706. [Google Scholar] [CrossRef]
- Shen, L.; Che, Q.; Li, H.; Zhang, X. Mesoporous NiCo2O4 nanowire arrays grown on carbon textiles as binder-free flexible electrodes for energy storage. Adv. Funct. Mater. 2014, 24, 2630–2637. [Google Scholar] [CrossRef]
- Zhang, L.; Wang, J.; Zhu, J.; Zhang, X.; San Hui, K.; Hui, K.N. 3D porous layered double hydroxides grown on graphene as advanced electrochemical pseudocapacitor materials. J. Mater. Chem. A 2013, 1, 9046–9053. [Google Scholar] [CrossRef]
- Dong, J.Y.; Zhang, N.; Lin, S.Y.; Chen, T.T.; Zhang, M.Y.; Wu, L.L.; Gao, H.; Zhang, X.T. Effect of Morphology of ZnCo2O4 Nanostructures on Electrochemical Performance. NANO 2016, 11, 1650089. [Google Scholar] [CrossRef]
- Dong, J.Y.; Zhang, X.T. The preparation and electrochemical characterization of urchin-like NiCo2O4 nanostructures. Appl. Surf. Sci. 2015, 332, 247–252. [Google Scholar] [CrossRef]
- Cai, D.; Wang, D.; Liu, B.; Wang, Y.; Liu, Y.; Wang, L.; Li, H.; Huang, H.; Li, Q.; Wang, T. Comparison of the electrochemical performance of NiMoO4 nanorods and hierarchical nanospheres for supercapacitor applications. ACS Appl. Mater. Interfaces 2013, 5, 12905–12910. [Google Scholar] [CrossRef]
- Guo, D.; Zhang, P.; Zhang, H.; Yu, X.; Zhu, J.; Li, Q.; Wang, T. NiMoO4 nanowires supported on Ni foam as novel advanced electrodes for supercapacitors. J. Mater. Chem. A 2013, 1, 9024–9027. [Google Scholar] [CrossRef]
- Huang, J.; Lei, T.; Wei, X.; Liu, X.; Liu, T.; Cao, D.; Yin, J.; Wang, G. Effect of Al-doped β-Ni(OH)2 nanosheets on electrochemical behaviors for high performance supercapacitor application. J. Power Sources 2013, 232, 370–375. [Google Scholar] [CrossRef]
- Shakir, I.; Shahid, M.; Yang, H.W.; Kang, D.J. Structural and electrochemical characterization of α-MoO3 nanorod-based electrochemical energy storage devices. Electrochim. Acta 2010, 56, 376–380. [Google Scholar] [CrossRef]
- Hu, C.C.; Chen, E.; Lin, J.Y. Capacitive and textural characteristics of polyaniline-platinum composite films. Electrochim. Acta 2002, 47, 2741–2749. [Google Scholar] [CrossRef]
- Xing, L.L.; Chen, X.; Tan, Z.X.; Chi, M.Z.; Xie, W.T.; Huang, J.Y.; Liang, Y.R.; Zheng, M.T.; Hu, H.; Dong, H.W.; et al. Synthesis of Porous Carbon Material with Suitable Graphitization Strength for High Electrochemical Capacitors. ACS Sustain. Chem. Eng. 2019, 7, 6601–6610. [Google Scholar] [CrossRef]
- Veerasubramani, G.K.; Chandrasekhar, A.; Sudhakaran, M.; Mok, Y.S.; Kim, S.J. Liquid electrolyte mediated flexible pouch-type hybrid supercapacitor based on binderless core–shell nanostructures assembled with honeycomb-like porous carbon. J. Mater. Chem. A 2017, 5, 11100–11113. [Google Scholar] [CrossRef]
- Li, M.; Xu, S.; Cherry, C.; Zhu, Y.; Wu, D.; Zhang, C.; Zhang, X.; Huang, R.; Qi, R.; Wang, L. Hierarchical 3-dimensional CoMoO4 nanoflakes on a macroporous electrically conductive network with superior electrochemical performance. J. Mater. Chem. A 2015, 3, 13776–13785. [Google Scholar] [CrossRef]
- Balamurugan, J.; Li, C.; Aravindan, V.; Kim, N.H.; Lee, J.H. Hierarchical Ni-Mo-S and Ni-Fe-S Nanosheets with Ultrahigh Energy Density for Flexible All Solid-State Supercapacitors. Adv. Funct. Mater. 2018, 28, 1803287. [Google Scholar] [CrossRef]
- Liu, M.; Fu, Y.; Ma, H.; Wang, T.; Guan, C.; Hu, K. Flower-like manganese-cobalt oxysulfide supported on Ni foam as a novel faradaic electrode with commendable performance. Electrochim. Acta 2016, 191, 916–922. [Google Scholar] [CrossRef]
- Guo, D.; Luo, Y.; Yu, X.; Li, Q.; Wang, T. High performance NiMoO4 nanowires supported on carbon cloth as advanced electrodes for symmetric supercapacitors. Nano Energy 2014, 8, 174–182. [Google Scholar] [CrossRef]
- Wang, J.; Zhang, L.; Liu, X.; Zhang, X.; Tian, Y.; Liu, X.; Zhao, J.; Li, Y. Assembly of flexible CoMoO4@NiMoO4· xH2O and Fe2O3 electrodes for solid-state asymmetric supercapacitors. Sci. Rep. 2017, 7, 41088. [Google Scholar] [CrossRef] [PubMed]
- Shi, X.Z.; Zhang, S.; Chen, X.C.; Ewa, M. Evaluation of Nanoporous Carbon Synthesized from Direct Carbonization of a Metal–Organic Complex as a Highly Effective Dye Adsorbent and Supercapacitor. Nanomaterials 2019, 9, 601. [Google Scholar] [CrossRef] [PubMed]
- Zhang, H.S.; Xiao, W.; Zhou, W.J.; Chen, S.Y.; Zhang, Y.H. Hierarchical Porous Carbon Derived from Sichuan Pepper for High-Performance Symmetric Supercapacitor with Decent Rate Capability and Cycling Stability. Nanomaterials 2019, 9, 553. [Google Scholar] [CrossRef] [PubMed]
- Li, X.; Sun, W.; Wang, L.; Qi, Y.; Guo, T.; Zhao, X.; Yan, X. Three-dimensional hierarchical self-supported NiCo2O4/carbon nanotube core–shell networks as high performance supercapacitor electrodes. RSC Adv. 2015, 5, 7976–7985. [Google Scholar] [CrossRef]
- Yu, D.; Ge, L.; Wei, X.; Wu, B.; Ran, J.; Wang, H.; Xu, T. A general route to the synthesis of layer-by-layer structured metal organic framework/graphene oxide hybrid films for high-performance supercapacitor electrodes. J. Mater. Chem. A 2017, 5, 16865–16872. [Google Scholar] [CrossRef]
- Elshahawy, A.M.; Guan, C.; Li, X.; Zhang, H.; Hu, Y.; Wu, H.; Pennycook, S.J.; Wang, J. Sulfur-doped cobalt phosphide nanotube arrays for highly stable hybrid supercapacitor. Nano Energy 2017, 39, 162–171. [Google Scholar] [CrossRef]
- Banerjee, A.; Bhatnagar, S.; Upadhyay, K.K.; Yadav, P.; Ogale, S. Hollow Co0.85Se nanowire array on carbon fiber paper for high rate pseudocapacitor. ACS Appl. Mater. Interfaces 2014, 6, 18844–18852. [Google Scholar] [CrossRef]
- Xu, K.; Zou, R.; Li, W.; Liu, Q.; Liu, X.; An, L.; Hu, J. Design and synthesis of 3D interconnected mesoporous NiCo2O4@CoxNi1−x(OH)2 core-shell nanosheet arrays with large areal capacitance and high rate performance for supercapacitors. J. Mater. Chem. A 2014, 2, 10090–10097. [Google Scholar] [CrossRef]
- Qing, C.; Liu, Y.; Sun, X.; OuYang, X.; Wang, H.; Sun, D.; Wang, B.; Zhou, Q.; Xu, L.; Tang, Y. Controlled growth of NiMoO4·H2O nanoflake and nanowire arrays on Ni foam for superior performance of asymmetric supercapacitors. RSC Adv. 2016, 6, 67785–67793. [Google Scholar] [CrossRef]
- Yin, Z.; Chen, Y.; Zhao, Y.; Li, C.; Zhu, C.; Zhang, X. Hierarchical nanosheet-based CoMoO4-NiMoO4 nanotubes for applications in asymmetric supercapacitors and the oxygen evolution reaction. J. Mater. Chem. A 2015, 3, 22750–22758. [Google Scholar] [CrossRef]
- Senthilkumar, B.; Meyrick, D.; Lee, Y.-S.; Selvan, R.K. Synthesis and improved electrochemical performances of nano β-NiMoO4–CoMoO4·xH2O composites for asymmetric supercapacitors. RSC Adv. 2013, 3, 16542–16548. [Google Scholar] [CrossRef]







© 2019 by the authors. Licensee MDPI, Basel, Switzerland. This article is an open access article distributed under the terms and conditions of the Creative Commons Attribution (CC BY) license (http://creativecommons.org/licenses/by/4.0/).
Share and Cite
Dong, J.Y.; Xu, J.C.; Hui, K.N.; Yang, Y.; Su, S.C.; Li, L.; Zhang, X.T.; Ng, K.W.; Wang, S.P.; Tang, Z.K. Homogeneous Core/Shell NiMoO4@NiMoO4 and Activated Carbon for High Performance Asymmetric Supercapacitor. Nanomaterials 2019, 9, 1033. https://doi.org/10.3390/nano9071033
Dong JY, Xu JC, Hui KN, Yang Y, Su SC, Li L, Zhang XT, Ng KW, Wang SP, Tang ZK. Homogeneous Core/Shell NiMoO4@NiMoO4 and Activated Carbon for High Performance Asymmetric Supercapacitor. Nanomaterials. 2019; 9(7):1033. https://doi.org/10.3390/nano9071033
Chicago/Turabian StyleDong, Jia Yi, Jin Cheng Xu, Kwun Nam Hui, Ye Yang, Shi Chen Su, Lin Li, Xi Tian Zhang, Kar Wei Ng, Shuang Peng Wang, and Zi Kang Tang. 2019. "Homogeneous Core/Shell NiMoO4@NiMoO4 and Activated Carbon for High Performance Asymmetric Supercapacitor" Nanomaterials 9, no. 7: 1033. https://doi.org/10.3390/nano9071033
APA StyleDong, J. Y., Xu, J. C., Hui, K. N., Yang, Y., Su, S. C., Li, L., Zhang, X. T., Ng, K. W., Wang, S. P., & Tang, Z. K. (2019). Homogeneous Core/Shell NiMoO4@NiMoO4 and Activated Carbon for High Performance Asymmetric Supercapacitor. Nanomaterials, 9(7), 1033. https://doi.org/10.3390/nano9071033

