Challenges in Determining the Location of Dopants, to Study the Influence of Metal Doping on the Photocatalytic Activities of ZnO Nanopowders
Abstract
:1. Introduction
2. Past Reports on the Effects of Co2+ and Mn2+ Impurities
3. Common Interpretation: XRD and UV-Vis Absorption Studies
4. Atomic-Scale Studies
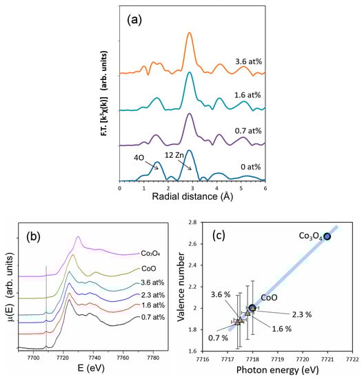
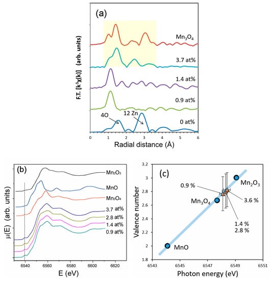
4.1. X-ray Absorption Spectroscopy
4.2. High Resolution Scanning Transmission Electron Microscopy Elemental Mapping
5. Cause of Conflicting Results in the Past Studies
5.1. Cause of Conflicting Results in the Past Studies
5.2. Interpretation of Reduced Photocatalysis Caused by the Addition of Manganese
- (1)
- The surface of ZnO is partially covered with Mn3O4, which reduces the adsorption of dye molecules on the ZnO surface and in turn reduces the rate of dye degradation by the photocatalysis of ZnO.
- (2)
- The small quantity of segregated Mn3O4 nanoparticles and Mn3O4 surface precipitates blocks light coming into ZnO, leading to the reduction of ZnO photocatalysis.
- (3)
- Due to the mixed oxidation state, Mn3O4 can act as a reducing agent. It is reported that, around neutral pH, Mn3O4 acts as an anti-oxidant or a free-radical scavenger [62]. The Mn3O4 precipitates shown in Figure 8 will reduce the number of free radicals that are generated by the photocatalysts of ZnO, leading to the overall reduction of photocatalysis.
- (4)
- A small amount of Mn may be bulk-crystal-doped into ZnO, creating chemical defects that have valence numbers different from that of Zn ions. Such defects may act as charge recombination sites to reduce the number of photo-generated charges.
6. Other Analytical Techniques
7. Conclusions
Supplementary Materials
Author Contributions
Funding
Acknowledgments
Conflicts of Interest
References
- Look, D.C.; Claflin, B.; Alivov, Y.I.; Park, S.J. The future of ZnO light emitters. Phys. Status Solidi 2004, 201, 2203–2212. [Google Scholar] [CrossRef]
- Pan, F.; Song, C.; Liu, X.J.; Yang, Y.C.; Zeng, F. Ferromagnetism and possible application in spintronics of transition-metal-doped ZnO films. Mater. Sci. Eng. R 2008, 62, 1–35. [Google Scholar] [CrossRef]
- Hosono, H. Recent progress in transparent oxide semiconductors: Materials and device application. Thin Solid Films 2007, 515, 6000–6014. [Google Scholar] [CrossRef]
- Tsuzuki, T.; He, R.; Wang, J.; Sun, L.; Wang, X.; Hocking, R. Reduction of the photocatalytic activity of ZnO nanoparticles for UV protection applications. Int. J. Nanotechnol. 2012, 9, 1017–1029. [Google Scholar] [CrossRef]
- Ong, C.B.; Ng, L.Y.; WahabMohammad, A. A review of ZnO nanoparticles as solar photocatalysts: Synthesis, mechanisms and applications. Renew. Sust. Energ. Rev. 2018, 81, 536–551. [Google Scholar] [CrossRef]
- Johar, M.A.; Afzal, R.A.; Alazba, A.A.; Manzoor, U. Photocatalysis and Bandgap Engineering Using ZnO Nanocomposites. Adv. Mater. Sci. Eng. 2015, 2015, 934587. [Google Scholar] [CrossRef]
- Samadi, M.; Zirak, M.; Naseri, A.; Khorashadizade, E.; Moshfegh, A.Z. Recent progress on doped ZnO nanostructures for visible-light photocatalysis. Thin Solid Films 2016, 605, 2–19. [Google Scholar] [CrossRef]
- Huang, F.; Yan, A.; Zhao, H. Influences of Doping on Photocatalytic Properties of TiO2 Photocatalyst. In Semiconductor Photocatalysis—Materials, Mechanisms and Applications; Cao, W., Ed.; InTech: London, UK, 2016; pp. 31–80. [Google Scholar] [CrossRef]
- Kisch, H. Semiconductor Photocatalysis; Wiley-VCH: Weinheim, Germany, 2013. [Google Scholar]
- Jin, Z.; Murakami, M.; Fukumura, T.; Matsumoto, Y.; Ohtomo, A.; Kawasaki, M.; Koinuma, H. Combinatorial laser MBE synthesis of 3d ion doped epitaxial ZnO thin films. J. Cryst. Growth 2000, 214/215, 55–88. [Google Scholar] [CrossRef]
- Ohtani, B. Photocatalysis A to Z—What we know and what we do not know in a scientific sense. J. Photoch. Photobio. C 2010, 11, 157. [Google Scholar] [CrossRef]
- Ohtani, B. Preparing articles on photocatalysis - Beyond illusions, misconceptions and speculation. Chem. Lett. 2008, 37, 217–229. [Google Scholar] [CrossRef]
- Shannon, R.D. Revised effective ionic radii and systematic studies of interatomic distances in halides and chalcogenides. Acta Cryst. 1976, A32, 751–767. [Google Scholar] [CrossRef]
- He, R.; Hocking, R.K.; Tsuzuki, T. Local structure and photocatalytic property of sol–gel synthesized ZnO doped with transition metal oxides. J. Mater. Sci. 2012, 47, 3150–3158. [Google Scholar] [CrossRef]
- He, R.; Hocking, R.K.; Tsuzuki, T. Co-doped ZnO nanopowders: Location of cobalt and reduction in photocatalytic activity. Mater. Chem. Phys. 2012, 132, 1035–1040. [Google Scholar] [CrossRef]
- He, R.; Tang, B.; Ton-That, C.; Phillips, M.; Tsuzuki, T. Physical structure and optical properties of Co-doped ZnO nanoparticles prepared by co-precipitation. J. Nanopart. Res. 2013, 15, 2030. [Google Scholar] [CrossRef]
- Tsuzuki, T.; Smith, Z.; Parker, A.; He, R.; Wang, X. Photocatalytic activity of manganese-doped ZnO nanocrystalline powders. J. Aus. Ceram. Soc. 2009, 45, 58–62. [Google Scholar]
- Meulenkamp, E.A. Synthesis and Growth of ZnO Nanoparticles. J. Phys. Chem. B 1998, 102, 5566–5572. [Google Scholar] [CrossRef]
- Müller, S.; Zhou, M.; Li, Q.; Ronning, C. Intra-shell luminescence of transition-metal-implanted zinc oxide nanowires. Nanotechnology 2009, 20, 135704. [Google Scholar] [CrossRef] [PubMed]
- Šutka, A.; Käämbre, T.; Pärna, R.; Juhnevica, I.; Maiorov, M.; Joost, U.; Kisand, V. Co doped ZnO nanowires as visible light photocatalysts. Solid State Sci. 2016, 56, 54–62. [Google Scholar] [CrossRef]
- Lu, Y.; Lin, Y.; Wang, D.; Wang, L.; Xie, T.; Jiang, T. A High Performance Cobalt-Doped ZnO Visible Light Photocatalyst and Its Photogenerated Charge Transfer Properties. Nano Res. 2011, 4, 1144–1152. [Google Scholar] [CrossRef]
- Xu, C.; Cao, L.; Su, G.; Liu, W.; Qu, X.; Yu, Y. Preparation, characterization and photocatalytic activity of Co-doped ZnO powders. J. Alloys Compound. 2010, 497, 373–376. [Google Scholar] [CrossRef]
- Qiu, X.; Li, G.; Sun, X.; Li, L.; Fu, X. Doping effects of Co2+ ions on ZnO nanorods and their photocatalytic properties. Nanotechnology 2008, 19, 215703. [Google Scholar] [CrossRef]
- Nair, M.G.; Nirmala, M.; Rekha, K.; Anukaliani, A. Structural, optical, photo catalytic and antibacterial activity of ZnO and Co doped ZnO nanoparticles. Mater. Lett. 2011, 65, 1797–1800. [Google Scholar] [CrossRef]
- Lima, M.K.; Fernandes, D.M.; Silva, M.F.; Baesso, M.L.; Neto, A.M.; de Morais, G.R.; Nakamura, C.V.; de Oliveira Caleare, A.; Hechenleitner, A.A.W.; Pineda, E.A.G. Co-doped ZnO nanoparticles synthesized by an adapted sol–gel method: Effects on the structural, optical, photocatalytic and antibacterial properties. J. Sol-Gel Sci. Technol. 2014, 72, 301–309. [Google Scholar] [CrossRef]
- Anandan, M.; Dinesh, S.; Krishnakumar, N.; Balamurugan, K. Influence of Co doping on combined photocatalytic and antibacterial activity of ZnO nanoparticles. Mater. Res. Express 2016, 3, 115009. [Google Scholar] [CrossRef]
- Kuriakose, S.; Satpati, B.; Mohapatra, S. Enhanced photocatalytic activity of Co doped ZnO nanodisks and nanorods prepared by a facile wet chemical method. Phys. Chem. Chem. Phys. 2014, 16, 12741–12749. [Google Scholar] [CrossRef] [PubMed]
- Dodd, A.; McKinley, A.; Tsuzuki, T.; Saunders, M. Tailoring the photocatalytic activity of nanoparticulate zinc oxide by transition metal oxide doping. Mater. Chem. Phys. 2009, 114, 382–386. [Google Scholar] [CrossRef]
- He, R.; Hocking, R.K.; Tsuzuki, T. Local structure and photocatalytic property of mechanochemical synthesized ZnO doped with transition metal oxides. J. Aus. Ceram. Soc. 2013, 49, 76–81. [Google Scholar]
- Gupta, A.; Verma, N.K.; Bhatti, H.S. Effect of killer impurities on optical properties of ZnO at low temperature. J. Low Temp. Phys. 2007, 147, 49–57. [Google Scholar] [CrossRef]
- Coey, J.M.D.; Venkatesan, M.; Fitzgerald, C.B. Donor impurity band exchange in dilute ferromagnetic oxides. Nat. Mater. 2005, 4, 173–179. [Google Scholar] [CrossRef]
- Rao, C.N.R.; Deepak, F.L. Absence of ferromagnetism in Mn- and Co-doped ZnO. J. Mater. Chem. 2005, 15, 573–578. [Google Scholar] [CrossRef]
- Jacob, N.M.; Madras, G.; Kottam, N.; Thomas, T. Multivalent Cu-Doped ZnO Nanoparticles with Full Solar Spectrum Absorbance and Enhanced Photoactivity. Ind. Eng. Chem. Res. 2014, 53, 5895–5904. [Google Scholar] [CrossRef]
- Labhane, P.K.; Huse, V.R.; Patle, L.B.; Chaudhari, A.L.; Sonawane, G.H. Synthesis of Cu Doped ZnO Nanoparticles: Crystallographic, Optical, FTIR, Morphological and Photocatalytic Study. J. Mater. Sci. Chem. Technol. 2015, 3, 39–51. [Google Scholar] [CrossRef]
- Rezaei, M.; Habibi-Yangjeh, A. Simple and large scale refluxing method for preparation of Ce-doped ZnO nanostructures as highly efficient photocatalyst. Appl. Surf. Sci. 2013, 265, 591–596. [Google Scholar] [CrossRef]
- Li, R.; Yabe, S.; Yamashita, M.; Momose, S.; Yoshida, S.; Yin, S.; Sato, T. UV-shielding properties of zinc oxide-doped ceria fine powders derived via soft solution chemical routes. Mater. Chem. Phys. 2002, 39–44. [Google Scholar] [CrossRef]
- Boulares, N.; Guergouri, K.; Zouaghi, R.; Tabet, N.; Lusson, A.; Sibieude, F.; Monty, C. Photoluminescence and photodissociation properties of pure and In2O3 doped ZnO nanophases. Phys. Status Solidi A 2004, 201, 2319–2328. [Google Scholar] [CrossRef]
- Nolan, M.G.; Hamilton, J.A.; O’Brien, S.; Bruno, G.; Pereira, L.; Fortunato, E.; Martins, R.; Povey, I.M.; Pemble, M.E. The characterisation of aerosol assisted CVD conducting, photocatalytic indium doped zinc oxide films. J. Photochem. Photobiol. A 2011, 219, 10–15. [Google Scholar] [CrossRef]
- Ma, Q.; Lv, X.; Wang, Y.; Chen, J. Optical and photocatalytic properties of Mn doped flower-like ZnO hierarchical structures. Opt. Mater. 2016, 60, 86–93. [Google Scholar] [CrossRef]
- Li, W.; Wang, G.; Chen, C.; Liao, J.; Li, Z. Enhanced visible light photocatalytic activity of ZnO Nanowires Doped with Mn2+ and Co2+ Ions. Nanomaterials 2017, 7, 20. [Google Scholar] [CrossRef] [PubMed]
- Yang, Y.; Li, Y.; Zhu, L.; He, H.; Hu, L.; Huang, J.; Hu, F.; Hec, B.; Ye, Z. Shape control of colloidal Mn doped ZnO nanocrystals and their visible light photocatalytic properties. Nanoscale 2013, 5, 10461–10471. [Google Scholar] [CrossRef] [PubMed]
- Achouri, F.; Corbel, S.; Balan, L.; Mozet, K.; Girot, E.; Medjahdi, G. Porous Mn-doped ZnO nanoparticles for enhanced solar and visible light photocatalysis. Mater. Design 2016, 101, 309–316. [Google Scholar] [CrossRef]
- Milenova, K.; Eliyas, A.A.; Blaskov, V.; Stambolova, I.; Kassabova, N. Application of activated M/ZnO (M=Mn, Co, Ni, Cu, Ag) in photocatalytic degradation of diazo textile coloring dye. Environ. Sci. Pollut. Res. 2014, 21, 12249–12256. [Google Scholar] [CrossRef]
- Voicu, G.; Oprea, O.; Vasile, B.S.; Andronescu, E. Photoluminescence and photocatalytic activity of Mn-doped ZnO nanoparticles. Digest J. Nanomater. Biostruct. 2013, 8, 667–675. [Google Scholar]
- Türkyılmaza, Ş.Ş.; Güya, N.; Özacar, M. Photocatalytic efficiencies of Ni, Mn, Fe and Ag doped ZnO nanostructures synthesized by hydrothermal method: The synergistic/antagonistic effect between ZnO and metals. J. Photochem. Photobiol. A 2017, 341, 39–50. [Google Scholar] [CrossRef]
- Kaur, J.; Singhal, S. Facile synthesis of ZnO and transition metal doped ZnO nanoparticles for the photocatalytic degradation of Methyl Orange. Ceram. Int. 2013, 40, 7417–7424. [Google Scholar] [CrossRef]
- Schelonka, D.; Tolasz, J.; Stengl, V. Doping of Zinc Oxide with Selected First Row Transition Metals for Photocatalytic Applications. Photochem. Photobiol. 2015, 91, 1071–1077. [Google Scholar] [CrossRef]
- Barzgari, Z.; Ghazizadeh, A.; Askari, S.Z. Preparation of Mn-doped ZnO nanostructured for photocatalytic degradation of Orange G under solar light. Res. Chem. Intermed. 2016, 42, 4303–4315. [Google Scholar] [CrossRef]
- Dau, H.; Liebisch, P.; Haumann, M. X-ray absorption spectroscopy to analyze nuclear geometry and electronic structure of biological metal centers—potential and questions examined with special focus on the tetra-nuclear manganese complex of oxygenic photosynthesis. Anal. Bioanal. Chem. 2003, 376, 562–583. [Google Scholar] [CrossRef] [PubMed]
- Valério, L.R.; Mamani, N.C.; Zevallos, A.O.d.; Mesquit, A.; Bernardi, M.I.B.; Doriguetto, A.C.; Carvalho, H.B.d. Preparation and structural-optical characterization of dip-coated nanostructured Co-doped ZnO dilute magnetic oxide thin films. RSC Adv. 2017, 7, 20611. [Google Scholar] [CrossRef]
- Grimes, R.W.; Lagerlöf, K.P.D. Polymorphs of cobalt oxide. J. Am. Ceram. Soc. 1991, 74, 270–273. [Google Scholar] [CrossRef]
- Coleman, V.A.; Jagadish, C. Basic properties and applications of ZnO. In Zinc Oxide Bulk, Thin Films and Nanostructures; Jagadish, C., Pearton, S.J., Eds.; Elsevier: Amsterdam, The Netherlands, 2006; pp. 1–20. [Google Scholar]
- Navrotsky, A. Nanoscale effects on thermodynamics and phase equilibria in oxide systems. ChemPhysChem 2011, 12, 2207–2215. [Google Scholar] [CrossRef]
- Zhang, J.Y.; Hwang, J.; Isaac, B.J.; Stemmer, S. Variable-angle high-angle annular dark-field imaging: Application to three-dimensional dopant atom profiling. Sci. Rep. 2015, 5, 124919. [Google Scholar] [CrossRef]
- Hernández, S.; Ottone, C.; Varetti, S.; Fontana, M.; Pugliese, D.; Saracco, G.; Bonelli, B.; Armandi, M. Spin-Coated vs. Electrodeposited Mn Oxide Films as Water Oxidation Catalysts. Materials 2016, 9, 296. [Google Scholar] [CrossRef] [PubMed]
- Ahmed, K.A.M.; Huang, K. Formation of Mn3O4 nanobelts through the solvothermal process and their photocatalytic property. Arab. J. Chem. 2019, 12, 429–439. [Google Scholar] [CrossRef]
- Ullah, A.K.M.A.; Kibria, A.K.M.F.; Akter, M.; Khan, M.N.I.; Tareq, A.R.M.; Firoz, S.H. Oxidative Degradation of Methylene Blue Using Mn3O4 Nanoparticles. Water Conserv. Sci. Eng. 2017, 1, 249–256. [Google Scholar] [CrossRef]
- Wu, Y.; Chu, D.; Yang, P.; Dua, Y.; Lu, C. Ternary mesoporous WO3/Mn3O4/N-doped graphene nanocomposite for enhanced photocatalysis under visible light irradiation. Catal. Sci. Technol. 2015, 5, 3375–3382. [Google Scholar] [CrossRef]
- Ma, Y.; Jiang, J.; Zhu, A.; Tan, P.; Bian, Y.; Zeng, W.; Cui, H.; Pan, J. Enhanced visible-light photocatalytic degradation by Mn3O4/CeO2 heterojunction: A Z-scheme system photocatalyst. Inorg. Chem. Front. 2018, 5, 2579–2586. [Google Scholar] [CrossRef]
- Qamar, M.T.; Aslam, M.; Rehan, Z.A.; Soomro, M.T.; Basahi, J.M.; Ismail, I.M.I.; Almeelbi, T.; Hameed, A. The influence of p-type Mn3O4 nanostructures on the photocatalytic activity of ZnO for the removal of bromo and chlorophenol in natural sunlight exposure. Appl. Catal. B Environ. 2017, 201, 105–118. [Google Scholar] [CrossRef]
- Yin, S.; Wang, X.; Mou, Z.; Wu, Y.; Huang, H.; Zhu, M.; Du, Y.; Yang, P. Synergistic contributions by decreasing overpotential and enhancing charge-transfer in a-Fe2O3/Mn3O4/graphene catalysts with heterostructures for photocatalytic water oxidation. Phys. Chem. Chem. Phys. 2014, 16, 11289–11296. [Google Scholar] [CrossRef]
- Karunakaran, G.; Jagathambal, M.; Kolesnikov, E.; Dmitry, A.; Ishteev, A.; Gusev, A. Floral Biosynthesis of Mn3O4 and Fe2O3 Nanoparticles Using Chaenomeles sp. Flower Extracts for Efficient Medicinal Applications. JOM 2017, 69, 1325–1333. [Google Scholar] [CrossRef]
- Tzeng, L.-J.; Cheng, C.-L.; Chen, Y.-F. Enhancement of band-edge emission induced by defect transition in the composite of ZnO nanorods and CdSe⁄ZnS quantum dots. Opt. Lett. 2008, 33, 569–571. [Google Scholar] [CrossRef]
- Zhao, H.; Zhang, Y.; Li, G.; Tian, F.; Tang, H.; Chen, R. Rhodamine B-sensitized BiOCl hierarchical nanostructure for methyl orange photodegradation. RSC Adv. 2016, 6, 7772–7779. [Google Scholar] [CrossRef]
- He, R. Reduction of the Photocatalytic Activity of ZnO by Impurity Doping. Ph.D. Thesis, Deakin University, Geelong, Australia, 2012. [Google Scholar]
- Szczuko, D.; Werner, J.; Oswald, S.; Behr, G.; Wetzig, K. XPS investigations of surface segregation of doping elements in SnO2. Appl. Surf. Sci. 2001, 179, 301–306. [Google Scholar] [CrossRef]
- Srinet, G.; Varshney, P.; Kumar, R.; Sajal, V.; Kulriya, P.K.; Knobel, M.; Sharma, S.K. Structural, optical and magnetic properties of Zn1-xCoxO prepared by the sol–gel route. Ceram. Int. 2013, 39, 6077–6085. [Google Scholar] [CrossRef]
- Tuschel, D. Effect of Dopants or Impurities on the Raman Spectrum of the Host Crystal. Spectroscopy 2017, 32, 13–18. [Google Scholar]
- Koniakhin, S.V.; Utesov, O.I.; Terterov, I.N.; Siklitskaya, A.V.; Solnyshkov, D.; Yashenkin, A.G. Novel approach to Raman spectra of nanoparticles. J. Phys. Chem. C 2018, 122, 19219–19229. [Google Scholar] [CrossRef]











| Doping at% | Excitation Wavelength Range | Change in Photocatalysis | Synthesis Methods | Reference |
|---|---|---|---|---|
| 0–15 | Visible light | Enhanced | Solvo-thermal | [20] |
| 0–1.5 | Visible light | Enhanced | Solvo-thermal | [21] |
| 0–5 | Visible light | Enhanced | Hydro-thermal | [22] |
| 0–10 | Visible light | Enhanced | Coprecipitation (sol-gel) | [23] |
| 0–5 | UV light | Reduced | Coprecipitation (sol-gel) | [24] |
| 1, 10 | UVC (Hg lamp) | Reduced | Coprecipitation (sol-gel) | [25] |
| 0–9 | UVA (365 nm) | Reduced | Coprecipitation (sol-gel) | [26] |
| 0–10 | UVA (365 nm) | Reduced | Coprecipitation (sol-gel) | [23] |
| 0–10 | Natural sunlight | Identical | Coprecipitation (sol-gel) | [27] |
| 0–5 | Simulated sunlight | Reduced | Coprecipitation (sol-gel) | [15] |
| 0–5 | Hg-Xe lamp | Reduced | Mechanochemical | [28] |
| 0–5 | Simulated sunlight | Reduced | Mechanochemical | [29] |
| Doping at% | Wavelength Range | Change in Photocatalysis | Synthesis Methods | Reference |
|---|---|---|---|---|
| 0–8.3 | Visible light | Enhanced | Coprecipitation (sol-gel) | [39] |
| 6.3 | Visible light | Enhanced | Hydro-thermal | [40] |
| 0–20 | Visible light | Enhanced | Solvothermal | [41] |
| 0–7 | UV (Ne lamp) | Enhanced | Solvo-thermal | [42] |
| 1.8 | UVA (365 nm) | Enhanced | Coprecipitation (sol-gel) | [43] |
| 0–5 | UVC (Hg lamp) | Enhanced | Solvo-thermal | [44] |
| 3.6 | UVC (Hg lamp) | Reduced | Hydro-thermal | [45] |
| 1.0 | UV | Reduced | Thermal decomposition | [46] |
| 0.25 | UVA (365 nm) | Reduced | Coprecipitation (sol-gel) | [47] |
| 6 | Natural sunlight | Enhanced | Coprecipitation (sol-gel) | [48] |
| 0–5 | Hg-Xe lamp | Enhanced | Mechanochemical | [28] |
| 0–5 | Simulated sunlight | Reduced | Mechanochemical | [29] |
| 0–5 | Simulated sunlight | Reduced | Coprecipitation (sol-gel) | [14] |
© 2019 by the authors. Licensee MDPI, Basel, Switzerland. This article is an open access article distributed under the terms and conditions of the Creative Commons Attribution (CC BY) license (http://creativecommons.org/licenses/by/4.0/).
Share and Cite
Tsuzuki, T.; He, R.; Dodd, A.; Saunders, M. Challenges in Determining the Location of Dopants, to Study the Influence of Metal Doping on the Photocatalytic Activities of ZnO Nanopowders. Nanomaterials 2019, 9, 481. https://doi.org/10.3390/nano9030481
Tsuzuki T, He R, Dodd A, Saunders M. Challenges in Determining the Location of Dopants, to Study the Influence of Metal Doping on the Photocatalytic Activities of ZnO Nanopowders. Nanomaterials. 2019; 9(3):481. https://doi.org/10.3390/nano9030481
Chicago/Turabian StyleTsuzuki, Takuya, Rongliang He, Aaron Dodd, and Martin Saunders. 2019. "Challenges in Determining the Location of Dopants, to Study the Influence of Metal Doping on the Photocatalytic Activities of ZnO Nanopowders" Nanomaterials 9, no. 3: 481. https://doi.org/10.3390/nano9030481
APA StyleTsuzuki, T., He, R., Dodd, A., & Saunders, M. (2019). Challenges in Determining the Location of Dopants, to Study the Influence of Metal Doping on the Photocatalytic Activities of ZnO Nanopowders. Nanomaterials, 9(3), 481. https://doi.org/10.3390/nano9030481

