Facile and Ultrasensitive Determination of 4-Nitrophenol Based on Acetylene Black Paste and Graphene Hybrid Electrode
Abstract
:1. Introduction
2. Experimental
2.1. Chemicals and Solutions
2.2. Apparatus and Characterizations
2.3. Synthesis of GR Dispersions
2.4. Preparation of GR/ABPE
2.5. Electrochemical Measurement Procedure
3. Results and Discussion
3.1. Electrochemical Characterization of the Modified Electrodes
3.2. Morphological Investigation
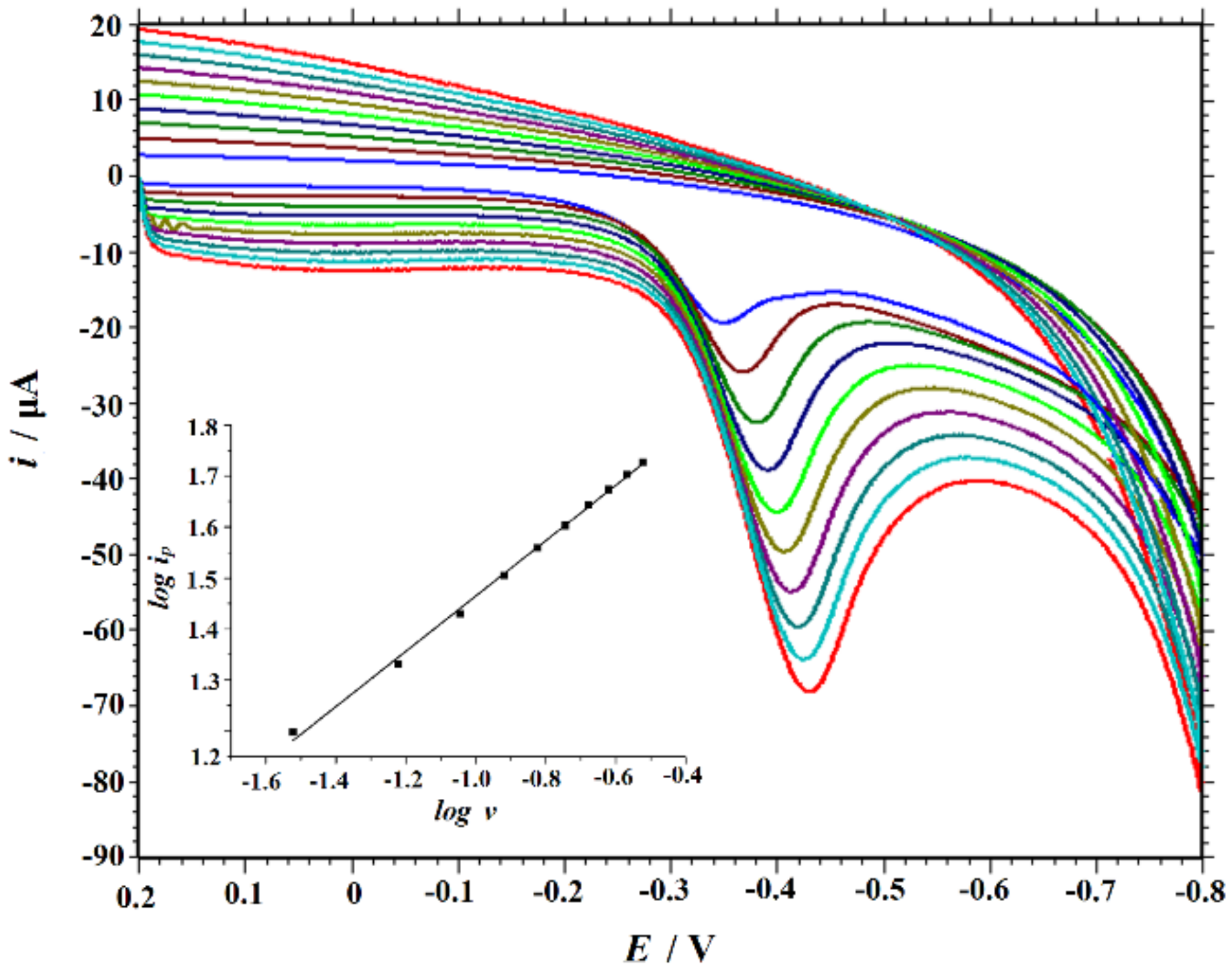
3.3. Electrochemical Behavior of 4-NP at GR/ABPE
3.4. Second-Order Derivative Linear Sweep Voltammetric Response of 4-NP
3.5. Optimization of Electrochemical Determination Parameters
3.5.1. Effect of the Amount of GR Modified onto Electrode Surface
3.5.2. Effect of Supporting Electrolytes and Solution pH
3.5.3. Accumulation Conditions
3.6. Calibration Curve
3.7. Repeatability, Reproducibility, and Stability of the Electrode
3.8. Interferences Test
3.9. Quality Assurance and Quality Control for Water Samples
3.10. Practical Applications
4. Conclusions
Author Contributions
Funding
Conflicts of Interest
References
- Li, J.; Kuang, D.; Feng, Y.; Zhang, F.; Xu, Z.; Liu, M. A graphene oxide-based electrochemical sensor for sensitive determination of 4-nitrophenol. J. Hazard. Mater. 2012, 201, 250–259. [Google Scholar] [CrossRef]
- Zhu, S.; Niu, W.; Li, H.; Han, S.; Xu, G. Single-walled carbon nanohorn as new solid-phase extraction adsorbent for determination of 4-nitrophenol in water sample. Talanta 2009, 79, 1441–1445. [Google Scholar] [CrossRef] [PubMed]
- Almási, A.; Fischer, E.; Perjési, P. A simple and rapid ion-pair HPLC method for simultaneous quantitation of 4-nitrophenol and its glucuronide and sulfate conjugates. J. Biochem. Biophys. Methods 2006, 69, 43–50. [Google Scholar] [CrossRef]
- Thompson, M.J.; Ballinger, L.N.; Cross, S.E.; Roberts, M.S. High-performance liquid chromatographic determination of phenol, 4-nitrophenol, β-naphthol and a number of their glucuronide and sulphate conjugates in organ perfusate. J. Chromatogr. B Biomed. Sci. Appl. 1996, 677, 117–122. [Google Scholar] [CrossRef]
- Niazi, A.; Yazdanipour, A. Spectrophotometric simultaneous determination of nitrophenol isomers by orthogonal signal correction and partial least squares. J. Hazard. Mater. 2007, 146, 421–427. [Google Scholar] [CrossRef]
- Wang, Z.; Zhang, J.; Liu, J.; Zhao, G. Determination of p-nitrophenol in water and waste water by reduction fluorimetry. Chin. J. Anal. Chem. 1993, 21, 581–583. [Google Scholar]
- Nistor, C.; Oubiña, A.; Marco, M.P.; Barceló, D.; Emnéus, J. Competitive flow immunoassay with fluorescence detection for determination of 4-nitrophenol. Anal. Chim. Acta 2001, 426, 185–195. [Google Scholar] [CrossRef]
- Oubiña, A.; Ballesteros, B.; Galve, R.; Barcelo, D.; Marco, M.P. Development and optimization of an indirect enzyme-linked immunosorbent assay for 4-nitrophenol. Application to the analysis of certified water samples. Anal. Chim. Acta 1999, 387, 255–266. [Google Scholar] [CrossRef]
- Kumar, D.R.; Kesavan, S.; Baynosa, M.L.; Shim, J.J. 3,5-Diamino-1,2,4-triazole@electrochemicallly reduced graphene oxide film modified electrode for the electrochemical determination of 4-nitrophenol. Electrochim. Acta 2007, 246, 1131–1140. [Google Scholar] [CrossRef]
- Zhang, Y.H.; Wu, L.H.; Lei, W.; Xia, X.F.; Xia, M.Z.; Hao, Q.L. Electrochemical determination of 4-nitrophenol at polycarbazole/N-doped graphene modified glassy carbon electrode. Electrochim. Acta 2014, 146, 568–576. [Google Scholar] [CrossRef]
- Ikhsan, N.I.; Rameshkumar, P.; Huang, N.M. Controlled synthesis of reduced graphene oxide supported silver nanoparticles for selective and sensitive electrochemical detection of 4-nitrophenol. Electrochim. Acta 2016, 192, 392–399. [Google Scholar] [CrossRef]
- Jiao, X.; Luo, H.; Li, N. Fabrication of graphene–gold nanocomposites by electrochemical co-reduction and their electrocatalytic activity toward 4-nitrophenol oxidation. Electroanal. Chem. 2013, 691, 83–89. [Google Scholar] [CrossRef]
- Huang, W.; Yang, C.; Zhang, S. Simultaneous determination of 2-nitrophenol and 4-nitrophenol based on the multi-wall carbon nanotubes Nafion-modified electrode. Anal. Bioanal. Chem. 2003, 375, 703–707. [Google Scholar] [CrossRef] [PubMed]
- Thirumalraj, B.; Rajkumar, C.; Chen, S.; Lin, K. Determination of 4-nitrophenol in water by use of a screen-printed carbon electrode modified with chitosan-crafted ZnO nanoneedles. J. Colloids Interfaces Sci. 2017, 499, 83–92. [Google Scholar] [CrossRef]
- Giribabu, K.; Haldorai, Y.; Rethinasabapathy, M.; Sang, J.; Narayanan, V. Glassy carbon electrode modified with poly(methyl orange) as an electrochemical platform for the determination of 4-nitrophenol at nanomolar levels. Curr. Appl. Phys. 2017, 17, 1114–1119. [Google Scholar] [CrossRef]
- Zhang, T.; Lang, Q.; Yang, D.; Li, L.; Zeng, L.; Zheng, C.; Li, T.; Wei, M.D.; Liu, A.H. Simultaneous voltammetric determination of nitrophenol isomers at ordered mesoporous carbon modified electrode. Electrochim. Acta 2013, 106, 127–134. [Google Scholar] [CrossRef]
- Xu, X.; Liu, Z.; Zhang, X.; Duan, S.; Xu, S.; Zhou, C. β-Cyclodextrin functionalized mesoporous silica for electrochemical selective sensor: Simultaneous determination of nitrophenol isomers. Electrochim. Acta 2018, 58, 142–149. [Google Scholar] [CrossRef]
- Deng, P.; Xu, Z.; Li, J. Simultaneous voltammetric determination of 2-nitrophenol and 4-nitrophenol based on an acetylene black paste electrode modified with a graphene-chitosan composite. Microchim. Acta 2014, 181, 1077–1084. [Google Scholar] [CrossRef]
- Yin, H.; Zhou, Y.; Ai, S.; Liu, X.; Zhu, L.; Lu, L. Electrochemical oxidative determination of 4-nitrophenol based on a glassy carbon electrode modified with a hydroxyapatite nanopowder. Microchim. Acta 2010, 169, 87–92. [Google Scholar] [CrossRef]
- Novoselov, K.; Geim, A.; Morozov, S.; Jiang, D.; Zhang, Y.; Dubonos, S.; Grigorieva, I.; Firsov, A. Electric field effect in atomically thin carbon films. Science 2004, 306, 666–669. [Google Scholar] [CrossRef]
- He, Q.; Liu, J.; Liu, X.; Li, G.; Deng, P.; Liang, J. Preparation of Cu2O-reduced graphene nanocomposite modified electrodes towards ultrasensitive dopamine detection. Sensors 2018, 18, 199. [Google Scholar] [CrossRef] [PubMed]
- Li, J.; Xu, Z.; Liu, M.; Deng, P.; Tang, S.; Jiang, J.; Feng, H.; Qian, D.; He, L. Ag/N-doped reduced graphene oxide incorporated with molecularly imprinted polymer: An advanced electrochemical sensing platform for salbutamol determination. Biosens. Bioelectron. 2017, 90, 10–216. [Google Scholar] [CrossRef]
- He, Q.; Li, G.; Liu, X.; Liu, J.; Deng, P.; Chen, D. Morphologically tunable MnO2 nanoparticles fabrication, modelling and their influences on electrochemical sensing performance toward dopamine. Catalysts 2018, 8, 323. [Google Scholar] [CrossRef]
- He, Q.; Liu, J.; Liu, X.; Li, G.; Deng, P.; Liang, J. Manganese dioxide nanorods/electrochemicallly reduced graphene oxide nanocomposites modified electrodes for cost-effective and ultrasensitive detection of amaranth. Colloids Surf. B Biointerfaces 2018, 172, 565–572. [Google Scholar] [CrossRef]
- He, Q.; Liu, J.; Liu, X.; Li, G.; Chen, D.; Deng, P.; Liang, J. A promising sensing platform toward dopamine using MnO2 nanowires/electro-reduced graphene oxide composites. Electrochim. Acta 2019, 296, 683–692. [Google Scholar] [CrossRef]
- He, Q.; Liu, J.; Liu, X.; Li, G.; Deng, P.; Liang, J.; Chen, D. Sensitive and selective detection of tartrazine based on TiO2-electrochemically reduced graphene oxide composite-modified electrodes. Sensors 2018, 18, 1911. [Google Scholar] [CrossRef] [PubMed]
- He, Q.; Liu, J.; Liu, X.; Xia, Y.; Li, G.; Deng, P.; Chen, D. Novel electrochemical sensors based on cuprous oxide-electrochemically reduced graphene oxide nanocomposites modified electrode toward sensitive detection of sunset yellow. Molecules 2018, 23, 2130. [Google Scholar] [CrossRef]
- He, Q.; Liu, J.; Liu, X.; Li, G.; Chen, D.; Deng, P.; Liang, J. Fabrication of amine-modified magnetite-electrochemically reduced graphene oxide nanocomposite modified glassy carbon electrode for sensitive dopamine determination. Nanomaterials 2018, 8, 194. [Google Scholar] [CrossRef] [PubMed]
- He, Q.; Liu, J.; Liang, J.; Liu, X.; Tuo, D.; Li, W. Chemically surface tunable solubility parameter for controllable drug delivery—An example and perspective from hollow PAA-coated magnetite nanoparticles with R6G model drug. Materials 2018, 11, 247. [Google Scholar] [CrossRef]
- Jiang, P.; Wang, Y.; Zhao, L.; Ji, C.; Chen, D.; Nie, L. Applications of gold nanoparticles in non-optical biosensors. Nanomaterials 2018, 8, 977. [Google Scholar] [CrossRef]
- Li, J.; Jiang, J.; Xu, Z.; Liu, M.; Tang, S.; Yang, C.; Qian, D. Facile synthesis of Ag@Cu2O heterogeneous nanocrystals decorated N-doped reduced graphene oxide with enhanced electrocatalytic activity for ultrasensitive detection of H2O2. Sens. Actuator B Chem. 2018, 260, 529–540. [Google Scholar] [CrossRef]
- He, Q.; Liu, J.; Liang, J.; Liu, X.; Li, W.; Liu, Z.; Ding, Z.; Tuo, D. Towards improvements for penetrating the blood–brain barrier—Recent progress from a material and pharmaceutical perspective. Cells 2018, 7, 24. [Google Scholar] [CrossRef] [PubMed]
- Deng, P.; Xu, Z.; Li, J.; Kuang, Y. Acetylene black paste electrode modified with a molecularly imprinted chitosan film for the detection of bisphenol A. Microchim. Acta 2013, 180, 861–869. [Google Scholar] [CrossRef]
- Deng, P.; Xu, Z.; Feng, Y. Highly sensitive and simultaneous determination of ascorbic acid and rutin at an acetylene black paste electrode coated with cetyltrimethyl ammonium bromide film. J. Electroanal. Chem. 2012, 683, 47–54. [Google Scholar] [CrossRef]
- Deng, P.; Fei, J.; Feng, Y. Sensitive voltammetric determination of tryptophan using an acetylene black paste electrode modified with a Schiff’s base derivative of chitosan. Analyst 2011, 136, 5211–5217. [Google Scholar] [CrossRef] [PubMed]
- Deng, P.; Fei, J.; Zhang, J.; Feng, Y. Determination of molybdenum by adsorptive anodic stripping voltammetry of molybdenum–alizarin violet complex at an acetylene black paste electrode. Food Chem. 2011, 124, 1231–1237. [Google Scholar] [CrossRef]
- Deng, P.; Feng, Y.; Fei, J. Trace determination of zirconium by adsorptive anodic stripping voltammetry of its complex with alizarin violet using a glassy carbon electrode modified with acetylene black-dihexadecyl hydrogen phosphate composite film. Microchim. Acta 2011, 175, 233–240. [Google Scholar] [CrossRef]
- Deng, P.; Xu, Z.; Feng, Y. Acetylene black paste electrode modified with graphene as the voltammetric sensor for selective determination of tryptophan in the presence of high concentrations of tyrosine. Mater. Sci. Eng. C 2014, 35, 54–60. [Google Scholar] [CrossRef]
- Deng, P.; Xu, Z.; Zeng, R.; Ding, C. Electrochemical behavior and voltammetric determination of vanillin based on an acetylene black paste electrode modified with grapheme–polyvinylpyrrolidone composite film. Food Chem. 2015, 180, 156–163. [Google Scholar] [CrossRef]
- Hummers, W.S.; Offeman, R.E. Preparation of graphitic oxide. J. Am. Chem. Soc. 1958, 80, 1339. [Google Scholar] [CrossRef]
- Li, J.; Chen, J.H.; Zhang, X.L.; Lu, C.H.; Yang, H.H. A novel sensitive detection platform for antitumor herbal drug aloe-emodin based on the graphene modified electrode. Talanta 2010, 83, 553–558. [Google Scholar] [CrossRef] [PubMed]
- Luo, L.; Zou, X.; Ding, Y.; Wu, Q. Derivative voltammetric direct simultaneous determination of nitrophenol isomers at a carbon nanotube modified electrode. Sens. Actuators B Chem. 2008, 135, 61–65. [Google Scholar] [CrossRef]
- Mhammedi, M.A.E.; Achak, M.; Bakasse, M.; Chtaini, A. Electrochemical determination of para-nitrophenol at apatite-modified carbon paste electrode: Application in river water samples. J. Hazard. Mater. 2009, 163, 323–328. [Google Scholar] [CrossRef] [PubMed]
- Švorc, L.; Jambrec, D.; Vojs, M.; Barwe, S.; Clausmeyer, J.; Michniak, P.; Marton, M.; Schuhmann, W. Doping level of boron-doped diamond electrodes controls the grafting density of functional groups for DNA assays. ACS Appl. Mater. Interfaces 2015, 7, 18949–18956. [Google Scholar] [CrossRef] [PubMed]
- Özkan, S.A.; Uslu, B. Electrochemical study of fluvastatin sodium-analytical application to pharmaceutical dosage forms, human serum, and simulated gastric juice. Anal. Bioanal. Chem. 2002, 372, 582–586. [Google Scholar] [CrossRef] [PubMed]
- Ni, Y.N.; Wang, L.; Kokot, S. Simultaneous determination of nitrobenzene and nitro-substituted phenols by differential pulse voltammetry and chemometrics. Anal. Chim. Acta 2001, 431, 101–113. [Google Scholar] [CrossRef]










| Sensor | Sensitivity (μA/μM) | Repeatability (RSD%) | Fabrication Reproducibility (RSD%) | Storage Stability | Interferences | Recoveries for Samples (%) | Reference | 
|---|---|---|---|---|---|---|---|
| a pDAT@ERGO/GCE | 0.0639; 0.0117 | - | 3.54 | 30 days | - | 97.8–102.4 | [9] | 
| b PCZ@N-GE/GCE | 0.6549 | - | 3.5 | 5 days | 2-nitrophenol, 3-nitrophenol | 97.9%-104.5 | [10] | 
| c rGO-Ag/GCE | 19.83 | - | - | 7 days | - | 99.7–102.3 | [11] | 
| d GR-AuNP/GCE | 0.1134 | 3.9 | - | 7 days | 2-nitrophenol, 2,4,6-trinitrophenol | 97.76–103.85 | [12] | 
| e MWNT–Nafion/GCE | - | 3.4 | 4.0 | 24 h | 3-nitrophenol, 2,4-dinitrophenol, Cu2+, Pb2+, Fe3+ | 102.6–104.6 | [13] | 
| f CHT-ZnO NDs/SPCE | 0.1255 | - | 3.17 | 15 days | - | 96.53–103.03 | [14] | 
| g PMO/GCE | 0.0819 | - | 3.1 | 10 days | Zn2+, Fe2+, Cu2+, phenol, 2-nitrophenol, 3-nitrophenol, 2,4-dinitrophenol, 4-chlorophenol, 2-chlorophenol, catechol, aniline | 99.2–100.9 | [15] | 
| h OMCs/GCE | 0.156 | - | - | 3 weeks | - | 97.2–98.8 | [16] | 
| i CD–SBA/CPE | 0.2465 | 0.91 | - | - | cetyl trimethyl ammonium bromide, cetylpyridinium bromide, sodium dodecyl sulfonate, phenol, dihydroquinone | - | [17] | 
| j HA-NP/GCE | 0.0295 | - | 3.54 | 30 days | phenol, 2-nitrophenol, hydroxyphenol | 95.86–104.38 | [18] | 
| k Gr-Chit/ABPE | 1.4807; 0.9264 | 1.17 | 5.04 | 10 days | - | 96.0–103.5 % | [19] | 
| GR/ABPE | 2.717, 1.8117 | 2.75 | 4.2 | 30 days | 2-nitrophenol, 3-nitrophenol | 97.4–103.5 | This work | 
| Technique | Sensor | Linear Range (μM) | Correlation Coefficient (R2) | Detection Limit (μM) | Reference | 
|---|---|---|---|---|---|
| a DPV | pDAT@ERGO/GCE | 5–200; 300–1500 | 0.97; 0.98 | 0.037 | [9] | 
| CV | PCZ@N-GE/GCE | 0.8–20 | 0.997 | 0.062 | [10] | 
| b SWV | rGO-Ag/GCE | 0.01–0.1 | 0.998 | 0.0012 | [11] | 
| c LSV | GR-AuNP/GCE | 0.036–90 | 0.998 | 0.01 | [12] | 
| DPV | MWNT–Nafion/GCE | 0.1–10 | 0.996 | 0.04 | [13] | 
| DPV | CHT-ZnO NDs/SPCE | 0.5–400.6 | 0.995 | 0.23 | [14] | 
| DPV | PMO/GCE | 0.6–10 | 0.991 | 0.17 | [15] | 
| DPV | OMCs/GCE | 2–90 | 0.997 | 0.1 | [16] | 
| DPV | CD–SBA/CPE | 0.2–1.4 | 0.997 | 0.01 | [17] | 
| DPV | HA-NP/GCE | 1–300 | 0.9996 | 0.6 | [18] | 
| Second-order linear scan voltammetry | Gr-Chit/ABPE | 0.1–20; 20–80 | 0.9996; 0.998 | 0.08 | [19] | 
| Second-order linear scan voltammetry | GR/ABPE | 0.02–8.0; 8.0–100 | 0.9992,0.996 | 0.008 | This work | 
| Type of Water a | Added (μM) | Found by This Method b (μM) | Recovery (%) | Found by HPLC b (μM) | Relative Error (%) | 
|---|---|---|---|---|---|
| River | 0.5 | 0.512 (±0.015) | 102.4 | 0.483 (±0.012) | 6.00 | 
| Lake | 1.0 | 0.976 (±0.018) | 97.6 | 1.024 (±0.022) | −4.69 | 
| Waste | 2.0 | 2.071 (±0.033) | 103.6 | 1.962 (±0.042) | 5.56 | 
| Tap | 0.1 | 0.102 (±0.002) | 102.0 | 0.106 (±0.003) | −3.77 | 
© 2019 by the authors. Licensee MDPI, Basel, Switzerland. This article is an open access article distributed under the terms and conditions of the Creative Commons Attribution (CC BY) license (http://creativecommons.org/licenses/by/4.0/).
Share and Cite
He, Q.; Tian, Y.; Wu, Y.; Liu, J.; Li, G.; Deng, P.; Chen, D. Facile and Ultrasensitive Determination of 4-Nitrophenol Based on Acetylene Black Paste and Graphene Hybrid Electrode. Nanomaterials 2019, 9, 429. https://doi.org/10.3390/nano9030429
He Q, Tian Y, Wu Y, Liu J, Li G, Deng P, Chen D. Facile and Ultrasensitive Determination of 4-Nitrophenol Based on Acetylene Black Paste and Graphene Hybrid Electrode. Nanomaterials. 2019; 9(3):429. https://doi.org/10.3390/nano9030429
Chicago/Turabian StyleHe, Quanguo, Yaling Tian, Yiyong Wu, Jun Liu, Guangli Li, Peihong Deng, and Dongchu Chen. 2019. "Facile and Ultrasensitive Determination of 4-Nitrophenol Based on Acetylene Black Paste and Graphene Hybrid Electrode" Nanomaterials 9, no. 3: 429. https://doi.org/10.3390/nano9030429
APA StyleHe, Q., Tian, Y., Wu, Y., Liu, J., Li, G., Deng, P., & Chen, D. (2019). Facile and Ultrasensitive Determination of 4-Nitrophenol Based on Acetylene Black Paste and Graphene Hybrid Electrode. Nanomaterials, 9(3), 429. https://doi.org/10.3390/nano9030429
 
        


 
       