Evaluation of the Stability of Dielectric Nanofluids for Use in Transformers under Real Operating Conditions
Abstract
1. Introduction
2. Materials and Methods
2.1. Materials
2.1.1. Base Fluids
2.1.2. Nanoparticles
- A dispersion of Fe3O4 NP of approximate diameter 10 nm dispersed in a hydrocarbon to a concentration of 50% by weight (i.e., 500 g of NP in 1 kg of dispersion) manufactured by the company Magnacol Ltd (Newtown, UK). From now on this dispersion will be referred to as FF1.
- A dispersion of Fe3O4 NP of diameter 10 nm dispersed in a mixture of hydrocarbons, silicon compounds and non-flammable oils manufactured by the company MAGRON (Gyeonggi-Do, Korea), and commercialized by the company Supermagnete (Gottmadingen, Germany) under the name MFR-DP1. The concentration of this fluid is 60% by weight. From now on this dispersion will be referred to as FF2.
2.2. Synthesis of the DNF
- -
- The BF (MO or NE) is dried under vacuum (0.1 bar) for 24 h at 70 °C.
- -
- In this work DNF with different concentrations of NP were prepared (although not all of them were tested in the stability study, as will be later explained). To obtain the different concentrations, the required mass of NP dispersion is weighed in an analytical balance and added to the BF. In the case of the MO-based DNF with FF2 the concentrations were 0.05, 0.1, 0.2 and 0.35 g/L (i.e., 0.05 g, 0.1 g, 0.2g and 0.35 g of Fe3O4 NP in 1 L of BF). To obtain these concentrations 10, 20, 40, and 70 mg of FF2 were added to 100 mL of MO. In the case of NE-based DNF and FF1, concentrations 0.1 and 0.15 g/L were prepared, as samples with higher concentrations precipitated in a few hours. For the combinations MO + FF1 and NE + FF2 only samples with concentration 0.1 g/L were prepared because of the difficulty to obtain stable samples with higher concentrations.
- -
- The mixture is homogenized with the sonicator, at 40% of the rated power (i.e., power 300 W and ultrasound wave intensity 268 W/cm2), for two hours in intervals of 30 seconds of agitation and 30 s of pause to avoid overheating the oil.
- -
- The obtained DNF are stored at 50 °C under vacuum (0.1 bar) to avoid oxidation and to remove the moisture absorbed during the mixing process. All the samples are kept in identical conditions until the beginning of the tests.
2.3. Experimental Methodology
3. Results
3.1. Physical and Chemical Evaluation of the DNF
3.2. Results for the Stability Tests
3.2.1. Visual Inspection
- Type 2: Samples in which, after some time, the nanoparticles form a precipitate that remains suspended in the solution. An example of this can be seen in Figure 7c.
- Type 3: Samples in in which the nanoparticles form a precipitate at the bottom of the vial. The precipitate is solid and is deposited and adhered at the bottom of the vial. An example of this can be seen in Figure 7d.
- Type 4: Samples in which the nanoparticles could not be dispersed by ultrasounds during the manufacturing stage. An example of this can be seen in Figure 7e.
- -
- The mixture of the NE and the NP dispersion FF1 (0.1 g/L) was the liquid that presented the best long-term stability, showing a good performance at all tested temperatures. Even the sample that was subjected to 110 °C for two months remained stable showing no visible aggregates or deposits at the end of the test. The same solution remained stable at ambient temperature for at least 10 months (after 10 months the test was discontinued), which is a long time compared with the ones reported in the literature.On the other hand, the mixture of the NE with the NP dispersion FF2 led to a less stable fluid. At ambient temperature visible NP aggregates appeared after 3 months of testing. The samples that were subjected to higher temperatures also showed visible NP aggregates after 7 weeks of testing, in the case of the sample tested at 50 °C, and solid deposits after 4 weeks and 2 days when tested at 60 and 80 °C.
- -
- In the case of MO-based samples, the mixture of MO and the NP dispersion FF2 (0.1 g/L) led to a fluid which was highly stable at ambient temperature. After 10 months of testing the sample did not show any visible aggregates or deposits. The stability of this mixture was also good when subjected to moderate temperatures (50 and 60 °C), for 2 months. However, visible NP aggregates appeared in the fluid after 13 days when the sample was tested at 80 °C.The mixture of MO and the dispersion FF1 did not lead to a homogeneous fluid after the ultrasounds stirring and solutions similar to the one shown in Figure 8e were formed instead.
3.2.2. Particle-size Measurements
4. Conclusions
Author Contributions
Funding
Acknowledgments
Conflicts of Interest
References
- Liauw, A.Y.; Sam, B.; Mark, A. Insulating Material Containing Nanocellulose. U.S. Patent 20140186576A1, 28 December 2012. [Google Scholar]
- Chandini, G.; Karthik, R. Investigations on critical parameters of nano solid dielectrics for the optimized function of power transformer. In Proceedings of the 2014 International Conference on Circuits, Power and Computing Technologies [ICCPCT-2014], Nagercoil, India, 20–21 March 2014; pp. 370–376. [Google Scholar]
- Jin, H. Dielectric Strength and Thermal Conductivity of Mineral Oil based Nanofluids. Ph.D. Thesis, Delft University of Technology, The Netherlands, April 2015. [Google Scholar]
- Jin, H.; Morshuis, P.H.F.; Smit, J.J.; Andritsch, T. The effect of surface treatment of silica nanoparticles on the breakdown strength of mineral oil. In Proceedings of the 2014 IEEE 18th International Conference on Dielectric Liquids (ICDL), Bled, Slovenia, 29 June–3 July 2014; pp. 1–4. [Google Scholar]
- Sima, W.; Shi, J.; Yang, Q.; Huang, S.; Cao, X. Effects of conductivity and permittivity of nanoparticle on transformer oil insulation performance: Experiment and theory. IEEE Trans. Dielectr. Electr. Insul. 2015, 22, 380–390. [Google Scholar] [CrossRef]
- Lv, Y.; Zhou, Y.; Li, C.; Wang, Q.; Qi, B. Recent progress in nanofluids based on transformer oil: Preparation and electrical insulation properties. IEEE Electr. Insul. Mag. 2014, 30, 23–32. [Google Scholar] [CrossRef]
- O’Sullivan, F.M. A model for the initiation and propagation of electrical streamers in transformer oil and transformer oil based nanofluids. Ph.D. Thesis, Massachusetts Institute of Technology, Cambridge, MA, USA, May 2007. [Google Scholar]
- Ibrahim, M.E.; Abd-Elhady, A.M.; Izzularab, M.A. Effect of nanoparticles on transformer oil breakdown strength: Experiment and theory. IET Sci. Meas. Technol. 2016, 10, 839–845. [Google Scholar] [CrossRef]
- Li, J.; Liao, R.; Yang, L. Investigation of natural ester based liquid dielectrics and nanofluids. In Proceedings of the 2012 International Conference on High Voltage Engineering and Application, Shanghai, China, 17–20 September 2012; Volume 56, pp. 16–21. [Google Scholar]
- Zhong, Y.; Lv, Y.; Li, C.; Du, Y.; Chen, M.; Zhang, S.; Zhou, Y.; Chen, L. Insulating Properties and Charge Characteristics of Natural Ester Fluid Modified by TiO2 Semiconductive Nanoparticles. IEEE Trans. Dielectr. Electr. Insul. 2013, 20, 135–140. [Google Scholar] [CrossRef]
- Krishna Kumar, P.; Senthil Kumar, S.; Ravindran, M. Investigation on mixed insulating fluids with nano fluids and antioxidants. In Proceedings of the 2014 International Conference on Advances in Electrical Engineering (ICAEE), Vellore, India, 9–11 January 2014; pp. 6–9. [Google Scholar]
- Dombek, G.; Nadolny, Z.; Przybyłek, P. The Study of Thermal Properties of Mineral Oil and Synthetic Ester Modified by Nanoparticles TiO2 and C60. In Proceedings of the 2014 ICHVE International Conference on High Voltage Engineering and Application, Poznan, Poland, 8–11 September 2014; pp. 1–4. [Google Scholar]
- Wang, B.; Li, J.; Du, B.; Zhang, Z. Study on the stability and viscosity of Fe3O4 nano-particles vegetable insulating oils. In Proceedings of the 2012 International Conference on High Voltage Engineering and Application, Shanghai, China, 17–20 September 2012; pp. 307–310. [Google Scholar]
- Raymon, A.; Sakthibalan, S.; Cinthal, C.; Subramaniaraja, R.; Yuvaraj, M. Enhancement and comparison of nano-ester insulating fluids. IEEE Trans. Dielectr. Electr. Insul. 2016, 23, 892–900. [Google Scholar] [CrossRef]
- Danikas, M.G.; Bakandritsos, A.; Peppas, G.D.; Charalampakos, V.P.; Pyrgioti, E.C.; Gonos, I.F. Statistical investigation of AC breakdown voltage of nanofluids compared with mineral and natural ester oil. IET Sci. Meas. Technol. 2016, 10, 644–652. [Google Scholar]
- Rafiq, M.; Lv, Y.; Li, C. A Review on Properties, Opportunities, and Challenges of Transformer Oil-Based Nanofluids. J. Nanomater. 2016, 2016, 8371560. [Google Scholar] [CrossRef]
- Hanai, M.; Hosomi, S.; Kojima, H.; Hayakawa, N.; Okubo, H. Dependence of TiO2 and ZnO nanoparticle concentration on electrical insulation characteristics of insulating oil. In Proceedings of the 2013 Annual Report Conference on Electrical Insulation and Dielectric Phenomena, Shenzhen, China, 20–23 October 2013; pp. 780–783. [Google Scholar]
- Li, J.; Zhang, Z.; Zou, P.; Grzybowski, S.; Zahn, M. Preparation of a vegetable oil-based nanofluid and investigation of its breakdown and dielectric properties. IEEE Electr. Insul. Mag. 2012, 28, 43–50. [Google Scholar] [CrossRef]
- Du, Y.; Lv, Y.; Zhou, J.; Li, X.; Li, C. Breakdown Properties of Transformer Oil-based TiO2 Nanofluid. In Proceedings of the 2010 Annual Report Conference on Electrical Insulation and Dielectic Phenomena, West Lafayette, IN, USA, 17–20 October 2010. [Google Scholar]
- Mentlik, V.; Trnka, P. Development of a Biodegradable Electro-Insulating Liquid and Its Subsequent Modification by Nanoparticles. Energies 2018, 11, 508. [Google Scholar] [CrossRef]
- Du, Y.; Lv, Y.Z.; Li, C.; Chen, M.; Zhou, J.; Li, X.; Zhou, Y.; Tu, Y. Effect of electron shallow trap on breakdown performance of transformer oil- based nanofluids. J. Appl. Phys. 2011, 110, 104104. [Google Scholar] [CrossRef]
- Miao, J.; Dong, M.; Shen, L.P. A modified electrical conductivity model for insulating oil-based nanofluids. In Proceedings of the 2012 IEEE International Conference on Condition Monitoring and Diagnosis, Bali, Indonesia, 23–27 September 2012; pp. 1126–1129. [Google Scholar]
- Du, Y.; Lv, Y.; Zhou, J.; Chen, M.; Li, X.; Li, C. Effect of Ageing on Insulating Property of Mineral Oil-based TiO2 Nanofluids. In Proceedings of the 2011 IEEE International Conference on Dielectric Liquids, Trondheim, Norway, 26–30 June 2011. [Google Scholar]
- Dai, J.; Dong, M.; Wang, L.; Li, Y.; Wang, J. Study on AC breakdown and broadband dielectric response properties of transformer oil-based nanofluids. In Proceedings of the 2016 International Conference on Condition Monitoring and Diagnosis (CMD), Xi’an, China, 25–28 September 2016; pp. 24–27. [Google Scholar]
- Mansour, D.-E.A.; Elsaeed, A.M.; Izzularab, M.A. The role of interfacial zone in dielectric properties of transformer oil-based nanofluids. IEEE Trans. Dielectr. Electr. Insul. 2016, 23, 3364–3372. [Google Scholar] [CrossRef]
- Avdeev, M.V.; Balasoiu, M.; Aksenov, V.L.; Garamus, V.M.; Kohlbrecher, J.; Bica, D.; Vekas, L. On the magnetic structure of magnetite/oleic acid/benzene ferrofluids by small-angle neutron scattering. J. Magn. Magn. Mater. 2004, 270, 371–379. [Google Scholar] [CrossRef]
- Pislaru-Danescu, L.; Morega, A.M.; Telipan, G.; Morega, M.; Dumitru, J.B.; Marinescu, V. Magnetic nanofluid applications in electrical engineering. IEEE Trans. Magn. 2013, 49, 5489–5497. [Google Scholar] [CrossRef]
- Huang, J.; Wang, X. Influence of pH on the stability characteristics of nanofluids. In Proceedings of the 2009 Symposium on Photonics and Optoelectronics, Wuhan, China, 14–16 August 2009; pp. 2–4. [Google Scholar]
- Zhou, Y.; Zhong, Y.X.; Chen, M.T.; Zhang, S.N.; Du, Y.F.; Lv, Y.Z.; Li, C.; Liu, T. Effect of nanoparticles on electrical characteristics of transformer oil-based nanofluids impregnated pressboard. IEEE Int. Symp. Electr. Insul. 2012, 650–653. [Google Scholar]
- Mondragón, R.; Juliá, J.E.; Barba, A.; Jarque, J.C. Preparación y caracterización de nanofluidos: Influencia de variables sobre su estabilidad, estado de aglomeración y propiedades físicas. Boletín la Soc. Española Cerámica y Vidr. 2014, 53, 101–110. [Google Scholar] [CrossRef]
- Ghadimi, A.; Saidur, R.; Metselaar, H.S.C. A review of nanofluid stability properties and characterization in stationary conditions. Int. J. Heat Mass Transf. 2011, 54, 4051–4068. [Google Scholar] [CrossRef]
- Liu, R.; Pettersson, L.A.A.; Auletta, T.; Hjortstam, O. Fundamental Research on the Application of Nano Dielectrics to Transformers. In Proceedings of the 2011 Annual Report Conference on Electrical Insulation and Dielectric Phenomena, Cancun, Mexico, 16–19 October 2011. [Google Scholar]
- Shukla, G.; Aiyer, H. Thermal conductivity enhancement of transformer oil using functionalized nanodiamonds. IEEE Trans. Dielectr. Electr. Insul. 2015, 22, 2185–2190. [Google Scholar] [CrossRef]
- Petzold, G.; Rojas-Reyna, R.; Mende, M.; Schwarz, S. Application Relevant Characterization of Aqueous Silica Nanodispersions. J. Dispers. Sci. Technol. 2009, 30, 1216–1222. [Google Scholar] [CrossRef]
- Nor, S.F.M.; Azis, N.; Jasni, J.; Kadir, M.Z.A.A.; Yunus, R.; Yaakub, Z. Investigation on the electrical properties of palm oil and coconut oil based TiO2 nanofluids. IEEE Trans. Dielectr. Electr. Insul. 2017, 24, 3432–3442. [Google Scholar] [CrossRef]
- Rashid, P.K.P. Nanofluids: Properties, Applications and Sustainability Aspects in Materials Processing Technologies. Adv. Sustain. Manuf. 2011, 107–113. [Google Scholar]
- Atiya, E.G.; Mansour, D.E.A.; RKhattab, M.; Azmy, A.M. Dispersion behavior and breakdown strength of transformer oil filled with TiO2 nanoparticles. IEEE Trans. Dielectr. Electr. Insul. 2015, 22, 2463–2472. [Google Scholar] [CrossRef]
- Choi, C.; Yoo, H.S.; Oh, J.M. Preparation and heat transfer properties of nanoparticle-in-transformer oil dispersions as advanced energy-efficient coolants. Curr. Appl. Phys. 2008, 8, 710–712. [Google Scholar] [CrossRef]
- Nytro 4000X. Available online: https://www.barth-gmbh.at/resources/PDS_Nytro_4000X_EN.pdf?label=RESOURCE_PDS_Nytro_4000X_EN.pdf_EN (accessed on 17 January 2019).
- Repsol Lubricants. Available online: https://www.repsol.com/imagenes/global/es/RP_BIOELECTRA_tcm13-54920.pdf (accessed on 17 January 2019).
- Li, Y.; Zhou, J.; Tung, S.; Schneider, E.; Xi, S. A review on development of nanofluid preparation and characterization. Powder Technol. 2009, 196, 89–101. [Google Scholar] [CrossRef]
- Kochetov, R.; Morshuis, P.; Smit, J.; Andritsch, T.; Krivda, A. Precautionary remarks regarding synthesis of nanocomposites. In Proceedings of the 2014 IEEE Electrical Insulation Conference (EIC), Philadelphia, PA, USA, 8–11 June 2014; pp. 51–54. [Google Scholar]
- Wang, X.Q.; Mujumdar, A.S. Heat transfer characteristics of nanofluids: A review. Int. J. Therm. Sci. 2007, 46, 1–19. [Google Scholar] [CrossRef]
- IEEE Draft Guide for Acceptance and Maintenance of Insulating Mineral Oil in Electrical Equipment; IEEE Power and Energy Society: New York, NY, USA, 2015.
- Yu, W.; France, D.M.; Choi, S.U.S.; Routbort, J.L. Review and Assessment of Nanofluid Technology for Transportation and Other Applications; Technical Report for Argonne National Lab.: Argonne, IL, USA, 31 May 2007. [Google Scholar]
- Internaltional Electrotechnical Commision (IEC). Insulating Liquids-Determination of the Breakdown Voltage at Power Frequency—Test Method, IEC 60156:2018 RLV Redline version; IEC: Geneva, Switzerland, 2018. [Google Scholar]
- Cavallini, A.; Karthik, R.; Negri, F. The effect of magnetite, graphene oxide and silicone oxide nanoparticles on dielectric withstand characteristics of mineral oil. IEEE Trans. Dielectr. Electr. Insul. 2015, 22, 2592–2600. [Google Scholar] [CrossRef]
- Hwang, J.-W.G. Elucidating the Mechanisms Behind Pre-Breakdown Phenomena in Transformer Oil Systems. Ph.D. Thesis, Massachusetts Institute of Technology, Cambridge, MA, USA, June 2010. [Google Scholar]
- Du, Y.F.; Lv, Y.Z.; Wang, F.C.; Li, X.X.; Li, C.R. Effect of TiO2 nanoparticles on the breakdown strength of transformer oil. In Proceedings of the 2010 IEEE International Symposium on Electrical Insulation, San Diego, CA, USA, 6–9 June 2010. [Google Scholar]
- Rajnak, M.; Kurimsky, J.; Dolnik, B.; Marton, K.; Tomco, L.; Taculescu, A.; Vekas, L.; Kovac, J.; Vavra, I.; Tothova, J. Dielectric response of transformer oil based ferrofluid in low frequency range Dielectric response of transformer oil based ferrofluid in low frequency range. J. Appl. Phys. 2013, 114, 034313. [Google Scholar] [CrossRef]
- Miao, J.; Dong, M.; Ren, M.; Wu, X.; Shen, L.; Wang, H. Effect of nanoparticle polarization on relative permittivity of transformer oil-based nanofluids. J. Appl. Phys. 2013, 113, 204103. [Google Scholar] [CrossRef]
- Kharisov, B.I.; Dias, H.V.R.; Kharissova, O.V.; Vazquez, A.; Peña, Y.; Gómez, I. Solubilization, dispersion and stabilization of magnetic nanoparticles in water and non-aqueous solvents: recent trends. RSC Adv. 2014, 4, 45354–45381. [Google Scholar] [CrossRef]
- Kraynov, A.; Müller, T.E. Concepts for the Stabilization of Metal Nanoparticles in Ionic Liquids, Applications of Ionic Liquids in Science and technology. In Applications of Ionic Liquids in Science and Technology; Handy, S., Ed.; IntechOpen: London, UK, 2011; pp. 235–260. [Google Scholar]
- Yu, F.; Chen, Y.; Liang, X.; Xu, J.; Lee, C.; Liang, Q.; Tao, P. Dispersion stability of thermal nanofluids. Prog. Nat. Sci. Mater. Int. 2017, 27, 531–542. [Google Scholar] [CrossRef]
- Susan-Resiga, D.; Socoliuc, V.; Boros, T.; Borbáth, T.; Marinica, O.; Han, A.; Vékás, L. The influence of particle clustering on the rheological properties of highly concentrated magnetic nanofluids. J. Colloid Interf. Sci. 2012, 373, 110–115. [Google Scholar] [CrossRef] [PubMed]
- Lv, Y.; Li, C.; Sun, Q.; Huang, M. Effect of Dispersion Method on Stability and Dielectric Strength of Transformer Oil-Based TiO2 Nanofluids. Nanoscale Res. Lett. 2016, 11, 505. [Google Scholar] [CrossRef] [PubMed]









| Property | NE Bioelectra | MO Nytro 4000X |
|---|---|---|
| Physics and Chemicals | ||
| Kinematic Viscosity (40 °C) | 39.2 cSt | 9.1 cSt |
| Flash Point | 334 °C | 146 °C |
| Pour point | −21 °C | −54 °C |
| Density (20 °C) | 0.91 g/cm3 | 0.866 g/cm3 |
| Appearance | Clear and bright | Clear, free from sediment |
| Water Content | 100 mg/kg | <20 mg/kg |
| Electricals | ||
| Breakdown voltage | 65 kV | >70 kV |
| Dissipation Factor | 0.03 | <0.001 |
| Oxidation Stability | ||
| Total acidity | 0.2 mg KOH/g | <0.01 mg KOH/g |
| Sludge | 0.01% | <0.01% |
| Dissipation Factor at 90 °C, 50 Hz | 0.05 | <0.01 |
| Physical Property | FF1 | FF2 |
|---|---|---|
| Nanoparticle | Fe3O4 | Fe3O4 |
| Nanoparticle size | ≈10 nm | ≈10 nm |
| Carrier Liquid | Hydrocarbons | Hydrocarbons |
| Surfactant | Carboxilic acid | - |
| Solid Content | 60% | 50% |
| Density (20 °C) | 1.21 g/cm3 | 1.04 g/cm3 |
| Dynamic Viscosity (27 °C) | 87 cP | 80 cP |
| Manufacturer | Magnacol | MAGRON |
| Oil | NP (0.1 g/L) | Test Temperature | Stability | Final State |
|---|---|---|---|---|
| Bioelectra (NE) | FF1 | 25 °C | 10 months | Type 1 |
| 50 °C | 2 months | Type 1 | ||
| 60 °C | 2 months | Type 1 | ||
| 80 °C | 2 months | Type 1 | ||
| 110 °C | 2 months | Type 1 | ||
| FF2 | 25 °C | 3 months | Type 2 | |
| 50 °C | 7 weeks | Type 2 | ||
| 60 °C | 4 weeks | Type 3 | ||
| 80 °C | 2 days | Type 3 | ||
| Nynas Nitro 4000X (MO) | FF1 | 25 °C | Unstable | Type 4 |
| 50 °C | Unstable | Type 4 | ||
| 60 °C | Unstable | Type 4 | ||
| 80 °C | Unstable | Type 4 | ||
| FF2 | 25 °C | 10 months | Type 1 | |
| 50 °C | 2 months | Type 1 | ||
| 60 °C | 2 months | Type 1 | ||
| 80 °C | 13 days | Type 3 |
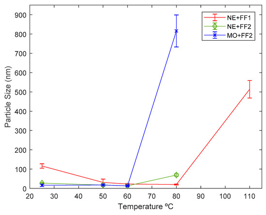
| Oil | NP (0.1 g/L) | Test Temperature | Stability | Main Peak (nm) | Peak FWHM (nm) |
|---|---|---|---|---|---|
| Bioelectra (NE) | FF1 | 25 °C | 10 months | 116 | 23 |
| 50 °C | 2 months | 31 | 33 | ||
| 60 °C | 2 months | 23 | 4,6 | ||
| 80 °C | 2 months | 20 | 4,8 | ||
| 110 °C | 2 months | 514 | 91 | ||
| FF2 | 25 °C | 3 months | 28 | 6,2 | |
| 50 °C | 7 weeks | 17 | 8,3 | ||
| 60 °C | 4 weeks | 13 | 6,2 | ||
| 80 °C | 2 days | 69 | 13.4 | ||
| Nynas Nitro 4000X (MO) | FF2 | 25 °C | 10 months | 16 | 12,3 |
| 50 °C | 2 months | 18 | 10.5 | ||
| 60 °C | 2 months | 13 | 2,3 | ||
| 80 °C | 13 days | 816 | 166 |
© 2019 by the authors. Licensee MDPI, Basel, Switzerland. This article is an open access article distributed under the terms and conditions of the Creative Commons Attribution (CC BY) license (http://creativecommons.org/licenses/by/4.0/).
Share and Cite
Primo, V.A.; Pérez-Rosa, D.; García, B.; Cabanelas, J.C. Evaluation of the Stability of Dielectric Nanofluids for Use in Transformers under Real Operating Conditions. Nanomaterials 2019, 9, 143. https://doi.org/10.3390/nano9020143
Primo VA, Pérez-Rosa D, García B, Cabanelas JC. Evaluation of the Stability of Dielectric Nanofluids for Use in Transformers under Real Operating Conditions. Nanomaterials. 2019; 9(2):143. https://doi.org/10.3390/nano9020143
Chicago/Turabian StylePrimo, Victor A., Daniel Pérez-Rosa, Belén García, and Juan Carlos Cabanelas. 2019. "Evaluation of the Stability of Dielectric Nanofluids for Use in Transformers under Real Operating Conditions" Nanomaterials 9, no. 2: 143. https://doi.org/10.3390/nano9020143
APA StylePrimo, V. A., Pérez-Rosa, D., García, B., & Cabanelas, J. C. (2019). Evaluation of the Stability of Dielectric Nanofluids for Use in Transformers under Real Operating Conditions. Nanomaterials, 9(2), 143. https://doi.org/10.3390/nano9020143

