Exciton–Exciton Interactions in Coaxial Double Quantum Rings
Abstract
1. Introduction
2. Exciton States in an Individual Quantum Ring
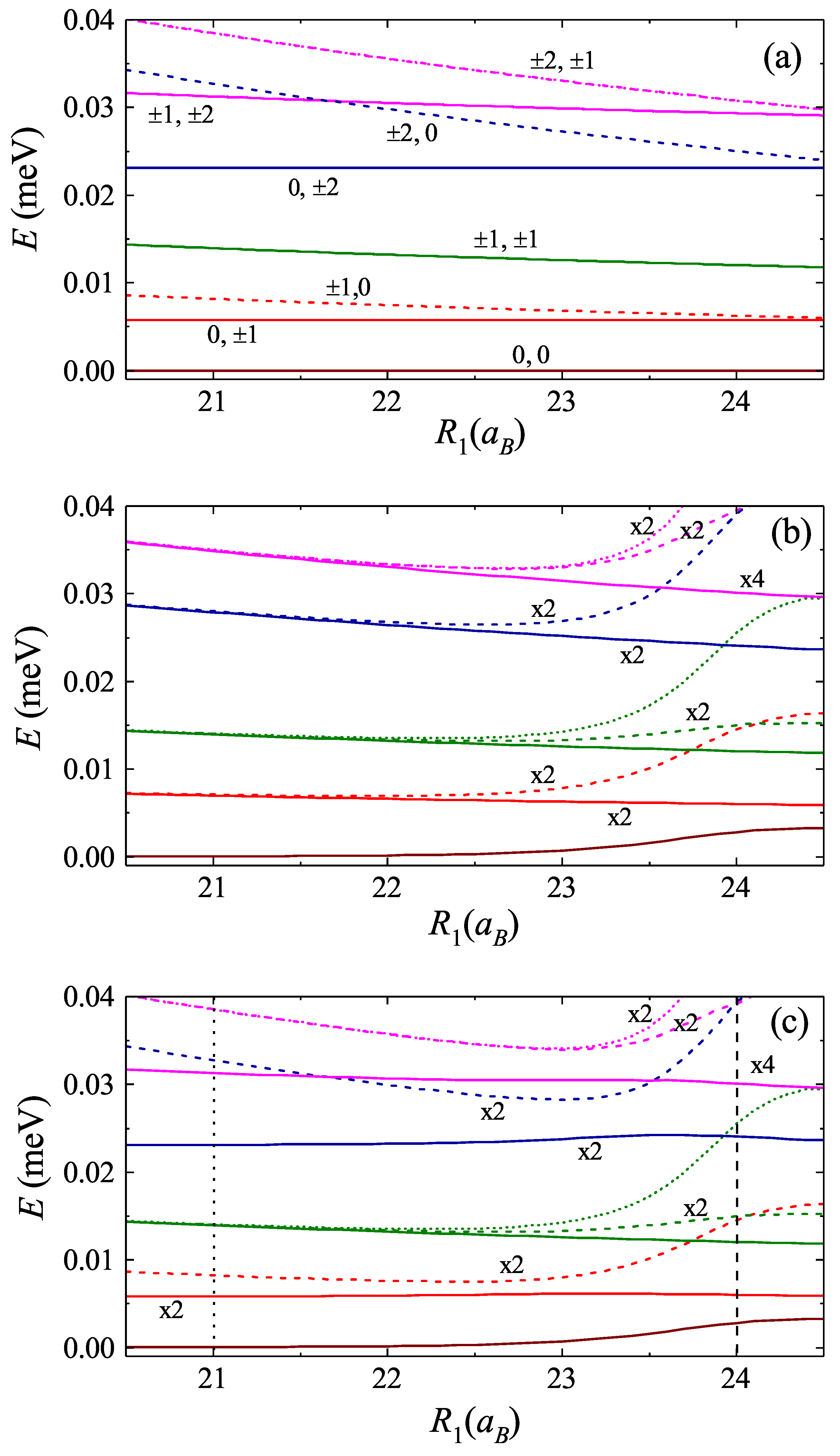
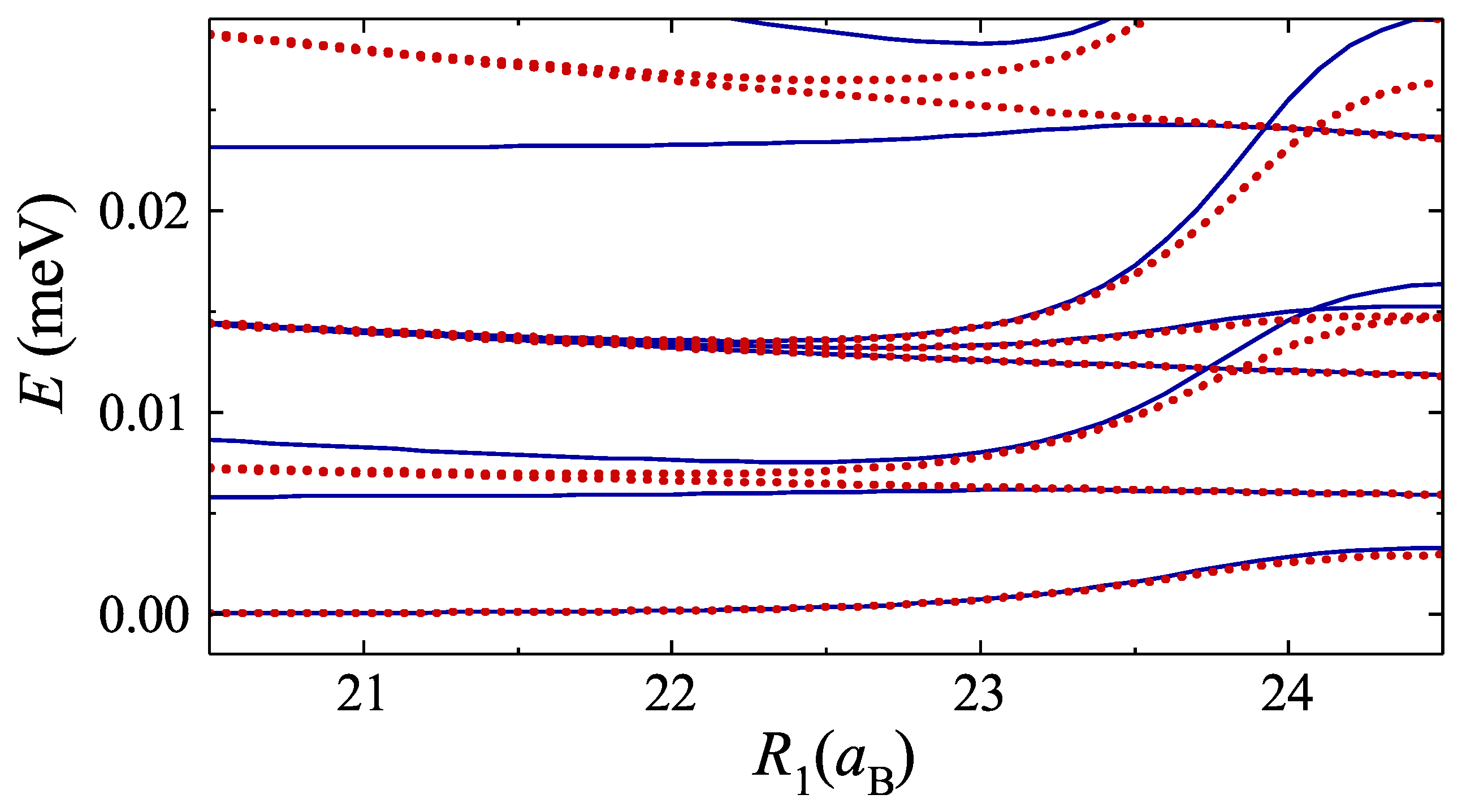
3. Two Exciton Energy Spectrum
4. Conclusions
Author Contributions
Funding
Conflicts of Interest
Appendix A. The Derivation of Exciton–Exciton Coulomb Scattering Potential
References
- Warburton, R.; Schäflein, C.; Haft, D.; Bickel, F.; Lorke, A.; Karrai, K.; Garcia, J.M.; Schoenfeld, W.; Petroff, P.M. Optical emission from a charge-tunable quantum ring. Nature 2000, 405, 926–929. [Google Scholar] [CrossRef] [PubMed]
- Lorke, A.; Johannes, L.; Govorov, A.; Kotthaus, J.; Garcia, J.; Petroff, P. Spectroscopy of nanoscopic semiconductor rings. Phys. Rev. Lett. 2000, 84, 2223. [Google Scholar] [CrossRef] [PubMed]
- Aharonov, Y.; Bohm, D. Significance of Electromagnetic Potentials in the Quantum Theory. Phys. Rev. 1959, 115, 485. [Google Scholar] [CrossRef]
- Altshuler, B.L.; Aronov, A.G.; Spivak, B.Z. The Aaronov-Bohm effect in disordered conductors. Sov. Phys. JETP Lett. 1981, 33, 94. [Google Scholar]
- Aronov, A.G.; Lyanda-Geller, Y.B. Spin-orbit Berry phase in conducting rings. Phys. Rev. Lett. 1993, 70, 343. [Google Scholar] [CrossRef]
- Chakraborty, T.; Pietiläinen, P. Electron-electron interaction and the persistent current in a quantum ring. Phys. Rev. B 1994, 50, 8460. [Google Scholar] [CrossRef]
- Halonen, V.; Pietiläinen, P.; Chakraborty, T. Optical-absorption spectra of quantum dots and rings with a repulsive scattering centre. Europhys. Lett. 1996, 33, 377. [Google Scholar] [CrossRef]
- Bayer, M.; Korkusinski, M.; Hawrylak, P.; Gutbrod, T.; Michel, M.; Forchel, A. Optical Detection of the Aharonov-Bohm Effect on a Charged Particle in a Nanoscale Quantum Ring. Phys. Rev. Lett. 2003, 90, 186801. [Google Scholar] [CrossRef]
- Kleemans, N.A.J.M.; Bominaar-Silkens, I.M.A.; Fomin, V.M.; Gladilin, V.N.; Granados, D.; Taboada, A.G.; García, J.M.; Offermans, P.; Zeitler, U.; Christianen, P.C.M.; et al. Oscillatory Persistent Currents in Self-Assembled Quantum Rings. Phys. Rev. Lett. 2007, 99, 146808. [Google Scholar] [CrossRef]
- Foldi, P.; Molnar, B.; Benedict, M.; Peeters, F.M. Spintronic single-qubit gate based on a quantum ring with spin-orbit interaction. Phys. Rev. B 2005, 71, 033309. [Google Scholar] [CrossRef]
- Souma, S.; Nikolic, B. Spin Hall Current Driven by Quantum Interferences in Mesoscopic Rashba Rings. Phys. Rev. Lett. 2005, 94, 106602. [Google Scholar] [CrossRef] [PubMed]
- Koskinen, M.; Manninen, M.; Mottelson, B.; Reimann, S.M. Rotational and vibrational spectra of quantum rings. Phys. Rev. B 2001, 63, 205323. [Google Scholar] [CrossRef]
- Keyser, U.F.; Fuhner, C.; Borck, S.; Haug, R.J.; Bichler, M.; Abstreiter, G.; Wegscheider, W. Kondo Effect in a Few-Electron Quantum Ring. Phys. Rev. Lett. 2003, 90, 196601. [Google Scholar] [CrossRef] [PubMed]
- Kazaryan, E.; Shahnazaryan, V.; Sarkisyan, H. Quantum ring on sphere: Electron states on spherical segment. Physica E 2013, 52, 122–126. [Google Scholar] [CrossRef]
- Kazaryan, E.; Shahnazaryan, V.; Sarkisyan, H. Optical interband absorption and Stark shift in a quantum ring on a sphere. Opt. Commun. 2014, 315, 253–257. [Google Scholar] [CrossRef]
- Aichinger, M.; Chin, S.A.; Krotscheck, E.; Räsänen, E. Effects of geometry and impurities on quantum rings in magnetic fields. Phys. Rev. B 2006, 73, 195310. [Google Scholar] [CrossRef]
- Wendler, L.; Fomin, V.M.; Chaplik, A.V.; Govorov, A.O. Optical properties of two interacting electrons in quantum rings: Optical absorption and inelastic light scattering. Phys. Rev. B 1996, 54, 4794. [Google Scholar] [CrossRef]
- Fomin, V.M.; Gladilin, V.N.; Devreese, J.T.; Kleemans, N.A.J.M.; Koenraad, P.M. Energy spectra and oscillatory magnetization of two-electron self-assembled InxGa1−xAs quantum rings in GaAs. Phys. Rev. B 2008, 77, 205326. [Google Scholar] [CrossRef]
- Mano, T.; Kuroda, T.; Sanguinetti, S.; Ochiai, T.; Tateno, T.; Kim, J.; Noda, T.; Kawabe, M.; Sakoda, K.; Kido, G. Self-Assembly of Concentric Quantum Double Rings. Nano Lett. 2005, 5, 425. [Google Scholar] [CrossRef]
- Baghramyan, H.; Barseghyan, M.; Kirakosyan, A.; Restrepo, R.; Duque, C. Linear and nonlinear optical absorption coefficients in GaAs/Ga1−xAlxAs concentric double quantum rings: Effects of hydrostatic pressure and aluminum concentration. J. Lumin. 2013, 134, 594. [Google Scholar] [CrossRef]
- Baghramyan, H.; Barseghyan, M.; Kirakosyan, A.; Restrepo, R.; Mora-Ramos, M.; Duque, C. Donor impurity-related linear and nonlinear optical absorption coefficients in GaAs/Ga1−xAlxAs concentric double quantum rings: Effects of geometry, hydrostatic pressure, and aluminum concentration. J. Lumin. 2014, 145, 676. [Google Scholar] [CrossRef]
- Aziz-Aghchegala, V.; Mughnetsyan, V.; Kirakosyan, A. Effect of interdiffusion on nonlinear intraband light absorption in Gaussian-shaped double quantum rings. Physica E 2015, 70, 210–216. [Google Scholar] [CrossRef]
- Aziz-Aghchegala, V.; Mughnetsyan, V.; Kirakosyan, A. Effect of interdiffusion and external magnetic field on electronic states and light absorption in Gaussian-shaped double quantum ring. Physica E 2018, 96, 11–16. [Google Scholar] [CrossRef]
- Szafran, B.; Peeters, F.M. Few-electron eigenstates of concentric double quantum rings. Phys. Rev. B 2005, 72, 155316. [Google Scholar] [CrossRef]
- Climente, J.I.; Planelles, J.; Barranco, M.; Malet, F.; Pi, M. Electronic structure of few-electron concentric double quantum rings. Phys. Rev. B 2006, 73, 235327. [Google Scholar] [CrossRef]
- Malet, F.; Pi, M.; Barranco, M.; Lipparini, E.; Serra, L. Optical response of two-dimensional few-electron concentric double quantum rings: A local-spin-density-functional theory study. Phys. Rev. B 2006, 74, 193309. [Google Scholar] [CrossRef]
- Abbarchi, M.; Mastrandrea, C.A.; Vinattieri, A.; Sanguinetti, S.; Mano, T.; Kuroda, T.; Koguchi, N.; Sakoda, K.; Gurioli, M. Photon antibunching in double quantum ring structures. Phys. Rev. B 2009, 79, 085308. [Google Scholar] [CrossRef]
- Pettersson, H.; Warburton, R.; Lorke, A.; Karrai, K.; Kotthaus, J.P.; Garcia, J.; Petroff, P.M. Excitons in self-assembled quantum ring-like structures. Physica E 2000, 6, 510–513. [Google Scholar] [CrossRef]
- Hu, H.; Zhu, J.-L.; Li, D.-J.; Xiong, J.-J. Aharonov-Bohm effect of excitons in nanorings. Phys. Rev. B 2001, 63, 195307. [Google Scholar] [CrossRef]
- Song, J.; Ulloa, S. Magnetic field effects on quantum ring excitons. Phys. Rev. B 2001, 63, 125302. [Google Scholar] [CrossRef]
- Govorov, A.O.; Ulloa, S.E.; Karrai, K.; Warburton, R.J. Polarized excitons in nanorings and the optical Aharonov-Bohm effect. Phys. Rev. B 2002, 66, 081309(R). [Google Scholar] [CrossRef]
- Moulopoulos, K.; Constantinou, M. Two interacting charged particles in an Aharonov-Bohm ring: Bound state transitions, symmetry breaking, persistent currents, and Berry’s phase. Phys. Rev. B 2004, 70, 235327. [Google Scholar] [CrossRef]
- Grochol, M.; Grosse, F.; Zimmermann, R. Optical exciton Aharonov-Bohm effect, persistent current, and magnetization in semiconductor nanorings of type I and II. Phys. Rev. B 2006, 74, 115416. [Google Scholar] [CrossRef]
- Kleemans, N.A.J.M.; Blokland, J.H.; Taboada, A.G.; van Genuchten, H.C.M.; Bozkurt, M.; Fomin, V.M.; Gladilin, V.N.; Granados, D.; Garcia, J.M.; Christianen, P.C.M.; et al. Excitonic behavior in self-assembled InAs/GaAs quantum rings in high magnetic fields. Phys. Rev. B 2009, 80, 155318. [Google Scholar] [CrossRef]
- Teodoro, M.D.; Campo, V.L., Jr.; Lopez-Richard, V.; Marega, E., Jr.; Marques, G.E.; Gobato, Y.G.; Iikawa, F.; Brasil, M.J.S.P.; AbuWaar, Z.Y.; Dorogan, V.G.; et al. Aharonov-Bohm Interference in Neutral Excitons: Effects of Built-In Electric Fields. Phys. Rev. Lett. 2010, 104, 086401. [Google Scholar] [CrossRef]
- Ding, F.; Akopian, N.; Li, B.; Perinetti, U.; Govorov, A.; Peeters, F.M.; Bufon, C.C.B.; Deneke, C.; Chen, Y.H.; Rastelli, A.; et al. Gate controlled Aharonov-Bohm-type oscillations from single neutral excitons in quantum rings. Phys. Rev. B 2010, 82, 075309. [Google Scholar] [CrossRef]
- González-Santander, C.; Dominguez-Adame, F.; Romer, R.A. Excitonic Aharonov-Bohm effect in a two-dimensional quantum ring. Phys. Rev. B 2011, 84, 235103. [Google Scholar] [CrossRef]
- Kibis, O.V.; Sigurdsson, H.; Shelykh, I.A. Aharonov-Bohm effect for excitons in a semiconductor quantum ring dressed by circularly polarized light. Phys. Rev. B 2015, 91, 235308. [Google Scholar] [CrossRef]
- Alexeev, A.M.; Portnoi, M.E. Electric dipole moment oscillations in Aharonov-Bohm quantum rings. Phys. Rev. B 2012, 85, 245419. [Google Scholar] [CrossRef]
- Alexeev, A.M.; Shelykh, I.A.; Portnoi, M.E. Aharonov-Bohm quantum rings in high-Q microcavities. Phys. Rev. B 2013, 88, 085429. [Google Scholar] [CrossRef]
- Kuroda, T.; Mano, T.; Ochiai, T.; Sanguinetti, S.; Sakoda, K.; Kido, G.; Koguchi, N. Optical transitions in quantum ring complexes. Phys. Rev. B 2005, 72, 205301. [Google Scholar] [CrossRef]
- Kuroda, T.; Mano, T.; Ochiai, T.; Sanguinetti, S.; Noda, T.; Kuroda, K.; Sakoda, K.; Kido, G.; Koguchi, N. Excitonic transitions in semiconductor concentric quantum double rings. Physica E 2006, 32, 46. [Google Scholar] [CrossRef]
- Wang, N.; Liu, D.; Kong, X. Biexciton energies in concentric double quantum rings. J. Appl. Phys. 2013, 113, 053714. [Google Scholar] [CrossRef]
- Ciuti, C.; Savona, V.; Piermarocchi, C.; Quattropani, A.; Schwendimann, P. Role of the exchange of carriers in elastic exciton-exciton scattering in quantum wells. Phys. Rev. B 1998, 58, 7926. [Google Scholar] [CrossRef]
- Combescot, M.; Betbeder-Matibet, O.; Combescot, R. Exciton-exciton scattering: Composite boson versus elementary boson. Phys. Rev. B 2007, 75, 174305. [Google Scholar] [CrossRef]
- Glazov, M.M.; Ouerdane, H.; Pilozzi, L.; Malpuech, G.; Kavokin, A.V.; d’Andrea, A. Polariton-polariton scattering in microcavities: A microscopic theory. Phys. Rev. B 2009, 80, 155306. [Google Scholar] [CrossRef]
- Shahnazaryan, V.; Shelykh, I.A.; Kyriienko, O. Attractive Coulomb interaction of two-dimensional Rydberg excitons. Phys. Rev. B 2016, 93, 245302. [Google Scholar] [CrossRef]
- Kyriienko, O.; Magnusson, E.B.; Shelykh, I.A. Spin dynamics of cold exciton condensates. Phys. Rev. B 2012, 86, 115324. [Google Scholar] [CrossRef]
- Kidd, D.W.; Zhang, D.K.; Varga, K. Binding energies and structures of two-dimensional excitonic complexes in transition metal dichalcogenides. Phys. Rev. B 2016, 93, 125423. [Google Scholar] [CrossRef]
- Shahnazaryan, V.; Iorsh, I.; Shelykh, I.A.; Kyriienko, O. Exciton-exciton interaction in transition-metal dichalcogenide monolayers. Phys. Rev. B 2017, 96, 115409. [Google Scholar] [CrossRef]
- Melin, T.; Laruelle, F. Exciton-Exciton Interactions in AlAs/GaAs Coupled Quantum Wire Arrays. Phys. Rev. Lett. 1998, 81, 4460. [Google Scholar] [CrossRef]
- Yao, Y.; Elborg, M.; Kuroda, T.; Sakoda, K. Excitonic Aharonov–Bohm effect in QD-on-ring nanostructures. J. Phys. Condens. Matter 2017, 29, 385301. [Google Scholar] [CrossRef] [PubMed]
- Elborg, M.; Noda, T.; Mano, T.; Kuroda, T.; Yao, Y.; Sakuma, Y.; Sakoda, K. Self-assembly of vertically aligned quantum ring-dot structure by Multiple Droplet Epitaxy. J. Cryst. Growth 2017, 477, 239. [Google Scholar] [CrossRef]
- Fomin, V. Physics of Quantum Rings; Springer: Berlin/Heidelberg, Germany, 2014. [Google Scholar]
- Fomin, V. Physics of Quantum Rings, 2nd ed.; Springer International Publishing: Cham, Switzerland, 2018. [Google Scholar]
- Yepez, H.N.; Vargas, C.; Brito, A.S. The one-dimensional hydrogen atom in momentum representation. Eur. J. Phys. 1987, 8, 189. [Google Scholar] [CrossRef]
- Kovalev, V.; Chaplik, A. Fine structure of exciton luminescence in a quantum ring under external electromagnetic radiation. EPL 2007, 77, 47003. [Google Scholar] [CrossRef]
- Loudon, R. One-dimensional hydrogen atom. Am. J. Phys. 1959, 27, 649. [Google Scholar] [CrossRef]
- Wang, F.; Dukovic, G.; Brus, L.; Heinz, T. The optical resonances in carbon nanotubes arise from excitons. Science 2005, 308, 838–841. [Google Scholar] [CrossRef]
- Shahnazaryan, V.; Saroka, V.; Shelykh, I.; Portnoi, M. Strong light-matter coupling in carbon nanotubes as a route to exciton brightening. ACS Photonics 2019, 6, 904–914. [Google Scholar] [CrossRef]
- Bányai, L.; Galbraith, I.; Ell, C.; Haug, H. Excitons and biexcitons in semiconductor quantum wires. Phys. Rev. B 1987, 36, 6099–6104. [Google Scholar] [CrossRef]
- Ogawa, T.; Takagahara, T. Interband absorption spectra and Sommerfeld factors of a one-dimensional electron-hole system. Phys. Rev. B 1991, 43, 14325(R). [Google Scholar] [CrossRef]
- Ogawa, T.; Takagahara, T. Optical absorption and Sommerfeld factors of one-dimensional semiconductors: An exact treatment of excitonic effects. Phys. Rev. B 1991, 44, 8138–8156. [Google Scholar] [CrossRef] [PubMed]
- Li, R.; Cai, C.; Hu, L.; Wu, H.; Zhang, W.; Zhu, J. Band alignment of ZnO/CdSe quantum dots heterojunction determined by ultraviolet photoelectron spectroscopy using synchrotron radiation. Appl. Surf. Sci. 2013, 276, 258. [Google Scholar] [CrossRef]
- Gutowski, J.; Sebald, K.; Voss, T. CdSe: Dielectric constants. In Semiconductors. Landolt-Börnstein—Group III Condensed Matter (Numerical Data and Functional Relationships in Science and Technology); Roessler, U., Ed.; Springer: Berlin/Heidelberg, Germany, 2008; Volume 44B. [Google Scholar]
- Adachi, S. Handbook on Physical Properties of Semiconductors; Kluwer: New York, NY, USA, 2004; Volume 3. [Google Scholar]
- Flugge, S. Practical Quantum Mechanics; Mir: Moscow, Russia, 1974. (In Russian) [Google Scholar]





© 2019 by the authors. Licensee MDPI, Basel, Switzerland. This article is an open access article distributed under the terms and conditions of the Creative Commons Attribution (CC BY) license (http://creativecommons.org/licenses/by/4.0/).
Share and Cite
Shahnazaryan, V.; Mughnetsyan, V.; Shelykh, I.; Sarkisyan, H. Exciton–Exciton Interactions in Coaxial Double Quantum Rings. Nanomaterials 2019, 9, 1469. https://doi.org/10.3390/nano9101469
Shahnazaryan V, Mughnetsyan V, Shelykh I, Sarkisyan H. Exciton–Exciton Interactions in Coaxial Double Quantum Rings. Nanomaterials. 2019; 9(10):1469. https://doi.org/10.3390/nano9101469
Chicago/Turabian StyleShahnazaryan, Vanik, Vram Mughnetsyan, Ivan Shelykh, and Hayk Sarkisyan. 2019. "Exciton–Exciton Interactions in Coaxial Double Quantum Rings" Nanomaterials 9, no. 10: 1469. https://doi.org/10.3390/nano9101469
APA StyleShahnazaryan, V., Mughnetsyan, V., Shelykh, I., & Sarkisyan, H. (2019). Exciton–Exciton Interactions in Coaxial Double Quantum Rings. Nanomaterials, 9(10), 1469. https://doi.org/10.3390/nano9101469

