Mobility Enhancement in Amorphous In-Ga-Zn-O Thin-Film Transistor by Induced Metallic in Nanoparticles and Cu Electrodes
Abstract
:1. Introduction
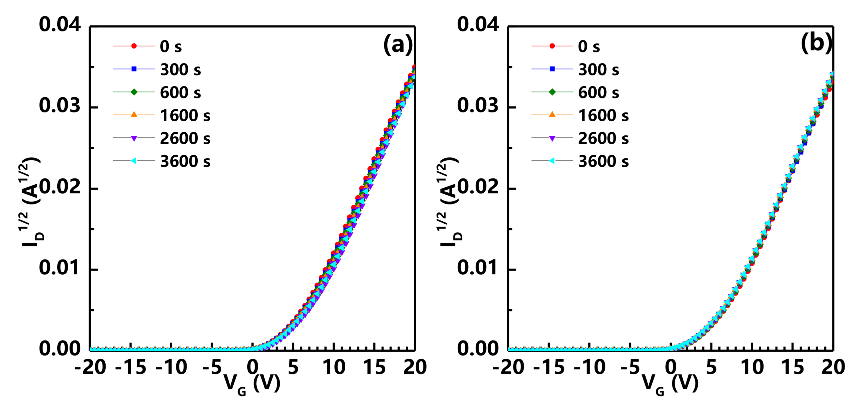
2. Results and Discussion
3. Materials and Methods
4. Conclusions
Acknowledgments
Author Contributions
Conflicts of Interest
References
- Liao, Y.; Shao, X.; Du, Y.; Song, Y.; Hu, W.; Zhang, Z.; Chen, Y.; Wang, Y.; Ma, Q.; Yoon, D.; et al. Development of a 120 Hz 110” ultra-high-definition a-Si liquid crystal display panel. J. Inf. Disp. 2014, 15, 77–80. [Google Scholar] [CrossRef]
- Gong, N.; Park, C.; Lee, J.; Jeong, I.; Han, H.; Hwang, J.; Park, J.; Park, K.; Jeong, H.; Ha, Y.; et al. 58.2: Distinguished Paper: Implementation of 240 Hz 55-inch Ultra Definition LCD Driven by a-IGZO Semiconductor TFT with Copper Signal Lines. SID Symp. Digest Tech. Pap. 2012, 43, 784–787. [Google Scholar] [CrossRef]
- Nomura, K.; Ohta, H.; Takagi, A.; Kamiya, T.; Hirano, M.; Hosono, H. Room-temperature fabrication of transparent flexible thin-film transistors using amorphous oxide semiconductors. Nature 2004, 432, 488–492. [Google Scholar] [CrossRef] [PubMed]
- Zhou, L.; Xu, M.; Xia, X.H.; Zou, J.H.; Zhang, L.R.; Luo, D.X.; Wu, W.J.; Wang, L.; Peng, J.B. Power Consumption Model for AMOLED Display Panel Based on 2T-1C Pixel Circuit. J. Disp. Technol. 2016, 12, 1064–1069. [Google Scholar] [CrossRef]
- Zhao, M.; Xu, M.; Ning, H.; Xu, R.; Zou, J.; Tao, H.; Wang, L.; Peng, J. Method for Fabricating Amorphous Indium-Zinc-Oxide Thin-Film Transistors With Copper Source and Drain Electrodes. IEEE Electron Device Lett. 2015, 36, 342–344. [Google Scholar] [CrossRef]
- Hu, S.; Fang, Z.; Ning, H.; Tao, R.; Liu, X.; Zeng, Y.; Yao, R.; Huang, F.; Li, Z.; Xu, M.; Wang, L.; Lan, L.; Peng, J. Effect of Post Treatment For Cu-Cr Source/Drain Electrodes on a-IGZO TFTs. Materials 2016, 9, 623. [Google Scholar] [CrossRef] [PubMed]
- Kim, W.S.; Moon, Y.K.; Lee, S.; Kang, B.W.; Kwon, T.S.; Kim, K.T.; Park, J.W. Copper source/drain electrode contact resistance effects in amorphous indium-gallium-zinc-oxide thin film transistors. Phys. Status Solidi Rapid Res. Lett. 2009, 3, 239–241. [Google Scholar] [CrossRef]
- Lee, C.K.; Park, S.Y.; Jung, H.Y.; Lee, C.K.; Son, B.G.; Kim, H.J.; Lee, Y.J.; Joo, Y.C.; Jeong, J.K. High performance Zn-Sn-O thin film transistors with Cu source/drain electrode. Phys. Status Solidi Rapid Res. Lett. 2013, 7, 196–198. [Google Scholar] [CrossRef]
- Ka, J.; Cho, E.N.; Lee, M.J.; Myoung, J.M.; Yun, I. Electrode metal penetration of amorphous indium gallium zinc oxide semiconductor thin film transistors. Curr. Appl. Phys. 2015, 15, 675–678. [Google Scholar] [CrossRef]
- Tai, Y.H.; Chiu, H.L.; Chou, L.S. The deterioration of a-IGZO TFTs owing to the copper diffusion after the process of the source/drain metal formation. J. Electrochem. Soc. 2012, 159, J200–J203. [Google Scholar] [CrossRef]
- Fortunato, E.; Barquinha, P.; Martins, R. Oxide Semiconductor Thin-Film Transistors: A Review of Recent Advances. Adv. Mater. 2012, 24, 2945–2986. [Google Scholar] [CrossRef] [PubMed]
- Yim, J.R.; Jung, S.Y.; Yeon, H.W.; Kwon, J.Y.; Lee, Y.J.; Lee, J.H.; Joo, Y.C. Effects of metal electrode on the electrical performance of amorphous In–Ga–Zn–O thin film transistor. Jpn. J. Appl. Phys. 2011, 51, 011401. [Google Scholar] [CrossRef]
- Jaechul, P.; Changjung, K.; Sunil, K.; Ihun, S.; Sangwook, K.; Donghun, K.; Hyuck, L.; Huaxiang, Y.; Ranju, J.; Eunha, L.; et al. Source/drain series-resistance effects in amorphous gallium-indium zinc-oxide thin film transistors. IEEE Electron Device Lett. 2008, 29, 879–881. [Google Scholar]
- Kim, W.S.; Moon, Y.K.; Kim, K.T.; Lee, J.H.; Ahn, B.D.; Park, J.W. An investigation of contact resistance between metal electrodes and amorphous gallium-indium-zinc oxide (a-GIZO) thin-film transistors. Thin Solid Films 2010, 518, 6357–6360. [Google Scholar] [CrossRef]
- Uemura, T.; Rolin, C.; Ke, T.; Fesenko, P.; Genoe, J.; Heremans, P.; Takeya, J. On the Extraction of Charge Carrier Mobility in High-Mobility Organic Transistors. Adv. Mater. 2016, 28, 151. [Google Scholar] [CrossRef] [PubMed]
- Brotherton, S.D. Introduction to Thin Film Transistors; Springer Verlag: Berlin, Germany, 2013. [Google Scholar]
- Kanai, Y. Admittance spectroscopy of Cu-doped ZnO crystals. Jpn. J. Appl. Phys. 1991, 30, 703–707. [Google Scholar] [CrossRef]
- Kim, S.I.; Park, J.S.; Kim, C.J.; Park, J.C.; Song, I.; Park, Y.S. High Reliable and Manufacturable Gallium Indium Zinc Oxide Thin-Film Transistors Using the Double Layers as an Active Layer. J. Electrochem. Soc. 2009, 156, H184. [Google Scholar] [CrossRef]
- Nandy, S.; Banerjee, A.; Fortunato, E.; Martins, R. A Review on Cu2O and CuI-Based p-Type Semiconducting Transparent Oxide Materials: Promising Candidates for New Generation Oxide Based Electronics. Rev. Adv. Sci. Eng. 2013, 2, 273–304. [Google Scholar] [CrossRef]
- Trinh, T.T.; Jang, K.; Dao, V.A.; Yi, J. Effect of high conductivity amorphous InGaZnO active layer on the field effect mobility improvement of thin film transistors. J. Appl. Phys. 2014, 116, 214504. [Google Scholar] [CrossRef]
- Trinh, T.T.; Jang, K.; Velumani, S.; Dao, V.A.; Yi, J. Role of Schottky barrier height at source/drain contact for electrical improvement in high carrier concentration amorphous InGaZnO thin film transistors. Mater. Sci. Semicond. Process. 2015, 38, 50–56. [Google Scholar] [CrossRef]
- Luo, D.; Lan, L.; Xu, M.; Xu, H.; Li, M.; Wang, L.; Peng, J. Role of Rare Earth Ions in Anodic Gate Dielectrics for Indium-Zinc-Oxide Thin-Film Transistors. J. Electrochem. Soc. 2012, 159, H502. [Google Scholar] [CrossRef]






| Sample | S/D | AlO PVL | Post-Annealing | V (V) | (cm/Vs) | SS (V/dec) | I/I |
|---|---|---|---|---|---|---|---|
| S1 | Cu | No | No | 3.5 | 8.2 | 0.26 | 3.3 × 10 |
| S2 | Cu | No | Yes | 10.0 | 6.8 | 0.43 | 9.2 × 10 |
| S3 | Mo | Yes | No | — | — | — | — |
| S4 | Cu | Yes | No | — | — | — | — |
| S5 | Mo | Yes | Yes | — | — | — | — |
| S6 | Cu | Yes | Yes | 5.7 | 220.7 | 0.78 | 1.1 × 10 |
© 2018 by the authors. Licensee MDPI, Basel, Switzerland. This article is an open access article distributed under the terms and conditions of the Creative Commons Attribution (CC BY) license (http://creativecommons.org/licenses/by/4.0/).
Share and Cite
Hu, S.; Ning, H.; Lu, K.; Fang, Z.; Li, Y.; Yao, R.; Xu, M.; Wang, L.; Peng, J.; Lu, X. Mobility Enhancement in Amorphous In-Ga-Zn-O Thin-Film Transistor by Induced Metallic in Nanoparticles and Cu Electrodes. Nanomaterials 2018, 8, 197. https://doi.org/10.3390/nano8040197
Hu S, Ning H, Lu K, Fang Z, Li Y, Yao R, Xu M, Wang L, Peng J, Lu X. Mobility Enhancement in Amorphous In-Ga-Zn-O Thin-Film Transistor by Induced Metallic in Nanoparticles and Cu Electrodes. Nanomaterials. 2018; 8(4):197. https://doi.org/10.3390/nano8040197
Chicago/Turabian StyleHu, Shiben, Honglong Ning, Kuankuan Lu, Zhiqiang Fang, Yuzhi Li, Rihui Yao, Miao Xu, Lei Wang, Junbiao Peng, and Xubing Lu. 2018. "Mobility Enhancement in Amorphous In-Ga-Zn-O Thin-Film Transistor by Induced Metallic in Nanoparticles and Cu Electrodes" Nanomaterials 8, no. 4: 197. https://doi.org/10.3390/nano8040197
APA StyleHu, S., Ning, H., Lu, K., Fang, Z., Li, Y., Yao, R., Xu, M., Wang, L., Peng, J., & Lu, X. (2018). Mobility Enhancement in Amorphous In-Ga-Zn-O Thin-Film Transistor by Induced Metallic in Nanoparticles and Cu Electrodes. Nanomaterials, 8(4), 197. https://doi.org/10.3390/nano8040197

