Next Article in Journal
Biocompatible Nanocomposite Implant with Silver Nanoparticles for Otology—In Vivo Evaluation
Previous Article in Journal
Coarse-Grained Molecular Dynamics Modelling of a Magnetic Polymersome
 
 
Due to scheduled maintenance work on our servers, there may be short service disruptions on this website between 11:00 and 12:00 CEST on March 28th.
Font Type:
Arial Georgia Verdana
Font Size:
Aa Aa Aa
Line Spacing:
Column Width:
Background:
Article

Eu2+ and Eu3+ Doubly Doped ZnWO4 Nanoplates with Superior Photocatalytic Performance for Dye Degradation

School of Mathematics and Physics, Changzhou University, Changzhou 213164, China
*
Author to whom correspondence should be addressed.
Nanomaterials 2018, 8(10), 765; https://doi.org/10.3390/nano8100765
Submission received: 17 August 2018 / Revised: 16 September 2018 / Accepted: 25 September 2018 / Published: 27 September 2018

Abstract

:
Eu2+ and Eu3+ doubly doped ZnWO4 nanoplates with highly exposed {100} facets were synthesized via a facile hydrothermal route in the presence of surfactant cetyltrimethyl ammonium bromide. These ZnWO4 nanoplates were characterized using scanning electron microscopy, transmission electron microscopy, X-ray diffraction, X-ray photoelectron spectrometry, diffuse UV-vis reflectance spectroscopy, photoluminescence spectrophotometry, and photoluminescence lifetime spectroscopy to determine their morphological, structural, chemical, and optical characteristics. It is found that Eu-doped ZnWO4 nanoplates exhibit superior photo-oxidative capability to completely mineralize the methyl orange into CO2 and H2O, whereas undoped ZnWO4 nanoparticles can only cleave the organic molecules into fragments. The superior photocatalytic performance of Eu-doped ZnWO4 nanoplates can be attributed to the cooperative effects of crystal facet engineering and defect engineering. This is a valuable report on crystal facet engineering in combination with defect engineering for the development of highly efficient photocatalysts.

1. Introduction

Belonging to a wide group of wolframite-type tungstates, zinc tungstate (ZnWO4) is a technologically important material for numerous applications in the fields of luminescent materials [1,2,3,4,5], photocatalysts [6,7,8,9,10,11,12,13,14], Li-ion batteries [15], humidity sensors [16], materials for stimulated Raman scattering [17], and materials for deactivating microorganisms [18]. Among these applications, the photocatalytic properties of ZnWO4 nanostructures have been intensively investigated in order to solve one of the most serious environmental problems in our modern society via semiconductor-based photocatalytic degradation of organic contaminants in water under sunlight [6,7,8,9,10,11]. Up to date, a diverse range of strategies has been developed to enhance the photocatalytic activity of ZnWO4 nanostructures, which can be classified into three categories: (i) synthesis of ZnWO4 nanorods and nanosheets with large specific surface area [19]; (ii) coupling ZnWO4 with other semiconductors and metals such as In2S3 [20], Ag [21], ZnO [22], and Cu2O [23]; and (iii) defect engineering ZnWO4 via doping with non-metal ions (B, C, N, F) [24,25,26], transition metal ions (Sn2+, Cr3+, Mn2+, Cu2+) [27,28], and lanthanide ions (Dy3+, Er3+) [29,30]. Interestingly, the defect engineering is found to be able to significantly enhance the photocatalytic performances of ZnWO4 nanostructures. For example, Phuruangrat et al. reported that the activity of Dy3+ doped ZnWO4 nanorods (3 mol %) was 1.5 times of that of undoped ZnWO4 [29]; Zhou et al. observed the enhanced photocatalytic activity of Er3+ doped ZnWO4 nanorods [30].
Besides the above mentioned strategies, crystal facet engineering has recently become an important technique to improve the photocatalytic activity of semiconductor-based photocatalysts [31,32,33,34,35]. It is known that crystal facet engineering of a semiconductor photocatalyst can induce exotic physical and chemical performance in the photocatalyst because of the differently exposed ions on the different facets. Previous explorations have shown the profound influence of facets on the photocatalysis. For example, Yuan et al. demonstrated the crystal facet-correlated photocatalytic activity of α-Fe2O3 for water splitting [35]; Wu et al. reported that {010} faceted BiOBr nanocrystals displayed a better photo-oxidative capability than {001} faceted nanocrystals for water oxidation and formic acid degradation [36]; Qi et al. found that {101} faceted TiO2 showed superior catalytic activity to {001} and {010} faceted TiO2 for anthracene degradation [37]; Rong et al. reported that {310} faceted α-MnO2 nanowires exhibited much better activity than {100} and {110} facets for formaldehyde oxidation [38]. It is clear that little attention is paid on the facet-dependent photocatalytic activity of ZnWO4, although such a phenomenon is well studied in a number of functional materials [31,32,33,34,35,36,37,38].
By combining the defect engineering (doping) with facet engineering, we anticipate that Eu-doped ZnWO4 nanoplates with highly exposed {100} facets might have noticeably different photocatalytic performance when compared with ZnWO4 nanoparticles, which have no clearly defined facets. In this work, Eu-doped ZnWO4 nanoplates with highly exposed {100} facets were synthesized via the hydrothermal technique. When compared with undoped ZnWO4 nanoparticles, we demonstrated that the Eu-doped ZnWO4 nanoplates exhibit superior photo-oxidative capability to completely mineralize dye molecules into CO2 and H2O, whereas the undoped ZnWO4 nanoparticles cannot do so. This work provides new insights into the development of highly efficient photocatalysts for pollutant elimination through crystal-facet tailoring in combination with defect-engineering. To our knowledge, there is hardly any report about lanthanide ions doubly doped ZnWO4 nanoplates with highly exposed facets for highly efficient photocatalyst.

2. Materials and Characterizations

2.1. Preparation of Eu-Doped ZnWO4 Nanoplates

Eu-doped ZnWO4 nanoplates were prepared via the hydrothermal route. Analytical grade reagents Na2WO4·2H2O, Zn(NO3)2·6H2O, Eu(NO3)·6H2O, cetyltrimethyl ammonium bromide (CTAB), and ammonia were provided by Sinopharm Chemical Reagents Company (Shanghai, China). Under vigorous stirring with a magnetic bar, Zn(NO3)2·6H2O (0.01 mol), CTAB (0.001 mol), Eu(NO3)·6H2O (0.0005 mol), and Na2WO4·2H2O (0.01 mol) were dissolved into 80 mL deionized water. The pH value of the reaction system was adjusted to around 9 by adding appropriate amount of ammonia. After stirring for 30 min, the mixture was transferred into a 90 mL Teflon-lined stainless steel autoclave. With a filling capacity of about 90%, the autoclave was sealed and maintained at 180 °C for 17 h for hydrothermal reaction. After being cooled to room temperature in air, the precipitates from the autoclave were filtered, washed repeatedly with deionized water, and then dried in an oven at 90 °C for 6 h. In the process of hydrothermal synthesis, a portion of Eu3+ ions were reduced to Eu2+, but the total molar concentration of Eu2+ and Eu3+ in ZnWO4 was fixed to be 5 mol % [39]. Undoped ZnWO4 nanoparticles, which have no well defined facets, were employed as a reference photocatalyst. Without the addition of Eu(NO3)·6H2O into the starting materials, undoped ZnWO4 nanoparticles were prepared via the hydrothermal route under the condition of pH = 5.65, while the other parameters were kept unchanged.

2.2. Crystal Structure and Morphology of Eu-Doped ZnWO4 Nanoplates

The scanning electron microscope (SEM) (S-4800, Hitachi, Tokyo, Japan) and X-ray diffractometer (XRD) (D/max 2500 PC, Akishima, Japan) were employed to analyze the morphology and crystal structures of the synthesized ZnWO4 nanoplates. The SEM was coupled with a silicon drifted detector as the X-ray analyzer for the energy dispersive X-ray (EDX) spectroscopic analysis. The nanostructures of the sample were characterized on a transmission electron microscope (TEM) (JEOL JEM–2100, Japan Electronics Corp. Akishima, Japan), which was operated at 200 kV. The X-ray photoelectron spectroscopic (XPS) measurements were performed on an Escalab 250Xi spectrophotometer (Thermo Scientific, Waltham, MA, USA) with Al Kα radiation (1486.6 eV). The XPS spectrometer was calibrated by recording the binding energy of Au4f7/2 peak at 83.9 eV. A C1s peak at 284.6 eV was taken as an internal standard.

2.3. Absorption and PL Spectra of Eu-Doped ZnWO4 Nanoplates

The diffused reflectance spectra of the samples were measured with a UV-vis spectrometer (UV3600, Shimazu, Kyoto, Japan). The photoluminescence (PL) spectra of ZnWO4 nanoplates were recorded with a spectrophotometer (Tianjin Gangdong Ltd., Tianjin, China). The 325 nm laser line from a helium-cadmium laser was utilized as the excitation source for the PL measurement. The PL lifetime spectra of the ZnWO4 nanoplates were measured at room temperature on a picosecond fluorescence lifetime spectrometer (LifeSpec II, Edinburgh Instruments, Edinburgh, UK), utilizing a time correlated single photon counting method with a pulsed diode laser source (λ = 375 nm). The typical pulse width, peak power, and repetition frequency of the picosecond pulsed diode laser were 50 ps, 90 mW, and 20 MHz, respectively. Details on the characterizations could be found elsewhere [40,41].

2.4. Electronic Structure Calculation of ZnWO4

First-principles density functional theory (DFT) calculations of the electronic structures of ZnWO4 were performed using the DFT module of the Quantumwise Atomistix ToolKit 11.8 package. The exchange-correlation functional was treated within the GGA + U scheme, in which GGA was described by the Perdew–Burke–Ernzerhof potential [42], whereas U2p = 0 eV for O, U5d = 8 eV for W, and U3d = 0 eV for Zn. Monoclinic ZnWO4 belongs to space group P2/c (13). There are 2 Zn, 2 W, and 8 O atoms in the unit cell of ZnWO4. The initial structural data of ZnWO4 were taken from Inorganic Crystal Structure Database (ICSD No. 156483). The lattice parameters of monoclinic ZnWO4 were taken as a = 0.4691 nm, b = 0.572 nm, c = 0.4925 nm, and β = 90.64° in the present work. The considered electronic configurations were 3d104p04s2 for Zn, 2s22p4 for O, and 5p65d46s2 for W. Double zeta single polarized basis sets were chosen for each element. The electronic wave-functions were expanded in plane waves up to a kinetic energy cut-off with a typical value of 100 Hartree. The Monkhorst–Pack scheme k-points grid sampling was set at 5 × 5 × 5 for the Brillouin zone. The Brillouin zone sampling and the kinetic energy cutoff were sufficient to guarantee an excellent convergence for the calculated band structures.

2.5. Photocatalytic Activity of Eu-Doped ZnWO4 Nanoplates

The photocatalytic activity of Eu-doped ZnWO4 nanoplates was evaluated by monitoring the degradation of methyl orange in water under the irradiation from a high-pressure mercury lamp (100 W). The primary emission lines of the high-pressure mercury lamp were located at 365.0, 404.7, 435.8, and 546.1 nm. As described in previous work, the reactor consisted of a high-pressure mercury lamp, an inner cylindrical quartz tube (Φ55 mm), a middle cylindrical quartz tube (Φ75 mm), and an outer cylindrical quartz tube (Φ140 mm). The inner cylindrical quartz tube was designed to house the high-pressure mercury lamp. The free space between the inner and the middle cylindrical glass tubes served as the working chamber by filling 400 mL of the methyl orange solution for photocatalytic degradation. In the meanwhile, the free space between the middle and the outer cylindrical glass tubes was filled with running water to keep the temperature of the methyl orange solution lower than 40 °C. The height of each cylinder was 210 mm. The bottoms of the three co-axial cylinders were sealed together. In the present work, the concentration of methyl orange solution was about 56 mM (i.e., 18.3 mg/L). Detailed descriptions on the geometry of the photocatalytic reactor were available elsewhere [43,44]. After having been loaded with ZnWO4 nanoplates (400 mg), the solution of methyl orange was magnetically stirred in the dark for 30 min to ensure the establishment of an adsorption–desorption equilibrium. After having been exposed to the irradiation for a certain period of time, 5 mL of the suspension was collected. The particles of the photocatalysts were removed by centrifuging at 3000 rpm for 10 min before the absorbance measurement. The concentration of methyl orange was determined by checking the absorbance with an UV-vis spectrophotometer (UV2450, Shimazu, Japan).

2.6. Specific Surface Area and Chemical Oxygen Demand (COD) Measurements

The specific surface area of Eu2+ and Eu3+ co-doped ZnWO4 nanoplates was measured using a surface area analyzer (ASAP2010C, Micromeritics, Norcross, GA, USA) on the basis of nitrogen absorption at −196 °C. The samples were degassed overnight at 150 °C before nitrogen adsorption. The obtained nitrogen adsorption–desorption isotherms were evaluated with the Brunauer–Emmett–Teller (BET) equation to give the values of their specific surface areas. To confirm the complete mineralization of the dye, we derived the COD values at different stages of the degradation via the potassium dichromate titration method [45]. Dye solution sample (20 mL) was refluxed with HgSO4 (0.4 g), K2Cr2O7 (0.25 mol/L, 10 mL), and the mixture of AgSO4 and H2SO4 (5g AgSO4 in 500 mL H2SO4, 30 mL) at 150 °C for 2 h. Then, the dye solution was titrated with ferrous ammonium sulfate (0.1 mol/L) using ferroin indicator. A blank titration was carried out with deionized water. The equation for the COD value determination was described in the literature [45].

3. Results and Discussions

3.1. Morphology and Crystal Structure of Eu-Doped ZnWO4 Nanoplates

Figure 1 shows the typical SEM micrograph (a), low-resolution TEM micrograph (b), and high-resolution TEM micrograph (c) of Eu-doped ZnWO4 nanoplates. The formation of ZnWO4 nanoplates is evident in Figure 1a. As can be seen in Figure 1a, the length of the ZnWO4 nanoplates is not uniform, and varies from 200 nm to several micrometers. Similarly, the width of the ZnWO4 nanoplates changes in the range of 20–80 nm. Moreover, the thickness of the nanoplates can be estimated from the SEM micrograph too, when their highly exposed facets are perpendicular to the paper plane, in which case, the nanoplates look apparently like nanorods. In this way, the thickness of ZnWO4 nanoplates is estimated to be around 10 nm. Further evidence on the formation of ZnWO4 nanoplates can be found in the low-resolution TEM micrograph. As shown in Figure 1b, the image contrast of each nanoplate is nearly uniform across the entire nanoplate. At lower magnifications, TEM image contrast is the result of differential absorption of electrons by the material, and the difference in thickness of the material will inevitably generate difference in TEM image contrast. If one ZnWO4 nanorod was the result, the TEM image contrast would be decreased from the edge of the nanorod towards its central axis because the thicker area will appear darker in a bright field image. This argument is confirmed by the darker image contrast when two ZnWO4 nanoplates are crossed over each other in Figure 1b. Thus, the uniform contrast in Figure 1b confirms the formation of ZnWO4 nanoplates. When compared with the Er3+ doped ZnWO4 single crystals [4], our ZnWO4 nanoplates are nanomaterials with large specific surface area. When compared with ZnWO4 nanoparticles and nanorods synthesized via the sol-gel, sonochemical, and hydrothermal methods [3,11,15,21,22], our Eu-doped ZnWO4 nanoplates are unique in their highly exposed facets. As documented in the literature, the exposed crystal facets directly determine their physicochemical properties [31,32,33,34]. Thus, acquiring a high percentage of reactive facets by crystal facet engineering is highly desirable for improving the photocatalytic reactivity of ZnWO4. In order to reveal the information of the facet, we performed high-resolution TEM characterization for the ZnWO4 nanoplates. As displayed in Figure 1c, the spacing between two adjacent planes is calculated to be 0.471 nm, which is in good agreement with the distance between two (100) crystal planes of ZnWO4. According to the results in Figure 1, our ZnWO4 nanoplates exhibit a highly exposed {100} facet. A similar TEM analysis shows that ZnWO4 nanoparticles have no obvious crystal orientation.
The formation of ZnWO4 nanoplates has something to do with the presence of CTAB in the hydrothermal reaction system. Hydrothermal synthesis is the technique of crystallizing substances from high-temperature aqueous solutions at high vapor pressures. The high temperature and high vapor pressure in the autoclave give the crystal a chance to develop into various kinds of crystal habits. CTAB, which is one of the most common surfactants, can lower the interfacial tension between two liquids or between a liquid and a solid. For instance, Ni et al. reported that the presence of CTAB can influence the growth orientation of ZnO under hydrothermal conditions [46]. In our case, one Zn2+ cation and one WO42− anion are turned into one ZnWO4 molecule when they encounter each other in the solution. Such ZnWO4 molecules stack together at the molecular scale to form a regular crystal lattice with lots of dangling bonds for further reaction. It is known that one CTAB molecule contains a hydrophobic group (tail) and a hydrophilic group (head). On the one hand, when a specific surface of the crystal lattice is not capped by the CTAB molecules, Zn2+ and WO42− ions from the aqueous solution can readily attach to this rough surface with the result of growing relatively quickly. On the other hand, when the surface is capped with the CTAB molecules on a molecular scale, Zn2+ and WO42− ions from the aqueous solution cannot so easily attach to this smooth surface for reactions, and hence this surface advances more slowly. As a result of the competitive growth, facets will appear on the growing ZnWO4 crystal because the CTAB adsorbed surface grows much more slowly than others. Figure 1 demonstrates that the ZnWO4 crystals grow very slowly in the <100> direction to allow the facets {100} to fully develop.
Figure 2a gives the powder XRD curve of the Eu-doped ZnWO4 nanoplates. The open circles in Figure 2a represent the experimental data. As shown in Figure 2a, diffraction peaks at 14.98°, 18.86°, 23.56°, 24.36°, 38.30° and 48.36° can be assigned to the reflections from the (010), (100), (011), (110), (200), and (022) planes of monoclinic ZnWO4 [3,27], respectively, whereas the peak at 30.40° is ascribed to the combined contributions from (111), ( 1 ¯ 11 ),and (020) crystallographic planes as these diffractions are located too closely [2,3,6,7,10,16]. For the same reason, the four peaks located at 36.20°, 40.94°, 44.22° and 45.76° can be ascribed to the contributions from the pairs of planes (021) and (002), (121) and ( 1 ¯ 21 ), (112) and ( 1 ¯ 12 ), and (211) and ( 2 ¯ 11 ), respectively. The XRD data for standard ZnWO4 (Joint Committee on Powder Diffraction Standards (JCPDS), No. 15-0774) are depicted by the vertical bars in the bottom of Figure 2a for comparison. It can be seen that all the diffraction peaks of the sample can be readily indexed to the pure monoclinic phase ZnWO4. The solid green curve in Figure 2a represents the calculated diffractogram using the Rietveld refinement [40]. The lattice parameters obtained from the Rietveld refinement are a = 0.4683 nm, b = 0.5741 nm, c = 0.4949 nm, and β = 90.595°, which are nearly consistent with the standard data (a = 0.4691 nm, b = 0.5720 nm, c = 0.4925 nm, and β = 90.64°). Thus, the XRD curve in Figure 2a has verified that the ZnWO4 nanoplates are in monoclinic phase.
EDX is an analytical technique used for the elemental analysis of a specimen [42,43]. Figure 2b depicts the EDX spectrum of the Eu-doped ZnWO4. The first four X-ray emission peaks in the left section of Figure 2b are located at 0.53 keV, 1.02 keV, 1.78 keV, and 2.13 keV, which can be attributed to the characteristic X-ray emissions of O(Kα1), Zn(Lα1,2), W(Mα1), and Au(Mα1), respectively. The Au element was introduced in the specimen during the Au sputtering for the convenience of SEM analysis [47,48]. In the middle section of Figure 2b, there are four peaks located at 5.85 keV, 6.46 keV, 6.85 keV, and 7.48 keV, which can be assigned to the characteristic emissions of Eu(Lα1,2), Eu(Lβ1), Eu(Lβ2,15), and Eu(Lγ1), respectively [41,43]. In the right section of Figure 2b, the peak at 8.40 keV can be attributed to W(Lα1). In the meanwhile, the peak at 8.62 keV can be attributed to Zn(Kα1) and Zn(Kα2). It is interesting to note that the two characteristic emissions of Zn(Ka1) at 8.64 keV and Zn(Kα2) at 8.62 keV are merged into one peak at 8.64 keV because they are located near to each other. Because of a similar reason, the characteristic emissions of W(Lβ1) at 9.67 keV and Au(Kα1) at 9.71 keV are merged into one peak at 9.67 keV. As the characteristic emission peaks of Zn, O, W, and Eu are identified in the sample, we can conclude that the sample is primarily composed of Zn, O, W, and Eu. Without considering Au atoms in the sample, the atomic percentages of Zn, W, O, and Eu in Eu-doped ZnWO4 nanoplates are 25.9 at%, 22.0 at%, 48.3 at%, and 3.8 at%, respectively. For Eu-doped ZnWO4 nanoplates with the doping concentration of 5 mol %, the ideal atomic percentages of Zn, W, O, and Eu should be 16.53 at%, 16.53 at%, 66.11 at%, and 0.83 at%, respectively. It is obvious that the EDX technique can only give a rough quantification of Eu ions in ZnWO4 nanoplates.
The data in Figure 2 indicate that doping with Eu ions does not significantly modify the crystal structure of ZnWO4. It is known that the unit cell of monoclinic ZnWO4 is composed of two ZnWO4 molecules. Thus, one unit cell consists of two Zn sites, two W sites, and eight O sites. The inset in Figure 2b represents the ZnO6 and WO6 octahedrons formed in ZnWO4. In this structure, each W6+ ion is surrounded by six O ions with approximately octahedral coordination, and each Zn2+ ion is coordinated with six O ions to form an octahedron. All the metal-oxygen octahedra are distorted from perfect octahedral geometry. As can be seen in the inset, the structure of ZnWO4 is composed of zig-zag metal-oxygen chains made up of edge-sharing ZnO6 and WO6 octahedra [49]. Moreover, each (ZnO6–ZnO6)n chain is interlinked to four chains of (WO6–WO6)n and vice versa. As we know, the ionic radii of both Eu3+ (r = 94.7 pm) and Eu2+ (r = 117 pm) are close to that of Zn2+ (r = 90 pm when coordination number = 6) [50], but the six coordinated W6+ (r = 60 pm) sites are too small for Eu2+ or Eu3+ to occupy. Therefore, we believe that both Eu2+ and Eu3+ ions prefer to occupy the Zn2+ site in ZnWO4 nanoplates. Nominally, upon doping, there is an expansion of the lattice parameters to account for the enhanced atomic size of the dopant. However, no significant changes in the lattice parameters of the doped ZnWO4 samples are observed in Figure 2a. In our case, the concentration sum of Eu2+ and Eu3+ ions in ZnWO4 nanoplates is 5 mol %. As listed above, the ionic radius of Eu3+ is nearly equal to that of Zn2+, but the ionic radius of Eu2+ is about 30% more than that of Zn2+. So only Eu2+ ions can contribute significantly to the lattice expansion when its concentration is high enough. Our XPS analysis shows that the concentration of Eu2+ ions in ZnWO4 is only 1.7 mol %. That might be the reason that no obvious lattice expansion can be observed in Eu-doped ZnWO4 nanoplates.

3.2. XPS Spectra of Eu-Doped ZnWO4 Nanoplates

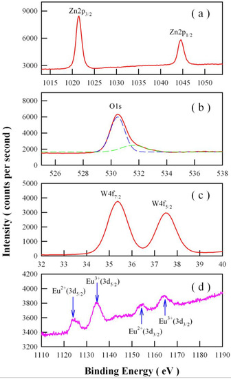
Ionic Eu is a well-known mixed-valence material whose valence state can be either Eu3+ or Eu2+ in various chemical environments [41,51,52]. Therefore, it is essential to examine the chemical states of Eu ions in ZnWO4 nanoplates. Figure 3 represents the high-resolution XPS spectra of Zn2p, O1s, W4f, and Eu3d in Eu-doped ZnWO4 nanoplates. It can seen in Figure 3a that the characteristic peaks of Zn2p3/2 and Zn2p1/2 are located at 1021.48 eV and 1044.58 eV, respectively. The separation between the two peaks is 23.1 eV, and the two peaks correspond to the typical Zn2+ oxidation states in ZnWO4 nanoplates [19,27]. As shown in Figure 3b, the XPS spectral profile of O1s is peaked at 530.48 eV, detailed analysis shows that an additional component appears at about 532 nm in the XPS spectrum of O1s. Oxides usually have oxygen vacancies. As is the case, an additional component in O1s line would show up. It is obvious that the XPS spectral profile of O1s can be decomposed into a component centered at 530.47 nm (dashed blue curve) and one component centered at 531.60 nm (dashed green curve). In actual fact, the shoulder at around 531.60 eV is related to the oxygen vacancies in ZnWO4. Figure 3c shows that the peaks of W4f7/2 and W4f5/2 are located at approximately 35.38 eV and 37.48 eV, respectively. The two peaks can be assigned to W4f7/2 and W4f5/2 signals and are consistent with the W6+ in ZnWO4 [19,27,53]. Unexpectedly, we recorded the characteristic XPS peaks of mixed states of Eu in the ZnWO4 nanoplates. As shown in Figure 3d, four XPS peaks can be clearly identified at 1126.4 eV, 1134.6 eV, 1155.7 eV, and 1163.2 eV. It is known that the Eu3d5/2 core levels of Eu2+ and Eu3+ ions in the XPS spectra are clearly different from each other in energy positions, as are the Eu3d3/2 core levels of Eu2+ and Eu3+ ions in their XPS spectra. Thus, the first two peaks in Figure 3d can be assigned to Eu2+ (3d5/2) and Eu3+ (3d5/2) core-levels, while the last two peaks in Figure 3d can be assigned to Eu2+ (3d3/2) and Eu3+ (3d3/2) core-levels, respectively [51,52]. The binding energy of Eu2+(3d5/2) is 29.3 eV lower than that of Eu2+(3d5/2), and the binding energy of Eu3+(3d5/2) is 28.6 eV lower than that of Eu3+(3d3/2). The area ratios of the XPS signals are approximately 1.32:2.43:1.00:1.47 for Eu2+(3d5/2)/Eu3+(3d5/2)/Eu2+(3d3/2)/Eu3+(3d3/2). Employing a standard of Eu2+ doped ZnWO4 with the doping concentration of 1 mol % as reference, we measured its high-resolution XPS spectrum of Eu3d3/2 and Eu3d5/2. The peak areas of Eu2+ (3d5/2) at 1126.4 eV and Eu2+ (3d3/2) at 1155.7 eV are obtained by integration of the spectrum. It is assumed that the area of a peak is proportional to the total amount of Eu2+ species responsible for the peak. This results in a direct relation between the peak area fraction and the mole fraction of Eu2+ species in the sample. By comparing the peak areas of Eu2+ (3d3/2) and Eu2+ (3d5/2) in Figure 3d with those of the standard sample, we can determine the doping percentage of Eu2+ in the Eu-doped ZnWO4 nanoplates. In this way, the doping percentage of Eu2+ in Eu-doped ZnWO4 was derived to be around 1.7 mol %, meaning the doping percentage of Eu3+ in Eu-doped ZnWO4 was about 3.3 mol %. Consequently, the data in Figure 3d have pointed out the coexistence of Eu2+ and Eu3+ in ZnWO4 nanoplates, although Eu3+ ions were the only doping source in the starting materials. The reason of the coexistence of Eu2+ and Eu3+ in ZnWO4 nanoplates is that a fraction of Eu3+ ions are self-reduced to Eu2+ ions during the growth of nanocrystals, as we discussed for the case of Eu-doped SrSO4 [39].
The XPS spectra of undoped ZnWO4 nanoplates are provided so that variation of the energy levels can be seen much more clearly by the readers. Figure 4 displays the high-resolution XPS spectra of Zn2p, O1s, W4f, and Eu3d in undoped ZnWO4 nanoplates. As shown in Figure 4a, the peaks of Zn2p3/2 and Zn2p1/2 are located at 1021.16 eV and 1044.13 eV, respectively. When compared with the peaks of Zn2p3/2 (1021.48 eV) and Zn2p1/2 (1044.58 eV) in Eu-doped ZnWO4 nanoplates, the two peaks are shifted 0.32 and 0.45 eV, respectively, towards the lower binding energy. In Figure 4b, the XPS spectral profile of O1s is located at 530.08 eV, which is 0.40 eV lower in binding energy than that of O1s in Eu-doped ZnWO4 nanoplates (530.48 eV). Similarly, the peaks of W4f7/2 and W4f5/2 in Figure 4c are located at 35.13 eV and 37.28 eV, which are 0.25 eV and 0.20 eV lower in binding energy than those in Eu-doped ZnWO4 nanoplates (35.38 and 37.48 eV), respectively. Obviously, no Eu-related peaks appear in Figure 4d, indicating the absence of Eu in the undoped ZnWO4 nanoplates. Consequently, the data in Figure 4 demonstrate that the binding energies of Zn2p, O1s, and W4f in Eu-doped ZnWO4 nanoplates are higher than those in undoped ZnWO4 nanoplates. These chemical shifts indicate that doping ZnWO4 with Eu ions has generated noticeable changes in the local bonding environment around Zn, O, and W sites. Additionally, XPS can also be employed to study the electronic surface states and band bending of Eu-doped ZnWO4 nanoplates. Because of the termination of lattice periodicity at the surfaces of ZnWO4 nanoplates, the unpaired electrons in the dangling bonds of surface atoms interact with each other to form an electronic state with a narrow energy band in the semiconductor band gap. Obviously, these surface states are determined by the atomic structure of the semiconductor surface. Once these surface states are present, they can induce band bending for ZnWO4 nanoplates. The effects of band bending on photochemistry and photocatalysis are discussed in some reviews.
The presence of Eu2+ ion in ZnWO4 indicates that some Eu3+ ions in ZnWO4 are reduced to Eu2+ ions in the process of crystal growth. It is known that oxygen vacancy (VO) can be easily produced in the lattice of ZnWO4 in the crystal growth phase. As one VO is formed in ZnWO4, one positively charged VO is left in the lattice. In the meanwhile, one negatively charged oxygen species is released into the lattice in order to keep the lattice neutral. When the negatively charged oxygen species diffuses randomly in the lattice, it donates its electrons with the liberation of oxygen out of the lattice. This process can be described by Equation (1):
2 O 2 e O 2
In this way, the vacancy VO would act as a donor of electrons. Eu3+ ion can be reduced to Eu2+ by capturing the released electron. This process can be described by Equation (2):
E u 3 + + e E u 2 +
A detailed discussion on the self-reduction of Eu3+ to Eu2+ can be found elsewhere [39].

3.3. Absorption and PL Spectra of Eu-Doped ZnWO4 Nanoplates

It is known that both the absorption and density of defects are important factors to determine the photocatalytic activity of a photocatalyst [54,55,56]. Figure 5a shows the absorption spectrum of the Eu-doped ZnWO4 nanoplates. It can be seen that this absorption spectrum can be divided into two sections. The first section ranges from 240 nm to 310 nm, while the second section ranges from 310 nm to 450 nm. When compared with the absorption spectra of single crystal ZnWO4 [57], we can assign the first absorption band to the band-edge absorption of ZnWO4 nanoplates, while the second absorption band to defects in Eu-doped ZnWO4 nanoplates. According to the first principles calculations by Kalinko et al., monoclinic ZnWO4 crystals is a direct semiconductor [58]. Thus, the bandgap value of Eu-doped ZnWO4 nanoplates can be calculated from the Tauc plot. As depicted by the inset in Figure 5a, the bandgap value of Eu-doped ZnWO4 nanoplates is equal to 3.78 eV. By measuring the diffuse reflectance spectrum of ZnWO4 film coated on quartz substrate, Zhao et al. reported that the experimental bandgap of the ZnWO4 film was about 4.01 eV [8]. It can be seen that our derived bandgap value roughly agrees with that reported by Zhao et al.
Figure 5b represents the PL spectrum of Eu-doped ZnWO4 nanoplates. The hollow blue circles in Figure 5b represent the experimental PL data. It is obvious that the Eu-doped ZnWO4 nanoplates exhibit a broadband emissions centered at around 487 nm and two sharp emissions at 592 nm and 612 nm. At a first glance, the broad PL band can be decomposed into two Guassian bands with their peaks centered at 475.8 nm (2.61 eV) and 536.2 nm (2.31 eV), which are shown by the solid blue curve and the solid green curve, respectively, in Figure 5b. ZnWO4 generally exhibits a broad blue-green emission band with its peak at about 480 nm (2.6 eV) [1], and this PL band is often attributed to a charge transfer between oxygen and tungsten ions in the [WO6]6− molecular complex [1,57]. However, such assignment is quite elusive for physicists. In the view of solid state physics, the origins of PL can be classified into band edge emission and defect emission. It is known that defects are important structural features to dominate the PL properties in a variety of metal oxides [41,59,60]. This also holds true for ZnWO4 nanoplates, where coordinatively unsaturated vacancies are active sites for luminescence. Due to the large difference between its bandgap (about 4 eV) and its emission energy (around 2.6 eV), we can exclude the possibility of band edge recombination as the candidate of the greenish blue PL of ZnWO4 nanoplates. This feature allows us to assign the broadband PL to certain kinds of defects in ZnWO4 nanoplates. Intrinsic defects such as O, W, and Zn vacancies are likely candidates of the luminescence centers.
As for the two sharp emissions at 592 nm and 612 nm in Figure 5b, it becomes quite straightforward to assign them to the electronic transitions 5D07F1 and 5D07F2 of Eu3+ ions in the host matrix of ZnWO4 [39,41,61,62]. As is well known, the 5D07F1 line originates from magnetic dipole transition, while the 5D07F2 line results from the electric dipole transition. In terms of the Judd–Ofelt theory, the magnetic dipole transition is permitted, but the electric dipole transition is allowed only on condition that the Eu ion occupies a site without an inversion center. The results in Figure 5b indicate that most of Eu3+ ions do not occupy the inversion center sites in ZnWO4. The lack of inversion symmetry and the break of parity selection rules in ZnWO4 make the 5D07F2 electric dipole transition the strongest among all the transitions. As a result of Eu2+ and Eu3+ codoping, both the defect density and the PL properties of ZnWO4 nanoplates can be effectively modified. With the method as described in previous work [48,59,63], the CIE chromaticity coordinates of the Eu-doped ZnWO4 nanoplates are determined to be (0.211, 0.289), and the correlated color temperature is derived to be 19000 K for the greenish blue PL.

3.4. Electronic Structures of Perfect ZnWO4 and Defect-Containing ZnWO4

The electronic structure of a photocatalyst is not only critically important to understand its absorption and luminescent properties, but also the most important factor to determine its photocatalytic activity. Density functional calculations can be reliably applied to electronic structure calculations for a variety of materials [39,47,48,59]. In the framework of GGA + U, we performed electronic structure calculations for perfect ZnWO4 and defect-containing ZnWO4 by defining U5d = 8 eV for W. Figure 6 presents the calculated band structures and density of states of perfect ZnWO4. It can be seen that some bands at the bottom of conduction band (CB) are not flat, which is the typical character of a semiconductor. As shown in Figure 6a, both the maximum of valence band (VB) and the minimum of CB are located at Z point, confirming that ZnWO4 is a semiconductor with direct bandgap. Figure 6b depicts the density of states of defect-free ZnWO4. It is clear that the bandgap of ZnWO4 is free of any impurity energy levels. Using the LDA approach, Kalinko et al. reported that ZnWO4 is direct semiconductor with its bandgap value of around 2.31 eV [58]. It is obvious that our calculated bandgap value (3.72 eV) is much closer to the experimental value (about 4.0 eV) when compared with Kalinko’s data.
VO is one of the most fundamental defects in ZnWO4, and it influences many physical properties of the material such as charge trapping and recombination. Therefore, detailed knowledge of the electronic structures of VO is essential in understanding the PL of ZnWO4 nanoplates. In order to model VO in ZnWO4, we built a 2 × 2 × 2 super cell that contains 64 O sites, 16 W sites, and 16 Zn sites. After one O site was removed from the super cell, ZnWO4 with around 1 at% of VO was the result. Figure 7 represents the calculated band structures and density of states of VO bearing ZnWO4. As shown in Figure 7a, the calculated bandgap of VO bearing ZnWO4 is 3.91 eV when U5d = 8 eV for W. When compared with the bandgap of perfect ZnWO4, the VO bearing ZnWO4 exhibits a bandgap that is a little bit wider (ca. 0.19 eV). The most prominent feature in Figure 7 is that VO can introduce two defect energy levels in the bandgap of ZnWO4, one of which is located at EV + 1.75 eV, while the other is located at EV + 3.52 eV. The two defect energy levels can be clearly identified in Figure 7b, where the VO introduced defect energy levels are marked in red. As it is positively charged, VO can act as electron trap sites as well as luminescence centers [64].
Besides VO, we further considered tungsten vacancy (VW) and zinc vacancy (VZn) in ZnWO4. Figure 8 shows the calculated band structures and density of states of VW bearing ZnWO4. As can be seen in Figure 8a, the bandgap remains direct with the value of 3.75 eV. The defect energy levels introduced by VW are located in the range from VB to EV + 0.62 eV. Additionally, we calculated the band structures and density of states for VZn bearing ZnWO4. It is found that the defect energy levels of VZn are located in the bandgap of ZnWO4, but they are very close to the edge of VB (<0.1 eV). For the sake of clarity, we do not present here the calculated band structures and density of states for VZn bearing ZnWO4.
Belonging to 4f–5d transition, Eu2+ doped nanomaterials generally show a broad PL band ranging from ultraviolet through visible to infrared region. However, Eu2+ doped ZnWO4 nanoplates exhibit no extra PL band in the visible range when compared with undoped ZnWO4 nanoplates. As for Eu3+ doped ZnWO4, the 4f electrons of the dopant are sufficiently localized to form multiple atomic-like states in the band gap of ZnWO4 due to the shielded 4f-shell. As the DFT calculations are a one-electron theory, the DFT with GGA scheme fails to accurately predict the multi-electron properties for Eu3+ ions in ZnWO4. Consequently, neither the energies of J multiplets of Eu3+ ions (7FJ, where J = 0–6) in the ground state nor the energy levels in the excited state of Eu3+ ions (5D0) can be deduced correctly from the DFT calculations. That is why we did not model the defect energy levels of Eu3+ ZnWO4. Fortunately, both the energy levels of Eu3+ in the ground state and in the excited state vary by only a small amount in different hosts. Thus, the energy levels of 7FJ and 5D0 of Eu3+ in ZnWO4 can be determined by making use of the experimentally obtained energies for Eu3+, except that the exact location of the lowest energy level of Eu3+ is unknown for the case of ZnWO4.

3.5. Time-Resolved PL Spectra and Possible PL Mechanism of Eu-Doped ZnWO4 Nanoplates

More physical insight could be gained by studying the time-resolved PL behaviors of Eu-doped ZnWO4 nanoplates [65]. Figure 9 depicts the time-resolved PL spectra of Eu-doped ZnWO4 nanoplates with the emission wavelength fixed at 476 nm, 536 nm, and 612 nm, respectively. The excitation wavelength is 375 nm. Circles in Figure 9 represent the experiment data, and the solid lines represent the fitted curves. It is found that each decay curve in Figure 9 can be fitted with quadruple exponential function as show in Equation (3):
I ( t ) = A 0 + A 1 exp ( t τ 1 ) + A 2 exp ( t τ 2 ) + A 3 exp ( t τ 3 ) + A 4 exp ( t τ 4 )
where I(t) refers to the PL intensity at time t, A0 is the baseline, Ai is the ith pre-exponential factor of the decay components, and τi is the ith decay time component (i = 1–4). The fitting parameters of the time-resolved PL spectra are listed in Table 1. The parameter χ2 in Table 1 represents the goodness of fit, and the average lifetime <τ> is calculated using the following Equation (4) [66]:
τ = A 1 τ 1 2 + A 2 τ 2 2 + A 3 τ 3 2 + A 4 τ 4 2 A 1 τ 1 + A 2 τ 2 + A 3 τ 3 + A 4 τ 4
These parameters bear important information on the kinetics of carrier recombination. For example, in the case of Figure 9a, the decay time constants τ1 = 0.30 ns, τ2 = 1.04 ns, τ3 = 3.21 ns, τ4 = 9.73 ns, and <τ> = 3.041 ns for the PL emission at 476 nm. It is noted that τ1 is at the limit of the measurement capability of the instrument, and therefore it merely represents the order of the short decay time constant [40,60,65]. The coexistence of τ2, τ3, and τ4 suggests the presence of three kinds of luminescence centers in Eu-doped ZnWO4 nanoplates. As discussed in Figure 4, Figure 5, Figure 6 and Figure 7, the three luminescence centers in Eu-doped ZnWO4 nanoplates are correlated to one extrinsic defect Eu3+ and two intrinsic defects VO and VW.
A careful analysis of the lifetime constants provides an understanding of the local environment around the luminescence centers in Eu-doped ZnWO4 nanoplates. As listed in Table 1, the average lifetime of Eu-doped ZnWO4 nanoplates is in the range of 3–4 ns, which is about 1000 times shorter than the long PL lifetime (3.9 μs) of ZnWO4 single crystals grown by the Czochralski method [67]. When compared with ZnWO4 single crystal, Eu-doped ZnWO4 nanoplates are characteristic of a large number of surface defects because of their large surface area. The shortened lifetime in Eu-doped ZnWO4 nanoplates can be attributed to the non-radiative relaxation produced by a large number of surface defects that act as quenching centers. Additionally, Wang et al. reported that the PL lifetimes of ZnWO4 nanoparticles were about 100 ns [68]. It is obvious that the average lifetime of Eu-doped ZnWO4 nanoplates is about 30 times shorter than the PL lifetime of undoped ZnWO4 nanoparticles. This is understandable because codoping with Eu2+ and Eu3+ inevitably provides extra non-radiative recombination paths in Eu-doped ZnWO4 nanoplates. Finally, we have noticed that the average lifetime increases from 3.041 ns to 3.745 ns as the monitoring wavelength increases from 476 nm to 612 nm. The increase in the PL lifetime at a longer emission wavelength reflects the changes in the micro-environments (i.e., non-radiative recombination paths) around the blue, green, and red luminescence centers.
Figure 10 shows the time-resolved PL spectra of undoped ZnWO4 nanoplates with the emission wavelength fixed at 476 nm, 536 nm, and 612 nm, respectively. The excitation wavelength is 375 nm. Circles in Figure 10 represent the experiment data, and the solid lines represent the fitted curves. It is found that each decay curve in Figure 10 can be fitted with a triple exponential function. The fitting parameters of the time-resolved PL spectra are listed in Table 1. When compared with the data for undoped ZnWO4 nanoplates, Eu-doped ZnWO4 nanoplates exhibit longer average lifetimes at the detection wavelengths of 476 nm and 536 nm. This is understandable because the defects introduced by Eu-doping generate extra recombination paths, which in turn shorten the lifetimes of the blue and green bands.
It is very strange to get lifetimes in the order of nanoseconds for Eu emission lines. They usually have lifetimes much greater, even milliseconds. In addition, it is uncommon that both defect and Eu emissions have similar lifetimes. It is found that the critical point rests on the repetition frequency of the picosecond pulsed diode laser. The repetition frequency of the picosecond pulsed diode laser was 20 MHz in the lifetime measurements for Figure 9 and Figure 10. The pulse period associated with this repetition frequency is only 50 ns, which is not long enough to measure the lifetime ranging from microsecond to millisecond. In order to measure the lifetime of Eu emissions at 612 nm, we have to employ a pulsed diode laser with much longer pulse period by decreasing its repetition rate to 20 kHz. The repetition rate of 20 kHz implies 50 ms between two pulses. Figure 11 shows the time-resolved PL spectrum of Eu-doped ZnWO4 nanoplates at the emission wavelength of 612 nm. The repetition frequency of the pulsed laser diode is 20 kHz. This decay curve can be fitted with triple exponential function with the fitting parameters of t1 = 40.78 ns, t2 = 963.25 ns, and t3 = 13956.67 ns. The pre-exponential factors are A1 = 36.50, A2 = 8.01, and A3 = 1.26. Indeed, the average lifetime of Eu3+ emissions is calculated to be 9.455 ms. As documented in the literature, Wang et al. reported that the average lifetime of Pr3+ doped ZnWO4 at 607 nm was 5.40 ms [66]. It is clear that the average lifetimes of Eu3+ emissions and Pr3+ emissions in ZnWO4 are at the same order of magnitude. Moreover, we can see that the average lifetime of Eu3+ emissions is about three orders of magnitude larger than those of the intrinsic defect emissions in ZnWO4 nanoplates.
Figure 12 illustrates the possible mechanism of defect related emissions in Eu-doped ZnWO4. As displayed in Figure 12, the bandgap value of ZnWO4 is assumed to be 3.9 eV, the VO introduced defect energy levels are located at EV + 1.75 eV and EV + 3.52 eV, while VW introduced defect energy level is located at EV + 0.62 eV. Under the UV excitation, the first kind of radiative recombination is the electrons trapped by VO at the defect energy level EV + 3.52 eV to recombine with the holes trapped by VW at the defect energy level EV + 0.62 eV. Such a kind of radiative recombination leads to the blue PL band peaking at around 428 nm (2.90 eV). The second kind of radiative recombination is the electrons in CB to recombine with the holes trapped by the VO at EV + 1.75 eV. Such a kind of radiative recombination yields the green PL band peaking at around 577 nm (2.15 eV). The third kind of radiative recombination is the electrons in the excited state 5D0 of Eu3+ to recombine radiatively with the holes in its ground states 7F1,2, leading to the characteristic emissions peaking at 591 nm and 612 nm. When compared with the blue PL band peaking at 475.8 nm (2.61 eV) and the green PL band peaking at 536.2 nm (2.31 eV) in Figure 5b, our predicted emission energies of the defect-related emissions in ZnWO4 roughly agree with the actual ones. The differences between the predicted emission energies and the actual emission energies rest on the fact that it is hard to exactly and reliably determine the defect energy levels with DFT calculation after having considered the limitations in semi-local approximations to DFT [39].

3.6. Specific Surface Area of Eu-Doped ZnWO4 Nanoplates

The photocatalytic activity of a photocatalyst is generally complicated by a number of factors such as the light absorption capacity, the specific surface area, the grain size, the defect density, and so on. [43,44,54,56] Among these factors, the surface area of a photocatalyst is one of the key factors to influence its photocatalytic activity. BET theory aims to explain the physical adsorption of gas molecules on a solid surface and serves as basis for an important analysis technique to measure the specific area of materials. To obtain the information about the specific surface area of the Eu-doped ZnWO4 nanoplates, we performed BET nitrogen adsorption isotherm measurements at 77 K on a Micrometrics ASAP 2010. Figure 13a depicts the typical nitrogen adsorption and desorption isotherms of Eu-doped ZnWO4 nanoplates. As shown in Figure 13a, the nitrogen adsorption isotherm belongs to type II, and the specific surface area of Eu-doped ZnWO4 nanoplates is derived to be 344 m2/g. Figure 13b represents the typical nitrogen adsorption and desorption isotherms of undoped ZnWO4 nanoparticles. The inset in Figure 13b depicts the SEM micrograph of the undoped ZnWO4 nanoparticles. Data analysis shows that the specific surface area of the undoped ZnWO4 nanoparticles is about 79.4 m2/g. The experimental results revealed that the specific surface area of ZnWO4 nanoplates is higher than that of ZnWO4 nanoparticles. The lower surface area of ZnWO4 nanoparticles may be caused by the aggregation of ZnWO4 nanoparticles. As shown by the inset of Figure 13b, ZnWO4 nanoparticles are easily aggregated. Such an aggregation leads to the dramatic reduction in the specific surface area of ZnWO4 nanoparticles. In contrast, the Eu-doped ZnWO4 nanoplates are not easily aggregated because of their specific architectures. As documented in the literature, Yan et al. reported that the specific surface area of ZnWO4 nanocrystals was in the range of 25–28 m2/g [10]; Liu et al. determined the specific surface area of B-doped ZnWO4 nanorods to be 22–47.2 m2/g [24]; and Su et al. reported that the specific surface area was 109.4 m2/g for Sn2+-doped ZnWO4 nanocrystals [27]. It can also be seen that the specific surface area of our Eu-doped ZnWO4 nanoplates is much larger than the B-doped ZnWO4 nanorods, as well as Sn2+-doped ZnWO4 nanocrystals. Considering the fact that photocatalytic reactions mainly occur on the catalyst surface, the large surface area is helpful for gaining high photocatalytic activity for E-doped ZnWO4 nanoplates.

3.7. Photocatalytic Activity of ZnWO4 Nanoplates

Figure 14a displays the evolution of absorption spectrum of methyl orange solution with the irradiation time of the high-pressure mercury lamp in the presence of Eu-doped ZnWO4 nanoplates. It is clear that the methyl orange exhibits a strong absorption at about 463 nm and a weak absorption at about 268 nm. As documented in the literature, the strong absorption at 463 nm can be attributed to the large conjugation system in the methyl orange molecule, which is primarily comprised of the two phenyl chromophores and the azo linkage (–N=N–). The weak absorption at 268 nm can be attributed to the small conjugation system in the methyl orange molecule, which is comprised of the phenyl chromophore [54,55,56,69,70,71]. This assignment is evidenced by the absorptions of phenyl and its derivatives. For example, benzene (C6H6) exhibits absorption at 254 nm, tulene (C6H5CH3) exhibits absorption at 261 nm, phenol (C6H5OH) exhibits absorption at about 270 nm, and phenylanine (C6H5NH2) exhibits absorption at about 280 nm. The most prominent feature in Figure 14a is that both the absorption bands are decreased gradually upon UV irradiation until they disappear completely after the UV irradiation for 45 min. Thus, the simultaneous disappearance of the two absorption bands indicates that both the large and the small conjugation systems in the methyl orange are destroyed. It has been established that the photocatalytic degradation of organics in solution is initiated by the photoexcitation of the semiconductor, followed by the formation of an electron-hole pair on the surface of the ZnWO4 as shown in Equation (5) [54,55,56]. On one hand, very reactive hydroxyl radical can also be formed either by the decomposition of water (Equation (6)) or by the reaction of the hole with OH (Equation (7)).
Z n W O 4 + h v h V B + + e C B
h V B + + H 2 O H + + O H
h V B + + O H O H
On the other hand, electron in the conduction band of the catalyst can reduce molecular oxygen to superoxide anion (Equation (8)).
e C B + O 2 O 2
Ultimately, the hydroxyl radicals are generated in both reactions. These hydroxyl radicals are very oxidative and non selective with redox potential of E0 = 2.8 V to oxidize organic compounds into fragments [49]. That is why the the Eu-doped ZnWO4 nanoplates are active photocatalysts.
The Langmuir–Hinshelwood kinetic model is widely used to describe the kinetics of photocatalytic degradation of many organic compounds. This model can be simplified to a pseudo first-order expression when the concentration of reagent being reacted is very low.
C t = C 0 exp ( k t )
where C0 is the initial concentration of dye, Ct is the concentration of dye at instant t, and k is the pseudo first-order kinetic rate constant [20]. The photocatalytic kinetic rate constant for the methyl orange degradation can be determined using Equation (9). Figure 14b shows the semi-logarithmic plots of Ct/C0 of the methyl orange solution versus the irradiation time of the high-pressure mercury lamp in the presence of Eu-doped ZnWO4 nanoplates (solid circles). The solid blue line in Figure 14b represents the curve fitting of the data with Equation (9). The semi-log plot of dye concentration versus time was linear, suggesting the first-order reactions for the photocatalytic degradation. In our case, the first-order kinetic rate constant of the photocatalytic reaction was derived to be 0.0542 min−1 for Eu-doped ZnWO4 nanoplates. To confirm the complete mineralization of the dye, we analyzed the COD values at different stages of the photocatalytic degradation. As shown by the solid squares in Figure 14b, the COD value is 148 for the methyl orange solution just before UV irradiation, but the COD values were decreased to 66, 30, and 16 after photocatalytic degradation for 15 min, 30 min, and 45 min, respectively. The dramatic decrease in the COD value suggests that the dye can be completely mineralized into CO2 and H2O by Eu-doped ZnWO4 nanoplates. These results have demonstrated that the Eu-doped ZnWO4 nanoplates exhibit superior photo-oxidative capability to completely mineralize methyl orange into CO2 and H2O.
Figure 15a represents the evolution of absorption spectrum of methyl orange solution with the irradiation time of the high-pressure mercury lamp in the presence of undoped ZnWO4 nanoparticles. As the UV irradiation continues, the absorption band at 463 nm decreases at a much slower rate than in the case of Eu-doped ZnWO4 nanoplates. Figure 15b shows the semi-logarithmic plots of Ct/C0 of the methyl orange solution versus the irradiation time of the high-pressure mercury lamp in the presence of undoped ZnWO4 nanoparticles (solid circles). The solid black line in Figure 14b represents the curve fitting of the data with Equation (9). The first-order kinetic rate constant of the photocatalytic degradation is derived to be 0.0371 min−1. When compared with Eu-doped ZnWO4 nanoplates, the photocatalytic activity of ZnWO4 nanoparticles is obviously lower than that of Eu-doped ZnWO4 nanoplates. The higher photocatalytic activity of of Eu-doped ZnWO4 nanoplates can be partially attributed to their large surface area. Doping with Eu2+ and Eu3+ ions is another factor enhancing the photocatalytic activity of Eu-doped ZnWO4 nanoplates. Positive effects of doping on the photocatalytic activity of ZnWO4 nanostructures were also reported, examples include non-metal ions (B, C, N, F) doping [24,25,26], transition metal ions doping (Sn2+, Cr3+, Mn2+, and Cu2+) [27,28], and rare-earth metal ions doping (Dy3+ and Er3+) [29,30]. Here, a cooperative mechanism involving both doping and surface area is believed to account for the higher photocatalytic activity of Eu-doped ZnWO4 nanoplates.
We have noticed that the weak absorption band in Figure 15a does not decrease significantly upon the UV irradiation. Moreover, the overall absorption in the range of 200–350 nm becomes stronger as the UV irradiation gets longer. This exotic feature in the absorption spectrum indicates the profound difference in the photocatalytic degradation behaviors between the undoped ZnWO4 nanoparticles and the Eu-doped ZnWO4 nanoplates. To check if the undoped ZnWO4 nanoparticles can completely mineralize the organics into H2O and CO2, we performed the COD analysis for the methyl orange solutions at different stages of photocatalytic degradation, and the derived COD data are shown in Figure 15b. Instead of dropping in a large scale to around 0, the COD value of the solutions only drops marginally from 148 to 109 as the UV irradiation extends from 0 min to 45 min. Such a marginal decrease in COD suggests that the dye molecules are cleaved into intermediates during the photocatalytic process of the undoped ZnWO4 nanoparticles.
With respect to undoped ZnWO4 nanoparticles, Eu-doped doped ZnWO4 nanoplates exhibit superior photocatalytic performance for dye degradations because they can completely mineralize the organic molecules into H2O and CO2, whereas undoped ZnWO4 nanoparticles can break the organic molecules into fragments only. Such a superior photocatalytic performance can be attributed to the highly exposed {100} facets of ZnWO4 nanoplates. It is known that the process of heterogeneous photocatalysis with semiconductor–based photocatalyst involves three mechanistic steps: the excitation, bulk diffusion, and surface transfer of photoexcited electrons and holes [31]. Apparently, the reactivity of ZnWO4 is definitely affected by surface atomic structures because surface atomic arrangement and coordination intrinsically determine the adsorption of reactant molecules, the surface transfer between photoexcited electrons and reactant molecules, and the desorption of product molecules. Consequently, the reactivity of ZnWO4 sensitively varies with crystal facets. That is the reason that Eu-doped ZnWO4 nanoplates with highly exposed facets can have dramatically different photocatalytic performance than ZnWO4 nanoparticles. Our results on the facet-dependent photocatalytic activity provide a feasible route to fabricating efficient ZnWO4 photocatalysts via crystal facet engineering.
In order to elaborate the roles of crystal facets in the photocatalysis, we performed similar photocatalytic tests on undoped ZnWO4 nanoplates, as well as Eu-doped ZnWO4 nanoparticles. It is found that undoped ZnWO4 nanoplates can also completely mineralize the organic molecules into H2O and CO2, but at a slower decomposition rate than Eu-doped ZnWO4 nanoplates. In contrast, Eu-doped ZnWO4 nanoparticles can only break the organic molecules into fragments, although they can exhibit higher decomposition rates than undoped ZnWO4 nanoparticles. These results give additional evidence on the different roles played by crystal facets and rare-earth doping in the photocatalysis. Additionally, it is essential to properly identify the orientation of the plates, so we should provide the selected area electron diffraction pattern of Eu-doped ZnWO4 nanoplates. Figure 16 shows the selected area electron diffraction pattern of Eu-doped ZnWO4 nanoplates. It is clear that the zone axis of the nanoplates is [001].

4. Conclusions

Eu-doped ZnWO4 nanoplates with highly exposed {100} facets were synthesized via the CTAB assisted hydrothermal growth at 180 °C. Under the 325 nm laser excitation, the PL spectrum of Eu-doped ZnWO4 nanoplates consists of a broadband centered at around 487 nm and two sharp bands peaking at 592 nm and 612 nm. First-principles DFT calculations have been performed to provide insight onto the defect-related emissions of ZnWO4 nanoplates. It is found that Eu-doped ZnWO4 nanoplates exhibit superior photo-oxidative capability to completely mineralize methyl orange into H2O and CO2, whereas ZnWO4 nanoparticles can cleave methyl orange molecules into fragments only. The superior photocatalytic performance of ZnWO4 nanoplates rests on the fact that ZnWO4 nanoplates have highly exposed {100} facets, whereas ZnWO4 nanoparticles have no obvious facets. The study highlights the importance of crystal facets in photocatalytic systems and illustrates how crystal facet engineering can be utilized in combination with defect engineering to design novel photocatalytic materials with superior photo-oxidative capability.

Author Contributions

Methodology, Y.M.H.; Formal Analysis, M.Y.L.; Investigation, L.Y.; Writing-Original Draft Preparation, B.-g.Z.; Writing-Review & Editing, Y.M.H.; Project Administration, B.-g.Z.; Funding Acquisition, Y.M.H.

Funding

This research was funded by National Natural Science Foundation of China under grant numbers 11574036 and 11604028.

Acknowledgments

Xiazhang Li was acknowledged for the TEM characterizations.

Conflicts of Interest

The authors declare no conflict of interest.

References

  1. Lou, Z.; Hao, J.; Cocivera, M. Luminescence of ZnWO4 and CdWO4 thin films prepared by spray pyrolysis. J. Lumin. 2002, 99, 349–354. [Google Scholar] [CrossRef]
  2. Kalinko, A.; Kotlov, A.; Kuzmin, A.; Pankratov, V.; Popov, A.I.; Shirmane, L. Electronic excitations in ZnWO4 and ZnxNi1−xWO4 (x = 0.1–0.9) using VUV synchrotron radiation. Cent. Eur. J. Phys. 2011, 9, 432–437. [Google Scholar]
  3. Zhai, Y.; Li, X.; Liu, J.; Jiang, M. A novel white-emitting phosphor ZnWO4:Dy3+. J. Rare Earth. 2015, 33, 350–354. [Google Scholar] [CrossRef]
  4. Yang, F.; Tu, C.; Li, J.; Jia, G.; Wang, H.; Wei, Y.; You, Z.; Zhu, Z.; Wang, Y.; Lu, X. Growth and optical property of ZnWO4: Er3+ crystal. J. Lumin. 2007, 126, 623–628. [Google Scholar] [CrossRef]
  5. Dai, Q.; Song, H.; Bai, X.; Pan, G.; Lu, S.; Wang, T.; Ren, X.; Zhao, H. Photoluminescence properties of ZnWO4:Eu3+ nanocrystals prepared by a hydrothermal method. J. Phys. Chem. C 2007, 111, 7586–7592. [Google Scholar] [CrossRef]
  6. Fu, H.; Lin, J.; Zhang, L.; Zhu, Y. Photocatalytic activities of a novel ZnWO4 catalyst prepared by a hydrothermal process. Appl. Catal. A Gen. 2006, 306, 58–67. [Google Scholar] [CrossRef]
  7. Zhang, C.; Zhang, H.; Zhang, K.; Li, X.; Leng, Q.; Hu, C. Photocatalytic activity of ZnWO4: Band structure, morphology and surface modification. ACS Appl. Mater. Interfaces 2014, 6, 14423−14432. [Google Scholar] [CrossRef] [PubMed]
  8. Zhao, X.; Yao, W.; Wu, Y.; Zhang, S.; Yang, H.; Zhu, Y. Fabrication and photoelectrochemical properties of porous ZnWO4 film. J. Solid State Chem. 2006, 179, 2562–2570. [Google Scholar] [CrossRef]
  9. Li, D.; Shi, R.; Pan, C.; Zhu, Y.; Zhao, H. Influence of ZnWO4 nanorod aspect ratio on the photocatalytic activity. CrystEngComm 2011, 13, 4695–4700. [Google Scholar] [CrossRef]
  10. Yan, J.; Shen, Y.; Li, F.; Li, T. Synthesis and photocatalytic properties of ZnWO4 nanocrystals via a fast microwave-assisted method. Sci. World J. 2013, 2013, 458106. [Google Scholar] [CrossRef] [PubMed]
  11. Gao, B.; Fan, H.; Zhang, X.; Song, L. Template-free hydrothermal synthesis and high photocatalytic activity of ZnWO4 nanorods. Mater. Sci. Eng. B 2012, 177, 1126–1132. [Google Scholar] [CrossRef]
  12. Pereira, P.F.S.; Gouveia, A.F.; Assis, M.; de Oliveira, R.C.; Pinatti, I.M.; Penha, M.; Gonçalves, R.F.; Gracia, L.; Andres, J.; Longo, E. ZnWO4 nanocrystals: Synthesis, morphology, photoluminescence and photocatalytic properties. Phys. Chem. Chem. Phys. 2018, 20, 1923–1937. [Google Scholar] [CrossRef] [PubMed]
  13. Thomas, A.; Janáky, C.; Samu, G.F.; Huda, M.N.; Sarker, P.; Liu, J.P.; van Nguyen, V.; Wang, E.H.; Schug, K.A.; Rajeshwar, K. Time- and energy-efficient solution combustion synthesis of binary metal tungstate nanoparticles with enhanced photocatalytic activity. ChemSusChem 2015, 8, 1652–1663. [Google Scholar] [CrossRef] [PubMed]
  14. Wang, Y.; Liping, L.; Li, G. Solvothermal synthesis, characterization and photocatalytic performance of Zn-rich ZnWO4 nanocrystals. Appl. Surf. Sci. 2017, 393, 159–167. [Google Scholar] [CrossRef]
  15. Shim, H.-W.; Lim, A.-H.; Lee, G.-H.; Jung, H.-C.; Kim, D.-W. Fabrication of core/shell ZnWO4/carbon nanorods and their Li electroactivity. Nanoscale Res. Lett. 2012, 7, 9. [Google Scholar] [CrossRef] [PubMed]
  16. You, L.; Cao, Y.; Sun, Y.F.; Sun, P.; Zhang, T.; Du, Y.; Lu, G.Y. Humidity sensing properties of nanocrystalline ZnWO4 with porous structures. Sensor. Actuators B Chem. 2012, 161, 799–804. [Google Scholar] [CrossRef]
  17. Wang, X.; Fan, Z.; Yu, H.; Zhang, H.; Wang, J. Characterization of ZnWO4 Raman crystal. Opt. Mater. Express 2017, 7, 1732–1744. [Google Scholar] [CrossRef]
  18. Zhan, S.; Zhou, F.; Huang, N.; Liu, Y.; He, Q.; Tian, Y.; Yang, Y.; Ye, F. Synthesis of ZnWO4 Electrode with tailored facets: Deactivating the Microorganisms through Photoelectrocatalytic methods. Appl. Surf. Sci. 2017, 391, 609–616. [Google Scholar] [CrossRef]
  19. Jiang, Y.; Liu, B.; Zhai, Z.; Liu, X.; Yang, B.; Liu, L.; Jiang, X. A general strategy toward the rational synthesis of metal tungstate nanostructures using plasma electrolytic oxidation method. Appl. Surf. Sci. 2015, 356, 273–281. [Google Scholar] [CrossRef]
  20. Wang, F.; Li, W.; Gu, S.; Li, H.; Zhou, H.; Wu, X. Novel In2S3/ZnWO4 heterojunction photocatalysts: Facile synthesis and high-efficiency visible-light driven photocatalytic activity. RSC Adv. 2015, 5, 89940. [Google Scholar] [CrossRef]
  21. Yu, C.; Yu, J.C. Sonochemical fabrication, characterization and photocatalytic properties of Ag/ZnWO4 nanorod catalyst. Mater. Sci. Eng. B 2009, 164, 16–22. [Google Scholar] [CrossRef]
  22. Hamrouni, A.; Moussa, N.; Paola, A.D.; Parrino, F.; Houas, A.; Palmisano, L. Characterization and photoactivity of coupled ZnO-ZnWO4 catalysts prepared by a sol-gel method. Appl. Catal. B-Environ. 2014, 154–155, 379–385. [Google Scholar] [CrossRef]
  23. Tian, L.; Rui, Y.; Sun, K.; Cui, W.; An, W. Surface decoration of ZnWO4 nanorods with Cu2O nanoparticles to build heterostructure with enhanced photocatalysis. Nanomater. 2018, 8, 33. [Google Scholar] [CrossRef] [PubMed]
  24. Liu, Z.; Tian, J.; Zeng, D.; Yu, C.; Zhu, L.; Huang, W.; Yang, K.; Li, D. A facile microwave-hydrothermal method to fabricate B doped ZnWO4 nanorods with high crystalline and highly efficient photocatalytic activity. Mater. Res. Bull. 2017, 94, 298–306. [Google Scholar] [CrossRef]
  25. Sun, L.; Zhao, X.; Cheng, X.; Sun, H.; Li, Y.; Li, P.; Fan, W. Evaluating the C, N, and F pairwise codoping effect on the Enhanced Photoactivity of ZnWO4: The charge compensation mechanism in donor-acceptor pairs. J. Phys. Chem. C 2011, 115, 15516–15524. [Google Scholar] [CrossRef]
  26. Chen, S.; Sun, S.; Sun, H.; Fan, W.; Zhao, X.; Sun, X. Experimental and theoretical studies on the enhanced photocatalytic activity of ZnWO4 nanorods by fluorine doping. J. Phys. Chem. C 2010, 114, 7680–7688. [Google Scholar] [CrossRef]
  27. Su, Y.; Zhu, B.; Guan, K.; Gao, S.; Lv, L.; Du, C.; Peng, L.; Hou, L.; Wang, X. Particle size and structural control of ZnWO4 nanocrystals via Sn2+ doping for tunable optical and visible photocatalytic properties. J. Phys. Chem. C 2012, 116, 18508–18517. [Google Scholar] [CrossRef]
  28. Dutta, D.P.; Raval, P. Effect of transition metal ion (Cr3+, Mn2+ and Cu2+) doping on the photocatalytic properties of ZnWO4 nanoparticles. J. Photochol. Photobiol. A 2018, 357, 193–200. [Google Scholar] [CrossRef]
  29. Phuruangrat, A.; Dumrongrojthanath, P.; Thongtem, S.; Thongtem, T. Influence of Dy dopant on photocatalytic properties of Dy-doped ZnWO4 nanorods. Mater. Lett. 2016, 166, 183–187. [Google Scholar] [CrossRef]
  30. Yu, Z.; Zhang, Z.-J.; Xu, J.; Chu, Y.-Q.; You, M.-J. Synthesis and enhanced photocatalytic activity of Er3+-doped ZnWO4. J. Inorg. Mater. 2015, 30, 549–554. [Google Scholar] [CrossRef]
  31. Liu, G.; Yu, J.C.; Lu, G.Q.; Cheng, H.-M. Crystal facet engineering of semiconductor photocatalysts: Motivations, advances and unique properties. Chem. Commun. 2011, 47, 6763–6783. [Google Scholar] [CrossRef] [PubMed]
  32. Liu, G.; Yang, H.G.; Pan, J.; Yang, Y.Q.; Lu, G.Q.; Cheng, H.M. Titanium dioxide crystals with tailored facets. Chem. Rev. 2014, 114, 9559−9612. [Google Scholar] [CrossRef] [PubMed]
  33. Wu, Z.; Xue, Y.; Zou, Z.; Wang, X.; Gao, F. Single-crystalline titanium dioxide hollow tetragonal nanocones with large exposed (101) facets for excellent photocatalysis. J. Colloid Interfaces Sci. 2017, 490, 420–429. [Google Scholar] [CrossRef] [PubMed]
  34. Li, Y.H.; Peng, C.; Yang, S.; Wang, H.F.; Yang, H.G. Critical roles of co-catalysts for molecular hydrogen formation in photocatalysis. J. Catal. 2015, 330, 120–128. [Google Scholar] [CrossRef]
  35. Yuan, D.; Zhang, L.; Lai, J.; Xie, L.; Mao, B.; Zhan, D. SECM evaluations of the crystal-facet-correlated photocatalytic activity of hematites for water splitting. Electrochem. Commun. 2016, 73, 29–32. [Google Scholar] [CrossRef]
  36. Wu, X.; Ng, Y.H.; Wang, L.; Du, Y.; Dou, S.X.; Amal, R.; Scott, J. Improving the photo-oxidative capability of BiOBr via crystal facet engineering. J. Mater. Chem. A 2017, 5, 8117–8124. [Google Scholar] [CrossRef]
  37. Qi, W.; An, X.; Zhang, F.; Liu, H.; Qu, J. Facet-dependent intermediate formation and reaction mechanism of photocatalytic removing hydrophobic anthracene under simulated solar irradiation. Appl. Catal. B Environ. 2017, 206, 194–202. [Google Scholar] [CrossRef]
  38. Rong, S.; Zhang, P.; Liu, F.; Yang, Y. Engineering crystal facet of α-MnO2 nanowire for highly efficient atalytic oxidation of carcinogenic airborne formaldehyde. ACS Catal. 2018, 8, 3435−3446. [Google Scholar] [CrossRef]
  39. Zhai, B.-G.; Liu, D.; He, Y.; Yang, L.; Huang, Y.M. Tuning the photoluminescence of Eu2+ and Eu3+ co-doped SrSO4 through post annealing technique. J. Lumin. 2018, 194, 485–493. [Google Scholar] [CrossRef]
  40. Zhai, B.-G.; Ma, Q.; Yang, L.; Huang, Y.M. Synthesis and optical properties of Tb-doped pentazinc dimolybdate pentahydrate. Results Phys. 2017, 7, 3991–4000. [Google Scholar] [CrossRef]
  41. Zhai, B.-G.; Ma, Q.; Yang, L.; Huang, Y.M. Effects of sintering temperature on the morphology and photoluminescence of Eu3+ doped zinc molybdenum oxide hydrate. J. Nanomater. 2018, 2018, 7418508. [Google Scholar] [CrossRef]
  42. Perdew, J.P.; Burke, K.; Ernzerhof, M. Generalized gradient approximation made simple. Phys. Rev. Lett. 1996, 77, 3865–3868. [Google Scholar] [CrossRef] [PubMed]
  43. Zhai, B.-G.; Yang, L.; Ma, Q.-L.; Huang, Y.M. Visible light driven photocatalytic activity of Fe-doped ZnO nanocrystals. Funct. Mater. Lett. 2017, 10, 1750002. [Google Scholar] [CrossRef]
  44. Ma, Q.-L.; Xiong, R.; Zhai, B.-G.; Huang, Y.M. Core-shelled Zn/ZnO microspheres synthesized by ultrasonic irradiation for photocatalytic applications. Micro Nano Lett. 2013, 8, 491–495. [Google Scholar] [CrossRef]
  45. Krishnakumar, B.; Swaminathan, M. Influence of operational parameters on photocatalytic degradation of a genotoxic azo dye acid violet 7 in aqueous ZnO suspensions. Spectrochim. Acta A 2011, 81, 739–744. [Google Scholar] [CrossRef] [PubMed]
  46. Ni, Y.-H.; Wei, X.-W.; Ma, X.; Hong, J.-M. CTAB assisted one-pot hydrothermal synthesis of columnar hexagonal-shaped ZnO crystals. J. Cryst. Growth 2005, 283, 48–56. [Google Scholar] [CrossRef]
  47. Zhai, B.-G.; Yang, L.; Ma, Q.; Liu, X.; Huang, Y.M. Mechanism of the prolongation of the green afterglow of SrAl2O4:Dy3+ caused by the use of H3BO3 flux. J. Lumin. 2017, 181, 78–87. [Google Scholar] [CrossRef]
  48. Zhai, B.-G.; Ma, Q.; Huang, Y.M. Instability of the characteristic emissions of dopant Tb in ZnO hexagonal pyramids. J. Electron. Mater. 2017, 46, 947–954. [Google Scholar] [CrossRef]
  49. Bøjesen, E.D.; Jensen, K.M.Ø.; Tyrsted, C.; Mamakhel, A.; Andersen, H.L.; Reardon, H.; Chevalier, J.; Dippele, A.-C.; Iversen, B.B. The chemistry of ZnWO4 nanoparticle formation. Chem. Sci. 2016, 7, 6394–6406. [Google Scholar] [CrossRef] [PubMed]
  50. Xie, A.; Yuan, X.; Wang, F.; Shi, Y.; Mu, Z. Enhanced red emission in ZnMoO4:Eu3+ by charge compensation. J. Phys. D Appl. Phys. 2010, 43, 055101–055105. [Google Scholar] [CrossRef]
  51. Schneider, W.-D.; Laubschat, C.; Nowik, I.; Kaindl, G. Shake-up excitations and core-hole screening in Eu systems. Phys. Rev. B 1981, 24, 5422–5425. [Google Scholar] [CrossRef]
  52. Han, M.; Oh, S.-J.; Park, J.H.; Park, H.L. X-ray photoelectron spectroscopy study of CaS:Eu and SrS:Eu phosphors. J. Appl. Phys. 1993, 73, 4546–4549. [Google Scholar] [CrossRef]
  53. Atuchin, V.V.; Galashov, E.N.; Khyzhun, O.Y.; Kozhukhov, A.S.; Pokrovsky, L.D.; Shlegel, V.N. Structural and electronic properties of ZnWO4(010) cleaved surface. Cryst. Growth Des. 2011, 11, 2479–2484. [Google Scholar] [CrossRef]
  54. Ma, Q.L.; Xiong, R.; Zhai, B.-G.; Huang, Y.M. Ultrasonic synthesis of fern-like ZnO nanoleaves and their enhanced photocatalytic activity. Appl. Surf. Sci. 2015, 324, 842–848. [Google Scholar] [CrossRef]
  55. Huang, Y.M.; Ma, Q.-L.; Zhai, B.-G. Core-shell Zn/ZnO structures with improved photocatalytic properties synthesized by aqueous solution method. Funct. Mater. Lett. 2013, 6, 1350058. [Google Scholar] [CrossRef]
  56. Zhai, B.-G.; Ma, Q.-L.; Yang, L.; Huang, Y.M. Synthesis of morphology-tunable ZnO nanostructures via the composite hydroxide mediated approach for photocatalytic applications. Mater. Res. Express 2016, 3, 105045. [Google Scholar] [CrossRef]
  57. Kraus, H.; Mikhailik, V.B.; Ramachers, Y.; Day, D.; Hutton, K.B.; Telfer, J. Feasibility study of a ZnWO4 scintillator for exploiting materials signature in cryogenic WIMP dark matter searches. Phys. Lett. B 2005, 610, 37–44. [Google Scholar] [CrossRef]
  58. Kalinko, A.; Kuzmin, A.; Evarestov, R.A. Ab initio study of the electronic and atomic structure of the wolframite-type ZnWO4. Solid State Commun. 2009, 149, 425–428. [Google Scholar] [CrossRef]
  59. Zhai, B.-G.; Huang, Y.M. Green photoluminescence and afterglow of Tb-doped SrAl2O4. J. Mater. Sci. 2017, 52, 1813–1822. [Google Scholar] [CrossRef]
  60. Zhai, B.-G.; Yang, L.; Ma, Q.; Huang, Y.M. Growth of ZnMoO4 nanowires via vapor deposition in air. Mater. Lett. 2017, 188, 119–122. [Google Scholar] [CrossRef]
  61. Ruan, Y.; Xiao, Q.; Luo, W.; Li, R.; Chen, X. Optical properties and luminescence dynamics of Eu3+-doped terbium orthophosphate nanophosphors. Nanotechnology 2011, 22, 275701. [Google Scholar] [CrossRef] [PubMed]
  62. Wen, F.-S.; Zhao, X.; Huo, H.; Chen, J.-S.; Shu-Lin, E.; Zhang, J.-H. Hydrothermal synthesis and photoluminescent properties of ZnWO4 and Eu3+-doped ZnWO4. Mater. Lett. 2002, 55, 152–157. [Google Scholar] [CrossRef]
  63. Ma, Q.; Xiong, R.; Huang, Y.M. Tunable photoluminescence of porous silicon by liquid crystal infiltration. J. Lumin. 2011, 131, 2053–2057. [Google Scholar] [CrossRef]
  64. Gritsenko, V.A.; Islamov, D.R.; Perevalov, T.V.; Aliev, V.Sh.; Yelisseyev, A.P.; Lomonova, E.E.; Pustovarov, V.A.; Chin, A. Oxygen vacancy in hafnia as a blue luminescence center and a trap of charge carriers. J. Phys. Chem. C 2016, 120, 19980−19986. [Google Scholar] [CrossRef]
  65. Huang, Y.M.; Ma, Q. Long afterglow of trivalent dysprosium doped strontium aluminate. J. Lumin. 2015, 160, 271–275. [Google Scholar] [CrossRef]
  66. Wang, K.; Feng, W.; Feng, X.; Li, Y.; Mi, P.; Shi, S. Synthesis and photoluminescence of novel red-emitting ZnWO4:Pr3+, Li+ phosphors. Spectrochim. Acta A 2016, 154, 72–75. [Google Scholar] [CrossRef] [PubMed]
  67. Millers, D.; Grigorjeva, L.; Pankratov, V.; Chernov, S.; Watterich, A. Time-resolved spectroscopy of ZnWO4. Radiat. Eff. Defect. S. 2001, 155, 317–321. [Google Scholar] [CrossRef]
  68. Wang, L.; Ma, Y.; Jiang, H.; Wang, Q.; Ren, C.; Kong, X.; Shi, J.; Wang, J. Luminescence properties of nano and bulk ZnWO4 and their charge transfer transitions. J. Mater. Chem. C 2014, 2, 4651–4658. [Google Scholar] [CrossRef]
  69. Huang, Y.M.; Zhai, B.-G.; Zhou, F.-F. Effects of photo-irradiation on the optical properties and electronic structures of an azo-containing bent-core liquid crystal. Mol. Cryst. Liq. Cryst. 2009, 510, 34–42. [Google Scholar] [CrossRef]
  70. Azuma, J.; Tamai, N.; Shishido, A.; Ikeda, T. Femtosecond dynamics and stimulated emission from the S2 state of a liquid crystalline trans-azobenzene. Chem. Phys. Lett. 1998, 288, 72–78. [Google Scholar] [CrossRef]
  71. Lednev, I.K.; Ye, T.-Q.; Matousek, P.; Towrie, M.; Foggi, P.; Neuwahl, F.V.R.; Umapathy, S.; Hester, R.E.; Moore, J.N. Femtosecond time-resolved UV-visible absorption spectroscopy of trans-azobenzene: Dependence on excitation wavelength. Chem. Phys. Lett. 1998, 290, 68–74. [Google Scholar] [CrossRef]
Figure 1. Micrographs of Eu-doped ZnWO4 nanoplates: (a) scanning electron microscopy (SEM) micrograph; (b) low-resolution transmission electron microscopy (TEM) micrograph; (c) high-resolution TEM micrograph.
Figure 1. Micrographs of Eu-doped ZnWO4 nanoplates: (a) scanning electron microscopy (SEM) micrograph; (b) low-resolution transmission electron microscopy (TEM) micrograph; (c) high-resolution TEM micrograph.
Nanomaterials 08 00765 g001
Figure 2. X-ray diffraction (XRD) curve (a) and energy dispersive X-ray (EDX) spectrum (b) of Eu-doped ZnWO4 nanoplates. Inset in (b): ZnO6 and WO6 octahedrons in ZnWO4.
Figure 2. X-ray diffraction (XRD) curve (a) and energy dispersive X-ray (EDX) spectrum (b) of Eu-doped ZnWO4 nanoplates. Inset in (b): ZnO6 and WO6 octahedrons in ZnWO4.
Nanomaterials 08 00765 g002
Figure 3. High-resolution X-ray photoelectron spectroscopic (XPS) spectra of Eu-doped ZnWO4 nanaplates: (a) Zn2p3/2 and Zn2p1/2; (b) O1s; (c) W4f7/2 and W4f5/2; (d) Eu3d3/2 and Eu3d5/2.
Figure 3. High-resolution X-ray photoelectron spectroscopic (XPS) spectra of Eu-doped ZnWO4 nanaplates: (a) Zn2p3/2 and Zn2p1/2; (b) O1s; (c) W4f7/2 and W4f5/2; (d) Eu3d3/2 and Eu3d5/2.
Nanomaterials 08 00765 g003
Figure 4. High-resolution XPS spectra of undoped ZnWO4 nanaplates: (a) Zn2p3/2 and Zn2p1/2; (b) O1s; (c) W4f7/2 and W4f5/2; (d) Eu3d3/2 and Eu3d5/2.
Figure 4. High-resolution XPS spectra of undoped ZnWO4 nanaplates: (a) Zn2p3/2 and Zn2p1/2; (b) O1s; (c) W4f7/2 and W4f5/2; (d) Eu3d3/2 and Eu3d5/2.
Nanomaterials 08 00765 g004
Figure 5. (a) UV-vis absorption spectrum of Eu-doped ZnWO4 nanoplates; (b) photoluminescence (PL) spectrum of Eu-doped ZnWO4 nanoplates. Inset in (b): luminescence photo of Eu-doped ZnWO4.
Figure 5. (a) UV-vis absorption spectrum of Eu-doped ZnWO4 nanoplates; (b) photoluminescence (PL) spectrum of Eu-doped ZnWO4 nanoplates. Inset in (b): luminescence photo of Eu-doped ZnWO4.
Nanomaterials 08 00765 g005
Figure 6. Electronic structures of perfect ZnWO4: (a) band structures; (b) density of states (DOS).
Figure 6. Electronic structures of perfect ZnWO4: (a) band structures; (b) density of states (DOS).
Nanomaterials 08 00765 g006
Figure 7. Electronic structures of ZnWO4 bearing 1 mol % of oxygen vacancy: (a) band structures; (b) density of states.
Figure 7. Electronic structures of ZnWO4 bearing 1 mol % of oxygen vacancy: (a) band structures; (b) density of states.
Nanomaterials 08 00765 g007
Figure 8. Electronic structures of ZnWO4 bearing 1 mol % of W vacancy: (a) band structures; (b) density of states.
Figure 8. Electronic structures of ZnWO4 bearing 1 mol % of W vacancy: (a) band structures; (b) density of states.
Nanomaterials 08 00765 g008
Figure 9. Time-resolved PL spectra of Eu-doped ZnWO4 nanoplates taken at different emission wavelengths: (a) 476 nm; (b) 536 nm; (c) 612 nm.
Figure 9. Time-resolved PL spectra of Eu-doped ZnWO4 nanoplates taken at different emission wavelengths: (a) 476 nm; (b) 536 nm; (c) 612 nm.
Nanomaterials 08 00765 g009
Figure 10. Time-resolved PL spectra of undoped ZnWO4 nanoplates taken at different emission wavelengths: (a) 476 nm; (b) 536 nm; (c) 612 nm.
Figure 10. Time-resolved PL spectra of undoped ZnWO4 nanoplates taken at different emission wavelengths: (a) 476 nm; (b) 536 nm; (c) 612 nm.
Nanomaterials 08 00765 g010
Figure 11. Time-resolved PL spectrum of Eu-doped ZnWO4 nanoplates at emission wavelength of 612 nm. The repetition frequency of the pulsed laser diode is 20 kHz.
Figure 11. Time-resolved PL spectrum of Eu-doped ZnWO4 nanoplates at emission wavelength of 612 nm. The repetition frequency of the pulsed laser diode is 20 kHz.
Nanomaterials 08 00765 g011
Figure 12. Possible mechanisms of the defect related emissions in Eu-doped ZnWO4.
Figure 12. Possible mechanisms of the defect related emissions in Eu-doped ZnWO4.
Nanomaterials 08 00765 g012
Figure 13. (a) Nitrogen adsorption and desorption isotherms of Eu-doped ZnWO4 nanoplates; (b) nitrogen adsorption and desorption isotherms of undoped ZnWO4 nanoparticles. Inset in (b): SEM micrograph of the undoped ZnWO4 nanoparticles.
Figure 13. (a) Nitrogen adsorption and desorption isotherms of Eu-doped ZnWO4 nanoplates; (b) nitrogen adsorption and desorption isotherms of undoped ZnWO4 nanoparticles. Inset in (b): SEM micrograph of the undoped ZnWO4 nanoparticles.
Nanomaterials 08 00765 g013
Figure 14. (a) Evolution of the absorption spectrum of methyl orange solution with the irradiation time of the high-pressure mercury lamp in the presence of Eu-doped ZnWO4 nanoplates; (b) semi-log plot of Ct/C0 (circles) and chemical oxygen demand (COD) plot (squares) as a function of irradiation time of the high-pressure mercury lamp. Inset in (a): photos of methyl orange solutions at different stages of photocatalytic degradation.
Figure 14. (a) Evolution of the absorption spectrum of methyl orange solution with the irradiation time of the high-pressure mercury lamp in the presence of Eu-doped ZnWO4 nanoplates; (b) semi-log plot of Ct/C0 (circles) and chemical oxygen demand (COD) plot (squares) as a function of irradiation time of the high-pressure mercury lamp. Inset in (a): photos of methyl orange solutions at different stages of photocatalytic degradation.
Nanomaterials 08 00765 g014
Figure 15. (a) Evolution of the absorption spectrum of methyl orange solution with the irradiation time of the high-pressure mercury lamp in the presence of undoped ZnWO4 nanoparticles; (b) semi-log plot of Ct/C0 (circles) and COD plot (squares) as a function of irradiation time of the high-pressure mercury lamp. Inset in (a): photos of methyl orange solutions at different stages of photocatalytic degradation.
Figure 15. (a) Evolution of the absorption spectrum of methyl orange solution with the irradiation time of the high-pressure mercury lamp in the presence of undoped ZnWO4 nanoparticles; (b) semi-log plot of Ct/C0 (circles) and COD plot (squares) as a function of irradiation time of the high-pressure mercury lamp. Inset in (a): photos of methyl orange solutions at different stages of photocatalytic degradation.
Nanomaterials 08 00765 g015
Figure 16. Selected area electron diffraction pattern of Eu-doped ZnWO4.
Figure 16. Selected area electron diffraction pattern of Eu-doped ZnWO4.
Nanomaterials 08 00765 g016
Table 1. Fitting parameters of the time-resolved photoluminescence (PL) spectra measured at different emission wavelengths (λem) for Eu-doped ZnWO4 nanoplates and undoped ZnWO4 nanoplates.
Table 1. Fitting parameters of the time-resolved photoluminescence (PL) spectra measured at different emission wavelengths (λem) for Eu-doped ZnWO4 nanoplates and undoped ZnWO4 nanoplates.
Eu-Doped ZnWO4 NanoplatesUndoped ZnWO4 Nanoplates
λem = 476 nmλem = 536 nmλem = 612 nmλem = 476 nmλem = 536 nmλem = 612 nm
A04.77825.099103.364.8907.6254.263
A14217.943064.321846.815977.835271.154510.53
A24896.785131.951606.393248.573969.984639.88
A31613.722284.132552.76592.19822.49956.61
A4196.35401.56578.93
τ1 (ns)0.300.260.280.540.590.55
τ2 (ns)1.040.990.652.142.111.87
τ3 (ns)3.212.941.838.027.586.63
τ4 (ns)9.738.347.13
<t> (ns)3.043.323.753.663.773.41
χ21.1231.1011.1221.1101.1711.076

Share and Cite

MDPI and ACS Style

Huang, Y.M.; Li, M.Y.; Yang, L.; Zhai, B.-g. Eu2+ and Eu3+ Doubly Doped ZnWO4 Nanoplates with Superior Photocatalytic Performance for Dye Degradation. Nanomaterials 2018, 8, 765. https://doi.org/10.3390/nano8100765

AMA Style

Huang YM, Li MY, Yang L, Zhai B-g. Eu2+ and Eu3+ Doubly Doped ZnWO4 Nanoplates with Superior Photocatalytic Performance for Dye Degradation. Nanomaterials. 2018; 8(10):765. https://doi.org/10.3390/nano8100765

Chicago/Turabian Style

Huang, Yuan Ming, Ming Yu Li, Long Yang, and Bao-gai Zhai. 2018. "Eu2+ and Eu3+ Doubly Doped ZnWO4 Nanoplates with Superior Photocatalytic Performance for Dye Degradation" Nanomaterials 8, no. 10: 765. https://doi.org/10.3390/nano8100765

APA Style

Huang, Y. M., Li, M. Y., Yang, L., & Zhai, B.-g. (2018). Eu2+ and Eu3+ Doubly Doped ZnWO4 Nanoplates with Superior Photocatalytic Performance for Dye Degradation. Nanomaterials, 8(10), 765. https://doi.org/10.3390/nano8100765

Note that from the first issue of 2016, this journal uses article numbers instead of page numbers. See further details here.

Article Metrics

Back to TopTop