Catalytic Degradation of Methyl Orange Using Fe/Ag/Zn Trimetallic Nanoparticles
Abstract
1. Introduction
2. Experimental Section
2.1. Reagents
2.2. Nanoparticle Synthesis and Characterization
2.2.1. Synthesis of Nanoparticles
2.2.2. Characterization of Nanoparticles
2.2.3. Electrochemical Experiments
2.3. Methyl Orange Degradation Tests and Analysis
2.4. Kinetic Study
2.5. Analysis of Methyl Orange Degradation Products and Pathway
3. Results and Discussion
3.1. Characterization of the Catalyst
3.2. Effect of Metal Addition Sequence on Methyl Orange Degradation
| NP Used | Dosage (mg/L) | pH | Temperature (°C) | Dye Concentration (mg/L) | Removal % | Reaction Time (min) | References | |
|---|---|---|---|---|---|---|---|---|
| 1 | nZVI | 150 | 7.0 | Room temperature | MO-40 | 98 | 30 | [85] |
| 2 | B nZVI | 500 | 6.5 | 30 | MO-100 | 79.5 | 10 | [86] |
| 3 | B* nZVI | 600 | 4.1 | Room temperature | MO-300 | 98.5 | 10 | [87] |
| 4 | B Fe/Pd | 500 | 6.2 | 25 | MO-200 | 91.9 | 20 | [25] |
| 5 | Fe/Ni | 3000 | - | 28 ± 2 | Orange G-150 | 99.9 | 10 | [88] |
| 6 | Fe/Cu/Ag | 200 | 3.0 | Room temperature | MO-10 | 100.0 | 1 | [36] |
| 7 | Fe/Ag/Zn | 200 | 3.0 | Room temperature | MO-10 | 100.0 | 1 | Current study |
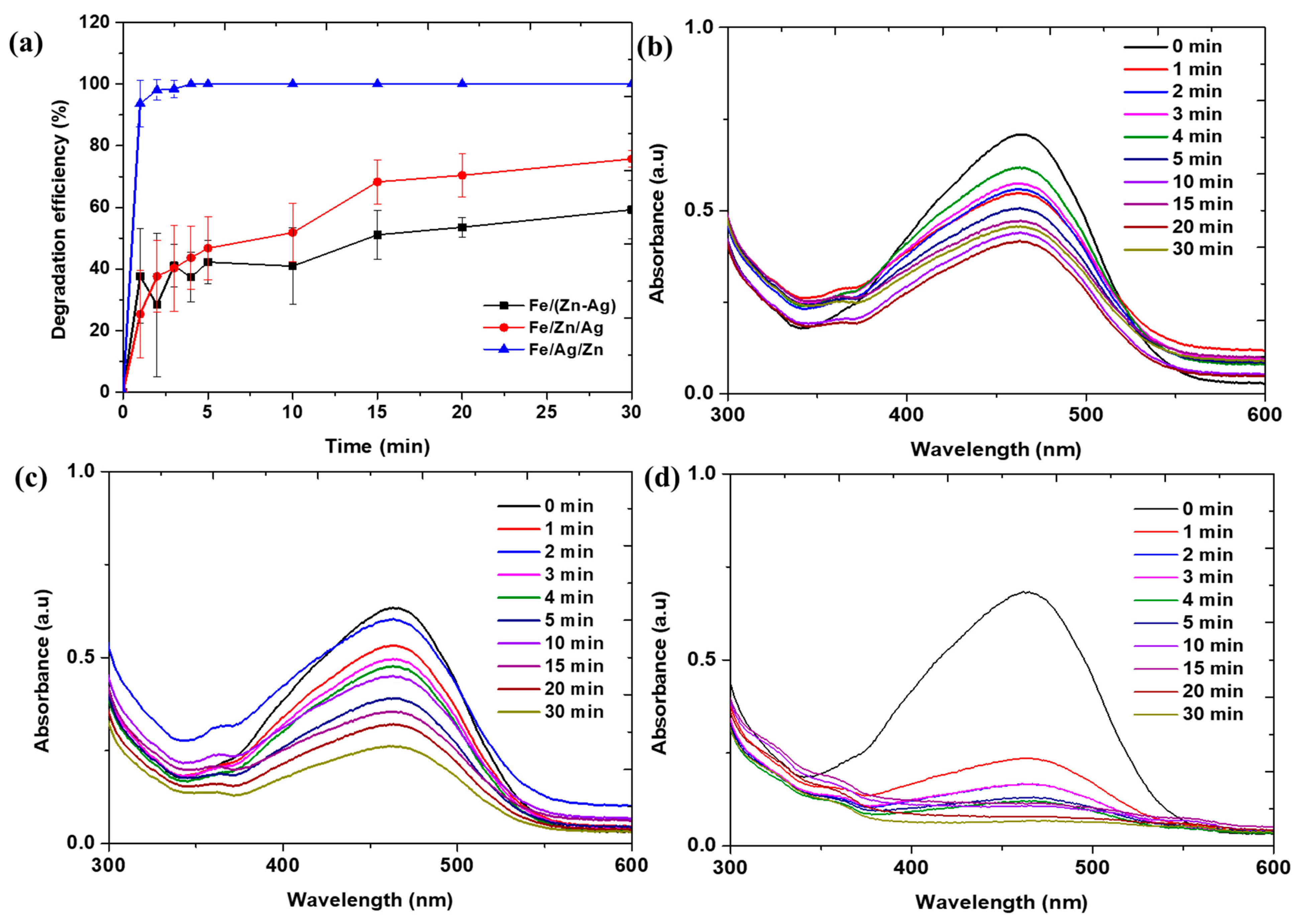
3.3. Evaluating the Catalytic Activity of the Trimetallic Systems
3.4. Electrochemical Studies of the Nanoparticles
3.5. Effect of Reaction Conditions on Catalyst Performance
3.5.1. Effect of Initial Solution pH
3.5.2. Effect of Initial Methyl Orange Dye Concentration
3.5.3. Effect of Initial Nanoparticle Dosage
3.6. Methyl Orange Degradation Products and Pathway
3.7. Probable Methyl Orange Degradation Mechanism by Fe/Ag/Zn Trimetallic Nanoparticles
4. Conclusions
Supplementary Materials
Author Contributions
Funding
Data Availability Statement
Acknowledgments
Conflicts of Interest
References
- Yukseler, H.; Uzal, N.; Sahinkaya, E.; Kitis, M.; Dilek, F.B.; Yetis, U. Analysis of the best available techniques for wastewaters from a denim manufacturing textile mill. J. Environ. Manag. 2017, 203, 1118–1125. [Google Scholar] [CrossRef] [PubMed]
- Aljerf, L. High-efficiency extraction of bromocresol purple dye and heavy metals as chromium from industrial effluent by adsorption onto a modified surface of zeolite: Kinetics and equilibrium study. J. Environ. Manag. 2018, 225, 120–132. [Google Scholar] [CrossRef] [PubMed]
- Laing, I.G. The impact of effluent regulations on the dyeing industry. Rev. Prog. Color. Relat. Top. 1991, 21, 56–71. [Google Scholar] [CrossRef]
- Gahr, F.; Hermanutz, F.; Oppermann, W. Ozonation-an important technique to comply with new German laws for textile wastewater treatment. Interciencia 1994, 30, 255–263. [Google Scholar] [CrossRef]
- Vandevivere, P.C.; Bianchi, R.; Verstraete, W. Review: Treatment and reuse of wastewater from the textile wet-processing industry: Review of emerging technologies. J. Chem. Technol. Biotechnol. 1998, 72, 289–302. [Google Scholar] [CrossRef]
- Yaseen, D.A.; Scholz, M. Textile dye wastewater characteristics and constituents of synthetic effluents: A critical review. Int. J. Environ. Sci. Technol. 2019, 16, 1193–1226. [Google Scholar] [CrossRef]
- Cinperi, N.C.; Ozturk, E.; Yigit, N.O.; Kitis, M. Treatment of woolen textile wastewater using membrane bioreactor, nanofiltration and reverse osmosis for reuse in production processes. J. Clean. Prod. 2019, 223, 837–848. [Google Scholar] [CrossRef]
- Sarker, M.R.; Chowdhury, M.; Deb, A. Reduction of color intensity from textile dye wastewater using microorganisms: A review. Int. J. Curr. Microbiol. Appl. Sci. 2019, 8, 3407–3415. [Google Scholar] [CrossRef]
- Mikucioniene, D.; García, D.M.; Repon, R.; Mila, R.; Priniotakis, G. Understanding and addressing the water footprint in the textile sector: A review. AUTEX Res. J. 2024, 24, 20240004. [Google Scholar] [CrossRef]
- Popli, S.; Patel, U.D. Destruction of azo dyes by anaerobic–aerobic sequential biological treatment: A review. Int. J. Environ. Sci. Technol. 2015, 12, 405–420. [Google Scholar] [CrossRef]
- Konstantinou, I.K.; Albanis, T.A. TiO2-assisted photocatalytic degradation of azo dyes in aqueous solution: Kinetic and mechanistic investigations: A review. Appl. Catal. B Environ. 2004, 49, 1–14. [Google Scholar] [CrossRef]
- Chung, K.-T.; Cerniglia, C.E. Mutagenicity of azo dyes: Structure-activity relationships. Mutat. Res. 1992, 277, 201–220. [Google Scholar] [CrossRef] [PubMed]
- Carneiro, P.A.; Umbuzeiro, G.A.; Oliveira, D.P.; Zanoni, M.V.B. Assessment of water contamination caused by a mutagenic textile effluent/dyehouse effluent bearing disperse dyes. J. Hazard. Mater. 2010, 174, 694–699. [Google Scholar] [CrossRef] [PubMed]
- Firmino, P.I.M.; da Silva, M.E.R.; Cervantes, F.J.; Santos, A.B.D. Colour removal of dyes from synthetic and real textile wastewaters in one- and two-stage anaerobic systems. Bioresour. Technol. 2010, 101, 7773–7779. [Google Scholar] [CrossRef]
- Chandran, D. Review of the textile industries waste water treatment methodologies. Int. J. Sci. Eng. Res. 2015, 7, 392–403. [Google Scholar]
- Moghadam, M.T.; Qaderi, F. Modeling of petroleum wastewater treatment by Fe/Zn nanoparticles using the response surface methodology and enhancing the efficiency by scavenger. Results Phys. 2019, 15, 102566. [Google Scholar] [CrossRef]
- Boruah, P.K.; Sharma, B.; Karbhal, I.; Shelke, M.V.; Das, M.R. Ammonia-modified graphene sheets decorated with magnetic Fe3O4 nanoparticles for the photocatalytic and photo-Fenton degradation of phenolic compounds under sunlight irradiation. J. Hazard. Mater. 2017, 325, 90–100. [Google Scholar] [CrossRef]
- Liu, Y.; Zhou, S.; Yang, F.; Qin, H.; Kong, Y. Degradation of phenol in industrial wastewater over the F-Fe/TiO2 photocatalysts under visible light illumination. Chin. J. Chem. Eng. 2016, 24, 1712–1718. [Google Scholar] [CrossRef]
- Alamo-nole, S.L.; Bailon-Ruiz, S.; Luna-Pineda, T.; Perales-Perez, O.; Roman, F.R. Photocatalytic activity of quantum dot–magnetite nanocomposites to degrade organic dyes in the aqueous phase. J. Mater. Chem. A 2013, 1, 5509–5516. [Google Scholar] [CrossRef]
- Rahman, N.; Abedin, Z.; Hossain, M.A. Rapid degradation of azo dyes using nano-scale zero valent iron. Am. J. Environ. Sci. 2014, 10, 157–163. [Google Scholar] [CrossRef]
- Huang, S.; Gu, L.; Zhu, N.; Feng, K.; Yuan, H.; Lou, Z.; Li, Y.; Shan, A. Heavy metal recovery from electroplating wastewater by synthesis of mixed-Fe3O4@ SiO2/metal oxide magnetite photocatalysts. Green Chem. 2014, 16, 2696–2705. [Google Scholar] [CrossRef]
- Boronina, T.N.; Dieken, L.; Lagadic, I.; Klabunde, K.J. Zinc-silver; zinc-palladium, and zinc-gold as bimetallic systems for carbon tetrachloride dechlorination in Water. J. Hazard. Subst. Res. 1998, 1, 7. [Google Scholar] [CrossRef][Green Version]
- Srinoi, P.; Chen, Y.T.; Vittur, V.; Marquez, M.D.; Lee, T.R. Bimetallic nanoparticles: Enhanced magnetic and optical properties for emerging biological applications. Appl. Sci. 2018, 8, 1106. [Google Scholar] [CrossRef]
- Gautam, R.K.; Rawat, V.; Banerjee, S.; Sanroman, M.A.; Soni, S.; Singh, S.K.; Chattopadhyaya, M.C. Synthesis of bimetallic Fe–Zn nanoparticles and its application towards adsorptive removal of carcinogenic dye malachite green and Congo red in water. J. Mol. Liq. 2015, 212, 227–236. [Google Scholar] [CrossRef]
- Wang, T.; Su, J.; Jin, X.; Chen, Z.; Megharaj, M.; Naidu, R. Functional clay supported bimetallic nZVI/Pd nanoparticles used for removal of methyl orange from aqueous solution. J. Hazard. Mater. 2013, 262, 819–825. [Google Scholar] [CrossRef]
- Marková, Z.; Šišková, K.M.H.; Filip, J.; Čuda, J.; Kolář, M.; Šafářová, K.; Medřík, I.; Zbořil, R. Air stable magnetic bimetallic Fe−Ag nanoparticles for advanced antimicrobial treatment and phosphorus removal. Environ. Sci. Technol. 2013, 47, 5285–5293. [Google Scholar] [CrossRef]
- Wang, J.; Liu, C.; Tong, L.; Li, J.; Luo, R.; Qi, J.; Li, Y.; Wang, L. Iron–copper bimetallic nanoparticles supported on hollow mesoporous silica spheres: An effective heterogeneous Fenton catalyst for orange II degradation. RSC Adv. 2015, 5, 69593–69605. [Google Scholar] [CrossRef]
- Gu, J.; Wang, H. Unveiling the synergistic interface effects of Ag-deposited Fe2O3/biochar catalysts to enhance wastewater degradation. Nanoscale 2025, 17, 6741–6756. [Google Scholar] [CrossRef]
- Hailili, R.; Ji, H.; Wang, K.; Dong, X.; Chen, C.; Sheng, H.; Bahnemann, D.W.; Zhao, J. ZnO with Controllable Oxygen Vacancies for Photocatalytic Nitrogen Oxide Removal. ACS Catal. 2022, 12, 10004−10017. [Google Scholar] [CrossRef]
- Singh, J.; Juneja, S.; Palsaniya, S.; Manna, A.K.; Soni, R.K. Evidence of oxygen defects mediated enhanced photocatalytic and antibacterial performance of ZnO nanorods. Colloids Surf. B Biointerfaces 2019, 184, 110541. [Google Scholar] [CrossRef]
- Liang, C.; Liu, Y.; Li, K.; Wen, J.; Xing, S.; Ma, Z.; Wu, Y. Heterogeneous photo-Fenton degradation of organic pollutants with amorphous Fe-Zn-oxide/hydrochar under visible light irradiation. Sep. Purif. Technol. 2017, 188, 105–111. [Google Scholar] [CrossRef]
- Basavegowda, N.; Mishra, K.; Lee, Y.R. Trimetallic FeAgPt alloy as a nanocatalyst for the reduction of 4-nitroaniline and decolorization of rhodamine B: A comparative study. J. Alloys Compd. 2017, 701, 456–464. [Google Scholar] [CrossRef]
- Roy, A.; Kunwar, S.; Bhusal, U.; Idris, D.S.; Alghamdi, S.; Chidambaram, K.; Qureshi, A.A.; Qusty, N.F.; Khan, A.A.; Kaur, K.; et al. Dye degradation activity of biogenically synthesized Cu/Fe/Ag trimetallic nanoparticles. Green Process. Synth. 2024, 13, 20230267. [Google Scholar] [CrossRef]
- Khan, Z. Trimetallic nanoparticles: Synthesis, characterization and catalytic degradation of formic acid for hydrogen generation. Int. J. Hydrogen Energy 2019, 44, 11503–11513. [Google Scholar] [CrossRef]
- Yuan, Y.; Yuan, D.; Zhang, Y.; Lai, B. Exploring the mechanism and kinetics of Fe-Cu-Ag trimetallic particles for p-nitrophenol reduction. Chemosphere 2017, 186, 132–139. [Google Scholar] [CrossRef]
- Kgatle, M.; Sikhwivhilu, K.; Ndlovu, G.; Moloto, N. Degradation kinetics of methyl orange dye in water using trimetallic Fe/Cu/Ag nanoparticles. Catalysts 2021, 11, 428. [Google Scholar] [CrossRef]
- Rabiei, M.; Palevicius, A.; Monshi, A.; Nasiri, S.; Vilkauskas, A.; Janusas, G. Comparing methods for calculating nano crystal size of natural hydroxyapatite using x-ray diffraction. Nanomaterials 2020, 10, 1627. [Google Scholar] [CrossRef]
- Boudart, M. Turnover rates in heterogeneous catalysis. Chem. Rev. 1995, 95, 661–666. [Google Scholar] [CrossRef]
- Ruiz-Torres, C.A.; Araujo-Martínez, R.F.; Martínez-Castañón, G.A.; Morales-Sánchez, J.E.; Guajardo-Pacheco, J.M.; González-Hernández, J.; Lee, T.J.; Shin, H.S.; Hwang, Y.; Ruiz, F. Preparation of air stable nanoscale zero valent iron functionalized by ethylene glycol without inert condition. Chem. Eng. J. 2018, 336, 112–122. [Google Scholar] [CrossRef]
- Dhal, J.P.; Mishra, B.G.; Hota, G. Hydrothermal synthesis and enhanced photocatalytic activity of ternary Fe2O3/ZnFe2O4/ZnO nanocomposite through cascade electron transfer. RSC Adv. 2015, 5, 58072–58083. [Google Scholar] [CrossRef]
- Wang, J.; Liu, C.; Hussain, I.; Li, C.; Li, J.; Sun, X.; Shen, J.; Han, W.; Wang, L. Iron–copper bimetallic nanoparticles supported on hollow mesoporous silica spheres: The effect of Fe/Cu ratio on heterogeneous Fenton degradation of a dye. RSC Adv. 2016, 6, 54623–54635. [Google Scholar] [CrossRef]
- Weng, X.; Chen, Z.; Chen, Z.; Megharaj, M. Clay supported bimetallic Fe/Ni nanoparticles used for reductive degradation of amoxicillin in aqueous solution: Characterization and kinetics. Colloids Surf. A Physicochem. Eng. Asp. 2014, 443, 404–409. [Google Scholar] [CrossRef]
- Zhou, T.; Li, Y.; Lim, T.T. Catalytic hydrodechlorination of chlorophenols by Pd/Fe nanoparticles: Comparisons with other bimetallic systems, kinetics and mechanism. Sep. Purif. Technol. 2010, 76, 206–214. [Google Scholar] [CrossRef]
- Fang, Z.; Qiu, X.; Chen, J.; Qiu, X. Debromination of polybrominated diphenyl ethers by Ni/Fe bimetallic nanoparticles: Influencing factors, kinetics, and mechanism. J. Hazard. Mater. 2011, 185, 958–969. [Google Scholar] [CrossRef]
- Ruiz-Torres, C.A.; Araujo-Martínez, R.F.; Martínez-Castañón, G.A.; Morales-Sánchez, J.E.; Lee, T.J.; Shin, H.S.; Hwang, Y.; Hurtado-Macías, A.; Ruiz, F. A cost-effective method to prepare size-controlled nanoscale zero-valent iron for nitrate reduction. Environ. Eng. Res. 2019, 24, 463–473. [Google Scholar] [CrossRef]
- Scardi, P.; Leoni, M.; Beyerlein, K.R. On the modelling of the powder pattern from a nanocrystalline material. Z. Krist. 2011, 226, 924–933. [Google Scholar] [CrossRef]
- Shameli, K.; Ahmad, M.B.; Zamanian, A.; Sangpour, P.; Shabanzadeh, P.; Abdollahi, Y.; Zargar, M. Green biosynthesis of silver nanoparticles using Curcuma longa tuber powder. Int. J. Nanomed. 2012, 7, 5603–5610. [Google Scholar] [CrossRef]
- Abdullah, K.A.; Awad, S.; Zaraket, J.; Salame, C. Synthesis of ZnO nanopowders by using Sol-gel and studying their structural and electrical properties at different temperature. Energy Procedia 2017, 119, 565–570. [Google Scholar] [CrossRef]
- Wasly, H. X-Ray analysis for determination the crystallite size and lattice strain in ZnO nanoparticles. J. Al-Azhar Univ. Eng. Sect. 2018, 13, 1312–1320. [Google Scholar] [CrossRef]
- Vanysek, P. Electrode Potentials. In CRC Handbook of Chemistry and Physics, 92nd ed.; CRC Press: Boca Raton, FA, USA, 1982. [Google Scholar]
- Mülhopt, S.; Diabaté, S.; Dilger, M.; Adelhelm, C.; Anderlohr, C.; Bergfeldt, T.; de la Torre, J.G.; Jiang, Y.; Valsami-Jones, E.; Langevin, D.; et al. Characterization of nanoparticle batch-to-batch variability. Nanomaterials 2018, 8, 311. [Google Scholar] [CrossRef]
- Zhang, Y.; Su, Y.; Zhou, X.; Dai, C.; Keller, A.A. A new insight on the core–shell structure of zerovalent iron nanoparticles and its application for Pb(II) sequestration. J. Hazard. Mater. 2013, 263, 685–693. [Google Scholar] [CrossRef]
- Liang, Y.; Wang, C.-C. Surface crystal feature-dependent photoactivity of ZnO–ZnS composite rods via hydrothermal sulfidation. RSC Adv. 2018, 8, 5063–5070. [Google Scholar] [CrossRef]
- Mai, N.T.; Thuy, T.T.; Mott, D.M.; Maenosono, S. Chemical synthesis of blue-emitting metallic zinc nano-hexagons. CrystEngComm 2013, 15, 6606. [Google Scholar] [CrossRef]
- Shamhari, N.M.; Wee, B.S.; Chin, S.F.; Kok, K.Y. Synthesis and characterization of zinc oxide nanoparticles with small particle size distribution. Acta Chim. Slov. 2018, 65, 578–585. [Google Scholar] [CrossRef]
- Zin, M.T.; Borja, J.; Hinode, H.; Kurniawan, W. Synthesis of bimetallic fe/cu nanoparticles with different copper loading ratios. Int. J. Chem. Nucl. Metall. Mater. Eng. 2013, 7, 669–673. [Google Scholar] [CrossRef]
- Sharma, R.; Dhillon, A.; Kumar, D. Mentha-Stabilized silver nanoparticles for high-performance colorimetric detection of Al(III) in aqueous systems. Sci. Rep. 2018, 8, 5189. [Google Scholar] [CrossRef]
- Trujillo-Reyes, J.; Sánchez-Mendieta, V.; Colín-Cruz, A.; Morales-Luckie, R.A. Removal of indigo blue in aqueous solution using Fe/Cu nanoparticles and C/Fe–Cu nanoalloy composites. Water Air. Soil Pollut. 2010, 207, 307–317. [Google Scholar] [CrossRef]
- Luo, S.; Yang, S.; Wang, X.; Sun, C. Reductive degradation of tetrabromobisphenol using Iron–Silver and Iron–Nickel bimetallic nanoparticles with microwave energy. Environ. Eng. Sci. 2012, 29, 453–460. [Google Scholar] [CrossRef]
- Hosseini, S.M.; Ataie-Ashtiani, B.; Kholghi, M. Nitrate reduction by nano-Fe/Cu particles in packed column. Desalination 2011, 276, 214–221. [Google Scholar] [CrossRef]
- Carroll, K.J.; Hudgins, D.M.; Spurgeon, S.; Kemner, K.M.; Mishra, B.; Boyanov, M.I.; Brown, L.W.; Taheri, M.L.; Carpenter, E.E. One-pot aqueous synthesis of Fe and Ag core/shell nanoparticles. Chem. Mater. 2010, 22, 6291–6296. [Google Scholar] [CrossRef]
- Tseng, W.J.; Chuang, Y.-C. Chemical Preparation of Bimetallic Fe/Ag core/shell composite nanoparticles. J. Nanosci. Nanotechnol. 2017, 18, 2790–2796. [Google Scholar] [CrossRef] [PubMed]
- Fiedot, M.; Rac, O.; Suchorska-Woźniak, P.; Karbownik, I.; Teterycz, H. Polymer-surfactant interactions and their influence on zinc oxide nanoparticles morphology. In Manufacturing Nanostructures; One Central Press (OCP): Manchester, UK, 2014; pp. 108–128. [Google Scholar]
- Zhu, S.N.; Liu, G.H.; Hui, K.S.; Ye, Z.; Hui, K.N. A facile approach for the synthesis of stable amorphous nanoscale zero-valent iron particles. Electron. Mater. Lett. 2014, 10, 143–146. [Google Scholar] [CrossRef]
- Liang, W.; Dai, C.; Zhou, X.; Zhang, Y. Application of zero-valent iron nanoparticles for the removal of aqueous zinc ions under various experimental conditions. PLoS ONE 2014, 9, e85686. [Google Scholar] [CrossRef]
- Singh, R.P.P.; Hudiara, I.S.; Rana, S.B. Effect of calcination temperature on the structural, optical and magnetic properties of pure and Fe-doped ZnO nanoparticles. Mater. Sci. Pol. 2016, 34, 451–459. [Google Scholar] [CrossRef]
- Akbari, B.; Tavandashti, M.P.; Zandrahimi, M. Particle size characterization of nanoparticles: A practical approach. Iran. J. Mater. Sci. Eng. 2011, 8, 48–56. [Google Scholar]
- Ruys, A. Processing Structure, and Properties of Alumina Ceramics, Alumina Ceramics: Biomedical and Clinical Applications, 1st ed.; Woodhead Publishing: Sawston, UK, 2019; pp. 71–121. [Google Scholar]
- Tengku Sallehudin, T.A.; Abu Seman, M.N.; Tuan Chik, S.M.S. Preparation and characterization silver nanoparticle embedded polyamide nanofiltration (NF) membrane. MATEC Web Conf. 2018, 150, 02003. [Google Scholar] [CrossRef]
- Li, G.; Jin, R. Catalysis by gold nanoparticles: Carbon-carbon coupling reactions. Nanotechnol. Rev. 2013, 2, 529–545. [Google Scholar] [CrossRef]
- Kumar, K.H.; Venkatesh, N.; Bhowmik, H.; Kuila, A. Metallic nanoparticle: A review. Biomed. J. Sci. Tech. Res. 2018, 4, 3765–3775. [Google Scholar] [CrossRef]
- Bransfield, S.J.; Cwiertny, D.M.; Livi, K.; Fairbrother, D.H. Influence of transition metal additives and temperature on the rate of organohalide reduction by granular iron: Implications for reaction mechanisms. Appl. Catal. B Environ. 2007, 76, 348–356. [Google Scholar] [CrossRef]
- Zhang, S.S.; Yang, N.; Ni, S.Q.; Natarajan, V.; Ahmad, H.A.; Xu, S.; Fang, X.; Zhan, J. One-pot synthesis of highly active Ni/Fe nanobimetal by simultaneous ball milling and in situ chemical deposition. RSC Adv. 2018, 8, 26469–26475. [Google Scholar] [CrossRef]
- Chen, X.; Ji, D.; Wang, X.; Zang, L. Review on Nano zerovalent Iron (nZVI): From modification to environmental applications. IOP Conf. Ser. Earth Environ. Sci. 2017, 51, 012004. [Google Scholar] [CrossRef]
- Huang, S.; Shen, J.; Wu, Y.; Li, X.; Ma, Y.; Xie, Y.; Yu, C. Bi2O2CO3 co-catalyst modification BiOBr driving efficient photoreduction CO2. Colloids Surf. A Physicochem. Eng. Asp. 2025, 725, 137731. [Google Scholar] [CrossRef]
- Ghauch, A.; Assi, H.A.; Baydoun, H.; Tuqan, A.M.; Bejjani, A. Fe0-based trimetallic systems for the removal of aqueous diclofenac: Mechanism and kinetics. Chem. Eng. J. 2011, 172, 1033–1044. [Google Scholar] [CrossRef]
- Zhu, L.P.; Zhu, B.K.; Xu, L.; Feng, Y.X.; Liu, F.; Xu, Y.Y. Corona-induced graft polymerization for surface modification of porous polyethersulfone membranes. Appl. Surf. Sci. 2007, 253, 6052–6059. [Google Scholar] [CrossRef]
- Gao, Y.; Wang, F.; Wu, Y.; Naidu, R.; Chen, Z. Comparison of degradation mechanisms of microcystin-LR using nanoscale zero-valent iron (nZVI) and bimetallic Fe/Ni and Fe/Pd nanoparticles. Chem. Eng. J. 2016, 285, 459–466. [Google Scholar] [CrossRef]
- Rodrigues, R.; Betelu, S.; Colombano, S.; Masselot, G.; Tzedakis, T.; Ignatiadis, I. Reductive dechlorination of hexachlorobutadiene by a Pd/Fe microparticle suspension in dissolved lactic acid polymers: Degradation mechanism and kinetics. Ind. Eng. Chem. Res. 2017, 56, 12092–12100. [Google Scholar] [CrossRef]
- Muradova, G.G.; Gadjieva, S.R.; Di Palma, L.; Vilardi, G. Nitrates removal by bimetallic nanoparticles in water. Chem. Eng. Trans. 2016, 47, 205–210. [Google Scholar] [CrossRef]
- Parvin, F.; Nayna, O.K.; Tareq, S.M.; Rikta, S.Y.; Kamal, A.K. Facile synthesis of iron oxide nanoparticle and synergistic effect of iron nanoparticle in the presence of sunlight for the degradation of DOM from textile wastewater. Appl. Water Sci. 2018, 8, 73. [Google Scholar] [CrossRef]
- Paris, D.F.; Steen, W.C.; Baughman, G.L.; Barnett, J.T. Second-Order model to predict microbial degradation of organic compounds in natural waters. Appl. Environ. Microbiol. 1981, 41, 603–609. [Google Scholar] [CrossRef]
- Lin, C.J.; Lo, S.L.; Liou, Y.H. Dechlorination of trichloroethylene in aqueous solution by noble metal-modified iron. J. Hazard. Mater. 2004, 116, 219–228. [Google Scholar] [CrossRef]
- Lien, H.L.; Zhang, W. Enhanced dehalogenation of halogenated methanes by bimetallic Cu/Al. Chemosphere 2002, 49, 371–378. [Google Scholar] [CrossRef] [PubMed]
- Ravikumar, K.V.G.; Dubey, S.; Chandrasekaran, N.; Mukherjee, A. Scale-up synthesis of zero-valent iron nanoparticles and their applications for synergistic degradation of pollutants with sodium borohydride. J. Mol. Liq. 2016, 224, 589–598. [Google Scholar] [CrossRef]
- Chen, Z.X.; Jin, X.Y.; Chen, Z.; Megharaj, M.; Naidu, R. Removal of methyl orange from aqueous solution using bentonite-supported nanoscale zero-valent iron. J. Colloid Interface Sci. 2011, 363, 601–607. [Google Scholar] [CrossRef] [PubMed]
- Han, L.; Xue, S.; Zhao, S.; Yan, J.; Qian, L.; Chen, M. Biochar supported nanoscale iron particles for the efficient removal of methyl orange dye in aqueous solutions. PLoS ONE 2015, 10, e0132067. [Google Scholar] [CrossRef]
- Bokare, A.D.; Chikate, R.C.; Rode, C.V.; Paknikar, K.M. Effect of surface chemistry of Fe-Ni nanoparticles on mechanistic pathways of azo dye degradation. Environ. Sci. Technol. 2007, 41, 7437–7443. [Google Scholar] [CrossRef]
- Devi, L.G.; Shyamala, R. Photocatalytic activity of SnO2-α-Fe2O3 composite mixtures: Exploration of number of active sites, turnover number and turnover frequency. Mater. Chem. Front. 2018, 2, 796–806. [Google Scholar] [CrossRef]
- Kondrat, S.A.; van Bokhoven, J.A. A perspective on counting catalytic active sites and rates of reaction using X-ray spectroscopy. Top. Catal. 2019, 62, 1218–1227. [Google Scholar] [CrossRef]
- Navalon, S.; Amarajothi, D.; Mercedes, A.; Antonietti, M.; Garcia, H. Active sites on graphene-based materials as metal-free catalysts. Chem. Soc. Rev. 2017, 46, 4501–4529. [Google Scholar] [CrossRef]
- Benck, J.D.; Hellstern, T.R.; Kibsgaard, J.; Chakthranont, P.; Jaramillo, T.F. Catalyzing the hydrogen evolution reaction (HER) with molybdenum sulfide nanomaterials. ACS Catal. 2014, 4, 3957−3971. [Google Scholar] [CrossRef]
- Sulaiman, W.K.; Azeez, L.; Adebisi, S.A.; Wahab, O.O.; Agbaogun, B.K. Exploring zero-valent iron nanoparticles (nZVI) for Bisphenol A removal: Experimental investigations and Monte-Carlo simulation insights. Water Pract. Technol. 2024, 19, 3416–3438. [Google Scholar] [CrossRef]
- Aalim, M.; Shah, M.A. Role of oxygen vacancies and porosity in enhancing the electrochemical properties of Microwave synthesized hematite (α-Fe2O3) nanostructures for supercapacitor application. Vacuum 2023, 210, 111903. [Google Scholar] [CrossRef]
- Bashir, A.; Hussain, A.; Qureashi, A.; Ahmad, L.; Gani, M.; Moreno, J. Catalytic propensity of biochar decorated with core-shell nZVI@Fe3O4: A sustainable photo-Fenton catalysis of methylene blue dye and reduction of 4-nitrophenol. J. Environ. Chem. Eng. 2022, 10, 107401. [Google Scholar] [CrossRef]
- Ganguly, D.; Ramaprabhu, S. Facile synthesis and electrochemical properties of α-Fe2O3 nanoparticles/etched carbon nanotube composites as anode for lithium-ion batteries. Mater. Chem. Phys. 2021, 267, 124664. [Google Scholar] [CrossRef]
- Ganguly, D.; Ajay Piriya, A.P.; Anamika, G.; Ramaprabhu, S. Magnetic field assisted high capacity durable Li-ion battery using magnetic α-Fe2O3 nanoparticles decorated expired drug derived N-doped carbon anode. Sci. Rep. 2020, 10, 14–18. [Google Scholar] [CrossRef] [PubMed]
- Zhang, Z.; Fang, C.; Muhammad, J.; Liang, J.; Yang, W.; Zhang, X.; Rong, Z.; Guo, X.; Jung, Y.; Dong, X. Fe2O3-encapsulated SiC nanowires with superior electrochemical properties as anode materials for the lithium-ion batteries. Ionics 2021, 27, 2431–2444. [Google Scholar] [CrossRef]
- Zhou, L.; Zheng, B.; Zhang, K.; Xue, C.; Fang, Z. Enhanced degradation of monobrominated diphenyl ether by sophorolipid modified nanoscale zerovalent iron: Reactivity, electron selectivity, and mechanism. J. Environ. Chem. Eng. 2023, 11, 109827. [Google Scholar] [CrossRef]
- He, L.; Wang, S.; Luo, F.; Liu, Z.; Wu, Y.; Yang, Y.; Chen, Z. Unravelling the bifunctional role of biochar in promoting nZVI/Ni towards complete dechlorination of trichloroethylene: Not only a carbonouces support. Chem. Eng. J. 2024, 481, 148634. [Google Scholar] [CrossRef]
- Hou, D.; Cui, X.; Liu, M.; Qie, H.; Tang, Y.; Leng, W.; Luo, N.; Luo, H.; Lin, A.; Yang, W.; et al. Degradation of trichloroethylene by biochar supported nano zero-valent iron (BC-nZVI): The role of specific surface area and electrochemical properties. Sci. Total Environ. 2024, 908, 168341. [Google Scholar] [CrossRef]
- Sobana, N.; Swaminathan, M. The effect of operational parameters on the photocatalytic degradation of acid red 18 by ZnO. Sep. Purif. Technol. 2007, 56, 101–107. [Google Scholar] [CrossRef]
- Poulios, I.; Tsachpinis, I. Photodegradation of the textile dye Reactive Black 5 in the presence of semiconducting oxides. J. Chem. Technol. Biotechnol. 1999, 74, 349–357. [Google Scholar] [CrossRef]
- Rezaei, F.; Vione, D. Effect of pH on zero valent iron performance in heterogeneous Fenton and Fenton-like processes: A review. Molecules 2018, 23, 3127. [Google Scholar] [CrossRef]
- Shih, Y.H.; Tso, C.P.; Tung, L.Y. Rapid degradation of methyl orange with nanoscale zerovalent iron particles. Sustain. Environ. Res. 2010, 20, 137–143. [Google Scholar]
- Youssef, N.A.; Shaban, S.A.; Ibrahim, F.A.; Mahmoud, A.S. Degradation of methyl orange using Fenton catalytic reaction. Egypt. J. Pet. 2016, 25, 317–321. [Google Scholar] [CrossRef]
- Niu, P. Photocatalytic Degradation of methyl orange in aqueous TiO2 Suspensions. Asian J. Chem. 2013, 25, 1103–1106. [Google Scholar] [CrossRef]
- Regmi, S.; Sarker, S.; Oglesby, A.K.; Banning, K.N.; Lanier, E.E.; Xia, C.; Talukder, S.; Yang, H.; Khan, N. Fabrication of nZVI/rGO via an innovative thermal co-reduction method for enhanced PFAS removal through sequential adsorption and photocatalytic degradation. J. Hazard. Mater. 2025, 497, 139586. [Google Scholar] [CrossRef]
- Farooq, U.; Danish, M.; Lyu, S.; Brusseau, M.L.; Gu, M.; Qamar, W.; Qiu, Z.; Sui, Q. The impact of surface properties and dominant ions on the effectiveness of G-nZVI heterogeneous catalyst for environmental remediation. Sci. Total Environ. 2019, 651, 1182–1188. [Google Scholar] [CrossRef]
- Luo, S.; Yang, S.; Wang, X.; Sun, C. Reductive degradation of tetrabromobisphenol A over iron–silver bimetallic nanoparticles under ultrasound radiation. Chemosphere 2010, 79, 672–678. [Google Scholar] [CrossRef]
- Singh, J.; Chang, Y.Y.; Koduru, J.R.; Yang, J.K.; Singh, D.P. Rapid Fenton-like degradation of methyl orange by ultrasonically dispersed nano-metallic particles. Environ. Eng. Res. 2017, 22, 245–254. [Google Scholar] [CrossRef]
- El-Sayed, E.M.; Elkady, M.F.; El-Latif, M.M.A. Biosynthesis and characterization of zerovalent iron nanoparticles and its application in azo dye degradation. Indian J. Chem. Technol. 2017, 24, 541–547. [Google Scholar]
- Chen, T.; Zheng, Y.; Lin, J.M.; Chen, G. Study on the photocatalytic degradation of methyl orange in water using Ag/ZnO as catalyst by liquid chromatography electrospray ionization ion-trap mass spectroscopy. J. Am. Soc. Mass Spectrom. 2008, 19, 997–1003. [Google Scholar] [CrossRef]
- Shen, T.; Jiang, C.; Wang, C.; Sun, J.; Wang, X.; Li, X. TiO2 modified abiotic-biotic process for the degradation of azo dye methyl orange. RSC Adv. 2015, 5, 58704–58712. [Google Scholar] [CrossRef]
- Xie, S.; Huang, P.; Kruzic, J.J.; Zeng, X.; Qian, H. A highly efficient degradation mechanism of methyl orange using Fe-based metallic glass powders. Sci. Rep. 2016, 6, 21947. [Google Scholar] [CrossRef]
- Dai, K.; Chen, H.; Peng, T.; Ke, D.; Yi, H. Photocatalytic degradation of methyl orange in aqueous suspension of mesoporous titania nanoparticles. Chemosphere 2007, 69, 1361–1367. [Google Scholar] [CrossRef] [PubMed]
- Nguyen, Q.B.; Vu, D.P.; Nguyen, T.H.C.; Doan, T.D.; Pham, N.C.; Duong, T.L.; Tran, D.L.; Bach, G.L.; Tran, H.C.; Dao, N.N. Photocatalytic activity of BiTaO4 Nanoparticles for the degradation of methyl orange under visible light. J. Electron. Mater. 2019, 48, 3131–3136. [Google Scholar] [CrossRef]
- Lai, B.; Ji, Q.; Yuan, Y.; Yuan, D.; Zhou, Y.; Wang, J. Degradation of ultrahigh concentration pollutant by Fe/Cu bimetallic system at high operating temperature. Korean J. Chem. Eng. 2016, 33, 207–215. [Google Scholar] [CrossRef]
- Herath, H.M.D.R.; Shaw, P.N.; Cabot, P.; Hewavitharana, A.K. Effect of ionization suppression by trace impurities in mobile phase water on the accuracy of quantification by high-performance liquid chromatography/mass spectrometry. Rapid Commun. Mass Spectrom. 2010, 24, 1502–1506. [Google Scholar] [CrossRef]
- Lu, H.J.; Wang, J.K.; Ferguson, S.; Wang, T.; Bao, Y.; Hao, H.X. Mechanism, Synthesis and Modification of nano zerovalent iron in water treatment. Nanoscale 2016, 8, 9962–9975. [Google Scholar] [CrossRef]
- Lu, H.; Wang, J.; Stoller, M.; Wang, T.; Bao, Y.; Hao, H. An overview of nanomaterials for water and wastewater treatment: Review. Adv. Mater. Sci. Eng. 2016, 2016, 4964828. [Google Scholar] [CrossRef]
- Tratnyek, P.G.; Salter, A.J.; Nurmi, J.T.; Sarathy, V. Environmental applications of zerovalent metals: Iron vs. Zinc. In Nanoscale Materials in Chemistry: Environmental Applications; ACS Symposium Series; ACS Publications: Washington, DC, USA, 2010; Volume 1045, pp. 165–178. [Google Scholar] [CrossRef]
- Kakavandi, B.; Takdastan, A.; Pourfadakari, S.; Ahmadmoazzam, M.; Jorfi, S. Heterogeneous catalytic degradation of organic compounds using nanoscale zero-valent iron supported on kaolinite: Mechanism, kinetic and feasibility studies. J. Taiwan Inst. Chem. Eng. 2019, 96, 329–340. [Google Scholar] [CrossRef]
- Lu, Y.; Younis, S.A.; Kim, K. Photocatalytic mineralization of gaseous formaldehyde over silver-doped metal oxide/MOF heterostructure with a mediator-assisted hybridized step (MAH-S)-scheme charge configuration. J. Hazard. Mater. 2025, 501, 140208. [Google Scholar] [CrossRef]
- Cao, J.; Wei, L.; Huang, Q.; Wang, L.; Han, S. Reducing degradation of azo dye by zero-valent iron in aqueous solution. Chemosphere 1999, 38, 565–571. [Google Scholar] [CrossRef]
- Raychoudhury, T.; Scheytt, T. Potential of zerovalent iron nanoparticles for remediation of environmental organic contaminants in water: A review. Water Sci. Technol. 2013, 68, 1425–1439. [Google Scholar] [CrossRef]
- Yildiz, B.; Şener, E.; Hanay, Ö. The Role of Second Metal on the Catalytic in-Situ Generation of H2O2 by Fe/Ni Bimetallic Nanoparticles: Degradation Studies of Metronidazole Antibiotic. Yildiz Iran J. Chem. Chem. Eng. 2024, 43, 1457–1469. [Google Scholar] [CrossRef]














| Sample | Element | Peak Binding Energy (eV) | Atomic % |
|---|---|---|---|
| Fe/Zn/Ag | C 1s | 286.0 | 19.7 |
| O 1s | 533.0 | 48.7 | |
| Fe 2p | 712.4 | 2.5 | |
| Zn 2p | 1022.9 | 14.0 | |
| Ag 3d | 368.8 | 0.1 | |
| Fe/(Zn/Ag) | C 1s | 286.0 | 25.6 |
| O 1s | 532.9 | 45.4 | |
| Fe 2p | 713.4 | 6.8 | |
| Zn 2p | 1022.8 | 10.9 | |
| Fe/Ag/Zn | C 1s | 285.9 | 43.2 |
| O 1s | 533.4 | 33.3 | |
| Fe 2p | 712.9 | 2.3 | |
| Zn 2p | 1023.0 | 9.0 |
| R2 Values | |||
|---|---|---|---|
| Zeroth-Order | First-Order | Second-Order | |
| Fe/(Zn/Ag) | 0.6363 | 0.7229 | 0.8052 |
| Fe/Zn/Ag | 0.7655 | 0.8578 | 0.9506 |
| Fe/Ag/Zn | 0.1662 | 0.6537 | 0.9107 |
| Degradation Efficiency (%) | Number of Active Sites (moles) | TON | TOF (min−1) | BET Surface Area (m2/g) | Average Pore Diameter * (nm) | Pore Volume * (cm3/g) | Pore Area * (m2/g) | |
|---|---|---|---|---|---|---|---|---|
| Fe/(Zn/Ag) | 42.21 | 4.09 × 10−5 | 1.5669 | 0.3134 | 30.4406 | 1.71–24.67 | 0.03–0.07 | 5.98–28.81 |
| Fe/Zn/Ag | 46.73 | 4.09 × 10−5 | 1.7534 | 0.3507 | 37.0288 | 1.78–25.07 | 0.06–0.13 | 10.37–42.25 |
| Fe/Ag/Zn | 100.00 | 4.09 × 10−5 | 3.7307 | 0.7461 | 78.3437 | 1.73–26.62 | 0.16–0.27 | 17.85–56.93 |
Disclaimer/Publisher’s Note: The statements, opinions and data contained in all publications are solely those of the individual author(s) and contributor(s) and not of MDPI and/or the editor(s). MDPI and/or the editor(s) disclaim responsibility for any injury to people or property resulting from any ideas, methods, instructions or products referred to in the content. |
© 2025 by the authors. Licensee MDPI, Basel, Switzerland. This article is an open access article distributed under the terms and conditions of the Creative Commons Attribution (CC BY) license.
Share and Cite
Kgatle, M.; Khoabane, K.; Mphuthi, N.; Ndlovu, G.; Moloto, N. Catalytic Degradation of Methyl Orange Using Fe/Ag/Zn Trimetallic Nanoparticles. Nanomaterials 2026, 16, 60. https://doi.org/10.3390/nano16010060
Kgatle M, Khoabane K, Mphuthi N, Ndlovu G, Moloto N. Catalytic Degradation of Methyl Orange Using Fe/Ag/Zn Trimetallic Nanoparticles. Nanomaterials. 2026; 16(1):60. https://doi.org/10.3390/nano16010060
Chicago/Turabian StyleKgatle, Masaku, Keneiloe Khoabane, Ntsoaki Mphuthi, Gebhu Ndlovu, and Nosipho Moloto. 2026. "Catalytic Degradation of Methyl Orange Using Fe/Ag/Zn Trimetallic Nanoparticles" Nanomaterials 16, no. 1: 60. https://doi.org/10.3390/nano16010060
APA StyleKgatle, M., Khoabane, K., Mphuthi, N., Ndlovu, G., & Moloto, N. (2026). Catalytic Degradation of Methyl Orange Using Fe/Ag/Zn Trimetallic Nanoparticles. Nanomaterials, 16(1), 60. https://doi.org/10.3390/nano16010060

