High Performance Phototransistor Based on 0D-CsPbBr3/2D-MoS2 Heterostructure with Gate Tunable Photo-Response
Abstract
1. Introduction
2. Materials and Methods
2.1. Fabrication of CsPbBr3 QDs
2.2. Fabrication of Monolayer MoS2 Nanosheets
2.3. Fabrication and Measurements of CsPbBr3/MoS2 Phototransistor
3. Results
3.1. Characterizations of CsPbBr3/ MoS2 Heterostructure
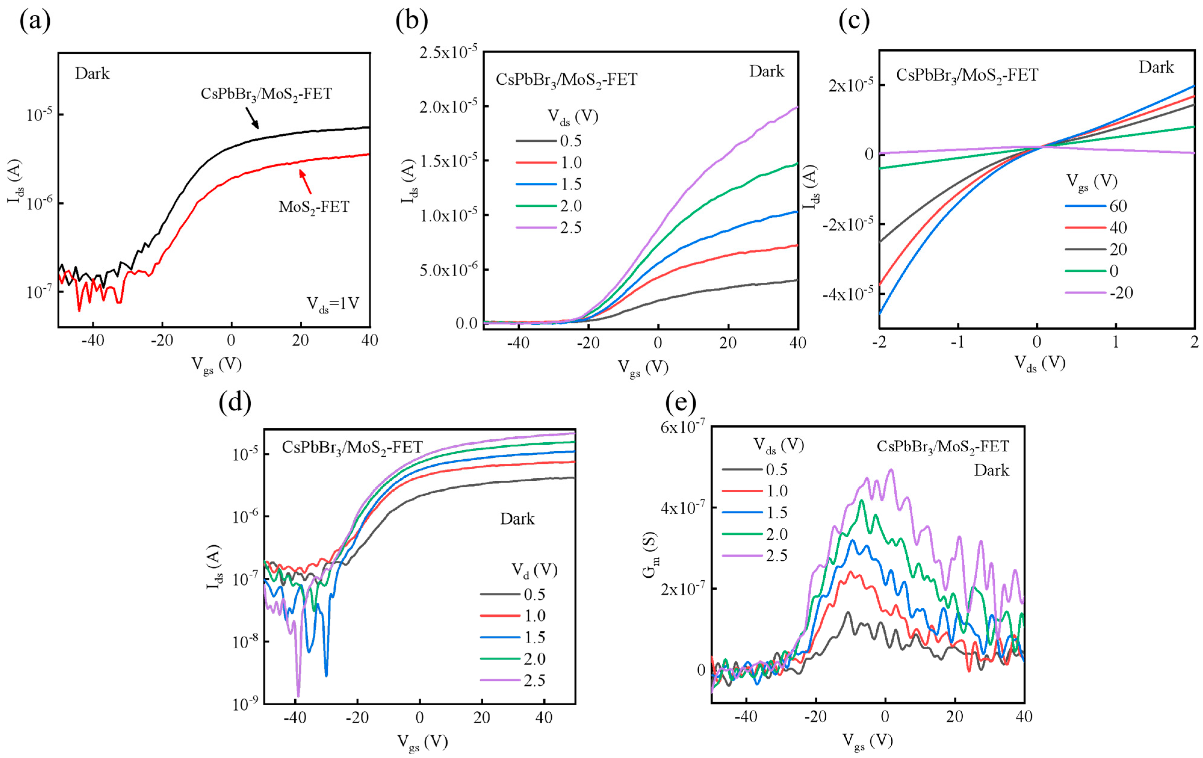
3.2. Electrical Performance of CsPbBr3/MoS2 Phototransistor
3.3. Photoelectrical Performance of CsPbBr3/MoS2 Phototransistor
4. Discussion
Supplementary Materials
Author Contributions
Funding
Data Availability Statement
Conflicts of Interest
References
- Zhu, Y.; Wang, Y.; Pang, X.; Jiang, Y.; Liu, X.; Li, Q.; Wang, Z.; Liu, C.; Hu, W. Non-volatile 2D MoS2/black phosphorus heterojunction photodiodes in the near- to mid-infrared region. Nat. Commun. 2024, 15, 6015. [Google Scholar] [CrossRef] [PubMed]
- Guo, J.; Li, S.; He, Z.; Li, Y.; Lei, Z.; Liu, Y.; Huang, W.; Gong, T.; Ai, Q.; Mao, L.; et al. Near-infrared photodetector based on few-layer MoS2 with sensitivity enhanced by localized surface plasmon resonance. Appl. Surf. Sci. 2019, 483, 1037–1043. [Google Scholar] [CrossRef]
- Zhang, C.; Chen, Y.; Wang, M.; Guo, L.; Qin, L.; Yang, Z.; Wang, C.; Li, X.; Cao, G. Photodetectors Based on MASnI3/MoS2 Hybrid-Dimensional Heterojunction Transistors: Breaking the Responsivity–Speed Trade-Off. ACS Nano 2024, 18, 19303–19313. [Google Scholar] [CrossRef]
- Dutta, D.; Reddy, K.; Badhulika, S. Exfoliated Se nanoparticles decorated on MoS2/paper-based heterojunction as a flexible, self-powered and highly responsive photodetector. Mater. Sci. Semicond. Process. 2023, 164, 107610. [Google Scholar] [CrossRef]
- Yin, Z.; Li, H.; Li, H.; Jiang, L.; Shi, Y.; Sun, Y.; Lu, G.; Zhang, Q.; Chen, X.; Zhang, H. Single-Layer MoS2 Phototransistors. ACS Nano 2012, 6, 74–80. [Google Scholar] [CrossRef] [PubMed]
- Lopez-Sanchez, O.; Lembke, D.; Kayci, M.; Radenovic, A.; Kis, A. Ultrasensitive photodetectors based on monolayer MoS2. Nat. Nanotechnol. 2013, 8, 497–501. [Google Scholar] [CrossRef] [PubMed]
- Kim, H.; Kumar, M.; Patel, M.; Kim, J.; Cho, B.; Kim, D. High-performing MoS2-embedded Si photodetector. Mater. Sci. Semicond. Process. 2017, 71, 35–41. [Google Scholar] [CrossRef]
- Sharma, A.; Varshney, U.; Vashishtha, P.; Yadav, A.; Prajapat, P.; Singh, P.; Gupta, G. Self-driven Vis-NIR broadband photodetector based on nano-hedge-like MoS2/WSe2 heterostructure. Mater. Sci. Semicond. Process. 2023, 164, 107611. [Google Scholar] [CrossRef]
- Kim, K.; Ji, Y.; Kim, K.; Choi, S.; Kang, D.; Heo, K.; Cho, S.; Yim, S.; Lee, S.; Park, J.; et al. Ultrasensitive MoS2 photodetector by serial nano-bridge multi-heterojunction. Nat. Commun. 2019, 10, 4701. [Google Scholar] [CrossRef] [PubMed]
- Liu, J.; Dong, Y.; Zhang, L.; Liu, W.; Zhang, C.; Shi, Y.; Lin, H. Regulating superoxide radicals and light absorption ability for enhancing photocatalytic performance of MoS2@Z by CeO2 rich in adsorbed oxygen. J. Clean. Prod. 2021, 322, 129059. [Google Scholar] [CrossRef]
- Park, M.; Min, J.; Yi, S.; Kim, J.; Oh, J.; Yoo, K. Near-infrared photodetectors utilizing MoS2-based heterojunctions. J. Appl. Phys. 2015, 118, 044504. [Google Scholar] [CrossRef]
- Mao, Y.; Xu, P.; Wu, Q.; Xiong, J.; Peng, R.; Huang, W.; Chen, S.; Wu, Z.; Li, C. Self-Powered High-Detectivity Lateral MoS2 Schottky Photodetectors for Near-Infrared Operation. Adv. Electron. Mater. 2021, 7, 2001138. [Google Scholar] [CrossRef]
- Wang, L.; Song, E.; Ji, X.; Zhang, Q. Enhanced sensitivity of MoS2: Er-based flexible near-infrared photodetectors via tellurium-induced interfacial charge transfer. Appl. Phys. Lett. 2024, 124, 111101. [Google Scholar] [CrossRef]
- Lee, H.; Lu, G.; Shen, J.; Lin, H.; Chen, Y. Wrinkled 2D hybrid heterostructures for stretchable and sensitive photodetectors. J. Mater. Chem. C 2022, 43, 16370–16378. [Google Scholar] [CrossRef]
- Chandrasekar, P.; Yang, S.; Hu, J.; Sulaman, M.; Saleem, M.; Tang, Y.; Jiang, Y.; Zou, B. A one-step method to synthesize CH3NH3PbI3:MoS2 nanohybrids for high-performance solution-processed photodetectors in the visible region. Nanotechnology 2019, 30, 085707. [Google Scholar] [CrossRef] [PubMed]
- Konstantatos, G.; Badioli, M.; Gaudreau, L.; Johann, O.; Maria, B.; Pelayo, F.; Fabio, G.; Frank, H.L. Hybrid graphene–quantum dot phototransistors with ultrahigh gain. Nat. Nanotechnol. 2012, 7, 363–368. [Google Scholar] [CrossRef]
- Zou, C.; Chen, M.; Luo, X.; Zhou, H.; Yu, T.; Yuan, C. Enhanced photoluminescence of WS2/WO3 heterostructural QDs. J. Alloys Compd. 2020, 834, 155066. [Google Scholar] [CrossRef]
- Zhang, S.; Wang, X.; Chen, Y.; Wu, G.; Tang, Y.; Zhu, L.; Wang, H.; Jiang, W.; Sun, L.; Lin, T.; et al. Ultrasensitive Hybrid MoS2–ZnCdSe Quantum Dot Photodetectors with High Gain. ACS Appl. Mater. Interfaces 2019, 11, 23667–23672. [Google Scholar] [CrossRef] [PubMed]
- Kufer, D.; Lasanta, T.; Bernechea, M.; Koppens, F.; Konstantatos, G. Interface engineering in hybrid quantum dot–2D phototransistors. ACS Photonics 2016, 3, 1324–1330. [Google Scholar] [CrossRef]
- Pak, S.; Cho, Y.; Hong, J.; Lee, J.; Lee, S.; Hou, B.; An, G.; Lee, Y.; Jang, J.; Im, H.; et al. Consecutive Junction-Induced Efficient Charge Separation Mechanisms for High-Performance MoS2/Quantum Dot Phototransistors. ACS Appl. Mater. Interfaces 2018, 10, 38264–38271. [Google Scholar] [CrossRef] [PubMed]
- Wu, H.; Kang, Z.; Zhang, Z.; Zhang, Z.; Si, H.; Liao, Q.; Zhang, S.; Wu, J.; Zhang, X.; Zhang, Y. Interfacial Charge Behavior Modulation in Perovskite Quantum Dot-Monolayer MoS2 0D-2D Mixed-Dimensional van der Waals Heterostructures. Adv. Funct. Mater. 2018, 28, 1802015. [Google Scholar] [CrossRef]
- Jeong, S.; Cho, S.; Moon, B.; Teku, J.; Jeong, M.; Lee, S.; Kim, Y.; Lee, J. Zero Dimensional–Two Dimensional Hybrid Photodetectors Using Multilayer MoS2 and Lead Halide Perovskite Quantum Dots with a Tunable Bandgap. ACS Appl. Mater. Interfaces 2023, 15, 5432–5438. [Google Scholar] [CrossRef]
- Wu, H.; Kang, Z.; Zhang, Z.; Si, H.; Zhang, S.; Zhang, Z.; Liao, Q.; Zhang, Y. Ligand Engineering for Improved All-Inorganic Perovskite Quantum Dot-MoS2 Monolayer Mixed Dimensional van der Waals Phototransistor. Small Methods 2019, 3, 1900117. [Google Scholar] [CrossRef]
- Wu, H.; Si, H.; Zhang, Z.; Kang, Z.; Wu, P.; Zhou, L.; Zhang, S.; Zhang, Z.; Liao, Q.; Zhang, Y. All-Inorganic Perovskite Quantum Dot-Monolayer MoS2 Mixed-Dimensional van der Waals Heterostructure for Ultrasensitive Photodetector. Adv. Sci. 2018, 5, 1801219. [Google Scholar] [CrossRef]
- Lee, S.; Kim, J.; Choi, S.; Lee, Y.; Lee, K.; Kim, J.; Joo, J. Photosensitive n-Type Doping Using Perovskite CsPbX3 Quantum Dots for Two-Dimensional MSe2 (M = Mo and W) Field-Effect Transistors. ACS Appl. Mater. Interfaces 2020, 12, 25159–25167. [Google Scholar] [CrossRef] [PubMed]
- Noh, T.; Shin, H.; Seo, C.; Kim, J.; Youn, J.; Kim, J.; Lee, K.; Joo, J. Significant enhancement of photoresponsive characteristics and mobility of MoS2-based transistors through hybridization with perovskite CsPbBr3 quantum dots. Nano Res. 2019, 12, 405–412. [Google Scholar] [CrossRef]
- Deshmukh, A.; Patil, K.; Ogale, S.; Behave, T. Resistive Switching in CsPbBr3 (0D)/MoS2 (2D) Heterojunction System: Trap-Controlled Space Charge Limited Transport Mechanism. ACS Appl. Electron. Mater. 2023, 5, 1536–1545. [Google Scholar] [CrossRef]
- Turkulets, Y.; Shalish, I. Mobility and Sheet charge in high-electron mobility transistor quantum wells from photon-induced transconductance. IEEE Electron. Device Lett. 2019, 40, 383–386. [Google Scholar] [CrossRef]
- Tian, Z.; Guo, H.; Liu, W.; Cao, K.; Bai, S.; Peng, Q. Facile exfoliation of MoS2 powders into nanosheets with excellent fluorescence quenching performance of perovskite. Optik 2022, 251, 168480. [Google Scholar] [CrossRef]
- Sim, J.; Ryoo, S.; Kim, J.; Jang, J.; Ahn, H.; Kim, D.; Jung, J.; Kong, T.; Choi, H.; Lee, Y.; et al. Enhanced Photodetection Performance of an In Situ Core/Shell Perovskite-MoS2 Phototransistor. ACS Nano 2024, 18, 16905–16913. [Google Scholar] [CrossRef]
- Klots, A.; Newaz, A.; Wang, B.; Prasai, D.; Krzyzanowska, H.; Lin, J.; Caudel, D.; Ghimire, N.; Yan, J.; Ivanov, B.L.; et al. Probing excitonic states in suspended two-dimensional semiconductors by photocurrent spectroscopy. Sci. Rep. 2014, 4, 6608. [Google Scholar] [CrossRef] [PubMed]
- Choi, W.; Cho, M.; Konar, A.; Lee, J.; Cha, G.; Hong, S.; Kim, S.; Kim, J.; Jena, D.; Joo, J.; et al. High-detectivity multilayer MoS2 phototransistors with spectral response from ultraviolet to infrared. Adv. Mater. 2012, 24, 5832. [Google Scholar] [CrossRef] [PubMed]
- Chen, Y.; Wang, X.; Wu, G.; Wang, Z.; Fang, H.; Lin, T.; Sun, S.; Shen, H.; Hu, W.; Wang, J.; et al. High-Performance Photovoltaic Detector Based on MoTe2/MoS2 Van der Waals Heterostructure. Small 2018, 14, 1703293. [Google Scholar] [CrossRef] [PubMed]
- Park, Y.; Lee, S.; Park, H.; Baac, H.; Yoo, G.; Heo, J. Hybrid metal-halide perovskite-MoS2 phototransistor. J. Nanosci. Nanotechnol. 2016, 16, 11722–11726. [Google Scholar] [CrossRef]
- Luo, Q.; Feng, G.; Song, Y.; Zhang, E.; Yuan, J.; Fa, D.; Sun, Q.; Lei, S.; Hu, W. 2D-polyimide film sensitized monolayer MoS2 phototransistor enabled near-infrared photodetection. Nano Res. 2022, 15, 8428–8434. [Google Scholar] [CrossRef]






| Structure | MoS2 Layer | Wavelength (nm) | Responsivity (A/W) | Detectivity (Jones) | Ref. |
|---|---|---|---|---|---|
| MoS2 | monolayer | 640 | 50 | - | [31] |
| MoS2 | multilayer | 633 | 0.12 | 1010 | [32] |
| MoS2/MoTe2 | few layers | 637 | 4.6 × 10−2 | 1.06 × 107 | [33] |
| MoS2/CH3NH3PbI3 | few layers | 638 | 1.1 | 9 × 1010 | [34] |
| MoS2/2DPI | monolayer | 900 | 390.5 | 5.10 × 1012 | [35] |
| CsPbBr3/MoS2 | monolayer | 405 | 1790 | 2.39 × 1011 | This study |
Disclaimer/Publisher’s Note: The statements, opinions and data contained in all publications are solely those of the individual author(s) and contributor(s) and not of MDPI and/or the editor(s). MDPI and/or the editor(s) disclaim responsibility for any injury to people or property resulting from any ideas, methods, instructions or products referred to in the content. |
© 2025 by the authors. Licensee MDPI, Basel, Switzerland. This article is an open access article distributed under the terms and conditions of the Creative Commons Attribution (CC BY) license (https://creativecommons.org/licenses/by/4.0/).
Share and Cite
Yang, C.; Xie, Y.; Zheng, L.; Liu, H.; Liu, P.; Wang, F.; Wei, J.; Zhang, K. High Performance Phototransistor Based on 0D-CsPbBr3/2D-MoS2 Heterostructure with Gate Tunable Photo-Response. Nanomaterials 2025, 15, 307. https://doi.org/10.3390/nano15040307
Yang C, Xie Y, Zheng L, Liu H, Liu P, Wang F, Wei J, Zhang K. High Performance Phototransistor Based on 0D-CsPbBr3/2D-MoS2 Heterostructure with Gate Tunable Photo-Response. Nanomaterials. 2025; 15(4):307. https://doi.org/10.3390/nano15040307
Chicago/Turabian StyleYang, Chen, Yangyang Xie, Lei Zheng, Hanqiang Liu, Peng Liu, Fang Wang, Junqing Wei, and Kailiang Zhang. 2025. "High Performance Phototransistor Based on 0D-CsPbBr3/2D-MoS2 Heterostructure with Gate Tunable Photo-Response" Nanomaterials 15, no. 4: 307. https://doi.org/10.3390/nano15040307
APA StyleYang, C., Xie, Y., Zheng, L., Liu, H., Liu, P., Wang, F., Wei, J., & Zhang, K. (2025). High Performance Phototransistor Based on 0D-CsPbBr3/2D-MoS2 Heterostructure with Gate Tunable Photo-Response. Nanomaterials, 15(4), 307. https://doi.org/10.3390/nano15040307
