Evaporation of Nanofluid Sessile Droplets Under Marangoni and Buoyancy Effects: Internal Convection and Instability
Abstract
1. Introduction
2. Experimental Setup
2.1. Experimental Setup
2.2. Materials
2.3. Analysis
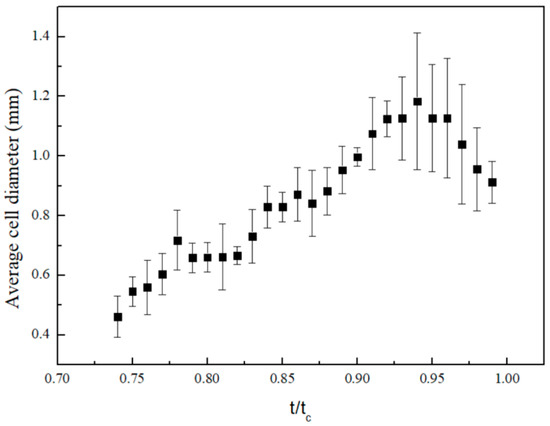
3. Experimental Results and Discussion
3.1. The Evaporation Rate
3.2. The Convection Flow Pattern
3.3. The Deposition Patterns
3.4. The Critical Values for Flow Instability
4. Conclusions
Author Contributions
Funding
Data Availability Statement
Acknowledgments
Conflicts of Interest
References
- Sefiane, K.; Bennacer, R. Nanofluids droplets evaporation kinetics and wetting dynamics on rough heated substrates. Adv. Colloid Interface Sci. 2009, 147–148, 263–271. [Google Scholar] [CrossRef] [PubMed]
- Katre, P.; Balusamy, S.; Banerjee, S.; Chandrala, L.D.; Sahu, K.C. Evaporation Dynamics of a Sessile Droplet of Binary Mixture Laden with Nanoparticles. Langmuir 2021, 37, 6311–6321. [Google Scholar] [CrossRef] [PubMed]
- Zaaroura, I.; Toubal, M.; Reda, H.; Carlier, J.; Harmand, S.; Boukherroub, R.; Fasquelle, A.; Nongaillard, B. Evaporation of nanofluid sessile drops: Infrared and acoustic methods to track the dynamic deposition of copper oxide nanoparticles. Int. J. Heat Mass Transf. 2018, 127, 1168–1177. [Google Scholar] [CrossRef]
- Ahumada-Lazo, J.A.; Chen, R.-H. Effects of nanoparticle concentration and peclet number on nanofluid droplet evaporation behavior. Int. J. Therm. Sci. 2022, 178, 107582. [Google Scholar] [CrossRef]
- Chen, R.-H.; Phuoc, T.X.; Martello, D. Effects of nanoparticles on nanofluid droplet evaporation. Int. J. Heat Mass Transf. 2010, 53, 3677–3682. [Google Scholar] [CrossRef]
- Nguyen, T.A.H.; Nguyen, A.V. Increased Evaporation Kinetics of Sessile Droplets by Using Nanoparticles. Langmuir 2012, 28, 16725–16728. [Google Scholar] [CrossRef]
- Siddiqui, F.R.; Tso, C.Y.; Fu, S.C.; Qiu, H.H.; Chao, C.Y.H. Evaporation and wetting behavior of silver-graphene hybrid nanofluid droplet on its porous residue surface for various mixing ratios. Int. J. Heat Mass Transf. 2020, 153, 119618. [Google Scholar] [CrossRef]
- Rani, D.; Sarkar, S. Drying behaviour of nanofluid sessile droplets on self-affine vis-à-vis corrugated nanorough surfaces. Eur. Phys. J. E 2023, 46, 113. [Google Scholar] [CrossRef]
- Wang, Z.; Wang, P.; Song, H.; Chen, Z. Dynamic wetting behavior of nanofluid droplet on a vertically vibrating surface: A molecular dynamics study. J. Mol. Liq. 2022, 347, 118360. [Google Scholar] [CrossRef]
- Khan, A.; Zhang, S.-T.; Li, Q.-P.; Zhang, H.; Wang, Y.-Q.; Niu, X.-D. Wetting dynamics of a sessile ferrofluid droplet on solid substrates with different wettabilities. Phys. Fluids 2021, 33, 042115. [Google Scholar] [CrossRef]
- Huminic, G.; Huminic, A.; Dumitrache, F.; Fleaca, C.; Morjan, I. Experimental study on contact angle of water based Si–C nanofluid. J. Mol. Liq. 2021, 332, 115833. [Google Scholar] [CrossRef]
- Crivoi, A.; Duan, F. Evaporation-Induced Branched Structures from Sessile Nanofluid Droplets. J. Phys. Chem. C 2013, 117, 7835–7843. [Google Scholar] [CrossRef]
- Ren, J.; Crivoi, A.; Duan, F. Dendritic nanoparticle self-assembly from drying a sessile nanofluid droplet. Phys. Chem. Chem. Phys. 2021, 23, 15774–15783. [Google Scholar] [CrossRef]
- Ren, J.; Crivoi, A.; Duan, F. Disk-Ring Deposition in Drying a Sessile Nanofluid Droplet with Enhanced Marangoni Effect and Particle Surface Adsorption. Langmuir 2020, 36, 15064–15074. [Google Scholar] [CrossRef]
- Chen, P.; Harmand, S.; Szunerits, S.; Boukherroub, R. Evaporation behavior of PEGylated graphene oxide nanofluid droplets on heated substrate. Int. J. Therm. Sci. 2019, 135, 445–458. [Google Scholar] [CrossRef]
- Berthier, J. The Physics of Droplets. In Micro-Drops and Digital Microfluidics, 2nd ed.; Berthier, J., Ed.; William Andrew Publishing: Norwich, NY, USA, 2013; Chapter 3; pp. 75–160. [Google Scholar]
- Lappa, M. Fundamental concepts, mathematical models and scaling analysis for the microgravity environment. In Fluids, Materials and Microgravity; Lappa, M., Ed.; Elsevier: Oxford, UK, 2004; Chapter 2; pp. 39–117. [Google Scholar]
- Shi, W.-Y.; Tang, K.-Y.; Ma, J.-N.; Jia, Y.-W.; Li, H.-M.; Feng, L. Marangoni convection instability in a sessile droplet with low volatility on heated substrate. Int. J. Therm. Sci. 2017, 117, 274–286. [Google Scholar] [CrossRef]
- Zang, D.; Tarafdar, S.; Tarasevich, Y.Y.; Choudhury, M.D.; Dutta, T. Evaporation of a Droplet: From physics to applications. Phys. Rep. 2019, 804, 1–56. [Google Scholar] [CrossRef]
- Sefiane, K.; Moffat, J.R.; Matar, O.K.; Craster, R.V. Self-excited hydrothermal waves in evaporating sessile drops. Appl. Phys. Lett. 2008, 93, 074103. [Google Scholar] [CrossRef]
- Sefiane, K.; Steinchen, A.; Moffat, R. On hydrothermal waves observed during evaporation of sessile droplets. Colid. Surf. A 2010, 365, 95–108. [Google Scholar] [CrossRef]
- Brutin, D.; Carle, F.; Sobac, B. Hydrothermal waves on ethanol droplets evaporating under terrestrial and reduced gravity levels. J. Fluid Mech. 2012, 712, 614–623. [Google Scholar]
- Wang, T.-S.; Shi, W.-Y. Transition of Marangoni convection instability patterns during evaporation of sessile droplet at constant contact line mode. Int. J. Heat Mass Transf. 2020, 148, 119138. [Google Scholar] [CrossRef]
- Wang, T.-S.; Shi, W.-Y. Influence of substrate temperature on Marangoni convection instabilities in a sessile droplet evaporating at constant contact line mode. Int. J. Heat Mass Transf. 2019, 131, 1270–1278. [Google Scholar] [CrossRef]
- Zhu, J.-L.; Shi, W.-Y.; Feng, L. Bénard-Marangoni instability in sessile droplet evaporating at constant contact angle mode on heated substrate. Int. J. Heat Mass Transf. 2019, 134, 784–795. [Google Scholar] [CrossRef]
- Zhong, X.; Duan, F. Stable Hydrothermal Waves at Steady State Evaporating Droplet Surface. Sci. Rep. 2017, 7, 16219. [Google Scholar] [CrossRef]
- Zhang, Y.; Li, Y.-R.; Yu, J.-J.; Liu, Q.-S. Three-Dimensional Numerical Simulation on Marangoni Convection in a Sessile Water Droplet Evaporating in its Vapor at Low Pressure. Microgravity Sci. Technol. 2019, 31, 231–240. [Google Scholar] [CrossRef]
- Tao, Y.; Liu, Q. Conditions of enhanced evaporation for nanofluids droplet and inhibition of coffee-ring effect under buoyancy and Marangoni convection. Surf. Interfaces 2023, 42, 103320. [Google Scholar] [CrossRef]
- Brutin, D.; Sobac, B.; Rigollet, F.; Le Niliot, C. Infrared visualization of thermal motion inside a sessile drop deposited onto a heated surface. Exp. Therm. Fluid Sci. 2011, 35, 521–530. [Google Scholar] [CrossRef]
- Sobac, B.; Brutin, D. Thermocapillary instabilities in an evaporating drop deposited onto a heated substrate. Phys. Fluids 2012, 24, 032103. [Google Scholar] [CrossRef]
- Zhong, X.; Crivoi, A.; Duan, F. Sessile nanofluid droplet drying. Adv. Colloid Interface Sci. 2015, 217, 13–30. [Google Scholar] [CrossRef]
- Ha, V.-M.; Lai, C.-L. Theoretical analysis of Marangoni instability of an evaporating droplet by energy method. Int. J. Heat Mass Transf. 2004, 47, 3811–3823. [Google Scholar] [CrossRef]
- Josyula, T.; Mahapatra, P.S.; Pattamatta, A. Internal flow in evaporating water drops: Dominance of Marangoni flow. Exp. Fluids 2022, 63, 49. [Google Scholar] [CrossRef]












Disclaimer/Publisher’s Note: The statements, opinions and data contained in all publications are solely those of the individual author(s) and contributor(s) and not of MDPI and/or the editor(s). MDPI and/or the editor(s) disclaim responsibility for any injury to people or property resulting from any ideas, methods, instructions or products referred to in the content. |
© 2025 by the authors. Licensee MDPI, Basel, Switzerland. This article is an open access article distributed under the terms and conditions of the Creative Commons Attribution (CC BY) license (https://creativecommons.org/licenses/by/4.0/).
Share and Cite
Tao, Y.; Zhu, Z. Evaporation of Nanofluid Sessile Droplets Under Marangoni and Buoyancy Effects: Internal Convection and Instability. Nanomaterials 2025, 15, 306. https://doi.org/10.3390/nano15040306
Tao Y, Zhu Z. Evaporation of Nanofluid Sessile Droplets Under Marangoni and Buoyancy Effects: Internal Convection and Instability. Nanomaterials. 2025; 15(4):306. https://doi.org/10.3390/nano15040306
Chicago/Turabian StyleTao, Yuequn, and Zhiqiang Zhu. 2025. "Evaporation of Nanofluid Sessile Droplets Under Marangoni and Buoyancy Effects: Internal Convection and Instability" Nanomaterials 15, no. 4: 306. https://doi.org/10.3390/nano15040306
APA StyleTao, Y., & Zhu, Z. (2025). Evaporation of Nanofluid Sessile Droplets Under Marangoni and Buoyancy Effects: Internal Convection and Instability. Nanomaterials, 15(4), 306. https://doi.org/10.3390/nano15040306

