Efficient Purification of Auto-Exhaust Soot Particles Using Hexagonal Fe2O3 Nanosheets Decorated with Non-Noble Metals (Ni)
Abstract
1. Introduction
2. Materials and Methods
2.1. Synthesis of Fe2O3 and Ni-Fe2O3-X Oxide Systems
2.2. Materials Characterization
2.3. Catalytic Performance Evaluation
3. Results
3.1. XRD Analyses
3.2. Raman Spectra
3.3. TEM and EDS Mapping Images
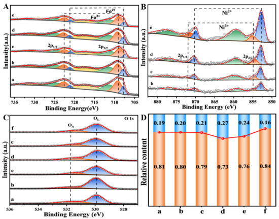
3.4. The Results of XPS Spectra
3.5. H2-TPR Profiles
3.6. Catalytic Performance

3.7. Surface Chemical State of Ni-Fe2O3-X Catalysts
4. Conclusions
Supplementary Materials
Author Contributions
Funding
Data Availability Statement
Conflicts of Interest
References
- Lu, C.; Xin, W.; Shu, D.; Jun, Z.; Juan, L.; Ya, Z.; Yi, L.; Li, X.; Hui, X.; Qing, Z.; et al. Eols from various on-road vehicles in China. Environ. Res. 2019, 179 Pt A, 108709. [Google Scholar] [CrossRef]
- Thurston, G.D.; Kipen, H.; Annesi-Maesano, I.; Balmes, J.; Brook, R.D.; Cromar, K.; Matteis, S.D.; Forastiere, F.; Forsberg, B.; Frampton, M.W.; et al. A joint ERS/ATS policy statement: What constitutes an adverse health effect of air pollution? An analytical framework. Eur. Respir. J. 2017, 49, 1600419. [Google Scholar] [CrossRef]
- Yeste, M.P.; Cauqui, M.Á.; Giménez-Mañogil, J.; Martínez-Munuera, J.C.; Muñoz, M.Á.; García-García, A. Catalytic activity of Cu and Co supported on ceria-yttria-zirconia oxides for the diesel soot combustion reaction in the presence of Nox. Chem. Eng. J. 2020, 380, 122370. [Google Scholar] [CrossRef]
- Andana, T.; Piumetti, M.; Bensaid, S.; Russo, N.; Fino, D.; Pirone, R. CO and Soot Oxidation over Ce-Zr-Pr Oxide Catalysts. Nanoscale Res. Lett. 2016, 11, 278. [Google Scholar] [CrossRef]
- Dai, W.; Li, Z.; Li, C.; Zhang, C.; Wang, F.; Liu, P.; Qiao, H. Revealing the effects of preparation methods over Ce-MnOx catalysts for soot combustion: Physicochemical properties and catalytic performance. J. Ind. Eng. Chem. 2023, 121, 15–26. [Google Scholar] [CrossRef]
- Gao, Y.; Teng, S.; Wang, Z.; Wang, B.; Liu, W.; Liu, W.; Wang, L. Enhanced catalytic performance of cobalt and iron co-doped ceria catalysts for soot combustion. J. Mater. Sci. 2019, 55, 283–297. [Google Scholar] [CrossRef]
- Li, Z.; Dai, S.; Ma, L.; Qu, Z.; Yan, N.; Li, J. Synergistic interaction and mechanistic evaluation of NO oxidation catalysis on Pt/Fe2O3 cubes. Chem. Eng. J. 2021, 413, 127447. [Google Scholar] [CrossRef]
- Gong, Z.; Wu, W.; Zhao, Z.; Li, B. Combination of catalytic combustion and catalytic denitration on semi-coke with Fe2O3 and CeO2. Catal. Today 2018, 318, 59–65. [Google Scholar] [CrossRef]
- Solymosi, F.; Kiss, J. Adsorption and reduction of NO on tin (IV) oxide doped with chromium (III) oxide. J. Catal. 1978, 54, 42–51. [Google Scholar] [CrossRef]
- Feng, X.; Liu, R.; Xu, X.; Tong, Y.; Zhang, S.; He, J.; Xu, J.; Fang, X.; Wang, X. Stable CuO/La2Sn2O7 catalysts for soot combustion: Study on the monolayer dispersion behavior of CuO over a La2Sn2O7 pyrochlore support. Chin. J. Catal. 2021, 42, 396–408. [Google Scholar] [CrossRef]
- Hu, H.; Zhang, Q.; Wang, C.; Chen, M.; Chen, M. Mechanochemically synthesized Fe-Mn binary oxides for efficient as (III) removal: Insight into the origin of synergy action from mutual Fe and Mn doping. J. Hazard. Mater. 2022, 424 Pt D, 127708. [Google Scholar] [CrossRef]
- Piumetti, M.; Linden, B.; Makkee, M.; Miceli, P.; Fino, D.; Russo, N.; Bensaid, S. Contact dynamics for a solid–solid reaction mediated by gas-phase oxygen: Study on the soot oxidation over ceria-based catalysts. Appl. Catal. B Environ. 2016, 199, 96–107. [Google Scholar] [CrossRef]
- Yu, D.; Peng, C.; Yu, X.; Wang, L.; Li, K.; Zhan, Z.; Li, Z. Facile preparation of amorphous CenMnOx catalysts and their good catalytic performance for soot combustion. Fuel 2022, 307, 121803. [Google Scholar] [CrossRef]
- Dinh, K.T.; Sullivan, M.M.; Serna, P.; Meyer, R.J.; Dincă, M.; Román-Leshkov, Y. Viewpoint on the Partial Oxidation of Methane to Methanol Using Cu- and Fe-Exchanged Zeolites. ACS Catal. 2018, 8, 8306–8313. [Google Scholar] [CrossRef]
- Ren, Y.; Wang, J.; Huang, X.; Ding, J. Enhanced lithium-ion storage performance by structural phase transition from two-dimensional rhombohedral Fe2O3 to cubic Fe3O4. Electrochim. Acta 2016, 198, 22–31. [Google Scholar] [CrossRef]
- Smith, F.N.; Um, W.; Taylor, C.D.; Kim, D.; Schweiger, M.J.; Kruger, A.A. Computational Investigation of Technetium (IV) Incorporation into Inverse Spinels: Magnetite (Fe3O4) and Trevorite (NiFe2O4). Environ. Sci. Technol. 2016, 50, 5216–5224. [Google Scholar] [CrossRef]
- Liu, F.; Liu, J.; Li, Y.; Fang, R. Studies on the synergistically improved reactivity of spinel NiFe2O4 oxygen carrier for chemical-looping combustion. Energy 2022, 239, 122100. [Google Scholar] [CrossRef]
- Rzadki, T.; Legutko, P.; Adamski, A.; Kotarba, A.; Trawczyński, J. Structure-Sensitive Behavior of Supported Vanadia-Based Catalysts for Combustion of Soot. Catalysts 2023, 13, 1406. [Google Scholar] [CrossRef]
- Antonakos, A.; Liarokapis, E.; Kyriacou, A.; Leventouri, T. Raman and IR studies of the effect of Fe substitution in hydroxyapatites and deuterated hydroxyapatite. Am. Mineral. 2017, 102, 85–91. [Google Scholar] [CrossRef]
- Tang, F.; Liu, T.; Jiang, W.; Gan, L. Windowless thin layer electrochemical Raman spectroscopy of Ni-Fe oxide electrocatalysts during oxygen evolution reaction. J. Electroanal. Chem. 2020, 871, 122100. [Google Scholar] [CrossRef]
- Wang, M.; Zhang, Y.; Yu, Y.; Shan, W.; He, H. Surface oxygen species essential for the catalytic activity of Ce–M–Sn (M = Mn or Fe) in soot oxidation. Catal. Sci. Technol. 2021, 11, 895–903. [Google Scholar] [CrossRef]
- Mantilla, J.; Félix, L.L.; Martinez, M.A.R.; Souza, P.; Rodrigues, P.A.M.; Figueiredo, L.C.; Silva, S.W.; Coaquira, J.A.H.; Aragón, F.F.H.; Morais, P.C. Evidence of surface spin-glass behavior in NiFe2O4 nanoparticles determined using magnetic resonance technique. J. Magn. Magn. Mater. 2019, 476, 392–397. [Google Scholar] [CrossRef]
- Shi, P.; Cheng, X.; Lyu, S. Efficient electrocatalytic oxygen evolution at ultra-high current densities over 3D Fe, N doped Ni(OH)2 nanosheets. Chin. Chem. Lett. 2021, 32, 1210–1214. [Google Scholar] [CrossRef]
- Yu, Q.; Xiong, J.; Li, Z.; Mei, X.; Zhang, P.; Zhang, Y.; Wei, Y.; Zhao, Z.; Liu, J. Optimal exposed crystal facets of α-Mn2O3 catalysts with enhancing catalytic performance for soot combustion. Catal. Today 2021, 376, 229–238. [Google Scholar] [CrossRef]
- Yu, R.; Jiang, C.; Chu, W.; Ran, M.; Sun, W. Decoration of CNTs’ surface by Fe3O4 nanoparticles: Influence of ultrasonication time on the magnetic and structural properties. Chin. Chem. Lett. 2017, 28, 302–306. [Google Scholar] [CrossRef]
- Qu, J.; Che, T.; Shi, L.; Lu, Q.; Qi, S. A novel magnetic silica supported spinel ferrites NiFe2O4 catalyst for heterogeneous Fenton-like oxidation of rhodamine B. Chin. Chem. Lett. 2019, 30, 1198–1203. [Google Scholar] [CrossRef]
- Pan, L.; Shi, W.; Sen, T.; Wang, L.; Zhang, J. Visible Light-Driven Selective Organic Degradation by FeTiO3/Persulfate System: The Formation and Effect of High Valent Fe (IV). Appl. Catal. B Environ. 2021, 280, 119414. [Google Scholar] [CrossRef]
- Ma, M.; Kumar, A.; Wang, D.; Wang, Y.; Jia, Y.; Zhang, Y.; Zhang, G.; Yan, Z.; Sun, X. Boosting the bifunctional oxygen electrocatalytic performance of atomically dispersed Fe site via atomic Ni neighboring. Appl. Catal. B Environ. 2020, 274, 119091. [Google Scholar] [CrossRef]
- Velu, S.; Suzuki, K.; Vijayaraj, M.; Barman, S.; Gopinath, C.S. In situ XPS investigations of Cu1−xNixZnAl-mixed metal oxide catalysts used in the oxidative steam reforming of bio-ethanol. Appl. Catal. B Environ. 2005, 55, 287–299. [Google Scholar] [CrossRef]
- Dai, Y.; Niu, L.; Zou, J.; Chen, T.; Liu, H.; Zhou, Y. Preparation of core-shell magnetic Fe3O4@SiO2-dithiocarbamate nanoparticle and its application for the Ni2+, Cu2+ removal. Chin. Chem. Lett. 2019, 29, 887–891. [Google Scholar] [CrossRef]
- Chen, K.; Xu, L.; Li, Y.; Xiong, J.; Han, D.; Ma, Y.; Zhang, P.; Guo, H.; Wei, Y. Cerium Doping Effect in 3DOM Perovskite-Type La2−xCexCoNiO6 Catalysts for Boosting Soot Oxidation. Catalysts 2023, 14, 18. [Google Scholar] [CrossRef]
- An, Q.; Mcdonald, M.; Fortunelli, A.; Goddard, W.A., III. Si-doped Fe catalyst for ammonia synthesis at dramatically decreased pressures and temperatures. J. Am. Chem. Soc. 2020, 142, 8223–8232. [Google Scholar] [CrossRef] [PubMed]
- Niu, R.; Zhang, C.; Li, C.; Liu, P. Boosting the removal of diesel soot particles by regulating the Pr-O strength over transition metal doped Pr6O11 catalysts. J. Hazard. Mater. 2024, 476, 135010. [Google Scholar] [CrossRef]
- Peng, Z.; Xiong, J.; Yu, Q.; Li, Y.; Wei, Y.; Zhao, Z.; Liu, J. Efficient purification of auto-exhaust carbon particles over non-noble metals (Fe, Co, Cu) decorated hexagonal NiO nanosheets. Fuel 2022, 330, 125662. [Google Scholar]







| Sample | Fe (NO3)3·9H2O (mmol) | Ni (NO3)2·6H2O (mmol) |
|---|---|---|
| Fe2O3 | 5.0 | 0 |
| Ni-Fe2O3-1 | 4.95 | 0.05 |
| Ni-Fe2O3-5 | 4.75 | 0.25 |
| Ni-Fe2O3-10 | 4.5 | 0.5 |
| Ni-Fe2O3-20 | 4.0 | 1.0 |
| Ni-Fe2O3-30 | 3.5 | 1.5 |
| T10(oC) | T50(oC) | T90(oC) | Sco2m (%) | R (μmol g−1 min−1) | O* Amount (μmol g−1) | TOF (min−1) | H2 Consumption (μmol g−1) | Ea (kJ mol−1) | |
|---|---|---|---|---|---|---|---|---|---|
| Soot | 461 | 584 | 648 | 65.2 | - | - | - | - | - |
| Fe2O3 | 390 | 494 | 526 | 84.1 | 4.4 | 79.6 | 0.055 | 959.7 | 116.4 |
| Ni-Fe2O3-1 | 351 | 414 | 450 | 98.4 | 12.1 | 89.4 | 0.135 | 1118.6 | 95.6 |
| Ni-Fe2O3-5 | 338 | 398 | 427 | 96.0 | 17.3 | 121.4 | 0.142 | 979.3 | 94.7 |
| Ni-Fe2O3-10 | 324 | 398 | 434 | 99.4 | 18.7 | 126.6 | 0.147 | 1417.0 | 94.5 |
| Ni-Fe2O3-20 | 310 | 366 | 402 | 99.1 | 21.0 | 134.0 | 0.156 | 1144.9 | 72.7 |
| Ni-Fe2O3-30 | 312 | 386 | 429 | 99.7 | 17.9 | 136.2 | 0.143 | 1692.7 | 88.9 |
| Pt2/Fe2O3 | 297 | 365 | 418 | 98.8 | 22.5 | 136.8 | 0.164 | 2233.7 | 69.7 |
Disclaimer/Publisher’s Note: The statements, opinions and data contained in all publications are solely those of the individual author(s) and contributor(s) and not of MDPI and/or the editor(s). MDPI and/or the editor(s) disclaim responsibility for any injury to people or property resulting from any ideas, methods, instructions or products referred to in the content. |
© 2025 by the authors. Licensee MDPI, Basel, Switzerland. This article is an open access article distributed under the terms and conditions of the Creative Commons Attribution (CC BY) license (https://creativecommons.org/licenses/by/4.0/).
Share and Cite
Guo, H.; Xiong, J.; Zhang, P.; Liu, J.; Zhao, Z.; Wei, Y. Efficient Purification of Auto-Exhaust Soot Particles Using Hexagonal Fe2O3 Nanosheets Decorated with Non-Noble Metals (Ni). Nanomaterials 2025, 15, 233. https://doi.org/10.3390/nano15030233
Guo H, Xiong J, Zhang P, Liu J, Zhao Z, Wei Y. Efficient Purification of Auto-Exhaust Soot Particles Using Hexagonal Fe2O3 Nanosheets Decorated with Non-Noble Metals (Ni). Nanomaterials. 2025; 15(3):233. https://doi.org/10.3390/nano15030233
Chicago/Turabian StyleGuo, Haoqi, Jing Xiong, Peng Zhang, Jian Liu, Zhen Zhao, and Yuechang Wei. 2025. "Efficient Purification of Auto-Exhaust Soot Particles Using Hexagonal Fe2O3 Nanosheets Decorated with Non-Noble Metals (Ni)" Nanomaterials 15, no. 3: 233. https://doi.org/10.3390/nano15030233
APA StyleGuo, H., Xiong, J., Zhang, P., Liu, J., Zhao, Z., & Wei, Y. (2025). Efficient Purification of Auto-Exhaust Soot Particles Using Hexagonal Fe2O3 Nanosheets Decorated with Non-Noble Metals (Ni). Nanomaterials, 15(3), 233. https://doi.org/10.3390/nano15030233

