Fabrication and Electrical Characterization of MgZnO/ZTO Thin-Film Transistors
Abstract
1. Introduction
2. Experiment Section
3. Effect of Sputtering Ar:O2 Ratio in the Bottom Channel Layer on Device Performance
3.1. Surface Morphology Analysis of Double-Active-Layer Thin Films
3.2. XPS Analysis of ZTO Thin Films
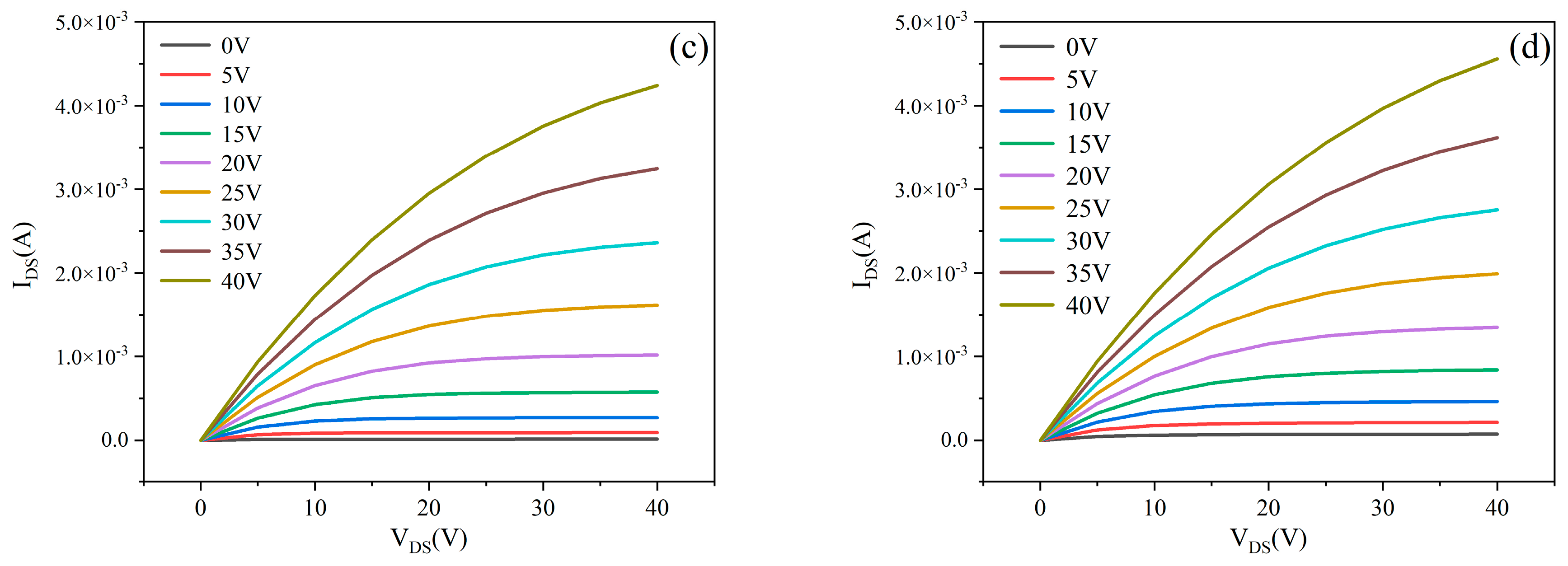
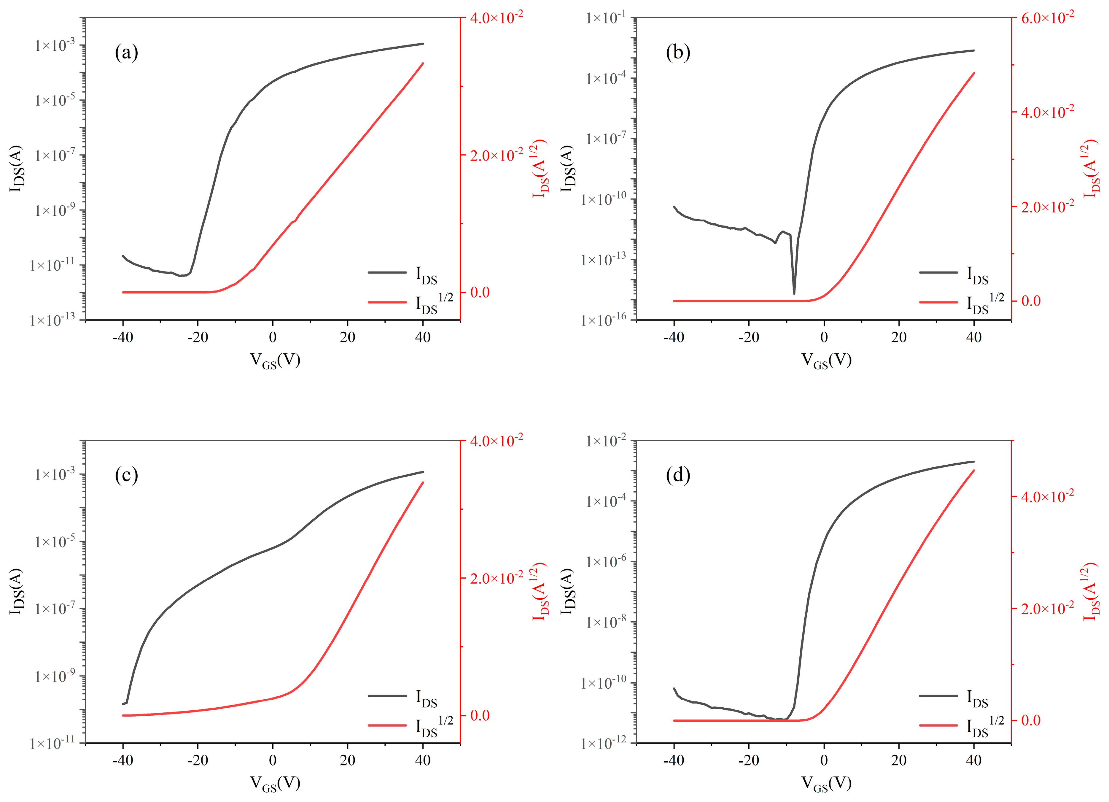
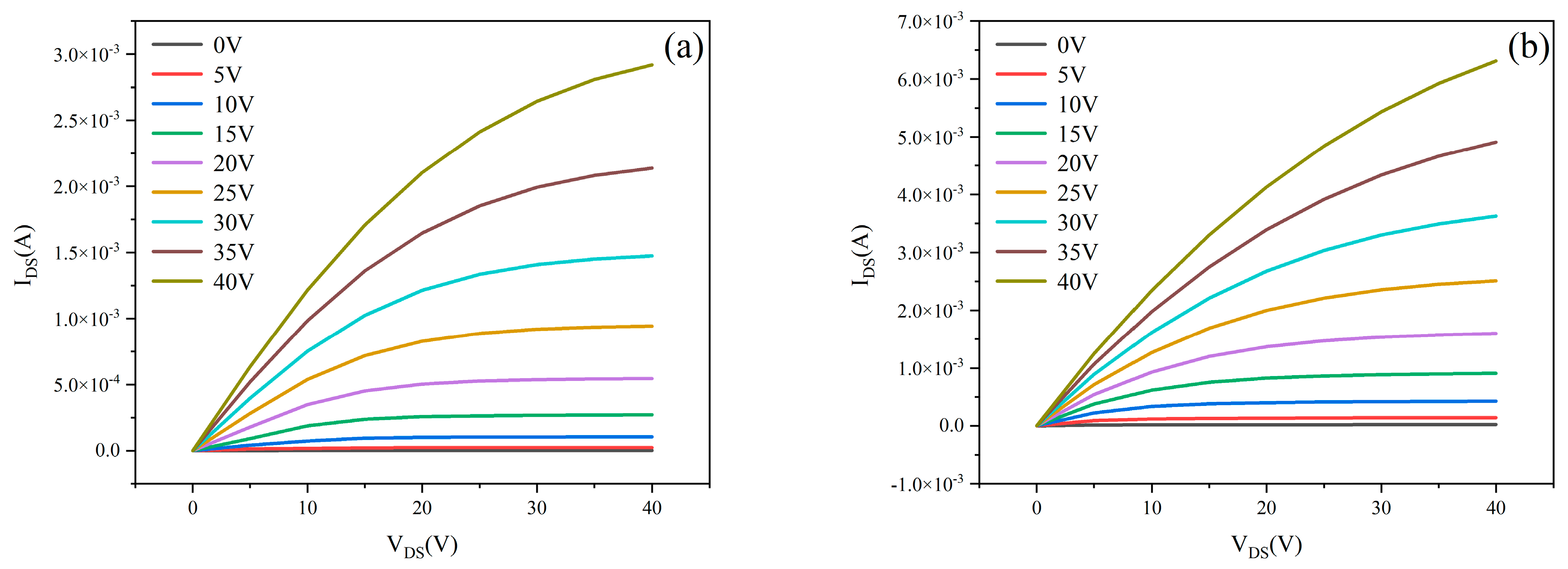
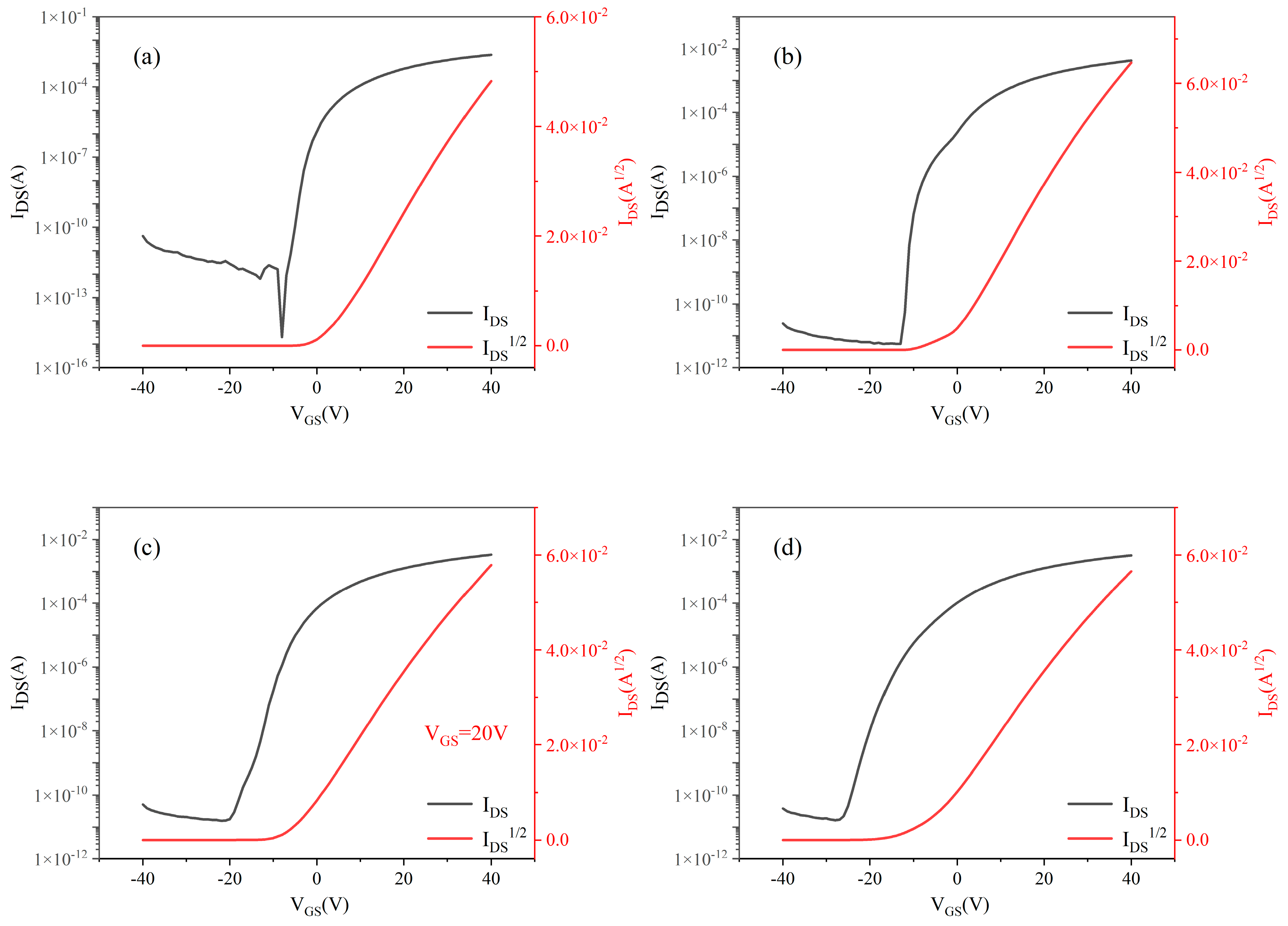
3.3. Analysis of Electrical Properties
4. The Effect of ZTO Thin Film Thickness on the Electrical Properties of MgZnO/ZTO-TFT
4.1. Surface Morphology Analysis of Double-Active-Layer Thin Films
4.2. Analysis of Electrical Properties
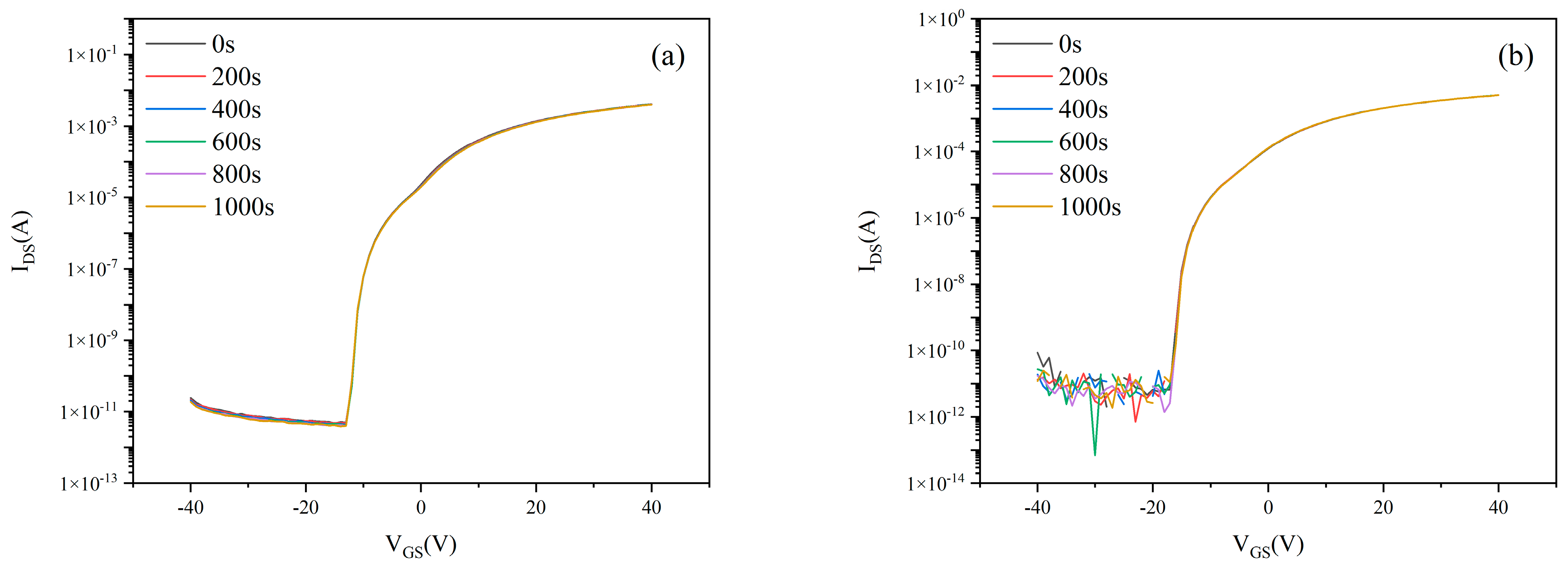
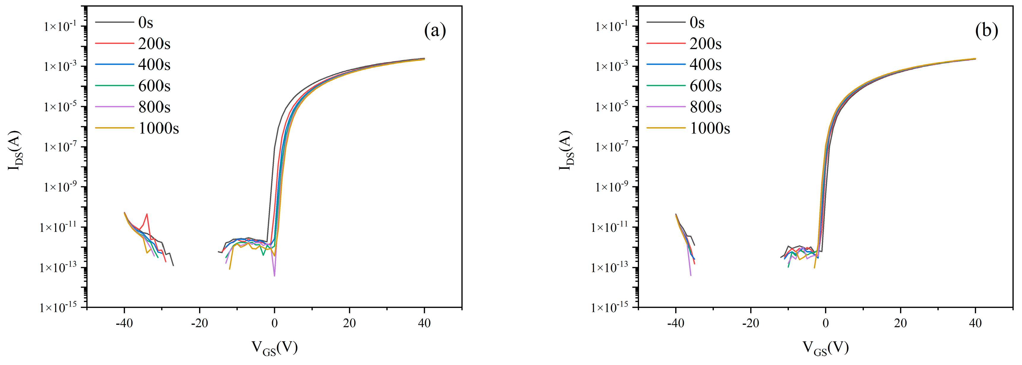
5. Stability Study of MgZnO/ZTO-TFTs
6. Conclusions
Author Contributions
Funding
Data Availability Statement
Conflicts of Interest
References
- Ahmad, I.; Bousbih, R.; Mahal, A.; Khan, W.Q.; Aljohani, M.; Amin, M.A.; Jafar, N.N.; Jabir, M.S.; Majdi, H.; Alshomrany, A.S.; et al. Recent progress in ZnO-based heterostructured photocatalysts: A review. Mater. Sci. Semicond. Process. 2024, 180, 108578. [Google Scholar] [CrossRef]
- Ajayan, J.; Sreejith, S.; Kumari, N.A.; Manikandan, M.; Sen, S.; Kumar, M. Amorphous indium gallium zinc oxide thin film transistors (a-IGZO-TFTs): Exciting prospects and fabrication challenges. Microelectron. Eng. 2025, 298, 112327. [Google Scholar] [CrossRef]
- Gui, Z.; Zou, K.; Xu, M.; Chen, L.; Peng, C.; Li, X.; Zhang, J. High Mobility and Excellent Stability of Solution-Processed Heterojunction-Channel IGO/AIGO TFT. ACS Appl. Electron. Mater. 2025, 7, 3372–3381. [Google Scholar] [CrossRef]
- Choi, J.; Choi, J.; Kim, T.K.; Lee, Y.; Kang, S.; Mun, S.A.; Ham, J.; Kim, H.; Hwang, C.S. Enhanced Performance and Gate Bias Stress Stability of Atomic-Layer-Deposited Amorphous Zn–Sn–O Thin-Film Transistors with HfO2 and Al-Doped TiO2 Interlayers on SiO2 Gate Oxide. ACS Appl. Electron. Mater. 2025, 7, 215–224. [Google Scholar] [CrossRef]
- Ohtomo, A.; Kawasaki, M.; Koida, T.; Masubuchi, K.; Koinuma, H.; Sakurai, Y.; Yoshida, Y.; Yasuda, T.; Segawa, Y. MgxZn1−xO as a II–VI widegap semiconductor alloy. Appl. Phys. Lett. 1998, 72, 2466–2468. [Google Scholar] [CrossRef]
- Pan, Z.; Hu, Y.; Chen, J.; Wang, F.; Jeong, Y.; Pham, D.P.; Yi, J. Approaches to improve mobility and stability of IGZO TFTs: A brief review. Trans. Electr. Electron. Mater. 2024, 25, 371–379. [Google Scholar] [CrossRef]
- Hara, Y.; Kikuchi, T.; Kitagawa, H.; Morinaga, J.; Ohgami, H.; Imai, H.; Daitoh, T.; Matsuo, T. IGZO-TFT technology for large-screen 8K display. J. Soc. Inf. Disp. 2018, 26, 169–177. [Google Scholar] [CrossRef]
- Lee, J.H.; Kim, C.H.; Kim, H.S.; Jang, N.W.; Yun, Y.; Do, L.M.; Baek, K.H. Effects of Mg incorporation by co-sputtering into the ZnO channel layer of thin-film transistors. J. Korean Phys. Soc. 2013, 62, 937–941. [Google Scholar] [CrossRef]
- Heo, Y.W.; Kwon, Y.W.; Li, Y.; Pearton, S.J.; Norton, D.P. p-type behavior in phosphorus-doped (Zn, Mg) O device structures. Appl. Phys. Lett. 2004, 84, 3474–3476. [Google Scholar] [CrossRef]
- Wang, C.; Hao, Y.; Guo, L.; Fan, Y. Effect of atmosphere dependent annealing on the preparation and properties of MgZnO thin-film transistors. Chin. J. Liq. Cryst. Disp. 2024, 39, 1295–1303. [Google Scholar]
- Matsubara, K.; Tampo, H.; Shibata, H.; Yamada, A.; Fons, P.; Iwata, K.; Niki, S. Band-gap modified Al-doped Zn1−xMgxO transparent conducting films deposited by pulsed laser deposition. Appl. Phys. Lett. 2004, 85, 1374–1376. [Google Scholar] [CrossRef]
- Tsai, Y.S.; Chen, J.Z. Positive Gate-Bias Temperature Stability of RF-Sputtered Mg0.05ZnO0.95 Active-Layer Thin-Film Transistors. IEEE Trans. Electron Devices 2011, 59, 151–158. [Google Scholar] [CrossRef]
- Ku, C.J.; Duan, Z.; Reyes, P.I.; Lu, Y.; Xu, Y.; Hsueh, C.L.; Garfunkel, E. Effects of Mg on the electrical characteristics and thermal stability of MgxZn1− xO thin film transistors. Appl. Phys. Lett. 2011, 98, 123511. [Google Scholar] [CrossRef]
- Lee, J.H.; Jang, N.W.; Yun, Y.; Kim, C.Y.; Lee, J.H.; Kim, J.G.; Kim, H.S. A study of electrical enhancement of polycrystalline MgZnO/ZnO bi-layer thin film transistors dependence on the thickness of ZnO layer. Curr. Appl. Phys. 2015, 15, 1010–1014. [Google Scholar] [CrossRef]
- Yue, D.; Guo, S.; Han, S.; Cao, P.; Zeng, Y.; Xu, W.; Fang, M.; Liu, W.; Zhu, D.; Lu, Y.; et al. Facile fabrication of MgZnO/ZnO composites for high performance thin film transistor. J. Alloys Compd. 2021, 873, 159840. [Google Scholar] [CrossRef]
- Wang, C.; Guo, L.; Lei, M.; Wang, C.; Chu, X.; Yang, F.; Gao, X.; Wamg, H.; Chi, Y.; Yang, X. Effect of annealing temperature on electrical properties of ZTO thin-film transistors. Nanomaterials 2022, 12, 2397. [Google Scholar] [CrossRef]
- Dai, S.; Wang, T.; Li, R.; Wang, Q.; Ma, Y.; Tian, L.; Su, J.; Wang, Y.; Zhou, D.; Zhang, X.; et al. Preparation and electrical properties of N-doped ZnSnO thin film transistors. J. Alloys Compd. 2018, 745, 256–261. [Google Scholar] [CrossRef]
- Pang, C.; Yan, B.; Liao, L.; Liu, B.; Zheng, Z.; Wu, T.; Sun, H.; Yu, T. Synthesis, characterization and opto-electrical properties of ternaryZn2SnO4 nanowires. Nanotechnology 2010, 21, 465706. [Google Scholar] [CrossRef]
- Kamarulzaman, N.; Kasim, M.F.; Rusdi, R. Band gap narrowing and widening of ZnO nanostructures and doped materials. Nanoscale Res. Lett. 2015, 10, 346. [Google Scholar] [CrossRef] [PubMed]
- Salman, K.M.; Zikriya, M.; Renuka, C.G. Wide band gap tuning of Mg doped ZnO thin films for optoelectronic applications. In IOP Conference Series: Materials Science and Engineering; IOP Publishing: Bristol, UK, 2024; Volume 1300, p. 012026. [Google Scholar]
- Smith, A.M.; Nie, S. Semiconductor nanocrystals: Structure, properties, and band gap engineering. Acc. Chem. Res. 2010, 43, 190–200. [Google Scholar] [CrossRef]
- Zhang, S.; Zhang, L.; Xiao, X.; Zhang, S. Influence of O2 on Al-Zn-Sn-O TFTs in the active layer deposition and annealing process. In Proceedings of the 2014 IEEE International Conference on Electron Devices and Solid-State Circuits, Chengdu, China, 18–20 June 2014; IEEE: Piscataway, NJ, USA, 2014; pp. 1–2. [Google Scholar]
- Hong, R.; Qi, H.; Huang, J.; He, H.; Fan, Z.; Shao, J. Influence of oxygen partial pressure on the structure and photoluminescence of direct current reactive magnetron sputtering ZnO thin films. Thin Solid Film 2005, 473, 58–62. [Google Scholar] [CrossRef]
- Li, J.Y.; Chang, S.P.; Chang, S.J.; Lin, H.H.; Hsu, M.H. The effect of the thickness and oxygen ratio control of radio-frequency magnetron sputtering on MgZnO thin-film transistors. J. Nanosci. Nanotechnol. 2017, 17, 2037–2040. [Google Scholar] [CrossRef]
- Kim, Y.G.; Yoon, S.; Hong, S.; Choi, J.S.; Kim, H.J. Enhancement in positive bias stress stability of In-Ga-Zn-O thin-film transistors with vertically graded-oxygen-vacancy active layer. Dig. Tech. Pap.-SID Int. Symp. 2015, 46, 1209–1212. [Google Scholar] [CrossRef]
- Lim, Y.; Hwang, N.; Yi, M. Effect of double-stacked active layer on stability of Si-IZO thin-film transistor. Microelectron. Eng. 2017, 178, 221–224. [Google Scholar] [CrossRef]
- Li, X.; Yin, S.; Xu, D. Simulation study on the active layer thickness and the interface of a-IGZO-TFT with double active layers. Front. Optoelectron. 2015, 8, 445–450. [Google Scholar] [CrossRef]
- Guo, L.; Wang, S.; Chu, X.; Wang, C.; Chi, Y.; Yang, X. Improving TFT Device Performance by Changing the Thickness of the LZTO/ZTO Dual Active Layer. Micromachines 2024, 15, 1235. [Google Scholar] [CrossRef]
- Krausmann, J.; Sanctis, S.; Engstler, J.; Luysberg, M.; Bruns, M.; Schneider, J.J. Charge transport in low-temperature processed thin-film transistors based on indium oxide/zinc oxide heterostructures. ACS Appl. Mater. Interfaces 2018, 10, 20661–20671. [Google Scholar] [CrossRef]
- Yadav, H.; Sinha, N.; Goel, S.; Kumar, B. Eu-doped ZnO nanoparticles for dielectric, ferroelectric and piezoelectric applications. J. Alloys Compd. 2016, 689, 333–341. [Google Scholar] [CrossRef]
- Son, K.S.; Kim, H.S.; Maeng, W.J.; Jung, J.S.; Lee, K.H.; Kim, T.S.; Park, J.S.; Kwon, J.Y.; Koo, B.; Lee, S.Y. The effect of dynamic bias stress on the photon-enhanced threshold voltage instability of amorphous HfInZnO thin-film transistors. IEEE Electron Device Lett. 2011, 32, 164–166. [Google Scholar] [CrossRef]
- Chu, X.; Hu, X.; Zhang, Q.; Huang, L.; Xie, Y. Performances and preparation of zinc-tin oxide thin-film transistors. Chin. J. Liq. Cryst. Disp. 2024, 39, 40–47. [Google Scholar] [CrossRef]
- Wang, Z.; Yue, X.; Xiang, Q. MOFs-based S-scheme heterojunction photocatalysts. Coord. Chem. Rev. 2024, 504, 215674. [Google Scholar] [CrossRef]
- Park, J.C.; Kim, S.; Kim, S.; Kim, C.; Song, I.; Park, Y.; Jung, U.I.; Kim, D.H.; Lee, J.S. Highly stable transparent amorphous oxide semiconductor thin-film transistors having double-stacked active layers. Adv. Mater. 2010, 22, 5512–5516. [Google Scholar] [CrossRef] [PubMed]
- Bowen, W.E. Thin Film Electronics Based on ZnO and ZnO/MgZnO Heterojunctions. Ph.D. Dissertation, University of Michigan Library, Ann Arbor, MI, USA, 2010. [Google Scholar]













| μsat (cm2 V−1 s−1) | VTH (V) | SS (V/dec) | Ion/Ioff | |
|---|---|---|---|---|
| MgZnO-TFTs [10] | 0.3 | 2.28 | 3.60 | 1.68 × 106 |
| MgZnO/ZnO-TFTs [14] | 7.56 | 3.1 | 0.86 | 105 |
| MgZnO/ZnO-TFTs [15] | 21.1 | -- | -- | 1.5 × 108 |
| Sputtering Ar/O2 Ratio | Oi | Oii | Oiii |
|---|---|---|---|
| 95%:5% | 74.57% | 22.42% | 2.83% |
| 90%:10% | 69.08% | 26.03% | 4.89% |
| 85%:15% | 65.25% | 31.38% | 3.37% |
| 80%:20% | 58.89% | 36.61% | 4.51% |
| Sputtering Ar/O2 Ratio | μsat (cm2·V−1·s−1) | VTH (V) | SS (V/dec) | Ion | Ioff | Ion/Ioff |
|---|---|---|---|---|---|---|
| 95%:5% | 3.26 | −7.60 | 1.74 | 1.11 × 10−3 | 4.07 × 10−12 | 2.73 × 108 |
| 90%:10% | 10.46 | 2.44 | 0.018 | 2.33 × 10−3 | 8.66 × 10−13 | 2.69 × 109 |
| 85%:15% | 5.53 | 5.34 | 2.59 | 1.15 × 10−3 | 1.45 × 10−10 | 7.92 × 106 |
| 80%:20% | 8.156 | −0.08 | 0.98 | 1.99 × 10−3 | 5.89 × 10−12 | 3.38 × 108 |
| ZTO Film Thickness | μsat (cm2·V−1·s−1) | VTH (V) | SS (V/dec) | Ion | Ioff | Ion/Ioff |
|---|---|---|---|---|---|---|
| 45 nm | 10.46 | 2.44 | 0.02 | 2.33 × 10−3 | 8.66 × 10−13 | 2.69 × 109 |
| 52 nm | 16.80 | −1.60 | 0.74 | 4.18 × 10−3 | 5.48 × 10−12 | 7.63 × 108 |
| 60 nm | 10.95 | −5.47 | 1.72 | 3.35 × 10−3 | 1.58 × 10−11 | 2.12 × 108 |
| 67 nm | 9.66 | −7.2 | 1.99 | 3.2 × 10−3 | 1.65 × 10−11 | 1.94 × 108 |
| ΔVTH | ZTO-TFTs | MgZnO/ZTO-TFTs |
|---|---|---|
| 10 V | +4.38 V | +0.58 V |
| −10 V | −3.32 V | −0.15 V |
Disclaimer/Publisher’s Note: The statements, opinions and data contained in all publications are solely those of the individual author(s) and contributor(s) and not of MDPI and/or the editor(s). MDPI and/or the editor(s) disclaim responsibility for any injury to people or property resulting from any ideas, methods, instructions or products referred to in the content. |
© 2025 by the authors. Licensee MDPI, Basel, Switzerland. This article is an open access article distributed under the terms and conditions of the Creative Commons Attribution (CC BY) license (https://creativecommons.org/licenses/by/4.0/).
Share and Cite
Hao, Y.; Wang, C.; Guo, L.; Sun, Y.; Jin, M.; Xu, L.; Huang, Y.; Zong, Y.; Xu, X.; Zeng, J. Fabrication and Electrical Characterization of MgZnO/ZTO Thin-Film Transistors. Nanomaterials 2025, 15, 1809. https://doi.org/10.3390/nano15231809
Hao Y, Wang C, Guo L, Sun Y, Jin M, Xu L, Huang Y, Zong Y, Xu X, Zeng J. Fabrication and Electrical Characterization of MgZnO/ZTO Thin-Film Transistors. Nanomaterials. 2025; 15(23):1809. https://doi.org/10.3390/nano15231809
Chicago/Turabian StyleHao, Yunpeng, Chao Wang, Liang Guo, Yu Sun, Meihua Jin, Linbo Xu, Ying Huang, Yi Zong, Xiwen Xu, and Jingxuan Zeng. 2025. "Fabrication and Electrical Characterization of MgZnO/ZTO Thin-Film Transistors" Nanomaterials 15, no. 23: 1809. https://doi.org/10.3390/nano15231809
APA StyleHao, Y., Wang, C., Guo, L., Sun, Y., Jin, M., Xu, L., Huang, Y., Zong, Y., Xu, X., & Zeng, J. (2025). Fabrication and Electrical Characterization of MgZnO/ZTO Thin-Film Transistors. Nanomaterials, 15(23), 1809. https://doi.org/10.3390/nano15231809

