Modification of Octavinyl POSS and Its Effect on the Mechanical Properties and Thermal Stability of Silicone Rubber/POSS Composites
Abstract
1. Introduction
2. Experimental
2.1. Materials
2.2. Synthesis of Multifunctional Polyhedral Oligomeric Silsesquioxane (m-POSS)
2.3. Preparation of SR/m-POSS Composites
2.4. Characterizations
3. Results and Discussion
3.1. Characterization of m-POSS
3.2. Curing Characteristics of SR/m-POSS Composites
| Material | t10/min | t90/min | MH/dN·m | ML/dN·m | MH-ML/dN·m |
|---|---|---|---|---|---|
| SR | 0.2 | 1.68 | 15.8 | 0.91 | 14.9 |
| SR/1.5POSS | 0.3 | 4.98 | 33.8 | 0.89 | 32.9 |
| SR/1.5m-POSS | 0.3 | 10.2 | 15.2 | 1.24 | 13.9 |
3.3. Mechanical Properties of SR/m-POSS Composites
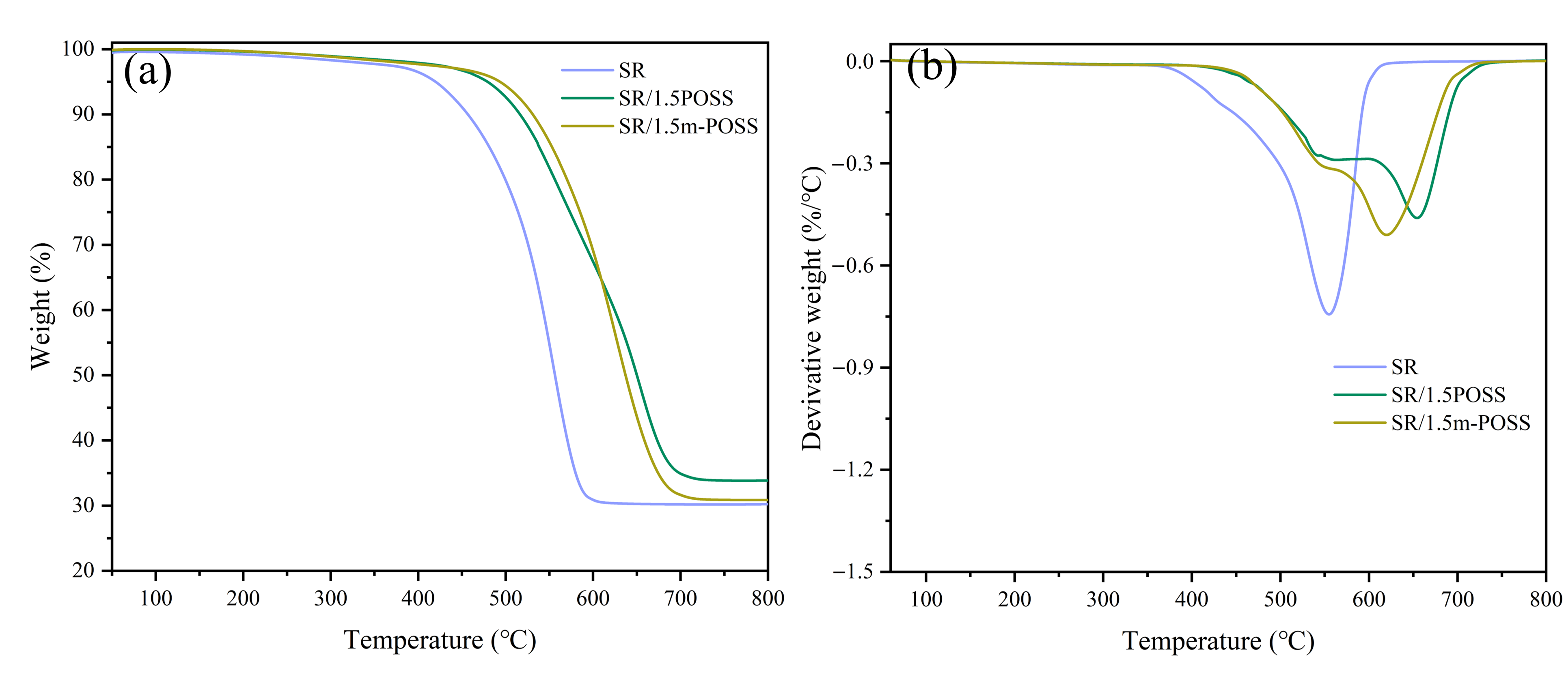
3.4. Thermal Stability of SR/m-POSS Composites
| Materials | T5% (°C) | T10% (°C) | Tmax (°C) | Total Mass Loss (%) | Residue at 800 °C (%) |
|---|---|---|---|---|---|
| SR | 419 | 456 | 552 | 69.9 | 30.1 |
| SR/1.5POSS | 480 | 516 | 654 | 69.1 | 30.9 |
| SR/1.5m-POSS | 494 | 531 | 620 | 66.2 | 33.8 |
3.5. Effect of m-POSS Content on Properties of SR
| m-POSS Content (phr) | t10/min | t90/min | MH/dN·m | ML/dN·m | MH-ML/dN·m |
|---|---|---|---|---|---|
| 0 | 0.2 | 1.68 | 15.8 | 0.91 | 14.9 |
| 1.5 | 0.3 | 10.2 | 15.2 | 1.24 | 13.9 |
| 2.5 | 0.5 | 11.24 | 20.42 | 1.37 | 19.1 |
| 3.5 | 0.6 | 13.93 | 21.83 | 1.38 | 20.6 |
| 4.5 | 0.6 | 14.21 | 24.59 | 1.46 | 23.1 |
| m-POSS Content (phr) | T5% (°C) | T10% (°C) | Tmax (°C) | Total Mass Loss (%) | Residue at 800 °C (%) |
|---|---|---|---|---|---|
| 0 | 419 | 456 | 552 | 69.9 | 30.1 |
| 1.5 | 494 | 531 | 620 | 69.1 | 30.9 |
| 2.5 | 509 | 546 | 653 | 68.5 | 31.5 |
| 3.5 | 523 | 558 | 654 | 68.7 | 31.3 |
| 4.5 | 525 | 565 | 655 | 67.7 | 32.3 |
4. Conclusions
Author Contributions
Funding
Data Availability Statement
Conflicts of Interest
References
- Hu, J.; Liang, C.; Li, J.; Lin, C.; Liang, Y.; Wang, H.; Li, X.; Wang, Q.; Dong, D. Lewis acidic molten salts etching route driven construction of double-layered MXene-Fe/carbon nanotube/silicone rubber composites for high-performance microwave absorption. Carbon 2023, 204, 136–146. [Google Scholar] [CrossRef]
- Xue, Y.; Li, X.-F.; Zhang, D.-H.; Wang, H.-S.; Chen, Y.; Chen, Y.-F. Comparison of ATH and SiO2 fillers filled silicone rubber composites for HTV insulators. Compos. Sci. Technol. 2018, 155, 137–143. [Google Scholar] [CrossRef]
- Liu, J.; Yao, Y.; Chen, S.; Li, X.; Zhang, Z. A new nanoparticle-reinforced silicone rubber composite integrating high strength and strong adhesion. Compos. Part A Appl. Sci. Manuf. 2021, 151, 106645. [Google Scholar] [CrossRef]
- Li, H.; Tao, S.; Huang, Y.; Su, Z.; Zheng, J. The improved thermal oxidative stability of silicone rubber by using iron oxide and carbon nanotubes as thermal resistant additives. Compos. Sci. Technol. 2013, 76, 52–60. [Google Scholar] [CrossRef]
- Gao, Q.; Li, J.; He, Y.; Zhao, J.; Li, J.; Shao, D.; Wang, M.; Hu, J. High-performance antioxidant behavior of zeolitic imidazolate framework-67 at low filler content in silicone rubber. Polym. Degrad. Stab. 2021, 190, 109622. [Google Scholar] [CrossRef]
- Wang, Y.; Qiu, X.; Zheng, J. Effect of the sheet size on the thermal stability of silicone rubber–reduced graphene oxide nanocomposites. J. Appl. Polym. Sci. 2018, 136, 47034. [Google Scholar] [CrossRef]
- Wang, X.; Zhang, Y.; Ren, S.; Xu, Z.; Li, K.; Hao, X.; He, Q. Effect of zinc oxide/layered double hydroxide on the mechanics of silicone rubber at low temperature. Eur. Polym. J. 2023, 200, 112478. [Google Scholar] [CrossRef]
- Han, R.; Wang, Z.; Zhang, Y.; Niu, K. Thermal stability of CeO2/graphene/phenyl silicone rubber composites. Polym. Test. 2019, 75, 277–283. [Google Scholar] [CrossRef]
- Wang, L.; Han, Y. Compressive relaxation of the stress and resistance for carbon nanotube filled silicone rubber composite. Compos. Part A Appl. Sci. Manuf. 2013, 47, 63–71. [Google Scholar] [CrossRef]
- Liu, Z.; Zhang, M.; Wang, Z.; Wang, Y.; Dong, W.; Ma, W.; Zhao, S.; Sun, D. 3D-printed porous PEEK scaffold combined with CSMA/POSS bioactive surface: A strategy for enhancing osseointegration of PEEK implants. Compos. Part B Eng. 2022, 230, 109512. [Google Scholar] [CrossRef]
- Ye, X.; Zhang, X.; Jiang, Y.; Qiao, L.; Zhang, W.; Pan, Y.-T.; Yang, R.; Li, J.; Li, Y. Controllable dimensions and regular geometric architectures from self-assembly of lithium-containing polyhedral oligomeric silsesquioxane: Build for enhancing the fire safety of epoxy resin. Compos. Part B Eng. 2022, 229, 109483. [Google Scholar] [CrossRef]
- Ni, M.; Chen, G.; Wang, Y.; Peng, H.; Liao, Y.; Xie, X. Holographic polymer nanocomposites with ordered structures and improved electro-optical performance by doping POSS. Compos. Part B Eng. 2019, 174, 107045. [Google Scholar] [CrossRef]
- So, J.I.; Lee, C.S.; Kim, B.S.; Jeong, H.W.; Seo, J.S.; Baeck, S.H.; Shim, S.E.; Qian, Y. Improvement of Heat Resistance of Fluorosilicone Rubber Employing Vinyl-Functionalized POSS as a Chemical Crosslinking Agent. Polymers 2023, 15, 1300. [Google Scholar] [CrossRef]
- He, J.; Yue, K.; Liu, Y.; Yu, X.; Ni, P.; Cavicchi, K.A.; Quirk, R.P.; Chen, E.-Q.; Cheng, S.Z.D.; Zhang, W.-B. Fluorinated polyhedral oligomeric silsesquioxane-based shape amphiphiles: Molecular design, topological variation, and facile synthesis. Polym. Chem. 2012, 3, 2112–2120. [Google Scholar] [CrossRef]
- Biçer, E.; Kodal, M.; Özkoç, G. Processing and Characterization of UV Irradiated HDPE/POSS Fibers. Nanomaterials 2023, 13, 3131. [Google Scholar] [CrossRef] [PubMed]
- Chen, X.; Magniez, K.; Zhang, P.; Kujawski, W.; Chen, Z.; Dumée, L.F. “Green” Stirring Plasma Functionalization Strategy for Controllable Oxygen-Containing Functional Groups on Octa-Methyl POSS Microstructure. Nanomaterials 2023, 13, 2770. [Google Scholar] [CrossRef] [PubMed]
- Ma, X.; Zhang, J.A.; Ma, X.; Zhang, Z.; Shen, S.; Wang, J.; Wang, S.; Xu, P.; Yang, S.; Wei, L. Tetrafunctional vinyl polysilsesquioxane and its covalently cross-linked vinyl liquid silicone rubber for resistance to high temperature oxidation combustion and ablative behavior. Corros. Sci. 2023, 221, 111315. [Google Scholar] [CrossRef]
- Kim, E.S.; Lee, T.H.; Shin, S.H.; Yoon, J.S. Effect of incorporation of carbon fiber and silicon carbide powder into silicone rubber on the ablation and mechanical properties of the silicone rubber-based ablation material. J. Appl. Polym. Sci. 2010, 120, 831–838. [Google Scholar] [CrossRef]
- Gou, B.; Xie, C.; Xu, H.; Du, Y.; Wang, R.; Li, L.; Fan, W. Cracking mechanism and degradation performances of HTV silicone rubber with interfacial defects under acid and thermal stress. Eng. Fail. Anal. 2021, 127, 105468. [Google Scholar] [CrossRef]
- Zeng, S.; Li, W.; Peng, Y.; Zhang, Y.; Zhang, G. Mechanism of Accelerated Deterioration of High-Temperature Vulcanized Silicone Rubber under Multi-Factor Aging Tests Considering Temperature Cycling. Polymers 2023, 15, 3210. [Google Scholar] [CrossRef]
- Mei, J.F.; Jia, X.Y.; Lai, J.C.; Sun, Y.; Li, C.H.; Wu, J.H.; Cao, Y.; You, X.Z.; Bao, Z. A Highly Stretchable and Autonomous Self-Healing Polymer Based on Combination of Pt···Pt and π–π Interactions. Macromol. Rapid Commun. 2016, 37, 1667–1675. [Google Scholar] [CrossRef]
- Peng, J.; Wang, G.; Zhang, Y. Synergistic effect of multifunctional POSS and carbon nanotubes on mechanical properties and thermal stability of silicone rubber composites. Polym. Compos. 2024, 45, 14358–14370. [Google Scholar] [CrossRef]
- Bai, Z.; Wu, Y.; Li, J.; Wang, S.; Peng, X.; Jin, H. Preparation of “core-shell” structured SiO2@TiO2 nanospheres by in-situ polymerization and grafting modification method for enhancing fluororubber’s mechanical performance. Compos. Part A Appl. Sci. Manuf. 2024, 180, 108060. [Google Scholar] [CrossRef]
- Han, W.; Zhang, H.-P.; Xu, X.; Tang, Y. Hybrid enhancements by polydopamine and nanosilica on carbon fibre reinforced polymer laminates under marine environment. Compos. Part A Appl. Sci. Manuf. 2018, 112, 283–289. [Google Scholar] [CrossRef]
- Jang, J.-S.; Varischetti, J.; Lee, G.W.; Suhr, J. Experimental and analytical investigation of mechanical damping and CTE of both SiO2 particle and carbon nanofiber reinforced hybrid epoxy composites. Compos. Part A Appl. Sci. Manuf. 2011, 42, 98–103. [Google Scholar] [CrossRef]
- Geng, C.; Zhang, Q.; Lei, W.; Yu, F.; Lu, A. Simultaneously reduced viscosity and enhanced strength of liquid silicone rubber/silica composites by silica surface modification. J. Appl. Polym. Sci. 2017, 134, 45544. [Google Scholar] [CrossRef]
- Wang, D.; Yu, M.; Wang, Y.; Yao, Z.; Xia, A.; Li, L.; Wang, D. Surface modification of spherical silica micro-powder using silane coupling agents and their application in epoxy resin-based composite materials. J. Appl. Polym. Sci. 2024, 141, e55507. [Google Scholar] [CrossRef]
- Li, Y.; Han, B.; Wen, S.; Lu, Y.; Yang, H.; Zhang, L.; Liu, L. Effect of the temperature on surface modification of silica and properties of modified silica filled rubber composites. Compos. Part A Appl. Sci. Manuf. 2014, 62, 52–59. [Google Scholar] [CrossRef]
- Zhang, Y.; Liu, W.; Zhou, Q.; Meng, Y.; Zhong, Y.; Xu, J.; Xiao, C.; Zhang, G.; Zhang, Y. Effects of Vinyl Functionalized Silica Particles on Thermal and Mechanical Properties of Liquid Silicone Rubber Nanocomposites. Polymers 2023, 15, 1224. [Google Scholar] [CrossRef]
- Gao, J.; Ju, H.; Yao, Z.; Zhang, G.; Liu, Y.; Niu, J. Effect of silicon dioxide and organized montmorillonite on the crystalline morphology and dielectric properties of polypropylene-based composites. Polym. Compos. 2023, 44, 2804–2815. [Google Scholar] [CrossRef]
- Perumal, K.P.S.; Selvarajan, L.; Manikandan, K.P.; Velmurugan, C. Mechanical, tribological, and surface morphological studies on the effects of hybrid ilmenite and silicon dioxide fillers on glass fibre reinforced epoxy composites. J. Mech. Behav. Biomed. Mater. 2023, 146, 106095. [Google Scholar] [CrossRef]
- Dong, F.; Ma, D.; Feng, S. Aminopropyl-modified silica as cross-linkers of polysiloxane containing γ-chloropropyl groups for preparing heat-curable silicone rubber. Polym. Test. 2016, 52, 124–132. [Google Scholar] [CrossRef]
- Zheng, Z.; Fan, H.; Zhang, W.; Qiao, L.; Yang, F.; Yang, R.; Zhang, W. Synthesis of crosslinkers based on octa vinyl polyhedral oligomeric silsesquioxane and their flame retardant applications in silicone rubber. Polym. Degrad. Stab. 2025, 238, 111344. [Google Scholar] [CrossRef]
- Tong, Z.; Jiang, T.; Qiu, R.; Lin, G.; Xie, C.; Bi, M. Effect of different silane coupling agent modified SiO2 on the properties of silicone rubber composites: Based on molecular dynamics. Colloids Surf. A Physicochem. Eng. Asp. 2025, 705, 135615. [Google Scholar] [CrossRef]
- Kianfar, E.; Beden, M.A.; Dagher, A.S.; Faghih, S.M. Effects of nano and micro reinforcements on the viscoelastic behavior and thermal stability of silicone rubber. Chem. Data Collect. 2025, 59, 101201. [Google Scholar] [CrossRef]
- Chen, D.; Liu, Y.; Huang, C. Synergistic effect between POSS and fumed silica on thermal stabilities and mechanical properties of room temperature vulcanized (RTV) silicone rubbers. Polym. Degrad. Stab. 2012, 97, 308–315. [Google Scholar] [CrossRef]









| Sample | Tensile Strength (MPa) | p-Value vs. SR/1.5POSS | Elongation at Break (%) | p-Value vs. SR/1.5POSS |
|---|---|---|---|---|
| SR | 9.9 ± 0.4 | - a | 540 ± 28 | - a |
| SR/1.5POSS | 5.8 ± 0.4 | Reference | 224 ± 18 | Reference |
| SR/1.5m-POSS | 9.2 ± 0.3 | *** (p < 0.001) | 587 ± 23 | *** (p < 0.001) |
| Material | Filler | Content (phr) | Tensile Strength (MPa) | Elongation at Break (%) | Ref. |
|---|---|---|---|---|---|
| SR (SiO2) | POSS | 1.5 | 5.8 | 223 | This study |
| SR (SiO2) | m-POSS | 1.5 | 9.2 | 587 | This study |
| SR (SiO2) | POSS/CNT | 0.1/1.0 | 10.2 | 456 | [22] |
| SR (SiO2) | ZIF-67 | 0.5 | 5.7 | 273 | [5] |
| SR (SiO2) | CNTs@Fe2O3 | 3 | 6.0 | 450 | [4] |
Disclaimer/Publisher’s Note: The statements, opinions and data contained in all publications are solely those of the individual author(s) and contributor(s) and not of MDPI and/or the editor(s). MDPI and/or the editor(s) disclaim responsibility for any injury to people or property resulting from any ideas, methods, instructions or products referred to in the content. |
© 2025 by the authors. Licensee MDPI, Basel, Switzerland. This article is an open access article distributed under the terms and conditions of the Creative Commons Attribution (CC BY) license (https://creativecommons.org/licenses/by/4.0/).
Share and Cite
Peng, J.; Zhang, Y. Modification of Octavinyl POSS and Its Effect on the Mechanical Properties and Thermal Stability of Silicone Rubber/POSS Composites. Nanomaterials 2025, 15, 1706. https://doi.org/10.3390/nano15221706
Peng J, Zhang Y. Modification of Octavinyl POSS and Its Effect on the Mechanical Properties and Thermal Stability of Silicone Rubber/POSS Composites. Nanomaterials. 2025; 15(22):1706. https://doi.org/10.3390/nano15221706
Chicago/Turabian StylePeng, Junjie, and Yong Zhang. 2025. "Modification of Octavinyl POSS and Its Effect on the Mechanical Properties and Thermal Stability of Silicone Rubber/POSS Composites" Nanomaterials 15, no. 22: 1706. https://doi.org/10.3390/nano15221706
APA StylePeng, J., & Zhang, Y. (2025). Modification of Octavinyl POSS and Its Effect on the Mechanical Properties and Thermal Stability of Silicone Rubber/POSS Composites. Nanomaterials, 15(22), 1706. https://doi.org/10.3390/nano15221706

