Defect–Coating–Wavelength Coupling Effects on Nano-Scale Electric Field Modulation in Fused Silica Under Multi-Wavelength Irradiation
Abstract
1. Introduction
2. Model and Methods
3. Calculation and Analysis
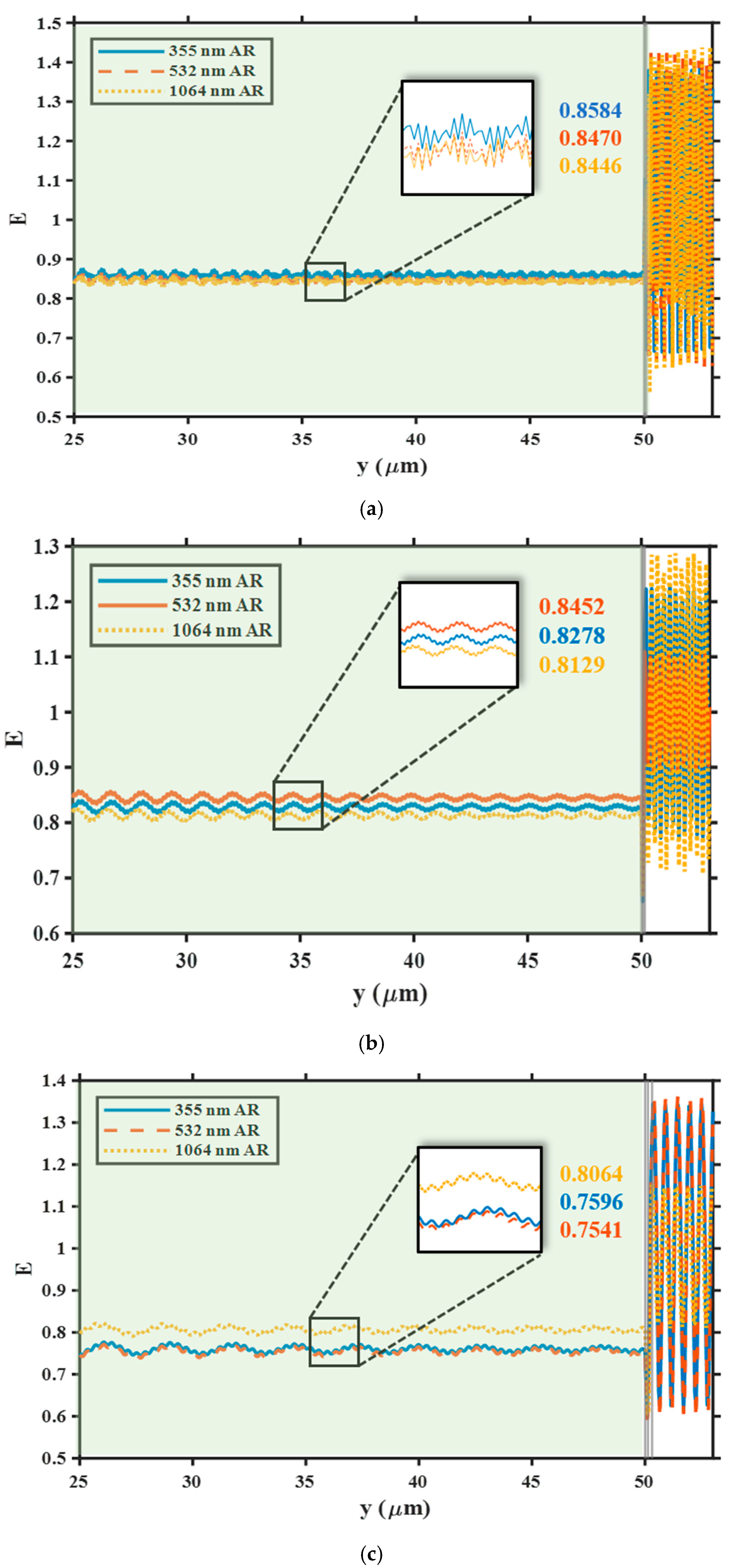
3.1. Multi-Wavelength Laser Irradiation of Defect-Free Fused Silica Coatings
3.2. Influence of Scratch Depth and Width on Electric Field Modulation
4. Discussion
5. Conclusions
Author Contributions
Funding
Data Availability Statement
Acknowledgments
Conflicts of Interest
References
- Stuart, B.C.; Feit, M.D.; Herman, S.; Rubenchik, A.M.; Shore, B.W.; Perry, M.D. Optical ablation by high-power short-pulse lasers. J. Opt. Soc. Am. B 1996, 13, 459–468. [Google Scholar] [CrossRef]
- Neauport, J.; Cormont, P.; Legros, P.; Pilon, F.; Desserouer, C.; Lavastre, E. Polishing-induced contamination of fused silica optics and laser-induced damage density at 351 nm. Opt. Express 2009, 17, 3583–3594. [Google Scholar] [CrossRef]
- Macleod, H.A. Thin-Films Optical Filters, 4th ed.; CRC Press: Boca Raton, FL, USA, 2010. [Google Scholar]
- Huang, J.; Wang, F.; Liu, H.; Geng, F.; Jiang, X.; Sun, L.; Ye, X.; Li, Q.; Wu, W.; Zheng, W.; et al. Non-destructive evaluation of UV pulse laser-induced damage performance of fused silica optics. Sci. Rep. 2017, 7, 16239. [Google Scholar] [CrossRef]
- Gallais, L.; Commandré, M. Laser-induced damage thresholds of bulk and coating optical materials at 1030 nm, 500 fs. Appl. Opt. 2013, 53, A186–A196. [Google Scholar] [CrossRef] [PubMed]
- Kozlowski, M.R.; Chow, R. Role of defects in laser damage of multilayer coatings. In Proceedings of the Laser-Induced Damage in Optical Materials: 1993, Boulder, CO, USA, 27–29 October 1993; Volume 2114, pp. 640–649. [Google Scholar]
- Cao, H.; Peng, X.; Shi, F.; Tian, Y.; Kong, L.; Chen, M. Advances in subsurface defect detection techniques for fused silica optical components: A literature review. J. Mater. Res. Technol. 2024, 35, 809–835. [Google Scholar] [CrossRef]
- Yu, J.; Xiang, X.; He, S.; Yuan, X.; Zheng, W.; Lv, H.; Zu, X. Laser-Induced Damage Initiation and Growth of Optical Materials. Adv. Condens. Matter Phys. 2014, 2014, 364627. [Google Scholar] [CrossRef]
- Carr, C.W.; Radousky, H.B.; Demos, S.G. Wavelength dependence of laser-induced damage: Determining the damage initiation mechanism. Phys. Rev. Lett. 2003, 91, 127402. [Google Scholar] [CrossRef]
- Ling, X.; Chen, X.; Liu, X. Revisiting defect-induced light field enhancement in optical thin films. Micromachines 2022, 13, 911. [Google Scholar] [CrossRef]
- Cheng, X.; Tuniyazi, A.; Wei, Z.; Zhang, J.; Ding, T.; Jiao, H.; Ma, B.; Li, H.; Li, T.; Wang, Z. Physical insight toward electric field enhancement at nodular defects in optical coatings. Opt. Express 2015, 23, 8609–8619. [Google Scholar] [CrossRef] [PubMed]
- Zhang, S.; Menoni, C.; Gruzdev, V.; Chowdhury, E. Ultrafast Laser Material Damage Simulation—A New Look at an Old Problem. Nanomaterials 2022, 12, 1259. [Google Scholar] [CrossRef]
- Cheng, X.; Zhang, J.; Ding, T.; Wei, J.; Li, H.; Wang, Z. The effect of an electric field on the thermomechanical damage of nodular defects in dielectric multilayer coatings irradiated by nanosecond laser pulses. Light Sci Appl 2013, 2, e80. [Google Scholar] [CrossRef]
- Shao, T.; Tang, F.; Sun, L.; Ye, X.; He, J.; Yang, L.; Zheng, W. Fabrication of Antireflective Nanostructures on a Transmission Grating Surface Using a One-Step Self-Masking Method. Nanomaterials 2019, 9, 180. [Google Scholar] [CrossRef]
- Astrauskytė, D.; Galvanauskas, K.; Gailevičius, D.; Drazdys, M.; Malinauskas, M.; Grineviciute, L. Anti-Reflective Coatings Produced via Atomic Layer Deposition for Hybrid Polymer 3D Micro-Optics. Nanomaterials 2023, 13, 2281. [Google Scholar] [CrossRef]
- Tsibidis, G.D.; Stratakis, E. Influence of antireflection Si coatings on the damage threshold of fused silica upon irradiation with mid-IR femtosecond laser pulses. Opt. Lett. 2023, 48, 4841–4844. [Google Scholar] [CrossRef]
- Liu, Z.; Zhang, J.; Wang, S.; Geng, F.; Zhang, Q.; Cheng, J.; Chen, M.; Xu, Q. Ultrafast Process Characterization of Laser-Induced Damage in Fused Silica Using Pump-Probe Shadow Imaging Techniques. Materials 2024, 17, 837. [Google Scholar] [CrossRef] [PubMed]
- Yudin, N.N.; Zinoviev, M.; Gladkiy, V.; Moskvichev, E.; Kinyaevsky, I.; Podzyvalov, S.; Slyunko, E.; Zhuravleva, E.; Pfaf, A.; Yudin, N.A.; et al. Influence of the Characteristics of Multilayer Interference Antireflection Coatings Based on Nb, Si, and Al Oxides on the Laser-Induced Damage Threshold of ZnGeP2 Single Crystal. Crystals 2021, 11, 1549. [Google Scholar] [CrossRef]
- Li, C.; Li, Q.; Sun, L.; Ye, X.; Chen, S.; Wu, Z.; Huang, J.; Wu, W.; Jiang, X. Effect of PVA coating on the electric field intensity distribution and laser damage performance of fused silica optics surfaces. Opt. Express 2018, 26, 19707–19717. [Google Scholar] [CrossRef] [PubMed]
- Gao, X.; Mu, Q.; Zhou, P. Propagation of point defects in SiO2/Al2O3 anti-reflection coatings under multi-pulse laser irradiation. Appl. Surf. Sci. 2025, 695, 162873. [Google Scholar] [CrossRef]
- Du, Y.; Zhu, M.; Liu, Q.; Sui, Z.; Yi, K.; Jin, Y.; He, H. Laser-induced damage properties of subwavelength antireflective grating on fused silica. Thin Solid Films 2014, 567, 47–53. [Google Scholar] [CrossRef]
- Shan, Y.G.; He, H.B.; Wang, Y.; Li, X.; Li, D.W.; Zhao, Y.A. Electrical field enhancement and laser damage growth in high-reflective coatings at 1064 nm. Opt. Commun. 2011, 284, 625–629. [Google Scholar] [CrossRef]
- Hobbs, D.S.; MacLeod, B.D.; Sabatino, E., III; Britten, J.A.; Stolz, C.J. Contamination resistant antireflection nano-textures in fused silica for laser optics. In Proceedings of the Laser-Induced Damage in Optical Materials: 2013, Boulder, CO, USA, 22–25 September 2013; SPIE: Bellingham, WA, USA, 2013; Volume 8885, pp. 61–71. [Google Scholar]
- Shao, T.; Zhang, J.; Shi, Z.; Li, W.; Li, P.; Sun, L.; Zheng, W. Improvement of Laser Damage Resistance of Fused Silica Using Oxygen-Aided Reactive Ion Etching. Photonics 2024, 11, 726. [Google Scholar] [CrossRef]
- Guo, K.; Wang, Y.; Chen, R.; Zhu, M.; Yi, K.; He, H.; Shao, J. Effects of ion beam etching of fused silica substrates on the laser-induced damage properties of antireflection coatings at 355 nm. Opt. Mater. 2019, 90, 172–179. [Google Scholar] [CrossRef]
- Malitson, I.H. Interspecimen comparison of the refractive index of fused silica. J. Opt. Soc. Am. 1965, 55, 1205–1209. [Google Scholar] [CrossRef]
- Franta, D.; Vohánka, J.; Dvořák, J.; Franta, P.; Ohlídal, I.; Klapek, P.; Březina, J.; Škoda, D. Wide spectral range optical characterization of tantalum pentoxide (Ta2O5) films by the universal dispersion model. Opt. Mater. Express 2025, 15, 903–919. [Google Scholar] [CrossRef]
- Arosa, Y.; de la Fuente, R. Refractive index spectroscopy and material dispersion in fused silica glass. Opt. Lett. 2020, 45, 4268–4271. [Google Scholar] [CrossRef] [PubMed]
- Rodríguez-de Marcos, L.V.; Larruquert, J.I.; Méndez, J.A.; Aznárez, J.A. Self-consistent optical constants of SiO2 and Ta2O5 films. Opt. Mater. Express 2016, 6, 3622–3637. [Google Scholar] [CrossRef]






| Design Wavelength (nm) | Layer Type | Material | Quarter-Wave Thickness t (nm) | Refractive Index n | Extinction Coefficient k |
|---|---|---|---|---|---|
| 355 | coatings | SiO2 | 60 | 1.4760 | ~1 × 10−6 |
| HfO2 | 43.3 | 2.1804 | ~1 × 10−4 | ||
| substrate | Fused Silica | - | 1.4760 | ~1 × 10−6 | |
| 532 | coatings | SiO2 | 91.2 | 1.4608 | ~1 × 10−6 |
| Ta2O5 | 60.8 | 2.1501 | ~1 × 10−4 | ||
| substrate | Fused Silica | - | 1.4607 | ~1 × 10−6 | |
| 1064 | coatings | SiO2 | 182.4 | 1.4497 | ~1 × 10−6 |
| Ta2O5 | 126.7 | 2.0801 | ~1 × 10−5 | ||
| substrate | Fused Silica | - | 1.4496 | ~1 × 10−6 |
| L1: 0.3 μm, L2: 1 μm, H: 0.5 μm | L1: 0.5 μm, L2: 2 μm, H: 0.5 μm | L1: 0.2 μm, L2: 1 μm, H: 2 μm | |||||||
| 355 | 532 | 1064 | 355 | 532 | 1064 | 355 | 532 | 1064 | |
| 355 nm | 1.35257 | 1.50213 | 1.38774 | 1.35588 | 1.63442 | 1.45592 | 1.45300 | 1.36475 | 1.40696 |
| 532 nm | 1.23902 | 1.26231 | 1.28529 | 1.46881 | 1.28395 | 1.44810 | 1.49398 | 1.50929 | 1.45480 |
| 1064 nm | 1.13983 | 1.18038 | 1.21766 | 1.30203 | 1.39026 | 1.20048 | 1.28566 | 1.26250 | 1.33056 |
Disclaimer/Publisher’s Note: The statements, opinions and data contained in all publications are solely those of the individual author(s) and contributor(s) and not of MDPI and/or the editor(s). MDPI and/or the editor(s) disclaim responsibility for any injury to people or property resulting from any ideas, methods, instructions or products referred to in the content. |
© 2025 by the authors. Licensee MDPI, Basel, Switzerland. This article is an open access article distributed under the terms and conditions of the Creative Commons Attribution (CC BY) license (https://creativecommons.org/licenses/by/4.0/).
Share and Cite
Cao, H.; Peng, X.; Shi, F.; Zhao, X. Defect–Coating–Wavelength Coupling Effects on Nano-Scale Electric Field Modulation in Fused Silica Under Multi-Wavelength Irradiation. Nanomaterials 2025, 15, 1626. https://doi.org/10.3390/nano15211626
Cao H, Peng X, Shi F, Zhao X. Defect–Coating–Wavelength Coupling Effects on Nano-Scale Electric Field Modulation in Fused Silica Under Multi-Wavelength Irradiation. Nanomaterials. 2025; 15(21):1626. https://doi.org/10.3390/nano15211626
Chicago/Turabian StyleCao, Hongbing, Xing Peng, Feng Shi, and Xinjie Zhao. 2025. "Defect–Coating–Wavelength Coupling Effects on Nano-Scale Electric Field Modulation in Fused Silica Under Multi-Wavelength Irradiation" Nanomaterials 15, no. 21: 1626. https://doi.org/10.3390/nano15211626
APA StyleCao, H., Peng, X., Shi, F., & Zhao, X. (2025). Defect–Coating–Wavelength Coupling Effects on Nano-Scale Electric Field Modulation in Fused Silica Under Multi-Wavelength Irradiation. Nanomaterials, 15(21), 1626. https://doi.org/10.3390/nano15211626

