Photocatalytic Enhancement of Anatase Supported on Mesoporous Modified Silica for the Removal of Carbamazepine
Abstract
1. Introduction
2. Materials and Methods
2.1. Reactives
2.2. Synthesis of the Anatase Supported on Mesoporous Silica (MSTiR%)
2.3. Characterization Techniques
2.4. Photodegradation Experiments
3. Results and Discussion
3.1. Characterization Analysis of the MSTiR% Materials
3.1.1. X-Ray Diffraction (XRD) and Fourier-Transformed Infrared Spectroscopy (FT-IR)
3.1.2. UV-Vis Diffuse Reflectance (DR) and X-Ray Photoelectron Spectroscopy (XPS)
3.1.3. N2 Adsorption Isotherms (−196 °C)
3.1.4. Field-Emission Scanning Electron Microscopy (FE-SEM) and X-Ray Energy Dispersion (EDX) Analyses
3.2. Photocatalytic Degradation of CBZ in the Presence of MSTiR%
3.2.1. Evaluation of the Photocatalytic Activity of the MSTiR% Materials
3.2.2. Influence of the Catalyst Dose and Initial pH, and Reusability of MSTiR% Materials
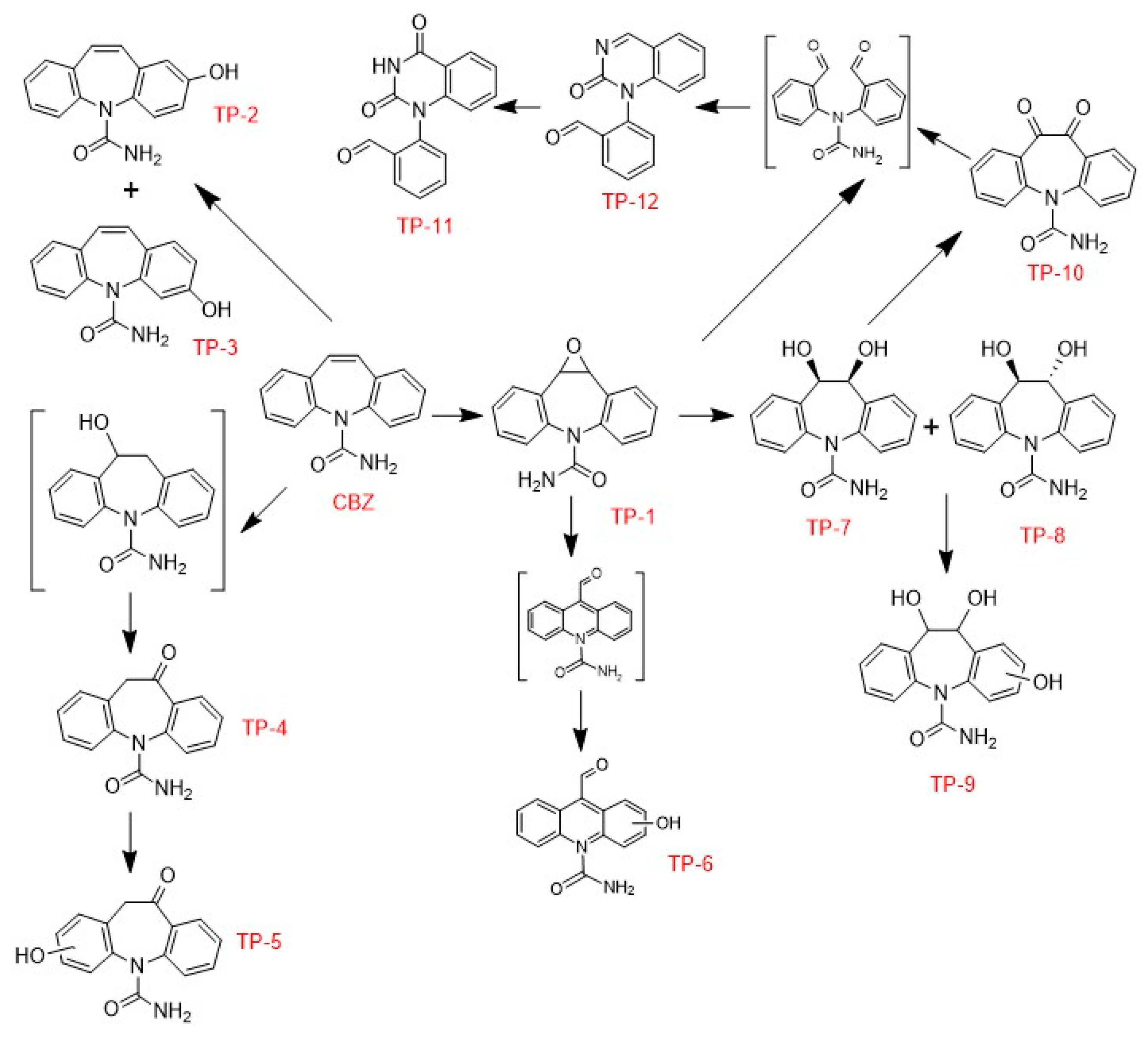
3.2.3. Identification and Evolution of CBZ and Its Transformation Products (TPs), and Phytotoxicity Tests
3.2.4. Comparison with Other CBZ Photocatalysts and TiO2-Supported in SiO2 Materials
4. Conclusions
Supplementary Materials
Author Contributions
Funding
Data Availability Statement
Acknowledgments
Conflicts of Interest
References
- Jiang, T.; Wu, W.; Ma, M.; Hu, Y.; Li, R. Occurrence and Distribution of Emerging Contaminants in Wastewater Treatment Plants: A Globally Review over the Past Two Decades. Sci. Total Environ. 2024, 951, 175664. [Google Scholar] [CrossRef]
- Fekadu, S.; Alemayehu, E.; Dewil, R.; Van der Bruggen, B. Pharmaceuticals in Freshwater Aquatic Environments: A Comparison of the African and European Challenge. Sci. Total Environ. 2019, 654, 324–337. [Google Scholar] [CrossRef]
- Zhang, Y.; Geißen, S.-U.; Gal, C. Carbamazepine and Diclofenac: Removal in Wastewater Treatment Plants and Occurrence in Water Bodies. Chemosphere 2008, 73, 1151–1161. [Google Scholar] [CrossRef] [PubMed]
- Directorate-General for Environment of the European Commission. Proposal for a DIRECTIVE OF THE EUROPEAN PARLIAMENT AND OF THE COUNCIL: “Amending Directive 2000/60/EC Establishing a Framework for Community Action in the field of Water Policy, Directive 2006/118/EC on the Protection of Groundwater against pollution and Deterioration and Directive 2008/105/EC on Environmental Quality in the Field of Water Policy”. Brussels. 2022. Available online: https://environment.ec.europa.eu/publications/proposal-amending-water-directives_en (accessed on 20 February 2025).
- Saravanan, A.; Deivayanai, V.C.; Kumar, P.S.; Rangasamy, G.; Hemavathy, R.V.; Harshana, T.; Gayathri, N.; Alagumalai, K. A Detailed Review on Advanced Oxidation Process in Treatment of Wastewater: Mechanism, Challenges and Future Outlook. Chemosphere 2022, 308, 136524. [Google Scholar] [CrossRef]
- Liu, H.; Wang, C.; Wang, G. Photocatalytic Advanced Oxidation Processes for Water Treatment: Recent Advances and Perspective. Chem. Asian J. 2020, 15, 3239–3253. [Google Scholar] [CrossRef]
- Peiris, S.; de Silva, H.B.; Ranasinghe, K.N.; Bandara, S.V.; Perera, I.R. Recent Development and Future Prospects of TiO2 Photocatalysis. J. Chin. Chem. Soc. 2021, 68, 738–769. [Google Scholar] [CrossRef]
- Li, R.; Li, T.; Zhou, Q. Impact of Titanium Dioxide (TiO2) Modification on Its Application to Pollution Treatment—A Review. Catalysts 2020, 10, 804. [Google Scholar] [CrossRef]
- Li, K.; Zhang, S.; Tan, Q.; Wu, X.; Li, Y.; Li, Q.; Fan, J.; Lv, K. Insulator in Photocatalysis: Essential Roles and Activation Strategies. Chem. Eng. J. 2021, 426, 130772. [Google Scholar] [CrossRef]
- Xu, Y.; Zheng, W.; Liu, W. Enhanced Photocatalytic Activity of Supported TiO2: Dispersing Effect of SiO2. J. Photochem. Photobiol. A 1999, 122, 57–60. [Google Scholar] [CrossRef]
- Wang, J.; Sun, S.; Ding, H.; Chen, W.; Liang, Y. Preparation of a Composite Photocatalyst with Enhanced Photocatalytic Activity: Smaller TiO2 Carried on SiO2 Microsphere. Appl. Surf. Sci. 2019, 493, 146–156. [Google Scholar] [CrossRef]
- Cruz-Quesada, G.; Sampaio, M.J.; Espinal-Viguri, M.; López-Ramón, M.V.; Garrido, J.J.; Silva, C.G.; Faria, J.L. Design of Novel Photoactive Modified Titanium Silicalites and Their Application for Venlafaxine Degradation under Simulated Solar Irradiation. Sol. RRL 2024, 8, 2300593. [Google Scholar] [CrossRef]
- BIZI, M. Activated Carbon and the Principal Mineral Constituents of a Natural Soil in the Presence of Carbamazepine. Water 2019, 11, 2290. [Google Scholar] [CrossRef]
- Harris, R.K.; Ghi, P.Y.; Puschmann, H.; Apperley, D.C.; Griesser, U.J.; Hammond, R.B.; Ma, C.; Roberts, K.J.; Pearce, G.J.; Yates, J.R.; et al. Structural Studies of the Polymorphs of Carbamazepine, Its Dihydrate, and Two Solvates. Org. Process Res. Dev. 2005, 9, 902–910. [Google Scholar] [CrossRef]
- Hunter, C.A.; McCabe, J.F.; Spitaleri, A. Solvent Effects of the Structures of Prenucleation Aggregates of Carbamazepine. CrystEngComm 2012, 14, 7115–7117. [Google Scholar] [CrossRef]
- Shi, Y.; Chen, L.; Li, J.; Hu, Q.; Ji, G.; Lu, Y.; Hu, X.; Zhu, B.; Huang, W. Co Supported on Interparticle Porosity Dominated Hierarchical Porous TS-1 as Highly Efficient Heterogeneous Catalyst for Epoxidation of Styrene. Chem. Phys. Lett. 2021, 762, 138116. [Google Scholar] [CrossRef]
- Shang, Q.; Chi, W.; Zhang, P.; Ling, Y.; Liu, X.; Cui, G.; Liu, W.; Shi, X.; Tang, B. Optimization of Bi2O3/TS-1 Preparation and Photocatalytic Reaction Conditions for Low Concentration Erythromycin Wastewater Treatment Based on Artificial Neural Network. Process Saf. Environ. Prot. 2022, 157, 297–305. [Google Scholar] [CrossRef]
- El-Desoky, M.M.; Morad, I.; Wasfy, M.H.; Mansour, A.F. Synthesis, Structural and Electrical Properties of PVA/TiO2 Nanocomposite Films with Different TiO2 Phases Prepared by Sol–Gel Technique. J. Mater. Sci. Mater. Electron. 2020, 31, 17574–17584. [Google Scholar] [CrossRef]
- Fois, E.; Gamba, A.; Tabacchi, G. Influence of Silanols Condensation on Surface Properties of Micelle-Templated Silicas: A Modelling Study. Microporous Mesoporous Mater. 2008, 116, 718–722. [Google Scholar] [CrossRef]
- Soekiman, C.N.; Miyake, K.; Hayashi, Y.; Zhu, Y.; Ota, M.; Al-Jabri, H.; Inoue, R.; Hirota, Y.; Uchida, Y.; Tanaka, S.; et al. Synthesis of Titanium Silicalite-1 (TS-1) Zeolite with High Content of Ti by a Dry Gel Conversion Method Using Amorphous TiO2–SiO2 Composite with Highly Dispersed Ti Species. Mater. Today Chem. 2020, 16, 100209. [Google Scholar] [CrossRef]
- Suresh, B.V. Energy band diagram of insulator, semiconductor and metal. In Solid State Devices and Technology, 3rd ed.; Subramanian, R., Ed.; Sanguine Technical Publishers, Pearson: Bangalore, India, 2010; pp. 25–26. ISBN 8131732363. [Google Scholar]
- Reddy, K.M.; Manorama, S.V.; Reddy, A.R. Bandgap Studies on Anatase Titanium Dioxide Nanoparticles. Mater. Chem. Phys. 2002, 78, 239–245. [Google Scholar] [CrossRef]
- Fujisawa, J.-i.; Eda, T.; Hanaya, M. Comparative Study of Conduction-Band and Valence-Band Edges of TiO2, SrTiO3, and BaTiO3 by Ionization Potential Measurements. Chem. Phys. Lett. 2017, 685, 23–26. [Google Scholar] [CrossRef]
- Cook, T.E., Jr.; Fulton, C.C.; Mecouch, W.J.; Tracy, K.M.; Davis, R.F.; Hurt, E.H.; Lucovsky, G.; Nemanich, R.J. Measurement of the Band Offsets of SiO2 on Clean n- and p-Type GaN(0001). J. Appl. Phys. 2003, 93, 3995–4004. [Google Scholar] [CrossRef]
- Bai, L.; Huang, H.; Yu, S.; Zhang, D.; Huang, H.; Zhang, Y. Role of Transition Metal Oxides in G-C3N4-Based Heterojunctions for Photocatalysis and Supercapacitors. J. Energy Chem. 2022, 64, 214–235. [Google Scholar] [CrossRef]
- Thommes, M.; Kaneko, K.; Neimark, A.V.; Olivier, J.P.; Rodriguez-Reinoso, F.; Rouquerol, J.; Sing, K.S.W. Physisorption of Gases, with Special Reference to the Evaluation of Surface Area and Pore Size Distribution (IUPAC Technical Report). Pure Appl. Chem. 2015, 87, 1051–1069. [Google Scholar] [CrossRef]
- Buxton, G.V.; Greenstock, C.L.; Helman, W.P.; Ross, A.B. Critical Review of Rate Constants for Reactions of Hydrated Electrons, Hydrogen Atoms and Hydroxyl Radicals (·OH/·O-) in Aqueous Solution. J. Phys. Chem. Ref. Data 1988, 17, 513–886. [Google Scholar] [CrossRef]
- Martínez-Escudero, C.M.; Garrido, I.; Contreras, F.; Hellín, P.; Flores, P.; León-Morán, L.O.; Arroyo-Manzanares, N.; Campillo, N.; Viñas, P.; Fenoll, J. Photocatalytic Oxidation of Carbamazepine in Water Using TiO2 with LED Lamps: Study of Intermediate Degradation Products by Liquid Chromatography Mass Spectrometry after Dispersive Liquid–Liquid Microextraction. J. Photochem. Photobiol. A 2024, 452, 115551. [Google Scholar] [CrossRef]
- Jelic, A.; Michael, I.; Achilleos, A.; Hapeshi, E.; Lambropoulou, D.; Perez, S.; Petrovic, M.; Fatta-Kassinos, D.; Barcelo, D. Transformation Products and Reaction Pathways of Carbamazepine during Photocatalytic and Sonophotocatalytic Treatment. J. Hazard. Mater. 2013, 263, 177–186. [Google Scholar] [CrossRef]
- Liu, N.; Lei, Z.-D.; Wang, T.; Wang, J.-J.; Zhang, X.-D.; Xu, G.; Tang, L. Radiolysis of Carbamazepine Aqueous Solution Using Electron Beam Irradiation Combining with Hydrogen Peroxide: Efficiency and Mechanism. Chem. Eng. J. 2016, 295, 484–493. [Google Scholar] [CrossRef]
- Brezina, E.; Prasse, C.; Meyer, J.; Mückter, H.; Ternes, T.A. Investigation and Risk Evaluation of the Occurrence of Carbamazepine, Oxcarbazepine, Their Human Metabolites and Transformation Products in the Urban Water Cycle. Environ. Pollut. 2017, 225, 261–269. [Google Scholar] [CrossRef]
- Mcdowell, D.C.; Huber, M.M.; Wagner, M.; von Gunten, U.; Ternes, T.A. Ozonation of Carbamazepine in Drinking Water: Identification and Kinetic Study of Major Oxidation Products. Environ. Sci. Technol. 2005, 39, 8014–8022. [Google Scholar] [CrossRef]
- Ahmed, M.M.; Chiron, S. Solar Photo-Fenton like Using Persulphate for Carbamazepine Removal from Domestic Wastewater. Water Res. 2014, 48, 229–236. [Google Scholar] [CrossRef] [PubMed]
- Zhu, Z.; Chen, Y.; Gu, Y.; Wu, F.; Lu, W.; Xu, T.; Chen, W. Catalytic Degradation of Recalcitrant Pollutants by Fenton-like Process Using Polyacrylonitrile-Supported Iron (II) Phthalocyanine Nanofibers: Intermediates and Pathway. Water Res. 2016, 93, 296–305. [Google Scholar] [CrossRef]
- Fernández, M.; Fernández, M.; Laca, A.; Laca, A.; Díaz, M. Seasonal Occurrence and Removal of Pharmaceutical Products in Municipal Wastewaters. J. Environ. Chem. Eng. 2014, 2, 495–502. [Google Scholar] [CrossRef]
- Meng, Y.; Li, Z.; Tan, J.; Li, J.; Wu, J.; Zhang, T.; Wang, X. Oxygen-Doped Porous Graphitic Carbon Nitride in Photocatalytic Peroxymonosulfate Activation for Enhanced Carbamazepine Removal: Performance, Influence Factors and Mechanisms. Chem. Eng. J. 2022, 429, 130860. [Google Scholar] [CrossRef]
- Majumder, A.; Gupta, A.K.; Sillanpää, M. Insights into Kinetics of Photocatalytic Degradation of Neurotoxic Carbamazepine Using Magnetically Separable Mesoporous Fe3O4 Modified Al-Doped ZnO: Delineating the Degradation Pathway, Toxicity Analysis and Application in Real Hospital Wastewater. Colloids Surf. A 2022, 648, 129250. [Google Scholar] [CrossRef]
- Wang, H.; Yao, Y.; Xiang, Y.; Zhu, X. Performance and Mechanic Insights into Potassium-Oxygen Co-Doping Graphic Carbon Nitride for UV Photocatalytic Oxidation of Carbamazepine. Sep. Purif. Technol. 2025, 353, 128577. [Google Scholar] [CrossRef]
- Zhou, Y.; Zhang, H.; Wu, L.; Zhang, Y.; Wang, X.; Wu, Z. Hollow hemispherical Si-doped anatase for efficient carbamazepine degradation via photocatalytic activation of peroxymonosulfate. Chem. Eng. J. 2023, 457, 141234. [Google Scholar] [CrossRef]
- Bragg, W.H.; Bragg, W.L. The Reflection of X-Rays by Crystals. Proc. R. Soc. A 1913, 88. [Google Scholar] [CrossRef]
- Patterson, A.L. The Scherrer Formula for X-Ray Particle Size Determination. Phys. Rev. 1939, 56, 978–982. [Google Scholar] [CrossRef]
- Torres-Luna, J.A.; Carriazo, J.G. Porous Aluminosilicic Solids Obtained by Thermal-Acid Modification of a Commercial Kaolinite-Type Natural Clay. Solid State Sci. 2019, 88, 29–35. [Google Scholar] [CrossRef]
- Makuła, P.; Pacia, M.; Macyk, W. How to Correctly Determine the Band Gap Energy of Modified Semiconductor Photocatalysts Based on UV-Vis Spectra. J. Phys. Chem. Lett. 2018, 9, 6814–6817. [Google Scholar] [CrossRef]
- Abdullah, E.A. Band Edge Positions as a Key Parameter to a Systematic Design of Heterogeneous Photocatalyst. Eur. J. Chem. 2019, 10, 82–94. [Google Scholar] [CrossRef]
- Rouquerol, J.; LLewelyn, P.; Rouquerol, F. Is the BET Equation Applicable to Microporous Adsorbents? Stud. Surf. Sci. Catal. 2007, 160, 49–56. [Google Scholar] [CrossRef]
- Dubinin, M.M. The Potential Theory of Adsorption of Gases and Vapors for Adsorbents with Energetically Nonuniform Surfaces. Chem. Rev. 1960, 60, 235–241. [Google Scholar] [CrossRef]
- Garrido, J.; Linares-Solano, A.; Martín-Martínez, J.M.; Molina-Sabio, M.; Rodríguez-Reinoso, F.; Torregrosa, R. Use of N2 vs. CO2 in the Characterization of Activated Carbons. Langmuir 1987, 3, 76–81. [Google Scholar] [CrossRef]
- Barrett, E.P.; Joyner, L.G.; Halenda, P.P. The Determination of Pore Volume and Area Distributions in Porous Substances. I. Computations from Nitrogen Isotherms. J. Am. Chem. Soc. 1951, 73, 373–380. [Google Scholar] [CrossRef]
- Jagiello, J. Stable Numerical Solution of the Adsorption Integral Equation Using Splines. Langmuir 1994, 10, 2778–2785. [Google Scholar] [CrossRef]
- Fidalgo, A.; Ilharco, L.M. Chemical Tailoring of Porous Silica Xerogels: Local Structure by Vibrational Spectroscopy. Chem. A Eur. J. 2004, 10, 392–398. [Google Scholar] [CrossRef]
- Li, Y.; Fan, Q.; Li, Y.; Feng, X.; Chai, Y.; Liu, C. Seed-assisted synthesis of hierarchical nanosized TS-1 in a low-cost system for propylene epoxidation with H2O2. Appl. Surf. Sci. 2019, 483, 652–660. [Google Scholar] [CrossRef]
- Launer, P.J.; Arkles, B. Infrared Analysis of Organosilicon Compounds. In Silicon Compounds: Silanes and Silicones, 3rd ed.; Arkles, B., Larson, G.L., Eds.; Gelest, INC: Morrisville, PA, USA, 2013; pp. 175–178. Available online: https://www.gelest.com/wp-content/uploads/5000A_Section1_InfraredAnalysis.pdf (accessed on 20 February 2025).
- Chemspider Database, CSID:2457. Available online: https://www.chemspider.com/Chemical-Structure.2457.html (accessed on 20 February 2025).
- Nghiem, L.D.; Schäfer, A.I.; Elimelech, M. Pharmaceutical Retention Mechanisms by Nanofiltration Membranes. Environ. Sci. Technol. 2005, 39, 7698–7705. [Google Scholar] [CrossRef]
- National Center for Biotechnology Information. PubChem Compound Summary for CID 2554, Carbamazepine. 2025. Available online: https://pubchem.ncbi.nlm.nih.gov/compound/Carbamazepine (accessed on 20 February 2025).
- Mao, X.; Li, M.; Li, M. Fabrication of Bi4O5Br2 Photocatalyst for Carbamazepine Degradation under Visible-Light Irradiation. Water Sci. Technol. 2021, 84, 77–88. [Google Scholar] [CrossRef] [PubMed]
- Grzegórska, A.; Karczewski, J.; Zielińska-Jurek, A. Modelling and Optimisation of MXene-Derived TiO2/Ti3C2 Synthesis Parameters Using Response Surface Methodology Based on the Box–Behnken Factorial Design. Enhanced Carbamazepine Degradation by the Cu-Modified TiO2/Ti3C2 Photocatalyst. Process Saf. Environ. Prot. 2023, 179, 449–461. [Google Scholar] [CrossRef]
- Rossi, L.; Villabrille, P.I.; Marino, D.J.; Rosso, J.A.; Caregnato, P. Degradation of Carbamazepine in Surface Water: Performance of Pd-Modified TiO2 and Ce-Modified ZnO as Photocatalysts. Environ. Sci. Pollut. Res. Int. 2023, 30, 116078–116090. [Google Scholar] [CrossRef] [PubMed]
- Mandyal, P.; Sharma, R.; Sambyal, S.; Islam, N.; Priye, A.; Kumar, M.; Chauhan, V.; Shandilya, P. Cu2O/WO3: A Promising S-Scheme Heterojunction for Photocatalyzed Degradation of Carbamazepine and Reduction of Nitrobenzene. JWPE 2024, 59, 105008. [Google Scholar] [CrossRef]
- Kubiak, A.; Cegłowski, M. Unraveling the Impact of Microwave-Assisted Techniques in the Fabrication of Yttrium-Doped TiO2 Photocatalyst. Sci. Rep. 2024, 14, 262. [Google Scholar] [CrossRef]
- Durán-Álvarez, J.C.; Cortés-Lagunes, S.; Mahjoub, O.; Serrano-Lázaro, A.; Garduño-Jiménez, A.; Zanella, R. Tapping the Tunisian Sunlight’s Potential to Remove Pharmaceuticals in Tap Water and Secondary Effluents: A Comparison of Ag2O/TiO2 and BiOI Photocatalysts and Toxicological Insights. Sep. Purif. Technol. 2024, 335, 126221. [Google Scholar] [CrossRef]
- Mohammed-Amine, E.; Kaltoum, B.; El Mountassir, E.M.; Abdelaziz, A.T.; Stephanie, R.; Stephanie, L.; Anne, P.; Pascal, W.-W.C.; Alrashed, M.M.; Salah, R. Novel Sol-Gel Synthesis of TiO2/BiPO4 Composite for Enhanced Photocatalytic Degradation of Carbamazepine under UV and Visible Light: Kinetic, Identification of Photoproducts and Mechanistic Insights. JWPE 2025, 70, 107098. [Google Scholar] [CrossRef]
- Cabezuelo, O.; Diego-Lopez, A.; Atienzar, P.; Marin, M.L.; Bosca, F. Optimizing the use of light in supported TiO2 photocatalysts: Relevance of the shell thickness. J. Photochem. Photobiol. A 2023, 444, 114917. [Google Scholar] [CrossRef]
- Liou, T.-H.; Liu, R.-T.; Liao, Y.-C.; Ku, C.-E. Green and sustainable synthesis of mesoporous silica from agricultural biowaste and functionalized with TiO2 nanoparticles for highly photoactive performance. Arabian J. Chem. 2024, 17, 105764. [Google Scholar] [CrossRef]
- Mousavi, S.M.; Mohtaram, M.S.; Rasouli, K.; Mohtaram, S.; Rajabi, H.; Sbbaghi, S. Efficient visible-light-driven photocatalytic degradation of antibiotics in water by MXene-derived TiO2-supported SiO2 /Ti3C2 composites: Optimisation, mechanism and toxicity evaluation. Environ. Pollut. 2025, 367, 125624. [Google Scholar] [CrossRef]
- Trindade Barrocas, B.; Moreira Fernandes, S.; Alcobia, T.; Lourenço, M.C.; Conceição Oliveira, M.; Marques, A.C. Optimization of TiO2 loaded sol-gel derived MICROSCAFS® for enhanced minocycline removal from water and real wastewater. J. Sol-Gel Sci. Technol. 2025. [Google Scholar] [CrossRef]














| MSTiR% | (h, k, l) | 2θ | d(h, k, l) a | D(101) b | Degree of Crystallinity c | 
|---|---|---|---|---|---|
| (°) | (nm) | (nm) | (%) | ||
| MSTiM10 | (101) | 25.48 | 0.350 | 8.4 | 13.2 | 
| (200) | 48.23 | 0.189 | |||
| (105) | 54.46 | 0.168 | |||
| (211) | 55.27 | 0.166 | |||
| MSTiP10 | (101) | 25.37 | 0.351 | 9.1 | 11.4 | 
| (200) | 48.05 | 0.189 | |||
| (105) | 54.39 | 0.169 | |||
| (211) | 55.08 | 0.167 | |||
| MSTiPh10 | (101) | 25.47 | 0.350 | 9.0 | 9.2 | 
| (200) | 48.28 | 0.189 | |||
| MSTiM30 | (101) | 25.53 | 0.349 | 8.8 | 11.1 | 
| (200) | 48.24 | 0.189 | |||
| (105) | 54.52 | 0.168 | |||
| (211) | 55.18 | 0.166 | |||
| MSTiP30 | (101) | 25.39 | 0.351 | 9.1 | 8.1 | 
| (200) | 48.05 | 0.189 | |||
| MSTiPh30 | (101) | 25.34 | 0.351 | 10.7 | 6.9 | 
| (200) | 48.13 | 0.189 | 
| MSTiR% | C1s | O1s | Si2p | Ti2p | |
|---|---|---|---|---|---|
| Weight (%) | |||||
| MSTiM10 | 3.75 | 54.52 | 41.27 | 0.45 | |
| MSTiP10 | 4.28 | 54.51 | 40.63 | 0.57 | |
| MSTiPh10 | 3.78 | 55.20 | 40.23 | 0.77 | |
| MSTiM30 | 5.75 | 53.32 | 40.57 | 0.35 | |
| MSTiP30 | 4.52 | 54.69 | 40.53 | 0.25 | |
| MSTiPh30 | 4.50 | 54.61 | 40.43 | 0.45 | |
| MSTiR% | Bandgap Energy (Eg) | Valence Band Maximum Edge Potential (EVBM) | Conduction Band Minimum Edge Potential (ECBM) | ||
|---|---|---|---|---|---|
| (eV) | (VVacuum) | (VNHE) | (VVacuum) | (VNHE) | |
| MSTiM10 | 3.33 | −9.09 | 4.65 | −5.76 | 1.32 | 
| MSTiP10 | 3.33 | −8.88 | 4.44 | −5.55 | 1.11 | 
| MSTiPh10 | 3.33 | −9.05 | 4.61 | −5.72 | 1.28 | 
| MSTiM30 | 3.34 | −9.05 | 4.61 | −5.71 | 1.27 | 
| MSTiP30 | 3.31 | −9.28 | 4.84 | −5.97 | 1.53 | 
| MSTiPh30 | 3.32 | −9.32 | 4.88 | −6.00 | 1.56 | 
| Material | aBET | aDR | Vmicro a | Vmeso b | Vmacro c | Vtotal d | BJH APS e | Ec f | 
|---|---|---|---|---|---|---|---|---|
| (m2 g−1) | (cm3 g−1) | (nm) | (KJ mol−1) | |||||
| MSTiM10 | 608 | 668 | 0.24 | 0.60 | 0.14 | 0.98 | 6.83 | 12.19 | 
| MSTiP10 | 810 | 902 | 0.32 | 0.59 | 0.11 | 1.02 | 6.12 | 12.88 | 
| MSTiPh10 | 1047 | 1191 | 0.42 | 0.67 | 0.20 | 1.28 | 6.31 | 12.57 | 
| MSTiM30 | 753 | 837 | 0.30 | 0.60 | 0.12 | 1.02 | 6.02 | 11.83 | 
| MSTiP30 | 774 | 879 | 0.31 | 0.47 | 0.35 | 1.13 | 7.91 | 13.28 | 
| MSTiPh30 | 921 | 1062 | 0.38 | 0.34 | 0.10 | 0.82 | 5.26 | 13.35 | 
| MSTiR% | C | O | Si | Ti | MPS | S | TiXPS/TiEDX | 
|---|---|---|---|---|---|---|---|
| Weight (%) | (µm) | ||||||
| MSTiM10 | 24.47 | 46.59 | 27.93 | 1.01 | 46.0 | 41.8 | 0.45 | 
| MSTiP10 | 21.63 | 46.04 | 30.98 | 1.36 | 29.6 | 26.7 | 0.42 | 
| MSTiPh10 | 34.41 | 43.30 | 21.18 | 1.10 | 34.8 | 26.6 | 0.70 | 
| MSTiM30 | 31.39 | 42.05 | 26.03 | 0.52 | 37.4 | 31.3 | 0.67 | 
| MSTiP30 | 26.02 | 45.07 | 28.21 | 0.70 | 44.9 | 35.0 | 0.36 | 
| MSTiPh30 | 26.27 | 43.14 | 29.41 | 1.19 | 38.4 | 25.9 | 0.38 | 
| Plants | Used Water | Germinated Seeds | Root Average Length | Stem Average Length | Root + Stem Mean Length | 
|---|---|---|---|---|---|
| (cm) | |||||
| S.A. | Mili Q | 5/10 | 7.4 ± 0.4 | 1.7 ± 0.7 | 9.1 ± 0.4 | 
| CBZ solution | 8/10 | 4.0 ± 0.8 | 1.7 ± 0.9 | 5.8 ± 1.0 | |
| Treated | 7/10 | 4.0 ± 1.0 | 2.0 ± 0.3 | 6.0 ± 1.3 | |
| S.S. | Mili Q | 10/10 | 4.0 ± 0.5 | 0.8 ± 0.3 | 4.8 ± 0.8 | 
| CBZ solution | 9/10 | 3.3 ± 0.5 | 0.4 ± 0.3 | 3.7 ± 0.7 | |
| Treated | 9/10 | 3.7 ± 0.5 | 0.8 ± 0.3 | 4.5 ± 0.9 | |
| L.S. | Mili Q | 10/10 | 6.5 ± 0.1 | 3.0 ± 0.1 | 9.5 ± 0.2 | 
| CBZ solution | 10/10 | 5.1 ± 0.4 | 2.3 ± 0.1 | 7.5 ± 0.5 | |
| Treated | 10/10 | 6.6 ± 0.2 | 2.9 ± 0.1 | 9.5 ± 0.1 | |
| Disclaimer/Publisher’s Note: The statements, opinions and data contained in all publications are solely those of the individual author(s) and contributor(s) and not of MDPI and/or the editor(s). MDPI and/or the editor(s) disclaim responsibility for any injury to people or property resulting from any ideas, methods, instructions or products referred to in the content. | 
© 2025 by the authors. Licensee MDPI, Basel, Switzerland. This article is an open access article distributed under the terms and conditions of the Creative Commons Attribution (CC BY) license (https://creativecommons.org/licenses/by/4.0/).
Share and Cite
Cruz-Quesada, G.; Rosales-Reina, B.; Velo-Gala, I.; Fernández-Poyatos, M.d.P.; Álvarez, M.A.; García-Ruiz, C.; López-Ramón, M.V.; Garrido, J.J. Photocatalytic Enhancement of Anatase Supported on Mesoporous Modified Silica for the Removal of Carbamazepine. Nanomaterials 2025, 15, 1533. https://doi.org/10.3390/nano15191533
Cruz-Quesada G, Rosales-Reina B, Velo-Gala I, Fernández-Poyatos MdP, Álvarez MA, García-Ruiz C, López-Ramón MV, Garrido JJ. Photocatalytic Enhancement of Anatase Supported on Mesoporous Modified Silica for the Removal of Carbamazepine. Nanomaterials. 2025; 15(19):1533. https://doi.org/10.3390/nano15191533
Chicago/Turabian StyleCruz-Quesada, Guillermo, Beatriz Rosales-Reina, Inmaculada Velo-Gala, María del Pilar Fernández-Poyatos, Miguel A. Álvarez, Cristian García-Ruiz, María Victoria López-Ramón, and Julián J. Garrido. 2025. "Photocatalytic Enhancement of Anatase Supported on Mesoporous Modified Silica for the Removal of Carbamazepine" Nanomaterials 15, no. 19: 1533. https://doi.org/10.3390/nano15191533
APA StyleCruz-Quesada, G., Rosales-Reina, B., Velo-Gala, I., Fernández-Poyatos, M. d. P., Álvarez, M. A., García-Ruiz, C., López-Ramón, M. V., & Garrido, J. J. (2025). Photocatalytic Enhancement of Anatase Supported on Mesoporous Modified Silica for the Removal of Carbamazepine. Nanomaterials, 15(19), 1533. https://doi.org/10.3390/nano15191533
 
        






 
       