Lanthanum-Doped Co3O4 Nanocubes Synthesized via Hydrothermal Method for High-Performance Supercapacitors
Abstract
1. Introduction
2. Materials and Methods
2.1. Chemical Materials
2.2. Preparation of Lanthanum-Doped Co3O4 Nanoparticles
2.3. Methods
3. Results and Discussion
3.1. Structure
3.2. XPS Analysis
3.3. Morphology
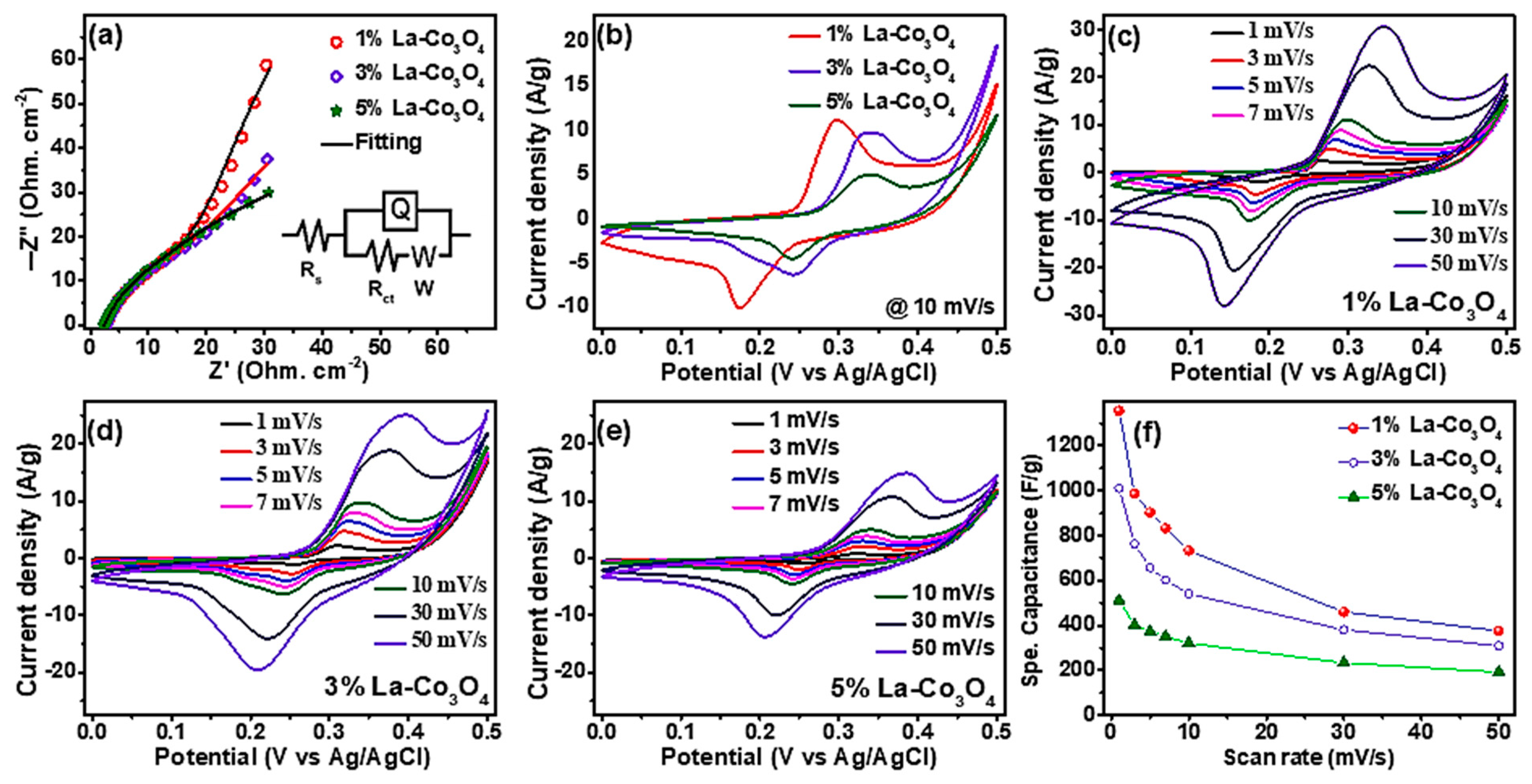
3.4. Electrochemical Properties
4. Conclusions
Supplementary Materials
Author Contributions
Funding
Data Availability Statement
Conflicts of Interest
Abbreviations
| CV | cyclic voltammetry |
| DI | deionized |
| EDLCs | electric double-layer capacitors |
| EIS | electrochemical impedance spectroscopy |
| FESEM | field emission scanning electron microscopy |
| GCD | galvanostatic charge discharge |
| NMP | N-Methyl-2-pyrrolidone |
| PVDF | polyvinylidene fluoride |
| TMO | transition-metal oxide |
| XRD | X-ray diffraction |
| XPS | X-ray photoelectron spectroscopy |
References
- Abbas, Q.; Mirzaeian, M.; Hunt, M.R.C.; Hall, P.; Raza, R. Current state and tuture prospects for electrochemical energy storage and conversion systems. Energies 2020, 13, 5847. [Google Scholar] [CrossRef]
- Ali, F.; Khalid, N.R. Facile synthesis and properties of chromium-doped cobalt oxide (Cr-Doped Co3O4) nanostructures for supercapacitor applications. Appl. Nanosci. 2020, 10, 1481–1488. [Google Scholar] [CrossRef]
- Qiu, Q.; Yang, Y.; Liang, F.; Wang, G.; Han, X.; Zang, C.; Ge, M. Recent advances in biomimetic porous materials for real-world applications. Biomimetics 2025, 10, 521. [Google Scholar] [CrossRef]
- Yoo, H.D.; Markevich, E.; Salitra, G.; Sharon, D.; Aurbach, D. On the challenge of developing advanced technologies for electrochemical energy storage and conversion. Mater. Today 2014, 17, 110–121. [Google Scholar] [CrossRef]
- Cheng, B.-H.; Zeng, R.J.; Jiang, H. Recent developments of post-modification of biochar for electrochemical energy storage. Bioresour. Technol. 2017, 246, 224–233. [Google Scholar] [CrossRef]
- Joseph, J.; Kunhi Kannan, S.; Surendran, K.K.; Navin, B.; Joseph, M.G. Safe and wide voltage electrolytes with n, p-doped porous carbon for supercapacitors. J. Power Sources 2025, 656, 238105. [Google Scholar] [CrossRef]
- Alfadhli, S.; Khasim, S.; Darwish, A.A.A.; Al-nahdi, K.; Abdelkader, M.; Gamal, R.; Hamdalla, T.A. Facile green synthesis of silver doped NiO nanoparticles using aloe vera latex for efficient energy storage and photocatalytic applications. Heliyon 2025, 11, e41322. [Google Scholar] [CrossRef]
- Joseph, N.; Shafi, P.M.; Sethulakshmi, J.S.; Karthik, R.; Bose, A.C.; Shim, J.-J. Three dimensional NiO nanonetwork electrode for efficient electrochemical energy storage application. Electrochim. Acta 2021, 399, 139392. [Google Scholar] [CrossRef]
- Tipsawat, P.; Wongpratat, U.; Phumying, S.; Chanlek, N.; Chokprasombat, K.; Maensiri, S. Magnetite (Fe3O4) nanoparticles: Synthesis, characterization and electrochemical properties. Appl. Surf. Sci. 2018, 446, 287–292. [Google Scholar] [CrossRef]
- Shaik, D.P.; Pitcheri, R.; Qiu, Y.; Hussain, O.M. Hydrothermally synthesized porous Mn3O4 nanoparticles with enhanced electrochemical performance for supercapacitors. Ceram. Int. 2019, 45, 2226–2233. [Google Scholar] [CrossRef]
- Dhananjaya, M.; Prakash, N.G.; Narayana, A.L.; Hussain, O.M. Microstructural and Supercapacitive Properties of One-Dimensional Vanadium Pentoxide Nanowires Synthesized by Hydrothermal Method. Appl. Phys. A 2018, 124, 185. [Google Scholar] [CrossRef]
- Haritha, B.; Deepak, M.; Hussain, O.M.; Julien, C.M. Morphological engineering of battery-type cobalt oxide electrodes for high-performance supercapacitors. Physchem 2025, 5, 11. [Google Scholar] [CrossRef]
- Drummer, S.; Mkhari, O.; Chowdhury, M. Green synthesis of Co3O4 nanoparticles using spent coffee: Application in catalytic and photocatalytic dye degradation. Next Nanotechnol. 2024, 6, 100069. [Google Scholar] [CrossRef]
- Xiao, S.; Xue, Y.; Li, Z.; Wu, C.; Zhang, Y.; Wu, P.; Tang, J.; Zhang, X.; Yuan, H.; Li, Y. High-performance Co3O4 nanoparticle-based gas sensor for leakage detection of eco-friendly insulating gas C4F7N. ACS Sens. 2025, 10, 2976–2985. [Google Scholar] [CrossRef] [PubMed]
- Nguyen, K.N.; Hoang Nguyen, L.B.; Bui, T.K.; Nguyen, K.Q.; Pham, V.V. Review of Water Splitting Electrolysis over Cobalt Oxide Nanomaterials. ACS Appl. Nano Mater. 2025, 8, 3254–3271. [Google Scholar] [CrossRef]
- Sahu, M.; Singh, S.; Prajapati, S.; Verma, D.K.; Shin, D.K. From green chemistry to biomedicine: The sustainable symphony of cobalt oxide nanoparticles. RSC Adv. 2024, 14, 32733–32758. [Google Scholar] [CrossRef]
- Gopalakrishnan, P.P.; Thiyagaraj, S. A dual-function platform of green cobalt oxide nanoparticles for antimicrobial activity and high-performance symmetric supercapacitors. J. Inorg. Organomet. Polym. Mater. 2025. [Google Scholar] [CrossRef]
- Nguyen, D.T.A.; Alene, A.N.; Teshager, A.A.; Worku, A.K.; Abate, G.Y.; Li, H.-T. Enhanced electrochemical activity of boron doped cobalt oxide nanoparticles towards supercapacitor application. Electrochim. Acta 2025, 510, 145318. [Google Scholar] [CrossRef]
- Zhang, L.; Yu, H.; Han, L.; Tao, K. Vacancy engineering of metal–organic framework derivatives for supercapacitors and electrochemical water splitting. Chem. Commun. 2025, 61, 8830–8842. [Google Scholar] [CrossRef]
- Ma, Y.; Bai, Y.; Liang, B.; Yang, R.; Jiang, X.; Zheng, S.; Zhang, C.; Hu, C. Doping-induced morphology modulation for boosting the capacity and stability of nanocrystals assembled Ni1-xCoxSe2. Appl. Surf. Sci. 2022, 579, 152156. [Google Scholar] [CrossRef]
- Karthikeyan, A.; Mariappan, R.; Krishnamoorthy, E.; Bakkiyaraj, R. Effect of nickel doping on cobalt oxide nanoparticles for energy storage applications. Ionics 2024, 30, 2069–2082. [Google Scholar] [CrossRef]
- Karthikeyan, A.; Mariappan, R. Characterization and electrochemical performance of Mn-doped Co3O4 nanoparticles for supercapacitor applications. J. Mater. Sci.: Mater. Electron. 2023, 34, 2092. [Google Scholar] [CrossRef]
- Lee, C.; Kim, S.K.; Choi, J.-H.; Chang, H.; Jang, H.D. Electrochemical performances of iron-cobalt oxides nanoparticles Loaded crumpled graphene for supercapacitor. J. Alloys Compd. 2018, 735, 2030–2037. [Google Scholar] [CrossRef]
- Lu, C.; Yang, Y.; Li, S.; Zhu, M. Nanosheet floral clusters of Fe-doped Co3O4 for high-performance supercapacitors. Mater. Chem. Front. 2024, 8, 2282–2292. [Google Scholar] [CrossRef]
- Kumar, S.; Reddy, L.; Hatshan, M.R.; Roy, N.; Kim, J.S.; Joo, S.W. Comprehensive characterization of octahedral Co3O4 doped with Cu induces oxygen vacancies as a battery-type redox active electrode material for supercapacitors. Ceram. Int. 2024, 50, 34726–34739. [Google Scholar]
- Guo, X.; Liu, Y.; Feng, L.; Xu, P.; Yang, Y.; Gao, X.; Sui, H.; Wang, X.; Yin, X.; Ma, X. Zn-substituted Co3O4 crystal anchored on porous carbon nanofibers for high performance supercapacitors. Surf. Interfaces 2024, 53, 105048. [Google Scholar] [CrossRef]
- Mallikarjuna, K.; Reddy, G.R.; Ghanem, M.A.; Dillip, G.R.; Joo, S.W. Insights of oxygen vacancies engineered structural, morphological, and electrochemical attributes of Cr-doped Co3O4 nanoparticles as redox active battery-type electrodes for hybrid supercapacitors. J. Energy Storage 2024, 100, 113751. [Google Scholar] [CrossRef]
- Annu; Park, S.S.; Alam, M.N.; Yewale, M.; Shin, D.K. Unraveling the electrochemical insights of cobalt oxide/conducting polymer hybrid materials for supercapacitor, battery, and supercapattery applications. Polymers 2024, 16, 2907. [Google Scholar] [CrossRef] [PubMed]
- Deng, S.; Xiao, X.; Chen, G.; Wang, L.; Wang, Y. Cd-doped porous Co3O4 nanosheets as electrode material for high performance supercapacitor application. Electrochim. Acta 2016, 196, 316–327. [Google Scholar] [CrossRef]
- Aadil, M.; Zulfiqar, S.; Shahid, M.; Haider, S.; Shakir, I.; Warsi, M.F. Binder free mesoporous Ag-doped Co3O4 nanosheets with outstanding cyclic stability and rate capability for advanced supercapacitor applications. J. Alloys Compd. 2020, 844, 156062. [Google Scholar] [CrossRef]
- Ali, F.; Khalid, N.R.; Nabi, G.; Ul-Hamid, A.; Ikram, M. Hydrothermal synthesis of cerium-doped Co3O4 nanoflakes as electrode for supercapacitor application. Int. J. Energy Res. 2021, 45, 1999–2010. [Google Scholar] [CrossRef]
- Aslam, S.; Ramay, S.M.; Mahmood, A.; Mustafa, G.M.; Zawar, S.; Atiq, S. Electrochemical performance of transition metal doped Co3O4 as electrode material for supercapacitor applications. J. Sol-Gel Sci. Technol. 2023, 105, 360–369. [Google Scholar] [CrossRef]
- Garcia, M.F.L.; Arzuza, L.C.C.; Neves, G.A.; Loureiro, F.J.A.; Morales, M.A.; Macedo, D.A.; Lira, H.L.; Menezes, R.R. Structure and morphological properties of cobalt-oxide-based (Co3O4) materials as electrodes for supercapacitors: A brief review. Materials 2025, 18, 413. [Google Scholar] [CrossRef]
- Theerthagiri, J.; Durai, G.; Tatarchuk, T.; Sumathi, M.; Kuppusami, P.; Qin, J.; Choi, M.Y. Synthesis of hierarchical structured rare earth metal–doped Co3O4 by polymer combustion method for high performance electrochemical supercapacitor electrode materials. Ionics 2020, 26, 2051–2061. [Google Scholar] [CrossRef]
- Priya, M.; Premkumar, V.K.; Vasantharani, P.; Sivakumar, G. Structural and electrochemical properties of ZnCo2O4 nanoparticles synthesized by hydrothermal method. Vacuum 2019, 167, 307–312. [Google Scholar] [CrossRef]
- Desai, R.S.; Jadhav, V.S.; Morankar, P.J.; Patil, S.B.; Sadale, S.B.; Pardeshi, S.R.; Lad, D.D.; Patil, P.S.; Jeon, C.-W.; Dalavi, D.S. Hydrothermal synthesis of self-supported hierarchical microflowers of Co3O4 nanowires for potential supercapacitor application. J. Electroanal. Chem. 2025, 976, 118800. [Google Scholar] [CrossRef]
- Yuanchun, Q.; Yanbao, Z.; Zhishen, W. Preparation of cobalt oxide nanoparticles and cobalt powders by solvothermal process and their characterization. Mater. Chem. Phys. 2008, 110, 457–462. [Google Scholar] [CrossRef]
- UmaSudharshini, A.; Bououdina, M.; Venkateshwarlu, M.; Manoharan, C.; Dhamodharan, P. Low temperature solvothermal synthesis of pristine Co3O4 nanoparticles as potential supercapacitor. Surf. Interfaces 2020, 19, 100535. [Google Scholar] [CrossRef]
- Turan, E.; Zeybekoğlu, E.; Kul, M. Effects of bath temperature and deposition time on Co3O4 thin films produced by chemical bath deposition. Thin Solid Film. 2019, 692, 137632. [Google Scholar] [CrossRef]
- Soltani, S.; Rozati, S.M.; Askari, M.B. Optical and electrochemical properties of spinel cubic nanostructured thin film Co3O4 prepared by spray pyrolysis. Phys. B: Condens. Matter 2022, 625, 413464. [Google Scholar] [CrossRef]
- Shaheen, I.; Ahmad, K.S.; Zequine, C.; Gupta, R.K.; Thomas, A.G.; Malik, M.A. Modified sol-gel synthesis of Co3O4 nanoparticles using organic template for electrochemical energy storage. Energy 2021, 218, 119502. [Google Scholar] [CrossRef]
- Jogdand, S.S.; Joshi, S.S. Effect of polymer combustion synthesis on thermal, spectroscopic, structural, and magnetic properties of Co3O4 nanoparticles. Polyhedron 2025, 269, 117419. [Google Scholar] [CrossRef]
- Guru Prakash, N.; Dhananjaya, M.; Lakshmi Narayana, A.; Hussain, O.M. One-dimensional MoO3/Pd nanocomposite electrodes for high performance supercapacitors. Mater. Res. Express 2019, 6, 085543. [Google Scholar] [CrossRef]
- Shanmugavalli, V.; Vishista, K. Low-cost synthesis of cubic spinel structured high efficient NiCo2O4/polyaniline nanocomposite for supercapacitor application. Mater. Res. Express 2019, 6, 045021. [Google Scholar] [CrossRef]
- Yewale, M.A.; Kadam, R.A.; Kaushik, N.K.; Koduru, J.R.; Velhal, N.B.; Nakate, U.T.; Jadhavar, A.A.; Sali, N.D.; Shin, D.K. Interconnected plate-like NiCo2O4 microstructures for supercapacitor application. Mater. Sci. Eng. B 2023, 287, 116072. [Google Scholar] [CrossRef]
- Efremova, A.; Rajkumar, T.; Szamosvölgyi, Á.; Sápi, A.; Baán, K.; Szenti, I.; Gómez-Pérez, J.; Varga, G.; Kiss, J.; Halasi, G.; et al. Complexity of a Co3O4 system under ambient-pressure CO2 methanation: Influence of bulk and surface properties on the catalytic performance. J. Phys. Chem. C 2021, 125, 7130–7141. [Google Scholar] [CrossRef]
- Wang, Y.; Wei, X.; Hu, X.; Zhou, W.; Zhao, Y. Effect of formic acid treatment on the structure and catalytic activity of Co3O4 for N2O decomposition. Catal. Lett. 2019, 149, 1026–1036. [Google Scholar] [CrossRef]
- Lao, Y.; Zhu, N.; Jiang, X.; Zhao, J.; Dai, Q.; Wang, X. Effect of Ru on the activity of Co3O4 catalysts for chlorinated aromatics oxidation. Catal. Sci. Technol. 2018, 8, 4797–4811. [Google Scholar] [CrossRef]
- Cao, Y.; Wu, Y.; Zhang, Y.; Zhou, J.; Xiao, W.; Gu, D. Highly ordered mesoporous cobalt oxide as heterogeneous catalyst for aerobic oxidative aromatization of N-heterocycles. ChemCatChem 2021, 13, 3679–3686. [Google Scholar] [CrossRef]
- Bae, J.; Shin, D.; Jeong, H.; Kim, B.-S.; Han, J.W.; Lee, H. Highly water-resistant La-doped Co3O4 catalyst for CO oxidation. ACS Catal. 2019, 9, 10093–10100. [Google Scholar] [CrossRef]
- Wei, X.; Barkaoui, S.; Chen, J.; Cao, G.; Wu, Z.; Wang, F.; Li, G. Investigation of Au/Co3O4 nanocomposites in glycol oxidation by tailoring Co3O4 morphology. Nanoscale Adv. 2021, 3, 1741–1746. [Google Scholar] [CrossRef]
- Gao, L.; Yao, Y.; Ma, Y.; Huang, J.; Chen, Y.; Chen, L.; Jia, L. La-doped LaFeCoOOH bifunctional materials for oxygen evolution reaction and supercapacitors. Adv. Funct. Mater. 2025, 36, 2507282. [Google Scholar] [CrossRef]
- Liu, M.; Bao, M.; Cao, H.; Yu, X.; Zhao, S.Q. Rare earth induced lattice distortion of Bi2WO6 to effectively improve photocatalytic performance: Experimental and DFT calculations. Opt. Mater. 2024, 155, 115798. [Google Scholar] [CrossRef]
- Das, D.; Prakash, J.; Bandyopadhyay, A.; Balhara, A.; Goutam, U.K.; Acharya, R.; Gupta, S.K.; Sudarshan, K. Modulating the effective ionic radii of trivalent dopants in ceria using a combination of dopants to improve catalytic efficiency for the oxygen evolution reaction. RSC Adv. 2024, 14, 17801–17813. [Google Scholar] [CrossRef] [PubMed]
- Rosaiah, P.; Zhu, J.; Hussain, O.M.; Qiu, Y. Facile and cost-effective synthesis of flower-like RGO/Fe3O4 nanocomposites with ultra-long cycling stability for supercapacitors. Ionics 2019, 25, 655–664. [Google Scholar] [CrossRef]
- Merum, D.; Pitcheri, R.; Gonuguntla, V.; Joo, S.W. Synthesis and properties of oxygen-deficient cobalt oxide nanocubes for supercapacitor application. Mater. Lett. 2023, 347, 134585. [Google Scholar] [CrossRef]
- Pitcheri, R.; Mooni, S.P.; Radhalayam, D.; Nora, M.; Roy, S.; Al-Zahrani, F.A.M.; Suneetha, M. Effect of Ce-doping on the structural, morphological, and electrochemical features of Co3O4 nanoparticles synthesized by solution combustion method for battery-type supercapacitors. Ceram. Int. 2024, 50, 50504–50515. [Google Scholar] [CrossRef]
- Kuang, L.; Ji, F.; Pan, X.; Wang, D.; Chen, X.; Jiang, D.; Zhang, Y.; Ding, B. Mesoporous MnCo2O4.5 nanoneedle arrays electrode for high-performance asymmetric supercapacitor application. Chem. Eng. J. 2017, 315, 491–499. [Google Scholar] [CrossRef]
- Merum, D.; Parvin, N.; Vattikuti, S.V.P.; Nallapureddy, R.R.; Pitcheri, R.; Shkir, M.; Manthrammel, M.A.; Banerjee, A.N.; Joo, S.W. Impact of Co-doping on the microstructural and electrochemical features of mesoporous 3D oval–shaped Ni3-xCoxV2O8 electrodes for high-performance hybrid supercapacitors. J. Energy Storage 2023, 61, 106674. [Google Scholar] [CrossRef]
- Shaik, D.P.M.D.; Kumar, M.V.S.; Reddy, P.N.K.; Hussain, O.M. High electrochemical performance of spinel Mn3O4 over Co3O4 nanocrystals. J. Mol. Struct. 2021, 1241, 130619. [Google Scholar] [CrossRef]
- Lakshmi Narayana, A.; Dhananjaya, M.; Guru Prakash, N.; Hussain, O.M.; Julien, C.M. Nanocrystalline Li2TiO3 electrodes for supercapattery application. Ionics 2017, 23, 3419–3428. [Google Scholar] [CrossRef]
- Deepak, M.; Hussain, O.M.; Julien, C.M. Microstructure and electrochemical properties of pure and vanadium-doped Li4Ti5O12 nanoflakes for high performance supercapacitors. Inorganics 2025, 13, 223. [Google Scholar] [CrossRef]
- Naresh, B.; Sreekanth, T.V.M.; Suma, C.N.; Sunil Kumar, K.; Yoo, K.; Kim, J. Urea-driven synthesis of MnCo2O4 nanocomposites for high-performance supercapacitors. J. Alloys Compd. 2025, 1037, 182232. [Google Scholar] [CrossRef]
- Aboelazm, E.A.; Ali, G.A.; Algarni, H.; Yin, H.; Zhong, Y.L.; Chong, K.F. Magnetic electrodeposition of the hierarchical cobalt oxide nanostructure from spent lithium-ion batteries: Its application as a supercapacitor electrode. J. Phys. Chem. C 2018, 122, 12200–12206. [Google Scholar] [CrossRef]
- Wang, D.; Wang, Q.; Wang, T. Morphology-controllable synthesis of cobalt oxalates and their conversion to mesoporous Co3O4 nanostructures for application in supercapacitors. Inorg. Chem. 2011, 6482–6492. [Google Scholar] [CrossRef] [PubMed]
- Ali, G.A.; Fouad, O.A.; Makhlouf, S.A.; Yusoff, M.M.; Chong, K.F. Co3O4/SiO2 nanocomposites for supercapacitor application. J. Solid State Electrochem. 2014, 18, 2505–2512. [Google Scholar] [CrossRef]
- Alrowaily, A.W.; Abdullah, M.; Alotaibi, B.M.; Alyousef, H.A.; Alotiby, M.F.; Aman, S.; Al-Sehemi, A.G.; Henaish, A.M.A. Hydrothermally synthesized neodymium-doped Co3O4 nanostructures as electrode for supercapacitor applications. J. Mater. Sci. Mater. Electron. 2025, 36, 246. [Google Scholar] [CrossRef]
- Yang, D.; Xu, M.; Liang, X.; Wang, J.; Fang, W.; Zhu, C.; Wang, F. Facile synthesis of Pr-doped Co3O4 nanoflakes on the nickel-foam for high performance supercapacitors. Electrochim. Acta 2022, 406, 139815. [Google Scholar] [CrossRef]
- Wei, C.; Liu, K.; Tao, J.; Kang, X.; Hou, H.; Cheng, C.; Zhang, D. Self-template synthesis of hybrid porous Co3O4-CeO2 hollow polyhedrons for high-performance supercapacitors. Chem. Asian J. 2018, 13, 111–117. [Google Scholar] [CrossRef] [PubMed]
- He, Y.; Zhou, W.; Li, D.; Liang, Y.; Chao, S.; Zhao, X.; Zhang, M.; Xu, J. Rare earth doping engineering tailoring advanced oxygen-vacancy Co3O4 with tunable structures for high-efficiency energy storage. Small 2023, 19, 2206956. [Google Scholar] [CrossRef]










| Sample | Crystallite Size (nm) | Dislocation Density (Lines/m2) | Microstrain (rd) |
|---|---|---|---|
| pristine | 30.6 | 1.060 × 1015 | 0.0033 |
| 1% La-Co3O4 | 32.4 | 0.954 × 1015 | 0.0036 |
| 3% La-Co3O4 | 17.5 | 3.273 × 1015 | 0.0066 |
| 5% La-Co3O4 | 38.0 | 0.692 × 1015 | 0.0030 |
| Scan Rate (mV s−1) | Specific Capacitance (F g−1) | ||
|---|---|---|---|
| 1% La-Co3O4 | 3% La-Co3O4 | 5% La-Co3O4 | |
| 1 | 1355 | 1011 | 511 |
| 3 | 985 | 763 | 400 |
| 5 | 903 | 656 | 372 |
| 7 | 832 | 602 | 349 |
| 10 | 732 | 540 | 320 |
| 30 | 459 | 379 | 233 |
| 50 | 375 | 308 | 191 |
| Doping | Synthesis | Specific Capacitance | Stability | Ref. |
|---|---|---|---|---|
| Sm3+ (5.71 at%) | combustion | 1016 F g−1 @ 5 mV s−1 | 93% (5000) | [34] |
| Gd3+ (5.46 at%) | combustion | 764 F g−1 @ 5 mV s−1 | - | [34] |
| La3+ (6.12 at%) | combustion | 518 F g−1 @ 5 mV s−1 | - | [34] |
| Nd3+ (5 mol%) | hydrothermal | 1398 F g−1 @ 1 A g−1 | 95% (1000) | [67] |
| Pr3+ (2.79 at.%) | hydrothermal | 99 F g−1@ 1 A g−1 | 88% (5000) | [68] |
| Ce3+ | cation exchange | 1288 F g−1 @ 2.5 A g−1 | 96.7% (6000) | [69] |
| La3+ (0.92 mol%) | precipitation | 471 F g−1 @ 2 A g−1 | 93.3% (10,000) | [70] |
| Nd3+ (1.81 mol%) | precipitation | 662 F g−1 @ 2 A g−1 | 93.5% (10,000 | [70] |
| Eu3+ (3.71 mol%) | precipitation | 1021 F g−1 @ 2 A g−1 | 91.8% (10,000) | [70] |
| Ce3+ (5 at%) | hydrothermal | 1309 F g−1 @ 1 A g−1 | 90% (2000) | [31] |
| La3+ (1 mol%) | hydrothermal | 1312 F g−1 @ 1 A g−1 | 79.8% @ 5 A g−1 (10,000) | this work |
Disclaimer/Publisher’s Note: The statements, opinions and data contained in all publications are solely those of the individual author(s) and contributor(s) and not of MDPI and/or the editor(s). MDPI and/or the editor(s) disclaim responsibility for any injury to people or property resulting from any ideas, methods, instructions or products referred to in the content. |
© 2025 by the authors. Licensee MDPI, Basel, Switzerland. This article is an open access article distributed under the terms and conditions of the Creative Commons Attribution (CC BY) license (https://creativecommons.org/licenses/by/4.0/).
Share and Cite
Haritha, B.; Deepak, M.; Dhananjaya, M.; Hussain, O.M.; Julien, C.M. Lanthanum-Doped Co3O4 Nanocubes Synthesized via Hydrothermal Method for High-Performance Supercapacitors. Nanomaterials 2025, 15, 1515. https://doi.org/10.3390/nano15191515
Haritha B, Deepak M, Dhananjaya M, Hussain OM, Julien CM. Lanthanum-Doped Co3O4 Nanocubes Synthesized via Hydrothermal Method for High-Performance Supercapacitors. Nanomaterials. 2025; 15(19):1515. https://doi.org/10.3390/nano15191515
Chicago/Turabian StyleHaritha, Boddu, Mudda Deepak, Merum Dhananjaya, Obili M. Hussain, and Christian M. Julien. 2025. "Lanthanum-Doped Co3O4 Nanocubes Synthesized via Hydrothermal Method for High-Performance Supercapacitors" Nanomaterials 15, no. 19: 1515. https://doi.org/10.3390/nano15191515
APA StyleHaritha, B., Deepak, M., Dhananjaya, M., Hussain, O. M., & Julien, C. M. (2025). Lanthanum-Doped Co3O4 Nanocubes Synthesized via Hydrothermal Method for High-Performance Supercapacitors. Nanomaterials, 15(19), 1515. https://doi.org/10.3390/nano15191515

