Effect of Chromium Adhesion Layer Thickness on Contact Resistance and Schottky Barrier Characteristics in WSe2 Field-Effect Transistor
Abstract
1. Introduction
2. Experimental Methods
3. Results and Discussion
3.1. Calculation of Contact Resistance Using TLM
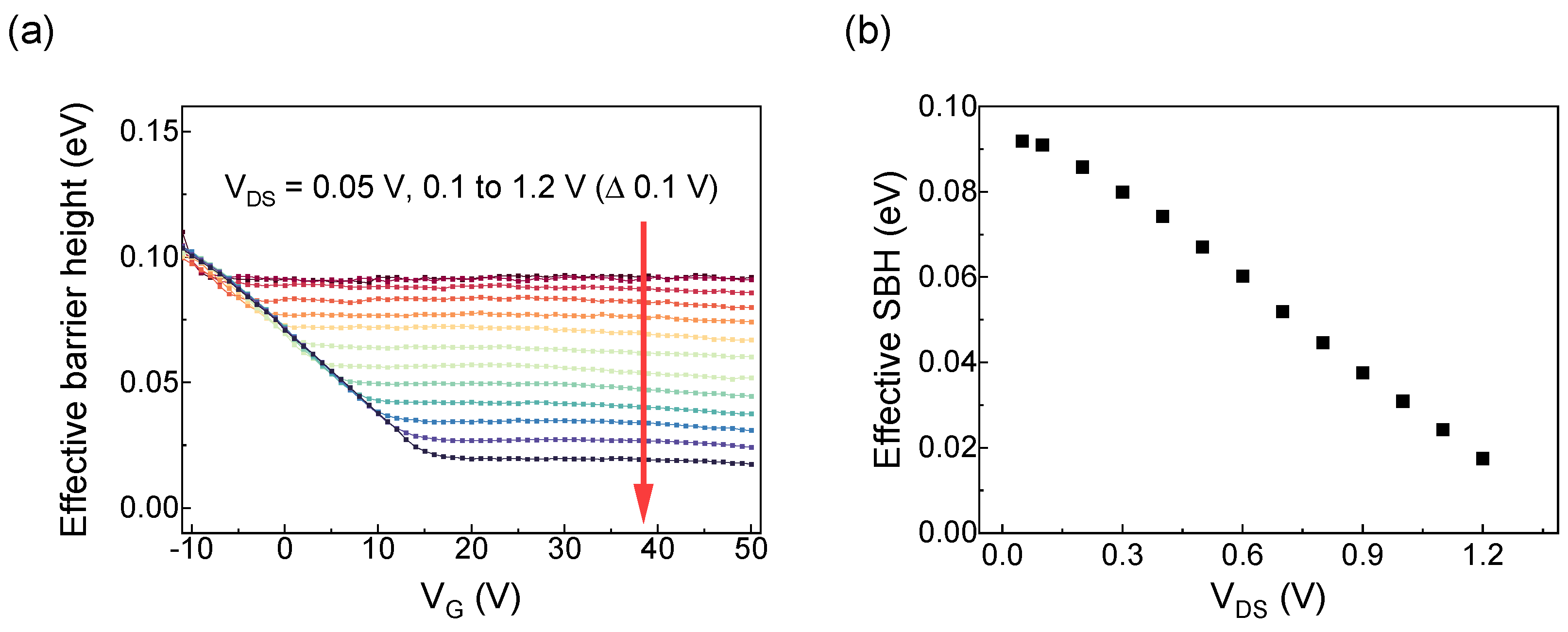
3.2. Schottky Barrier Height by Cr Thickness
4. Conclusions
Author Contributions
Funding
Data Availability Statement
Conflicts of Interest
References
- Chuang, H.J.; Tan, X.; Ghimire, N.J.; Perera, M.M.; Chamlagain, B.; Cheng, M.M.; Yan, J.; Mandrus, D.; Tomanek, D.; Zhou, Z. High mobility WSe2 p- and n-type field-effect transistors contacted by highly doped graphene for low-resistance contacts. Nano Lett. 2014, 14, 3594–3601. [Google Scholar] [CrossRef]
- Movva, H.C.P.; Rai, A.; Kang, S.; Kim, K.; Fallahazad, B.; Taniguchi, T.; Watanabe, K.; Tutuc, E.; Banerjee, S.K. High-Mobility Holes in Dual-Gated WSe2 Field-Effect Transistors. ACS Nano 2015, 9, 10402–10410. [Google Scholar] [CrossRef]
- Novoselov, K.S.; Mishchenko, A.; Carvalho, A.; Neto, A.H.C. 2D materials and van der Waals heterostructures. Science 2016, 353, aac9439. [Google Scholar] [CrossRef] [PubMed]
- Ma, L.; Tao, Q.; Chen, Y.; Lu, Z.; Liu, L.; Li, Z.; Lu, D.; Wang, Y.; Liao, L.; Liu, Y. Realizing On/Off Ratios over 10(4) for Sub–2 nm Vertical Transistors. Nano Lett. 2023, 23, 8303–8309. [Google Scholar] [CrossRef] [PubMed]
- Kim, S.; Konar, A.; Hwang, W.-S.; Lee, J.H.; Lee, J.; Yang, J.; Jung, C.; Kim, H.; Yoo, J.-B.; Choi, J.-Y.; et al. High-mobility and low-power thin-film transistors based on multilayer MoS2 crystals. Nat. Commun. 2012, 3, 1011. [Google Scholar] [CrossRef] [PubMed]
- Zhou, C.; Wang, X.; Raju, S.; Lin, Z.; Villaroman, D.; Huang, B.; Chan, H.L.-W.; Chan, M.; Chai, Y. Low voltage and high ON/OFF ratio field-effect transistors based on CVD MoS2 and ultra high-k gate dielectric PZT. Nanoscale 2015, 7, 8695–8700. [Google Scholar] [CrossRef]
- Li, W.; Ning, H.; Yu, Z.; Shi, Y.; Wang, X. Reducing the power consumption of two-dimensional logic transistors. J. Semicond. 2019, 40, 091002. [Google Scholar] [CrossRef]
- Shen, P.-C.; Su, C.; Lin, Y.; Chou, A.-S.; Cheng, C.-C.; Park, J.-H.; Chiu, M.-H.; Lu, A.-Y.; Tang, H.-L.; Tavakoli, M.M.; et al. Ultralow contact resistance between semimetal and monolayer semiconductors. Nature 2021, 593, 211–217. [Google Scholar] [CrossRef]
- Das, S.; Sebastian, A.; Pop, E.; McClellan, C.J.; Franklin, A.D.; Grasser, T.; Knobloch, T.; Illarionov, Y.; Penumatcha, A.V.; Appenzeller, J.; et al. Transistors based on two-dimensional materials for future integrated circuits. Nat. Electron. 2021, 4, 786–799. [Google Scholar] [CrossRef]
- Bao, W.; Liu, G.; Zhao, Z.; Zhang, H.; Yan, D.; Deshpande, A.; LeRoy, B.; Lau, C.N. Lithography-free fabrication of high quality substrate-supported and freestanding graphene devices. Nano Res. 2010, 3, 98–102. [Google Scholar] [CrossRef]
- Liang, J.; Xu, K.; Toncini, B.; Bersch, B.; Jariwala, B.; Lin, Y.C.; Robinson, J.; Fullerton-Shirey, S.K. Impact of Post-Lithography Polymer Residue on the Electrical Characteristics of MoS2 and WSe2 Field Effect Transistors. Adv. Mater. Interfaces 2018, 6, 1801321. [Google Scholar] [CrossRef]
- Kwon, G.; Choi, Y.-H.; Lee, H.; Kim, H.-S.; Jeong, J.; Jeong, K.; Baik, M.; Kwon, H.; Ahn, J.; Lee, E.; et al. Interaction- and defect-free van der Waals contacts between metals and two-dimensional semiconductors. Nat. Electron. 2022, 5, 241–247. [Google Scholar] [CrossRef]
- Jung, Y.; Choi, M.S.; Nipane, A.; Borah, A.; Kim, B.; Zangiabadi, A.; Taniguchi, T.; Watanabe, K.; Yoo, W.J.; Hone, J.; et al. Transferred via contacts as a platform for ideal two-dimensional transistors. Nat. Electron. 2019, 2, 187–194. [Google Scholar] [CrossRef]
- Kong, L.; Zhang, X.; Tao, Q.; Zhang, M.; Dang, W.; Li, Z.; Feng, L.; Liao, L.; Duan, X.; Liu, Y. Doping-free complementary WSe2 circuit via van der Waals metal integration. Nat. Commun. 2020, 11, 1866. [Google Scholar] [CrossRef] [PubMed]
- Liu, Y.; Guo, J.; Zhu, E.; Liao, L.; Lee, S.J.; Ding, M.; Shakir, I.; Gambin, V.; Huang, Y.; Duan, X. Approaching the Schottky–Mott limit in van der Waals metal–semiconductor junctions. Nature 2018, 557, 696–700. [Google Scholar] [CrossRef] [PubMed]
- Kang, J.; Liu, W.; Sarkar, D.; Jena, D.; Banerjee, K. Computational Study of Metal Contacts to Monolayer Transition-Metal Dichalcogenide Semiconductors. Phys. Rev. X 2014, 4, 031005. [Google Scholar] [CrossRef]
- Popov, I.; Seifert, G.; Tomanek, D. Designing electrical contacts to MoS2 monolayers: A computational study. Phys. Rev. Lett. 2012, 108, 156802. [Google Scholar] [CrossRef]
- Liu, W.; Kang, J.; Sarkar, D.; Khatami, Y.; Jena, D.; Banerjee, K. Role of Metal Contacts in Designing High-Performance Monolayer n-Type WSe2 Field Effect Transistors. Nano Lett. 2013, 13, 1983–1990. [Google Scholar] [CrossRef]
- Iwasaki, T.; Endo, K.; Watanabe, E.; Tsuya, D.; Morita, Y.; Nakaharai, S.; Noguchi, Y.; Wakayama, Y.; Watanabe, K.; Taniguchi, T.; et al. Bubble-Free Transfer Technique for High-Quality Graphene/Hexagonal Boron Nitride van der Waals Heterostructures. ACS Appl. Mater. Interfaces 2020, 12, 8533–8538. [Google Scholar] [CrossRef]
- Lee, C.; Rathi, S.; Khan, M.A.; Lim, D.; Kim, Y.; Yun, S.J.; Youn, D.-H.; Watanabe, K.; Taniguchi, T.; Kim, G.-H. Comparison of trapped charges and hysteresis behavior in hBN encapsulated single MoS2 flake based field effect transistors on SiO2 and hBN substrates. Nanotechnology 2018, 29, 335202. [Google Scholar] [CrossRef]
- Lee, G.-H.; Yu, Y.-J.; Cui, X.; Petrone, N.; Lee, C.-H.; Choi, M.S.; Lee, D.-Y.; Lee, C.; Yoo, W.J.; Watanabe, K.; et al. Flexible and Transparent MoS2 Field-Effect Transistors on Hexagonal Boron Nitride-Graphene Heterostructures. ACS Nano 2013, 7, 7931–7936. [Google Scholar] [CrossRef]
- Lee, S.-Y.; Kim, S.-H.; Watanabe, K.; Taniguchi, T.; Yee, K.-J. Role of hexagonal boron nitride configuration in gate-induced hysteresis of WSe2 field-effect transistors. Curr. Appl. Phys. 2024, 65, 41–46. [Google Scholar] [CrossRef]
- Mitta, S.B.; Choi, M.S.; Nipane, A.; Ali, F.; Kim, C.; Teherani, J.T.; Hone, J.; Yoo, W.J. Electrical characterization of 2D materials-based field-effect transistors. 2D Mater. 2020, 8, 012002. [Google Scholar] [CrossRef]
- Late, D.J.; Liu, B.; Matte, H.S.S.R.; Dravid, V.P.; Rao, C.N.R. Hysteresis in Single–Layer MoS2 Field Effect Transistors. ACS Nano 2012, 6, 5635–5641. [Google Scholar] [CrossRef]
- Pudasaini, P.R.; Oyedele, A.; Zhang, C.; Stanford, M.G.; Cross, N.; Wong, A.T.; Hoffman, A.N.; Xiao, K.; Duscher, G.; Mandrus, D.G.; et al. High-performance multilayer WSe2 field-effect transistors with carrier type control. Nano Res. 2017, 11, 722–730. [Google Scholar] [CrossRef]
- Oh, G.H.; Kim, J.W.; Song, J.M.; Seo, D.H.; Park, S.; Bae, H.; Kim, T. Improved electrical contact to multilayer MoS2-based field-effect transistor by tunable tellurium substitutional doping via MOCVD. Mater. Sci. Semicond. Process. 2025, 188, 109244. [Google Scholar] [CrossRef]
- Sebastian, A.; Pendurthi, R.; Choudhury, T.H.; Redwing, J.M.; Das, S. Benchmarking monolayer MoS2 and WS2 field-effect transistors. Nat. Commun. 2021, 12, 693. [Google Scholar] [CrossRef]
- Das, S.; Chen, H.Y.; Penumatcha, A.V.; Appenzeller, J. High Performance Multilayer MoS2 Transistors with Scandium Contacts. Nano Lett. 2013, 13, 100–105. [Google Scholar] [CrossRef] [PubMed]
- Choi, D.; Jeon, J.; Park, T.-E.; Ju, B.-K.; Lee, K.-Y. Schottky barrier height engineering on MoS2 field-effect transistors using a polymer surface modifier on a contact electrode. Nanoscale Res. Lett. 2023, 18, 80. [Google Scholar] [CrossRef] [PubMed]
- Kim, G.-S.; Kim, S.-H.; Park, J.; Han, K.H.; Kim, J.; Yu, H.-Y. Schottky Barrier Height Engineering for Electrical Contacts of Multilayered MoS2 Transistors with Reduction of Metal-Induced Gap States. ACS Nano 2018, 12, 6292–6300. [Google Scholar] [CrossRef]
- Deylgat, E.; Chen, E.; Fischetti, M.V.; Sorée, B.; Vandenberghe, W.G. Image-force barrier lowering in top- and side-contacted two-dimensional materials. Solid-State Electron. 2022, 198, 108458. [Google Scholar] [CrossRef]
- Vaknin, Y.; Dagan, R.; Rosenwaks, Y. Schottky Barrier Height and Image Force Lowering in Monolayer MoS2 Field Effect Transistors. Nanomaterials 2020, 10, 2346. [Google Scholar] [CrossRef] [PubMed]
- Evans, S.R.; Deylgat, E.; Chen, E.; Vandenberghe, W.G. Image-force barrier lowering of Schottky barriers in two-dimensional materials as a function of metal contact angle. Phys. Rev. Appl. 2023, 20, 044003. [Google Scholar] [CrossRef]
- Yang, K.; Liu, H.; Wang, S.; Li, W.; Han, T. A Horizontal-Gate Monolayer MoS2 Transistor Based on Image Force Barrier Reduction. Nanomaterials 2019, 9, 1245. [Google Scholar] [CrossRef] [PubMed]






Disclaimer/Publisher’s Note: The statements, opinions and data contained in all publications are solely those of the individual author(s) and contributor(s) and not of MDPI and/or the editor(s). MDPI and/or the editor(s) disclaim responsibility for any injury to people or property resulting from any ideas, methods, instructions or products referred to in the content. |
© 2025 by the authors. Licensee MDPI, Basel, Switzerland. This article is an open access article distributed under the terms and conditions of the Creative Commons Attribution (CC BY) license (https://creativecommons.org/licenses/by/4.0/).
Share and Cite
Kim, S.-H.; Lee, S.-Y.; Kim, T.-J.; Kyhm, K.; Watanabe, K.; Taniguchi, T.; Yee, K.-J. Effect of Chromium Adhesion Layer Thickness on Contact Resistance and Schottky Barrier Characteristics in WSe2 Field-Effect Transistor. Nanomaterials 2025, 15, 1413. https://doi.org/10.3390/nano15181413
Kim S-H, Lee S-Y, Kim T-J, Kyhm K, Watanabe K, Taniguchi T, Yee K-J. Effect of Chromium Adhesion Layer Thickness on Contact Resistance and Schottky Barrier Characteristics in WSe2 Field-Effect Transistor. Nanomaterials. 2025; 15(18):1413. https://doi.org/10.3390/nano15181413
Chicago/Turabian StyleKim, Sung-Ha, Seong-Yeon Lee, Tae-Jeong Kim, Kwangseuk Kyhm, Kenji Watanabe, Takashi Taniguchi, and Ki-Ju Yee. 2025. "Effect of Chromium Adhesion Layer Thickness on Contact Resistance and Schottky Barrier Characteristics in WSe2 Field-Effect Transistor" Nanomaterials 15, no. 18: 1413. https://doi.org/10.3390/nano15181413
APA StyleKim, S.-H., Lee, S.-Y., Kim, T.-J., Kyhm, K., Watanabe, K., Taniguchi, T., & Yee, K.-J. (2025). Effect of Chromium Adhesion Layer Thickness on Contact Resistance and Schottky Barrier Characteristics in WSe2 Field-Effect Transistor. Nanomaterials, 15(18), 1413. https://doi.org/10.3390/nano15181413

