Convergence of Thermistor Materials and Focal Plane Arrays in Uncooled Microbolometers: Trends and Perspectives
Abstract
1. Introduction
2. Fundamentals of Thermal Detectors
2.1. Basic Operation Principles
2.2. Figures of Merit
2.2.1. Temperature Coefficient of Resistance (TCR)
2.2.2. Responsivity (ℜ)
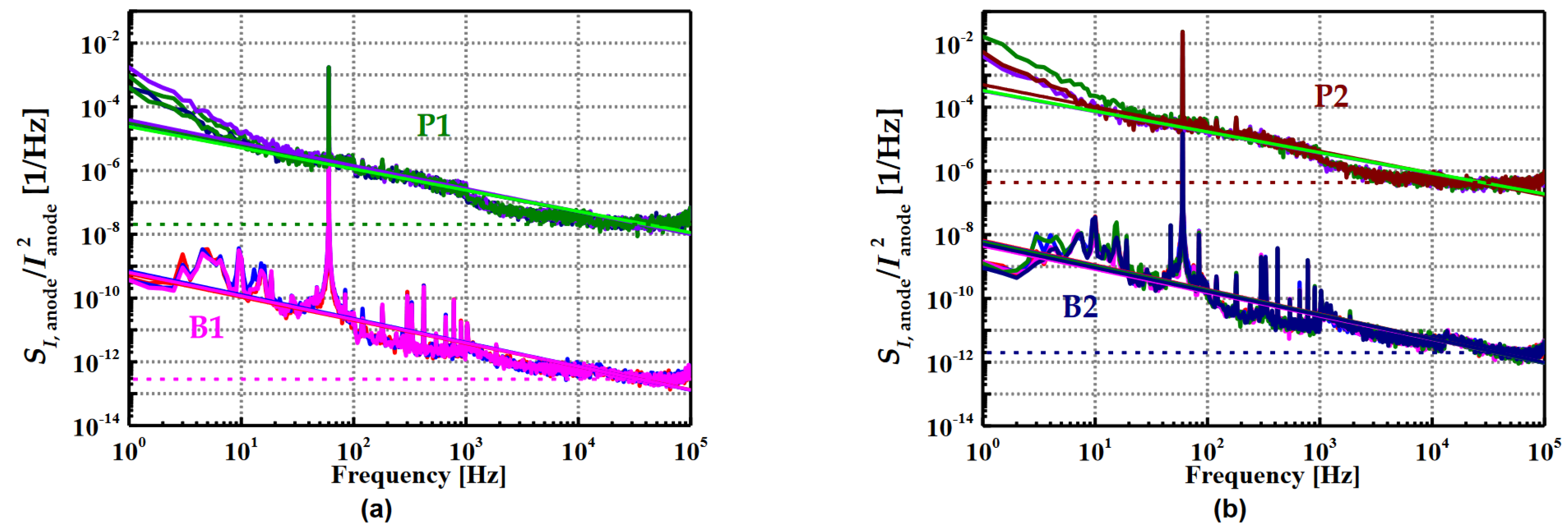
2.2.3. Noise Equivalent Power
2.2.4. Noise Equivalent Temperature Difference
2.2.5. Specific Detectivity (D*)
3. Thermistor Materials for Microbolometers
3.1. Vanadium Oxide Thermistor Material
3.2. Si and Its Derivatives as Thermistor Materials
3.3. TiOx Thermistor Materials
3.4. Other Thermistor Materials
4. Microbolometer Physical Design and Manufacturing
4.1. Thermal Isolation Structure and Optical Design
4.2. Fabrication Process Flow
4.3. Development of IRFPA Microbolometers
5. Conclusions and Future Perspectives
Funding
Data Availability Statement
Conflicts of Interest
References
- Hsu, C.-Y.; Lai, B.; Guan-Yu, L.; Pei, Z. High Detectivity Ge Photodetector at 940 Nm Achieved by Growing Strained-Ge with a Top Si Stressor. Opt. Express 2024, 32, 10490–10504. [Google Scholar] [CrossRef]
- Sun, B.; Najarian, A.M.; Sagar, L.K.; Biondi, M.; Choi, M.; Li, X.; Levina, L.; Baek, S.; Zheng, C.; Lee, S.; et al. Fast Near-Infrared Photodetection Using III–V Colloidal Quantum Dots. Adv. Mater. 2022, 34, 2203039. [Google Scholar] [CrossRef]
- Yakimov, A.I.; Kirienko, V.V.; Utkin, D.E.; Dvurechenskii, A.V. Light-Trapping-Enhanced Photodetection in Ge/Si Quantum Dot Photodiodes Containing Microhole Arrays with Different Hole Depths. Nanomaterials 2022, 12, 2993. [Google Scholar] [CrossRef]
- Ou, F.; Van Klinken, A.; Ševo, P.; Petruzzella, M.; Li, C.; Van Elst, D.M.J.; Hakkel, K.D.; Pagliano, F.; Van Veldhoven, R.P.J.; Fiore, A. Handheld NIR Spectral Sensor Module Based on a Fully-Integrated Detector Array. Sensors 2022, 22, 7027. [Google Scholar] [CrossRef]
- Cao, F.; Chen, J.; Yu, D.; Wang, S.; Xu, X.; Liu, J.; Han, Z.; Huang, B.; Gu, Y.; Choy, K.L.; et al. Bionic Detectors Based on Low-Bandgap Inorganic Perovskite for Selective NIR-I Photon Detection and Imaging. Adv. Mater. 2020, 32, 1905362. [Google Scholar] [CrossRef]
- Hwang, D.K.; Lee, Y.T.; Lee, H.S.; Lee, Y.J.; Shokouh, S.H.; Kyhm, J.; Lee, J.; Kim, H.H.; Yoo, T.-H.; Nam, S.H.; et al. Ultrasensitive PbS Quantum-Dot-Sensitized InGaZnO Hybrid Photoinverter for near-Infrared Detection and Imaging with High Photogain. NPG Asia Mater. 2016, 8, e233. [Google Scholar] [CrossRef]
- Yu, J.; Zhao, X.; Miao, Y.; Su, J.; Kong, Z.; Li, H.; Wu, Y.; Zhou, Z.; Wang, B.; Ye, T.; et al. High-Performance Ge PIN Photodiodes on a 200 Mm Insulator with a Resonant Cavity Structure and Monolayer Graphene Absorber for SWIR Detection. ACS Appl. Nano Mater. 2024, 7, 5889–5898. [Google Scholar] [CrossRef]
- Yao, L.; Ji, R.; Wu, S.; Jiao, J.; He, F.; Wang, D.; Wang, J.; Li, C.; Huang, W.; Ke, S.; et al. Low Dark Current Lateral Ge PIN Photodetector Array with Resonant Cavity Effect for Short Wave Infrared Imaging. J. Phys. D Appl. Phys. 2024, 57, 165103. [Google Scholar] [CrossRef]
- Zhao, X.; Wang, G.; Lin, H.; Du, Y.; Luo, X.; Kong, Z.; Su, J.; Li, J.; Xiong, W.; Miao, Y.; et al. High Performance P-i-n Photodetectors on Ge-on-Insulator Platform. Nanomaterials 2021, 11, 1125. [Google Scholar] [CrossRef]
- Wei, D.; Dadey, A.A.; McArthur, J.A.; Bank, S.R.; Campbell, J.C. Enhancing Extended SWIR Al0.3InAsSb PIN Photodetectors with All-Dielectric Amorphous Germanium Photon-Capturing Gratings. ACS Photonics 2024, 11, 484–488. [Google Scholar] [CrossRef]
- Du, J.; Zhao, X.; Su, J.; Li, B.; Duan, X.; Dong, T.; Lin, H.; Ren, Y.; Miao, Y.; Radamson, H.H. Review of Short-Wavelength Infrared Flip-Chip Bump Bonding Process Technology. Sensors 2025, 25, 263. [Google Scholar] [CrossRef]
- Yang, J.; Hu, H.; Miao, Y.; Wang, B.; Wang, W.; Su, H.; Ma, Y. Single-Crystalline GePb Alloys Formed by Rapid Thermal Annealing-Induced Epitaxy. J. Phys. D Appl. Phys. 2020, 53, 265105. [Google Scholar] [CrossRef]
- Ji, R.; Yao, L.; Jiao, J.; Xu, G.; Fu, F.; Lin, G.; Li, C.; Huang, W.; Xue, C.; Chen, S. Highly Integrated Ultra-Low Leakage Current Shortwave Infrared Photodetector Based on Ge-Si Heterogenous Wafer Bonding. IEEE Electron. Device Lett. 2024, 45, 948–951. [Google Scholar] [CrossRef]
- Miao, Y.; Lin, H.; Li, B.; Dong, T.; He, C.; Du, J.; Zhao, X.; Zhou, Z.; Su, J.; Wang, H.; et al. Review of Ge(GeSn) and InGaAs Avalanche Diodes Operating in the SWIR Spectral Region. Nanomaterials 2023, 13, 606. [Google Scholar] [CrossRef] [PubMed]
- Atalla, M.R.M.; Assali, S.; Koelling, S.; Attiaoui, A.; Moutanabbir, O. High-Bandwidth Extended-SWIR GeSn Photodetectors on Silicon Achieving Ultrafast Broadband Spectroscopic Response. ACS Photonics 2022, 9, 1425–1433. [Google Scholar] [CrossRef]
- Zhao, X.; Moeen, M.; Toprak, M.S.; Wang, G.; Luo, J.; Ke, X.; Li, Z.; Liu, D.; Wang, W.; Zhao, C.; et al. Design Impact on the Performance of Ge PIN Photodetectors. J. Mater. Sci. Mater. Electron. 2020, 31, 18–25. [Google Scholar] [CrossRef]
- Xu, S.; Han, K.; Huang, Y.-C.; Kang, Y.; Masudy-Panah, S.; Wu, Y.; Lei, D.; Zhao, Y.; Gong, X.; Yeo, Y.-C. High Performance GeSn Photodiode on a 200 Mm Ge-on-Insulator Photonics Platform for Advanced Optoelectronic Integration with Ge CMOS Operating at 2 Μm Band. In Proceedings of the 2019 Symposium on VLSI Technology, Kyoto, Japan, 9–14 June 2019; pp. T176–T177. [Google Scholar]
- Sato, M.; Inada, H.; Obi, H.; Mori, H.; Fuyuki, T.; Balasekaran, S.; Kimura, D.; Machinaga, K.; Iguchi, Y.; Muramatsu, Y.; et al. Mid-Wavelength Infrared Focal Plane Array Based on Type II InAs/GaSb Superlattices on InP Substrate. Infrared Phys. Technol. 2024, 137, 105133. [Google Scholar] [CrossRef]
- Nguyen, T.H.N.; Turpaud, V.; Koompai, N.; Peltier, J.; Calcaterra, S.; Isella, G.; Coudevylle, J.-R.; Alonso-Ramos, C.; Vivien, L.; Frigerio, J.; et al. Integrated PIN Modulator and Photodetector Operating in the Mid-Infrared Range from 5.5 Μm to 10 Μm. Nanophotonics 2024, 13, 1803–1813. [Google Scholar] [CrossRef]
- Kumar, H.; Basu, R. Design of Mid-Infrared Ge1–xSnx Homojunction p-i-n Photodiodes on Si Substrate. IEEE Sens. J. 2022, 22, 7743–7751. [Google Scholar] [CrossRef]
- Shkedy, L.; Armon, E.; Avnon, E.; Ben Ari, N.; Brumer, M.; Jakobson, C.; Klipstein, P.C.; Lury, Y.; Magen, O.; Milgrom, B.; et al. HOT MWIR Detector with 5 Um Pitch. In Proceedings of the Infrared Technology and Applications XLVII, Online Only, 12 April 2021; Fulop, G.F., Kimata, M., Zheng, L., Andresen, B.F., Miller, J.L., Eds.; SPIE: Bellingham, WA, USA, 2021; p. 25. [Google Scholar]
- Sharifi, H.; Roebuck, M.; Terterian, S.; Jenkins, J.; Tu, B.; Strong, W.; De Lyon, T.J.; Rajavel, R.D.; Caulfield, J.; Curzan, J.P. Advances in III-V Bulk and Superlattice-Based High Operating Temperature MWIR Detector Technology. In Proceedings of the Infrared Technology and Applications XLIII, Anaheim, CA, USA, 22 February 2017; Andresen, B.F., Fulop, G.F., Hanson, C.M., Miller, J.L., Norton, P.R., Eds.; SPIE: Bellingham, WA, USA, 2017; p. 101770U. [Google Scholar]
- Shkedy, L.; Brumer, M.; Klipstein, P.; Nitzani, M.; Avnon, E.; Kodriano, Y.; Lukomsky, I.; Shtrichman, I. Development of 10 μm Pitch XBn Detector for Low SWaP MWIR Applications. In Proceedings of the Infrared Technology and Applications XLII, Baltimore, MD, USA, 20 May 2016; Andresen, B.F., Fulop, G.F., Hanson, C.M., Miller, J.L., Norton, P.R., Eds.; SPIE: Bellingham, WA, USA, 2016; p. 98191D. [Google Scholar]
- Murawski, K.; Majkowycz, K.; Sobieski, J.; Kopytko, M.; Martyniuk, P. Temperature Dependence of the Defect States in LWIR (100) and (111)B HgCdTe Epilayers for IR HOT Detectors. J. Electron. Mater. 2024, 53, 5842–5849. [Google Scholar] [CrossRef]
- Schimert, T.R.; Macauley, K.; Reed, C. Leonardo DRS Tenum 640 and Tenum 1280 Uncooled Commercial Cameras. In Proceedings of the Infrared Technology and Applications XLVIII, Orlando, FL, USA, 27 May 2022; Fulop, G.F., Kimata, M., Zheng, L., Andresen, B.F., Miller, J.L., Kim, Y.-H., Eds.; SPIE: Bellingham, WA, USA, 2022; p. 39. [Google Scholar]
- Ivanov, R.; Evans, D.; Smuk, S.; Rihtnesberg, D.; Höglund, L.; Gulde, M.; Brunn, A.; Bierdel, M.; Costard, E. QWIP as Versatile Platform for Advanced Detection in LWIR. In Proceedings of the Infrared Technology and Applications XLVIII, Orlando, FL, USA, 27 May 2022; Andresen, B.F., Fulop, G.F., Zheng, L., Eds.; SPIE: Bellingham, WA, USA, 2022; Volume 12107, p. 121071T. [Google Scholar]
- Dehzangi, A.; Li, J.; Razeghi, M. Band-Structure-Engineered High-Gain LWIR Photodetector Based on a Type-II Superlattice. Light Sci. Appl. 2021, 10, 17. [Google Scholar] [CrossRef] [PubMed]
- Fujisawa, D.; Hanaoka, M.; Kosasayama, Y.; Yutani, A.; Shintani, K.; Hata, H.; Ueno, M.; Takenaga, T.; Yamamuka, M. Development of New Pixel Structure for beyond 12-Μm Pixel Pitch SOI Diode Uncooled IRFPAs. In Proceedings of the Infrared Technology and Applications XLVI, Online Only, 23 April 2020; Fulop, G.F., Zheng, L., Andresen, B.F., Miller, J.L., Eds.; SPIE: Bellingham, WA, USA, 2020; p. 27. [Google Scholar]
- Laurent, L.; Yon, J.-J.; Moulet, J.-S.; Roukes, M.; Duraffourg, L. 12 Μm-Pitch Electromechanical Resonator for Thermal Sensing. Phys. Rev. Appl. 2018, 9, 024016. [Google Scholar] [CrossRef]
- Skidmore, G.D. Uncooled 10 μm FPA Development at DRS. In Proceedings of the Infrared Technology and Applications XLII, Baltimore, MD, USA, 20 May 2016; Andresen, B.F., Fulop, G.F., Hanson, C.M., Miller, J.L., Norton, P.R., Eds.; SPIE: Bellingham, WA, USA, 2016; p. 98191O. [Google Scholar]
- Deng, K.; Zhang, K.; Li, Q.; He, T.; Xiao, Y.; Guo, J.; Zhang, T.; Zhu, H.; Wang, P.; Li, N.; et al. High-Operating Temperature Far-Infrared Si:Ga Blocked-Impurity-Band Detectors. Appl. Phys. Lett. 2022, 120, 211103. [Google Scholar] [CrossRef]
- Wang, X.; Ma, W.; Chen, Y.; Chen, X.; Wang, B.; Zhang, C.; Zhang, H. Spectral Response Mechanism Associated with the Thickness of the Absorbing Layer in GaAs-Based Blocked-impurity-band (BIB) Far-infrared Detectors. Opt. Quantum Electron. 2021, 53, 326. [Google Scholar] [CrossRef]
- Hsu, Y.-H.; Chen, Y.-W.; Cheng, C.-Y.; Lee, S.-L.; Chiu, T.-H.; Chen, C.-H. Detecting the Limits of the Biological Effects of Far-Infrared Radiation on Epithelial Cells. Sci. Rep. 2019, 9, 11586. [Google Scholar] [CrossRef]
- Kubo, M.; Toshikawa, J.; Kashikawa, N.; Chiang, Y.-K.; Overzier, R.; Uchiyama, H.; Clements, D.L.; Alexander, D.M.; Matsuda, Y.; Kodama, T.; et al. Planck Far-Infrared Detection of Hyper Suprime-Cam Protoclusters at z ~ 4: Hidden AGN and Star Formation Activity. ApJ 2019, 887, 214. [Google Scholar] [CrossRef]
- Von Fellenberg, S.D.; Gillessen, S.; Graciá-Carpio, J.; Fritz, T.K.; Dexter, J.; Bauböck, M.; Ponti, G.; Gao, F.; Habibi, M.; Plewa, P.M.; et al. A Detection of Sgr A* in the Far Infrared. ApJ 2018, 862, 129. [Google Scholar] [CrossRef]
- Khatib, O.; Bechtel, H.A.; Martin, M.C.; Raschke, M.B.; Carr, G.L. Far Infrared Synchrotron Near-Field Nanoimaging and Nanospectroscopy. ACS Photonics 2018, 5, 2773–2779. [Google Scholar] [CrossRef]
- Hadfield, R.H.; Leach, J.; Fleming, F.; Paul, D.J.; Tan, C.H.; Ng, J.S.; Henderson, R.K.; Buller, G.S. Single-Photon Detection for Long-Range Imaging and Sensing. Optica 2023, 10, 1124. [Google Scholar] [CrossRef]
- Liu, C.; Guo, J.; Yu, L.; Li, J.; Zhang, M.; Li, H.; Shi, Y.; Dai, D. Silicon/2D-Material Photodetectors: From near-Infrared to Mid-Infrared. Light Sci. Appl. 2021, 10, 123. [Google Scholar] [CrossRef]
- Wang, C.; Zhang, X.; Hu, W. Organic Photodiodes and Phototransistors toward Infrared Detection: Materials, Devices, and Applications. Chem. Soc. Rev. 2020, 49, 653–670. [Google Scholar] [CrossRef]
- Tan, C.L.; Mohseni, H. Emerging Technologies for High Performance Infrared Detectors. Nanophotonics 2018, 7, 169–197. [Google Scholar] [CrossRef]
- Long, M.; Gao, A.; Wang, P.; Xia, H.; Ott, C.; Pan, C.; Fu, Y.; Liu, E.; Chen, X.; Lu, W.; et al. Room Temperature High-Detectivity Mid-Infrared Photodetectors Based on Black Arsenic Phosphorus. Sci. Adv. 2017, 3, e1700589. [Google Scholar] [CrossRef]
- Zhang, J.; Itzler, M.A.; Zbinden, H.; Pan, J.-W. Advances in InGaAs/InP Single-Photon Detector Systems for Quantum Communication. Light Sci. Appl. 2015, 4, e286. [Google Scholar] [CrossRef]
- Liao, Y.; Wang, K.; Zhou, W.; Yan, F.; Ji, X. Multi-Band Microbolometer in CMOS Technology. Opt. Express 2024, 32, 25805. [Google Scholar] [CrossRef] [PubMed]
- Lu, Y.; Liu, L.; Gao, R.; Xiong, Y.; Sun, P.; Wu, Z.; Wu, K.; Yu, T.; Zhang, K.; Zhang, C.; et al. Ultrafast Near-Infrared Pyroelectric Detector Based on Inhomogeneous Plasmonic Metasurface. Light Sci. Appl. 2024, 13, 241. [Google Scholar] [CrossRef]
- Hirobe, S.; Wredh, S.; Yang, J.K.W.; Kubo, W. Metamaterial Thermopile beyond Optical Diffraction Limit. Appl. Therm. Eng. 2024, 256, 124080. [Google Scholar] [CrossRef]
- Bang, K.M.; Park, S.J.; Yu, H.; Jin, H. Large Transverse Thermopower in Shape-Engineered Tilted Leg Thermopile. Appl. Energy 2024, 368, 123222. [Google Scholar] [CrossRef]
- Mbarek, S.B.; Alcheikh, N.; Younis, M.I. Recent Advances on MEMS Based Infrared Thermopile Detectors. Microsyst. Technol. 2022, 28, 1751–1764. [Google Scholar] [CrossRef]
- Chen, C.; Li, C.; Min, S.; Guo, Q.; Xia, Z.; Liu, D.; Ma, Z.; Xia, F. Ultrafast Silicon Nanomembrane Microbolometer for Long-Wavelength Infrared Light Detection. Nano Lett. 2021, 21, 8385–8392. [Google Scholar] [CrossRef]
- Stewart, J.W.; Vella, J.H.; Li, W.; Fan, S.; Mikkelsen, M.H. Ultrafast Pyroelectric Photodetection with On-Chip Spectral Filters. Nat. Mater. 2020, 19, 158–162. [Google Scholar] [CrossRef]
- Tang, X.; Ackerman, M.M.; Guyot-Sionnest, P. Thermal Imaging with Plasmon Resonance Enhanced HgTe Colloidal Quantum Dot Photovoltaic Devices. ACS Nano 2018, 12, 7362–7370. [Google Scholar] [CrossRef]
- Singh, S.K.; Yadav, M.K.; Khandekar, S. Measurement Issues Associated with Surface Mounting of Thermopile Heat Flux Sensors. Appl. Therm. Eng. 2017, 114, 1105–1113. [Google Scholar] [CrossRef]
- Lu, F.; Lee, J.; Jiang, A.; Jung, S.; Belkin, M.A. Thermopile Detector of Light Ellipticity. Nat. Commun. 2016, 7, 12994. [Google Scholar] [CrossRef]
- Wada, H.; Nagashima, M.; Oda, N.; Sasaki, T.; Kawahara, A.; Kanzaki, M.; Tsuruta, Y.; Mori, T.; Matsumoto, S.; Shima, T.; et al. Design and Performance of 256 × 256 Bolometer-Type Uncooled Infrared Detector. In Proceedings of the Infrared Detectors and Focal Plane Arrays V, Orlando, FL, USA, 22 July 1998; Dereniak, E.L., Sampson, R.E., Eds.; SPIE: Bellingham, WA, USA, 1998; p. 90. [Google Scholar]
- Crastes, A.; Ruiter, M.; Gierkink, S.; Brunelle, J. Recent Uncooled IR Development Based on State of the Art Digital ROIC. In Proceedings of the Infrared Sensors, Devices, and Applications XI, San Diego, CA, USA, 1 August 2021; Sood, A.K., Wijewarnasuriya, P., D’Souza, A.I., Eds.; SPIE: Bellingham, WA, USA, 2021; p. 16. [Google Scholar]
- He, W.; Dong, S.; Liu, T.; Liao, X.; Liu, Y.; Kang, M.; Wang, H. Imaging Research of 8-14 μm Uncooled Infrared Polarimetric Sensor. In Proceedings of the Eighth Symposium on Novel Photoelectronic Detection Technology and Applications, Kunming, China, 27 March 2022; Su, J., Chen, L., Chu, J., Zhu, S., Yu, Q., Eds.; SPIE: Bellingham, WA, USA, 2022; Volume 12169, p. 121691G. [Google Scholar]
- Shimoni, M.; Haelterman, R.; Perneel, C. Hypersectral Imaging for Military and Security Applications: Combining Myriad Processing and Sensing Techniques. IEEE Geosci. Remote Sens. Mag. 2019, 7, 101–117. [Google Scholar] [CrossRef]
- Lee, J.; Rodriguez, C.; Blackwell, R. BAE Systems’ 17 μm LWIR Camera Core for Civil, Commercial, and Military Applications. In Proceedings of the Infrared Technology and Applications XXXIX, Baltimore, MD, USA, 11 June 2013; Andresen, B.F., Fulop, G.F., Hanson, C.M., Norton, P.R., Robert, P., Eds.; SPIE: Bellingham, WA, USA, 2013; p. 87041J. [Google Scholar]
- Li, C.; Skidmore, G.D.; Han, C.J. Uncooled VOx Infrared Sensor Development and Application. In Proceedings of the Infrared Technology and Applications XXXVII, Orlando, FL, USA, 13 May 2011; Andresen, B.F., Fulop, G.F., Norton, P.R., Eds.; SPIE: Bellingham, WA, USA, 2011; p. 80121N. [Google Scholar]
- Rogalski, A. Progress in Focal Plane Array Technologies. Prog. Quantum Electron. 2012, 36, 342–473. [Google Scholar] [CrossRef]
- Moreno, M.; Ferrusca, D.; Rangel, J.; Castro, J.; Hernandez, J.; Jimenez, R.; Torres, A.; Ponce, A.; Morales, A.; Gonzalez-Cruz, R.; et al. Towards an Infrared Camera Based on Polymorphous Silicon-Germanium Microbolometer Arrays. In Proceedings of the 2022 IEEE Latin American Electron Devices Conference (LAEDC), Puebla, Mexico, 4–6 July 2022; pp. 1–4. [Google Scholar]
- Jiménez, R.; Moreno, M.; Torres, A.; Rosales, P.; Gomez, V.; Carlos, N.; Roca, I.; Cabarrocas, P. Effect of Pressure and Flow Rates on Polymorphous Silicon-Germanium (pm-Six Ge1−x:H) Thin Films for Infrared Detection Applications. Phys. Status Solidi (A) 2018, 215, 1700735. [Google Scholar] [CrossRef]
- Hållstedt, J.; Blomqvist, M.; Persson, P.O.Å.; Hultman, L.; Radamson, H.H. The Effect of Carbon and Germanium on Phase Transformation of Nickel on Si1−x−yGexCy Epitaxial Layers. J. Appl. Phys. 2004, 95, 2397–2402. [Google Scholar] [CrossRef]
- Calleja, C.; Torres, A.; Moreno, M.; Rosales, P.; Sanz-Pascual, M.T.; Velázquez, M. A Microbolometer Fabrication Process Using Polymorphous Silicon-Germanium Films (Pm-SixGey:H) as Thermosensing Material: A Microbolometer Fabrication Process Using Polymorphous Si-Ge Films. Phys. Status Solidi A 2016, 213, 1864–1868. [Google Scholar] [CrossRef]
- Rana, M.; Almaktoom, A.T. Process Flow and Design Optimization of a Microbolometer. In Proceedings of the 2023 6th International Conference on Electrical Information and Communication Technology (EICT), Khulna, Bangladesh, 7–9 December 2023; pp. 1–3. [Google Scholar]
- Cardona, J.; Vadakepurathu, F.; Rana, M. Sn Doped GexSi1−xOy Films for Uncooled Infrared Detections. In Proceedings of the International Conference on Information and Communication Technology for Development; Ahmad, M., Uddin, M.S., Jang, Y.M., Eds.; Springer Nature: Singapore, 2023; pp. 547–555. [Google Scholar]
- Alkorjia, O.; Koppula, A.; Abdullah, A.; Almasri, M. Metasurface-Enabled Uncooled Silicon Germanium Oxide Infrared Microbolometers for Long-Wave Infrared Detection. IEEE Sens. J. 2023, 23, 16616–16624. [Google Scholar] [CrossRef]
- Abdullah, A.; Koppula, A.; Alkorjia, O.; Almasri, M. Uncooled Two-Microbolometer Stack for Long Wavelength Infrared Detection. Sci. Rep. 2023, 13, 3470. [Google Scholar] [CrossRef] [PubMed]
- Koppula, A.K.R.K.; Abdullah, A.A.; Liu, T.; Alkorjia, O.; Zhu, C.; Warder, C.; Wadle, S.; Deloach, P.; Lewis, S.; Kinzel, E.; et al. Material Response of Metasurface Integrated Uncooled Silicon Germanium Oxide SixGeyO1−x−y Infrared Microbolometers. In Proceedings of the Infrared Technology and Applications XLV, Baltimore, MD, USA, 4 June 2019; Fulop, G.F., Hanson, C.M., Andresen, B.F., Eds.; SPIE: Bellingham, WA, USA, 2019; p. 56. [Google Scholar]
- Du, J.; Zhao, X.; Miao, Y.; Su, J.; Li, B.; Duan, X.; Dong, T.; Yu, J.; Lin, H.; Ren, Y.; et al. Demonstration of Planar Geometry PIN Photodetectors with GeSi/Ge Multiple Quantum Wells Hybrid Intrinsic Region on a Ge-on-Insulator Platform. ACS Appl. Electron. Mater. 2025, 7, 5205–5216. [Google Scholar] [CrossRef]
- Wang, H.; Kong, Z.; Su, J.; Li, B.; Wang, Y.; Miao, Y.; Zhou, Z.; Zhao, X.; Hu, Q.; Radamson, H.H. A SiGe/Si Nanostructure with Graphene Absorbent for Long Wavelength Infrared Detection. ACS Appl. Nano Mater. 2023, 6, 15749–15756. [Google Scholar] [CrossRef]
- Fang, Z.; He, Y.; Chen, Z.; Shi, Y.; Jiao, J.; Pan, X. SiGe/Si Multi-Quantum-Well Micro-Bolometer Array Design and Fabrication with Heterogeneous Integration. Micromachines 2021, 12, 1553. [Google Scholar] [CrossRef] [PubMed]
- Hu, C.; Xu, P.; Fu, C.; Zhu, Z.; Gao, X.; Jamshidi, A.; Noroozi, M.; Radamson, H.; Wu, D.; Zhang, S.-L. Characterization of Ni(Si,Ge) Films on Epitaxial SiGe(100) Formed by Microwave Annealing. Appl. Phys. Lett. 2012, 101, 092101. [Google Scholar] [CrossRef]
- Forsberg, F.; Lapadatu, A.; Kittilsland, G.; Martinsen, S.; Roxhed, N.; Fischer, A.C.; Stemme, G.; Samel, B.; Ericsson, P.; Hoivik, N.; et al. CMOS-Integrated Si/SiGe Quantum-Well Infrared Microbolometer Focal Plane Arrays Manufactured With Very Large-Scale Heterogeneous 3-D Integration. IEEE J. Select. Top. Quantum Electron. 2015, 21, 30–40. [Google Scholar] [CrossRef]
- Radamson, H.H.; Kolahdouz, M.; Shayestehaminzadeh, S.; Farniya, A.A.; Wissmar, S. Carbon-Doped Single-Crystalline SiGe/Si Thermistor with High Temperature Coefficient of Resistance and Low Noise Level. Appl. Phys. Lett. 2010, 97, 223507. [Google Scholar] [CrossRef]
- Wang, H.; Kong, Z.; Tan, X.; Su, J.; Du, J.; Lin, H.; Li, B.; Wang, Y.; Zhou, Z.; Miao, Y.; et al. High-Performance GeSi/Ge Multi-Quantum Well Photodetector on a Ge-Buffered Si Substrate. Opt. Lett. 2024, 49, 2793. [Google Scholar] [CrossRef]
- Kolahdouz, M.; Farniya, A.A.; Di Benedetto, L.; Radamson, H.H. Improvement of Infrared Detection Using Ge Quantum Dots Multilayer Structure. Appl. Phys. Lett. 2010, 96, 213516. [Google Scholar] [CrossRef]
- Yadav, I.; Gupta, S.; Vishwakarma, A.; Dutta, S.; Chatterjee, R. Design and Performance Analysis of TiOx Based MEMS Bolometer Pixel. In Microactuators, Microsensors and Micromechanisms. Mechanisms and Machine Science; Pandey, A.K., Pal, P., Nagahanumaiah, Zentner, L., Eds.; Springer International Publishing: Cham, Switzerland, 2023; Volume 126, pp. 244–249. ISBN 978-3-031-20352-7. [Google Scholar]
- Reddy, Y.A.K.; Kang, I.-K.; Shin, Y.B.; Lee, H.C. Improvement of the Thermal Stability of Nb:TiO2−x Samples for Uncooled Infrared Detectors. J. Phys. D Appl. Phys. 2018, 51, 025104. [Google Scholar] [CrossRef]
- Tilkioglu, B.T.; Bolat, S.; Tanrikulu, M.Y.; Okyay, A.K. Digitally Alloyed ZnO and TiO2 Thin Film Thermistors by Atomic Layer Deposition for Uncooled Microbolometer Applications. J. Vac. Sci. Technol. A Vac. Surf. Film. 2017, 35, 021513. [Google Scholar] [CrossRef]
- Yon, J.J.; Nieto, J.P.; Vandroux, L.; Imperinetti, P.; Rolland, E.; Goudon, V.; Vialle, C.; Arnaud, A. Low-Resistance a-SiGe-Based Microbolometer Pixel for Future Smart IR FPA. In Proceedings of the Infrared Technology and Applications XXXVI, Orlando, FL, USA, 23 April 2010; Andresen, B.F., Fulop, G.F., Norton, P.R., Eds.; SPIE: Bellingham, WA, USA, 2010; p. 76600U. [Google Scholar]
- Koo, G.; Jung, Y.-C.; Hahm, S.-H.; Jung, D.-G.; Lee, Y.S. Characteristic of Nickel Oxide Microbolometer. In Proceedings of the Infrared Technology and Applications XXXIX, Baltimore, MD, USA, 11 June 2013; Andresen, B.F., Fulop, G.F., Hanson, C.M., Norton, P.R., Robert, P., Eds.; SPIE: Bellingham, WA, USA, 2013; p. 87041P. [Google Scholar]
- Krishnakumar, V.P.; Das Mahapatra, A.; Panwar, V.; Mondal, A.; Kumar, C.; Kumar, P.; Misra, A. Semiconductor Nanoparticle Anchored Single-Walled Carbon Nanotubes for a Bolometer. Langmuir 2024, 40, 11023–11029. [Google Scholar] [CrossRef]
- Nandi, S.; Misra, A. Carbon Nanotube-Based Uncooled Bolometers: Advances and Progress. ACS Mater. Lett. 2023, 5, 249–274. [Google Scholar] [CrossRef]
- Nandi, S.; Panwar, V.; Misra, A. Metal-Carbon Nanotube Composite for Wavelength-Selective Bolometer with Improved Characteristics. J. Appl. Phys. 2023, 133, 043104. [Google Scholar] [CrossRef]
- Wang, Q.; Wu, Y.; Deng, X.; Xiang, L.; Xu, K.; Li, Y.; Xie, Y. Preparation and Bolometric Responses of MoS2 Nanoflowers and Multi-Walled Carbon Nanotube Composite Network. Nanomaterials 2022, 12, 495. [Google Scholar] [CrossRef]
- Adomeit, U. Assessing Detection Performance of Night Vision VIS/LWIR-Fusion. In Proceedings of the Electro-Optical and Infrared Systems: Technology and Applications XVI, Strasbourg, France, 9 October 2019; Hickman, D.L., Bürsing, H., Eds.; SPIE: Bellingham, WA, USA, 2019; p. 23. [Google Scholar]
- Bercier, E.; Robert, P.; Pochic, D.; Tissot, J.-L.; Arnaud, A.; Yon, J.J. Far Infrared Imaging Sensor for Mass Production of Night Vision and Pedestrian Detection Systems. In Advanced Microsystems for Automotive Applications 2012; Meyer, G., Ed.; Springer: Berlin/Heidelberg, Germany, 2012; pp. 301–312. ISBN 978-3-642-29672-7. [Google Scholar]
- Corsi, C. NIGHT VISION. In Photonics for Safety and Security; WORLD SCIENTIFIC: Singapore, 2012; pp. 222–251. ISBN 978-981-4412-96-4. [Google Scholar]
- Kumar, M.; Ray, S.; Yadav, D.K. Moving Human Detection and Tracking from Thermal Video through Intelligent Surveillance System for Smart Applications. Multimed. Tools Appl. 2023, 82, 39551–39570. [Google Scholar] [CrossRef]
- Mirka, B.; Stow, D.A.; Paulus, G.; Loerch, A.C.; Coulter, L.L.; An, L.; Lewison, R.L.; Pflüger, L.S. Evaluation of Thermal Infrared Imaging from Uninhabited Aerial Vehicles for Arboreal Wildlife Surveillance. Environ. Monit. Assess. 2022, 194, 512. [Google Scholar] [CrossRef] [PubMed]
- Spampinato, L.; Calvari, S.; Oppenheimer, C.; Boschi, E. Volcano Surveillance Using Infrared Cameras. Earth-Sci. Rev. 2011, 106, 63–91. [Google Scholar] [CrossRef]
- Krotosky, S.J.; Trivedi, M.M. Person Surveillance Using Visual and Infrared Imagery. IEEE Trans. Circuits Syst. Video Technol. 2008, 18, 1096–1105. [Google Scholar] [CrossRef]
- Wong, W.K.; Tan, P.N.; Loo, C.K.; Lim, W.S. An Effective Surveillance System Using Thermal Camera. In Proceedings of the 2009 International Conference on Signal Acquisition and Processing, Kuala Lumpur, Malaysia, 3–5 April 2009; pp. 13–17. [Google Scholar]
- Bajić, M.; Potočnik, B. UAV Thermal Imaging for Unexploded Ordnance Detection by Using Deep Learning. Remote Sens. 2023, 15, 967. [Google Scholar] [CrossRef]
- Andraši, P.; Radišić, T.; Muštra, M.; Ivošević, J. Night-Time Detection of UAVs Using Thermal Infrared Camera. Transp. Res. Procedia 2017, 28, 183–190. [Google Scholar] [CrossRef]
- Cho, S.-Y. Nanda-Pwint Tin Using Infrared Imaging Technology for Concealed Weapons Detection and Visualization. In Proceedings of the TENCON 2010—2010 IEEE Region 10 Conference, Fukuoka, Japan, 21–24 November 2010; pp. 228–233. [Google Scholar]
- Mohd Ali, M.; Hashim, N.; Abd Aziz, S.; Lasekan, O. Quality Prediction of Different Pineapple (Ananas comosus) Varieties during Storage Using Infrared Thermal Imaging Technique. Food Control 2022, 138, 108988. [Google Scholar] [CrossRef]
- Zhou, Z.; Majeed, Y.; Diverres Naranjo, G.; Gambacorta, E.M.T. Assessment for Crop Water Stress with Infrared Thermal Imagery in Precision Agriculture: A Review and Future Prospects for Deep Learning Applications. Comput. Electron. Agric. 2021, 182, 106019. [Google Scholar] [CrossRef]
- Sagan, V.; Maimaitijiang, M.; Sidike, P.; Eblimit, K.; Peterson, K.; Hartling, S.; Esposito, F.; Khanal, K.; Newcomb, M.; Pauli, D.; et al. UAV-Based High Resolution Thermal Imaging for Vegetation Monitoring, and Plant Phenotyping Using ICI 8640 P, FLIR Vue Pro R 640, and thermoMap Cameras. Remote Sens. 2019, 11, 330. [Google Scholar] [CrossRef]
- Zhu, W.; Chen, H.; Ciechanowska, I.; Spaner, D. Application of Infrared Thermal Imaging for the Rapid Diagnosis of Crop Disease. IFAC-Pap. 2018, 51, 424–430. [Google Scholar] [CrossRef]
- Vadivambal, R.; Jayas, D.S. Applications of Thermal Imaging in Agriculture and Food Industry—A Review. Food Bioprocess. Technol. 2011, 4, 186–199. [Google Scholar] [CrossRef]
- Zhang, S.; Yao, J.; Wang, R.; Liu, Z.; Ma, C.; Wang, Y.; Zhao, Y. Design of Intelligent Fire-Fighting Robot Based on Multi-Sensor Fusion and Experimental Study on Fire Scene Patrol. Robot. Auton. Syst. 2022, 154, 104122. [Google Scholar] [CrossRef]
- Dufour, D.; Le Noc, L.; Tremblay, B.; Tremblay, M.N.; Généreux, F.; Terroux, M.; Vachon, C.; Wheatley, M.J.; Johnston, J.M.; Wotton, M.; et al. A Bi-Spectral Microbolometer Sensor for Wildfire Measurement. Sensors 2021, 21, 3690. [Google Scholar] [CrossRef]
- Allison, R.; Johnston, J.; Craig, G.; Jennings, S. Airborne Optical and Thermal Remote Sensing for Wildfire Detection and Monitoring. Sensors 2016, 16, 1310. [Google Scholar] [CrossRef]
- Kim, J.-H.; Lattimer, B.Y. Real-Time Probabilistic Classification of Fire and Smoke Using Thermal Imagery for Intelligent Firefighting Robot. Fire Saf. J. 2015, 72, 40–49. [Google Scholar] [CrossRef]
- Tsai, P.-F.; Liao, C.-H.; Yuan, S.-M. Using Deep Learning with Thermal Imaging for Human Detection in Heavy Smoke Scenarios. Sensors 2022, 22, 5351. [Google Scholar] [CrossRef]
- Bañuls, A.; Mandow, R.; Vázquez-Martín, J.; Morales, A.; García-Cerezo, A. Object Detection from Thermal Infrared and Visible Light Cameras in Search and Rescue Scenes. In Proceedings of the 2020 IEEE International Symposium on Safety, Security, and Rescue Robotics (SSRR), Abu Dhabi, United Arab Emirates, 4 November 2020; pp. 380–386. [Google Scholar]
- Zhou, R.; Almustafa, M.K.; Nehdi, M.L.; Su, H. Automated Localization of Dike Leakage Outlets Using UAV-Borne Thermography and YOLO-Based Object Detectors. ISPRS J. Photogramm. Remote Sens. 2024, 218, 551–573. [Google Scholar] [CrossRef]
- Xie, J.; Zhang, Y.; He, Z.; Liu, P.; Qin, Y.; Wang, Z.; Xu, C. Automated Leakage Detection Method of Pipeline Networks under Complicated Backgrounds by Combining Infrared Thermography and Faster R-CNN Technique. Process Saf. Environ. Prot. 2023, 174, 39–52. [Google Scholar] [CrossRef]
- Zhou, R.; Su, H.; Wen, Z. Experimental Study on Leakage Detection of Grassed Earth Dam by Passive Infrared Thermography. NDT E Int. 2022, 126, 102583. [Google Scholar] [CrossRef]
- Meribout, M. Gas Leak-Detection and Measurement Systems: Prospects and Future Trends. IEEE Trans. Instrum. Meas. 2021, 70, 1–13. [Google Scholar] [CrossRef]
- Singh, T.P. Use of Optical Gas Imaging for Visualizing Gas Leakage and Other Thermal Camera Applications in Oil & Gas Sector. In Proceedings of the Abu Dhabi International Petroleum Exhibition & Conference, Abu Dhabi, United Arab Emirates, 11 November 2019; p. D011S011R002. [Google Scholar]
- Jitsufuchi, T. A Multiband Uncooled Infrared Camera for Measuring Volcanic SO2 Gas Concentration and Temperature Distributions. In Proceedings of the IGARSS 2022—2022 IEEE International Geoscience and Remote Sensing Symposium, Kuala Lumpur, Malaysia, 17 July 2022; pp. 7475–7478. [Google Scholar]
- AbouelNour, Y.; Gupta, N. Assisted Defect Detection by In-Process Monitoring of Additive Manufacturing Using Optical Imaging and Infrared Thermography. Addit. Manuf. 2023, 67, 103483. [Google Scholar] [CrossRef]
- Grujić, K. A Review of Thermal Spectral Imaging Methods for Monitoring High-Temperature Molten Material Streams. Sensors 2023, 23, 1130. [Google Scholar] [CrossRef]
- Han, D.; Zhao, Y.; Pan, Y.; Liu, G.; Yang, T. Heating Process Monitoring and Evaluation of Hot In-Place Recycling of Asphalt Pavement Using Infrared Thermal Imaging. Autom. Constr. 2020, 111, 103055. [Google Scholar] [CrossRef]
- Zhao, X.; Zhao, Y.; Hu, S.; Wang, H.; Zhang, Y.; Ming, W. Progress in Active Infrared Imaging for Defect Detection in the Renewable and Electronic Industries. Sensors 2023, 23, 8780. [Google Scholar] [CrossRef]
- Ha, H.; Han, S.; Lee, J. Fault Detection on Transmission Lines Using a Microphone Array and an Infrared Thermal Imaging Camera. IEEE Trans. Instrum. Meas. 2012, 61, 267–275. [Google Scholar] [CrossRef]
- Ishimaru, I. Mid-Infrared (LWIR) Passive Spectroscopic Imaging for Medical Measurements like Non-Invasive Blood Glucose Sensor from a Distance. In Proceedings of the Biomedical Imaging and Sensing Conference, Yokohama, Japan, 20 September 2023; Matoba, O., Awatsuji, Y., Luo, Y., Yatagai, T., Aizu, Y., Eds.; SPIE: Bellingham, WA, USA, 2023; p. 56. [Google Scholar]
- Miao, Y.; Radamson, H.H. Functional Near-Infrared Imaging for Biomedical Applications. In Recent Advances in Infrared Spectroscopy and Its Applications in Biotechnology; IntechOpen: London, UK, 2024. [Google Scholar]
- Verstockt, J.; Verspeek, S.; Thiessen, F.; Tjalma, W.A.; Brochez, L.; Steenackers, G. Skin Cancer Detection Using Infrared Thermography: Measurement Setup, Procedure and Equipment. Sensors 2022, 22, 3327. [Google Scholar] [CrossRef] [PubMed]
- Villa, E.; Arteaga-Marrero, N.; Ruiz-Alzola, J. Performance Assessment of Low-Cost Thermal Cameras for Medical Applications. Sensors 2020, 20, 1321. [Google Scholar] [CrossRef] [PubMed]
- Kandlikar, S.G.; Perez-Raya, I.; Raghupathi, P.A.; Gonzalez-Hernandez, J.-L.; Dabydeen, D.; Medeiros, L.; Phatak, P. Infrared Imaging Technology for Breast Cancer Detection—Current Status, Protocols and New Directions. Int. J. Heat Mass Transf. 2017, 108, 2303–2320. [Google Scholar] [CrossRef]
- Farooq, M.A.; Shariff, W.; Corcoran, P. Evaluation of Thermal Imaging on Embedded GPU Platforms for Application in Vehicular Assistance Systems. IEEE Trans. Intell. Veh. 2023, 8, 1130–1144. [Google Scholar] [CrossRef]
- Gershman, C. Improved Safety with 3D Thermal Ranging for ADAS/AV Applications. In Proceedings of the Infrared Technology and Applications XLVIII, Orlando, FL, USA, 27 May 2022; Fulop, G.F., Kimata, M., Zheng, L., Andresen, B.F., Miller, J.L., Kim, Y.-H., Eds.; SPIE: Bellingham, WA, USA, 2022; p. 92. [Google Scholar]
- Farooq, M.A.; Corcoran, P.; Rotariu, C.; Shariff, W. Object Detection in Thermal Spectrum for Advanced Driver-Assistance Systems (ADAS). IEEE Access 2021, 9, 156465–156481. [Google Scholar] [CrossRef]
- Judd, K.M.; Thornton, M.; Richards, A. Automotive Sensing: Assessing the Impact of Fog on LWIR, MWIR, SWIR, Visible, and Lidar Performance. In Proceedings of the Infrared Technology and Applications XLV, Baltimore, MD, USA, 7 May 2019; Fulop, G.F., Hanson, C.M., Andresen, B.F., Eds.; SPIE: Bellingham, MD, USA, 2019; p. 50. [Google Scholar]
- Altaf, M.A.; Ahn, J.; Khan, D.; Kim, M.Y. Usage of IR Sensors in the HVAC Systems, Vehicle and Manufacturing Industries: A Review. IEEE Sens. J. 2022, 22, 9164–9176. [Google Scholar] [CrossRef]
- Zuniga, A.; Motlagh, N.H.; Hoque, M.A.; Tarkoma, S.; Flores, H.; Nurmi, P. See No Evil: Discovering Covert Surveillance Devices Using Thermal Imaging. IEEE Pervasive Comput. 2022, 21, 33–42. [Google Scholar] [CrossRef]
- Lee, F.-F.; Chen, F.; Liu, J. Infrared Thermal Imaging System on a Mobile Phone. Sensors 2015, 15, 10166–10179. [Google Scholar] [CrossRef]
- Rogalski, A. Scaling Infrared Detectors—Status and Outlook. Rep. Prog. Phys. 2022, 85, 126501. [Google Scholar] [CrossRef]
- Zhang, Q.; Yan, R.; Peng, X.; Wang, Y.; Feng, S. TiO2−x Films for Bolometer Applications: Recent Progress and Perspectives. Mater. Res. Express 2022, 9, 012002. [Google Scholar] [CrossRef]
- Yadav, P.V.K.; Yadav, I.; Ajitha, B.; Rajasekar, A.; Gupta, S.; Ashok Kumar Reddy, Y. Advancements of Uncooled Infrared Microbolometer Materials: A Review. Sens. Actuators A Phys. 2022, 342, 113611. [Google Scholar] [CrossRef]
- Kimata, M. Uncooled Infrared Focal Plane Arrays: UNCOOLED INFRARED FOCAL PLANE ARRAYS. IEEJ Trans. Electr. Electron. Eng. 2018, 13, 4–12. [Google Scholar] [CrossRef]
- Rogalski, A.; Martyniuk, P.; Kopytko, M. Challenges of Small-Pixel Infrared Detectors: A Review. Rep. Prog. Phys. 2016, 79, 046501. [Google Scholar] [CrossRef]
- Lei, S. Uncooled Infrared Focal Plane Array Imaging in China. In Proceedings of the Infrared Technology and Applications XLI, Baltimore, MD, USA, 8 June 2015; Andresen, B.F., Fulop, G.F., Hanson, C.M., Norton, P.R., Eds.; SPIE: Bellingham, WA, USA, 2015; p. 945119. [Google Scholar]
- Christensen, J.S.; Radamson, H.H.; Kuznetsov, A.Y.; Svensson, B.G. Diffusion of Phosphorus in Relaxed Si1−xGex Films and Strained Si/Si1−xGex Heterostructures. J. Appl. Phys. 2003, 94, 6533–6540. [Google Scholar] [CrossRef]
- Kruse, P.W. Uncooled Thermal Imaging: Arrays, Systems, and Applications; Tutorial Texts in Optical Engineering; SPIE Press: Bellingham, WA, USA, 2002; ISBN 978-0-8194-4122-5. [Google Scholar]
- Willardson, R.K.; Weber, E.R.; Skatrud, D.D.; Kruse, P.W. (Eds.) Uncooled Infrared Imaging Arrays and Systems; Semiconductors and semimetals; Academic Press: San Diego, CA, USA, 1997; ISBN 978-0-12-752155-8. [Google Scholar]
- Fechner, M.; Spaldin, N.A. Effects of intense optical phonon pumping on the structure and electronic properties of yttrium barium copper oxide. Phys. Rev. B 2016, 94, 134307. [Google Scholar] [CrossRef]
- Vollmer, M.; Möllmann, K.-P. Infrared Thermal Imaging: Fundamentals, Research and Applications, 2nd ed.; Wiley-VCH Verlag GmbH & Co. KGaA: Weinheim, Germany, 2018; ISBN 978-3-527-41351-5. [Google Scholar]
- Li, C.; Skidmore, G.; Howard, C.; Clarke, E.; Han, C.J. Advancement in 17-Micron Pixel Pitch Uncooled Focal Plane Arrays. In Proceedings of the Infrared Technology and Applications XXXV, Orlando, FL, USA, 1 May 2009; SPIE: Bellingham, WA, USA, 2009; p. 72980S. [Google Scholar]
- Bhan, R.; Saxena, R.; Jalwani, C.; Lomash, S. Uncooled Infrared Microbolometer Arrays and Their Characterisation Techniques. DSJ 2009, 59, 580–589. [Google Scholar] [CrossRef]
- Niklaus, F.; Vieider, C.; Jakobsen, H. MEMS-Based Uncooled Infrared Bolometer Arrays: A Review. In Proceedings of the MEMS/MOEMS Technologies and Applications III, Beijing, China, 29 November 2007; Chiao, J.-C., Chen, X., Zhou, Z., Li, X., Eds.; SPIE: Bellingham, WA, USA, 2009; p. 68360D. [Google Scholar]
- Wood, R.A. Chapter 3 Monolithic Silicon Microbolometer Arrays. In Semiconductors and Semimetals; Elsevier: Amsterdam, The Netherlands, 1997; Volume 47, pp. 43–121, 121a, 121b, 121c, 121d. ISBN 978-0-12-752155-8. [Google Scholar]
- Rogalski, A. Next Decade in Infrared Detectors. In Proceedings of the Electro-Optical and Infrared Systems: Technology and Applications XIV, Warsaw, Poland, 9 October 2017; Huckridge, D.A., Ebert, R., Bürsing, H., Eds.; SPIE: Bellingham, WA, USA, 2017; p. 100. [Google Scholar]
- Becker, S.; Imperinetti, P.; Yon, J.-J.; Ouvrier-Buffet, J.-L.; Goudon, V.; Hamelin, A.; Vialle, C.; Arnaud, A. Latest Pixel Size Reduction of Uncooled IR-FPA at CEA, LETI. In Proceedings of the Electro-Optical and Infrared Systems: Technology and Applications IX, Edinburgh, UK, 24 October 2012; Huckridge, D.A., Ebert, R.R., Eds.; SPIE: Bellingham, WA, USA, 2012; p. 85410C. [Google Scholar]
- Kruse, P.W. Physics and Applications of High-Tc Superconductors for Infrared Detectors. Semicond. Sci. Technol. 1990, 5, S229–S239. [Google Scholar] [CrossRef]
- Kohin, M.; Butler, N.R. Performance Limits of Uncooled VOx Microbolometer Focal Plane Arrays. In Proceedings of the Infrared Technology and Applications XXX, Orlando, FL, USA, 30 August 2004; Andresen, B.F., Fulop, G.F., Eds.; SPIE: Bellingham, WA, USA, 2004; p. 447. [Google Scholar]
- Van Der Ziel, A. Flicker Noise in Electronic Devices. In Advances in Electronics and Electron Physics; Elsevier: Amsterdam, The Netherlands, 1979; Volume 49, pp. 225–297. ISBN 978-0-12-014649-9. [Google Scholar]
- Voss, R.F.; Clarke, J. Flicker (1/f) Noise: Equilibrium Temperature and Resistance Fluctuations. Phys. Rev. B 1976, 13, 556–573. [Google Scholar] [CrossRef]
- Phong Pham, D.; Park, J.; Shin, C.; Kim, S.; Nam, Y.; Kim, G.; Kim, M.; Yi, J. Boron-Doped Hydrogenated Mixed-Phase Silicon as Thermo-Sensing Films for Infrared Detectors. Mater. Sci. Semicond. Process. 2018, 74, 165–169. [Google Scholar] [CrossRef]
- Saint John, D.B.; Shin, H.-B.; Lee, M.-Y.; Ajmera, S.K.; Syllaios, A.J.; Dickey, E.C.; Jackson, T.N.; Podraza, N.J. Influence of Microstructure and Composition on Hydrogenated Silicon Thin Film Properties for Uncooled Microbolometer Applications. J. Appl. Phys. 2011, 110, 033714. [Google Scholar] [CrossRef]
- Xu, R.; Li, W.; He, J.; Sun, Y.; Jiang, Y.-D. Boron-Doped Nanocrystalline Silicon Germanium Thin Films for Uncooled Infrared Bolometer Applications. Infrared Phys. Technol. 2013, 58, 32–35. [Google Scholar] [CrossRef]
- Kim, D.S.; Park, S.-M.; Lee, H.C. Surface Treatment Method for 1/f Noise Suppression in Reactively Sputtered Nickel Oxide Film. J. Appl. Phys. 2012, 112, 024501. [Google Scholar] [CrossRef]
- Sun, H.; Huang, T.; Alam, M.M.; Li, J.; Jang, D.W.; Wang, T.; Chen, H.; Ho, Y.-P.; Gao, Z. Minimizing Contact Resistance and Flicker Noise in Micro Graphene Hall Sensors Using Persistent Carbene Modified Gold Electrodes. ACS Appl. Mater. Interfaces 2024, 16, 31473–31479. [Google Scholar] [CrossRef] [PubMed]
- Ciura, Ł.; Śliż, P.; Jarosz, D.; Krzemiński, P.; Marchewka, M. Evaluation of Metal–Semiconductor Contact Quality: Correlation of 1/f Noise and Nonlinearity. IEEE Trans. Electron. Devices 2022, 69, 6999–7004. [Google Scholar] [CrossRef]
- Nur, O.; Willander, M.; Hultman, L.; Radamson, H.H.; Hansson, G.V.; Sardela, M.R.; Greene, J.E. CoSi2/Si1−xGex/Si(001) Heterostructures Formed through Different Reaction Routes: Silicidation-Induced Strain Relaxation, Defect Formation, and Interlayer Diffusion. J. Appl. Phys. 1995, 78, 7063–7069. [Google Scholar] [CrossRef]
- Nur, O.; Willander, M.; Radamson, H.H.; Sardela, M.R.; Hansson, G.V.; Petersson, C.S.; Maex, K. Strain Characterization of CoSi2/n-Si0.9Ge0.1/p-Si Heterostructures. Appl. Phys. Lett. 1994, 64, 440–442. [Google Scholar] [CrossRef]
- Hooge, F.N. 1/f Noise Sources. IEEE Trans. Electron. Devices 1994, 41, 1926–1935. [Google Scholar] [CrossRef]
- Hooge, F.N.; Kleinpenning, T.G.M.; Vandamme, L.K.J. Experimental Studies on 1/f Noise. Rep. Prog. Phys. 1981, 44, 479–532. [Google Scholar] [CrossRef]
- Butler, D.P.; Çelik-Butler, Z.; Sobolewski, R. Yttrium Barium Copper Oxide as an Infrared Radiation Sensing Material. In Handbook of Advanced Electronic and Photonic Materials and Devices; Elsevier: Amsterdam, The Netherlands, 2001; pp. 169–195. ISBN 978-0-12-513745-4. [Google Scholar]
- Fusetto, S.; Aprile, A.; Malcovati, P.; Bonizzoni, E. Readout IC Architectures and Strategies for Uncooled Micro-Bolometers Infrared Focal Plane Arrays: A Review. Sensors 2023, 23, 2727. [Google Scholar] [CrossRef]
- Yu, L.; Guo, Y.; Zhu, H.; Luo, M.; Han, P.; Ji, X. Low-Cost Microbolometer Type Infrared Detectors. Micromachines 2020, 11, 800. [Google Scholar] [CrossRef]
- Lloyd, J.M. Thermal Imaging Systems; Springer: Boston, MA, USA, 1975; ISBN 978-1-4899-1184-1. [Google Scholar]
- Jones, R. Phenomenological Description of the Response and Detecting Ability of Radiation Detectors. Proc. IRE 1959, 47, 1495–1502. [Google Scholar] [CrossRef]
- Radamson, H.H.; Kolahdouz, M. Group IV Materials for Low Cost and High Performance Bolometers. In Bolometers; Perera, U., Ed.; InTech: London, UK, 2012; ISBN 978-953-51-0235-9. [Google Scholar]
- Kil, T.-H.; Choi, H.-J.; Lee, G.; Lee, B.-H.; Jung, S.Y.; Ning, R.; Park, C.; Won, S.O.; Chang, H.J.; Choi, W.J.; et al. Selective Growth and Texturing of VO2(B) Thin Films for High-Temperature Microbolometers. J. Eur. Ceram. Soc. 2020, 40, 5582–5588. [Google Scholar] [CrossRef]
- Perera, A.G.U. Bolometers; InTech: London, UK, 2012; ISBN 978-953-51-0235-9. [Google Scholar]
- Cole, B.; Horning, R.; Johnson, B.; Nguyen, K.; Kruse, P.W.; Foote, M.C. High Performance Infrared Detector Arrays Using Thin Film Microstructures. In Proceedings of the 1994 IEEE International Symposium on Applications of Ferroelectrics, University Park, PA, USA, 7–10 August 1994; pp. 653–656. [Google Scholar]
- Wada, H.; Nagashima, M.; Kanzaki, M.; Sasaki, T.; Kawahara, A.; Tsuruta, Y.; Oda, N.; Matsumoto, S. Fabrication Process for 256 × 256 Bolometer-Type Uncooled Infrared Detector. In Proceedings of the Micromachined Devices and Components III, Austin, TX, USA, 5 September 1997; Chau, K.H., French, P.J., Eds.; SPIE: Bellingham, WA, USA, 1997; p. 40. [Google Scholar]
- Jerominek, H.; Pope, T.D.; Alain, C.; Zhang, R.; Lehoux, M.; Picard, F.; Fuchs, R.W.; Grenier, C.; Rouleau, Y.; Cayer, F.; et al. 128 × 128 Pixel Uncooled Bolometric FPA for IR Detection and Imaging. In Proceedings of the Infrared Technology and Applications XXIV, San Diego, CA, USA, 26 October 1998; Andresen, B.F., Strojnik, M., Eds.; SPIE: Bellingham, WA, USA, 1998; p. 585. [Google Scholar]
- Pope, T.D.; Jerominek, H.; Alain, C.; Cayer, F.; Tremblay, B.; Grenier, C.; Topart, P.A.; LeClair, S.; Picard, F.; Larouche, C.; et al. Commercial and Custom 160x120, 256x1, and 512x3 Pixel Bolometric FPAs. In Proceedings of the Infrared Detectors and Focal Plane Arrays VII, Orlando, FL, USA, 5 August 2002; Dereniak, E.L., Sampson, R.E., Eds.; SPIE: Bellingham, WA, USA, 2002; p. 64. [Google Scholar]
- Guillaumont, M.; Altazin, S.; Cardoso, A.; Tinnes, S.; Pistre, C.; Durand, A.; Dariel, A.; Rossini, F.; Laurent, C.; Fréal, C.; et al. Recent Thermoresistive Material Evolutions at LYNRED for Improving Uncooled Microbolometer Products Thermal Sensitivity. In Proceedings of the Infrared Technology and Applications XLVIII, Orlando, FL, USA, 27 May 2022; Fulop, G.F., Kimata, M., Zheng, L., Andresen, B.F., Miller, J.L., Kim, Y.-H., Eds.; SPIE: Bellingham, WA, USA, 2022; p. 42. [Google Scholar]
- Endoh, T.; Tohyama, S.; Yamazaki, T.; Tanaka, Y.; Okuyama, K.; Kurashina, S.; Miyoshi, M.; Katoh, K.; Yamamoto, T.; Okuda, Y.; et al. Uncooled Infrared Detector with 12 μm Pixel Pitch Video Graphics Array. In Proceedings of the Infrared Technology and Applications XXXIX, Baltimore, MD, USA, 11 June 2013; Andresen, B.F., Fulop, G.F., Hanson, C.M., Norton, P.R., Robert, P., Eds.; SPIE: Bellingham, WA, USA, 2013; p. 87041G. [Google Scholar]
- Celik, O.; Duman, M. High Temperature Coefficient of Resistance and Low Noise Tungsten Oxide Doped Amorphous Vanadium Oxide Thin Films for Microbolometer Applications. Thin Solid. Film. 2019, 691, 137590. [Google Scholar] [CrossRef]
- Shin, H.; Duy, L.T.; Seo, H. Optimization of Temperature Coefficient of Resistance of Al-Doped Vanadium Oxide Thin Film Prepared by Atomic Layer Deposition for Uncooled Microbolometer. Ceram. Int. 2022, 48, 15748–15754. [Google Scholar] [CrossRef]
- Philipose, U.; Littler, C.; Jiang, Y.; Naciri, A.; Harcrow, M.; Syllaios, A.J. Analyzing the Bolometric Performance of Vanadium Oxide Thin Films Modified by Carbon Nanotube Dispersions. Materials 2023, 16, 1534. [Google Scholar] [CrossRef]
- Kim, U.; Kim, D.; Lim, S.; Jeon, Y.; Kim, J.; Lee, J.; Kim, J.; Thai Duy, L.; Seo, H. Enhanced Temperature Coefficient of Resistance of VOX-Based Uncooled Microbolometers Manufactured by Plasma Enhanced Atomic Layer Deposition. Appl. Surf. Sci. 2024, 645, 158848. [Google Scholar] [CrossRef]
- Radamson, H.H. Analytical Methods and Instruments for Micro- and Nanomaterials. In Lecture Notes in Nanoscale Science and Technology Series, 1st ed.; Springer International Publishing AG: Cham, Switzerland, 2023; ISBN 978-3-031-26434-4. [Google Scholar]
- Baer, D.R.; McGuire, G.E.; Artyushkova, K.; Easton, C.D.; Engelhard, M.H.; Shard, A.G. Introduction to Topical Collection: Reproducibility Challenges and Solutions with a Focus on Guides to XPS Analysis. J. Vac. Sci. Technol. A 2021, 39, 021601. [Google Scholar] [CrossRef]
- Ayiania, M.; Smith, M.; Hensley, A.J.R.; Scudiero, L.; McEwen, J.-S.; Garcia-Perez, M. Deconvoluting the XPS Spectra for Nitrogen-Doped Chars: An Analysis from First Principles. Carbon 2020, 162, 528–544. [Google Scholar] [CrossRef]
- Radamson, H.H.; Sardela, M.R.; Hultman, L.; Hansson, G.V. Characterization of Highly Sb-Doped Si Using High-Resolution x-Ray Diffraction and Transmission Electron Microscopy. J. Appl. Phys. 1994, 76, 763–767. [Google Scholar] [CrossRef]
- Korin, E.; Froumin, N.; Cohen, S. Surface Analysis of Nanocomplexes by X-Ray Photoelectron Spectroscopy (XPS). ACS Biomater. Sci. Eng. 2017, 3, 882–889. [Google Scholar] [CrossRef]
- Bagus, P.S.; Ilton, E.S.; Nelin, C.J. The Interpretation of XPS Spectra: Insights into Materials Properties. Surf. Sci. Rep. 2013, 68, 273–304. [Google Scholar] [CrossRef]
- Biesinger, M.C.; Lau, L.W.M.; Gerson, A.R.; Smart, R.S.C. Resolving Surface Chemical States in XPS Analysis of First Row Transition Metals, Oxides and Hydroxides: Sc, Ti, V, Cu and Zn. Appl. Surf. Sci. 2010, 257, 887–898. [Google Scholar] [CrossRef]
- Radamson, H.H.; Hållstedt, J. Application of High-Resolution x-Ray Diffraction for Detecting Defects in SiGe(C) Materials. J. Phys. Condens. Matter 2005, 17, S2315–S2322. [Google Scholar] [CrossRef]
- Ajmera, S.K.; Syllaios, A.J.; Tyber, G.S.; Taylor, M.F.; Hollingsworth, R.E. Amorphous Silicon Thin-Films for Uncooled Infrared Microbolometer Sensors. In Proceedings of the Infrared Technology and Applications XXXIX, Orlando, FL, USA, 23 April 2010; Andresen, B.F., Fulop, G.F., Norton, P.R., Eds.; SPIE: Bellingham, WA, USA, 2010; p. 766012. [Google Scholar]
- Lutful Hai, M.; Cheng, Q.; Hesan, M.; Qu, C.; Kinzel, E.C.; Almasri, M. Amorphous SixGeyO1−x−y Thin Films for Uncooled Infrared Microbolometers. Infrared Phys. Technol. 2018, 95, 227–235. [Google Scholar] [CrossRef]
- Jimenez, R.; Moreno, M.; Torres, A.; Morales, A.; Ponce, A.; Ferrusca, D.; Rangel-Magdaleno, J.; Castro-Ramos, J.; Hernandez-Perez, J.; Cano, E. Fabrication of Microbolometer Arrays Based on Polymorphous Silicon–Germanium. Sensors 2020, 20, 2716. [Google Scholar] [CrossRef] [PubMed]
- Kim, K.-N.; Byun, J.-H.; Ko, W.-S.; Lee, D.-Y.; Kwon, S.-Y.; Lee, H.-D.; Lee, G.-W. Investigation of Temperature-Dependent Mechanism of TCR in a-Si:H for Microbolometer Applications. IEEE Sens. J. 2023, 24, 2452–2461. [Google Scholar] [CrossRef]
- Ajmera, S.; Brady, J.; Hanson, C.; Schimert, T.; Syllaios, A.J.; Taylor, M. Performance Improvement in Amorphous Silicon Based Uncooled Microbolometers through Pixel Design and Materials Development. In Proceedings of the Infrared technology and applications XXXVII, Orlando, FL, USA, 13 May 2011; Andresen, B.F., Fulop, G.F., Norton, P.R., Eds.; SPIE: Bellingham, WA, USA, 2011; p. 80121L. [Google Scholar]
- Kwon, M.-H.; Yang, K.; Park, Y.-S.; Kim, Y.-H.; Chung, H. Investigations of Reactively Sputtered TiO2−δ Films for Microbolometer Applications. In Proceedings of the Electro-Optical and Infrared Systems: Technology and Applications V, Cardiff, Wales, UK, 2 October 2008; Huckridge, D.A., Ebert, R.R., Eds.; SPIE: Bellingham, WA, USA, 2008; p. 711306. [Google Scholar]
- Ashok Kumar Reddy, Y.; Shin, Y.B.; Kang, I.-K.; Lee, H.C.; Sreedhara Reddy, P. Enhanced Bolometric Properties of TiO2−x Thin Films by Thermal Annealing. Appl. Phys. Lett. 2015, 107, 023503. [Google Scholar] [CrossRef]
- Tanrikulu, M.Y.; Rasouli, H.R.; Ghaffari, M.; Topalli, K.; Okyay, A.K. Atomic Layer Deposition Synthesized TiOx Thin Films and Their Application as Microbolometer Active Materials. J. Vac. Sci. Technol. A Vac. Surf. Film. 2016, 34, 031510. [Google Scholar] [CrossRef]
- Reddy, Y.A.K.; Shin, Y.B.; Kang, I.-K.; Lee, H.C. Influence of Nb Doping Concentration on Bolometric Properties of RF Magnetron Sputtered Nb:TiO2−x Films. J. Electron. Mater. 2018, 47, 2171–2176. [Google Scholar] [CrossRef]
- Yadav, I.; Jain, S.; Joshi, S.R.; Goyal, A.; Tomar, M.; Gupta, S.; Dutta, S.; Chatterjee, R. Compositional, Electrical and Thermal Properties of Nonstoichiometric Titanium Oxide Thin Films for MEMS Bolometer Applications. Mater. Sci. Semicond. Process. 2022, 148, 106779. [Google Scholar] [CrossRef]
- Kwon, M.-H.; Jeon, S.K.; Kang, S.G.; Lee, H.J.; Han, M.S. TiOx-Based Uncooled 8um FPA Development at I3system. In Proceedings of the Infrared Technology and Applications XLIX, Orlando, FL, USA, 13 June 2023; Ting, D.Z., Fulop, G.F., Zheng, L.L., Eds.; SPIE: Bellingham, WA, USA, 2013; p. 42. [Google Scholar]
- Torres, A. Uncooled Micro-Bolometer Based on Amorphous Germanium Film. J. Non-Cryst. Solids 2003, 329, 179–183. [Google Scholar] [CrossRef]
- Simmons, T.J.; Vera-Reveles, G.; González, G.; Gutiérrez-Hernández, J.M.; Linhardt, R.J.; Navarro-Contreras, H.; González, F.J. Bolometric Properties of Semiconducting and Metallic Single-Walled Carbon Nanotube Composite Films. ACS Photonics 2015, 2, 334–340. [Google Scholar] [CrossRef]
- García-Valdivieso, G.; Navarro-Contreras, H.R.; Vera-Reveles, G.; González, F.J.; Simmons, T.J.; Hernández, M.G.; Quintana, M.; Nieto Navarro, J.G. High Sensitivity Bolometers from Thymine Functionalized Multi-Walled Carbon Nanotubes. Sens. Actuators B Chem. 2017, 238, 880–887. [Google Scholar] [CrossRef]
- Kang, I.-K.; Kumar Reddy, Y.A.; Bong Shin, Y.; Young Kim, W.; Chul Lee, H. Sputtering Pressure Dependent Bolometric Properties of Ni1−xO Thin Films for Uncooled Bolometer Applications. Ceram. Int. 2017, 43, 9498–9504. [Google Scholar] [CrossRef]
- Kang, I.-K.; Reddy, Y.A.K.; Shin, Y.B.; Kim, W.Y.; Lee, H.C. Enhanced Bolometric Properties of Nickel Oxide Thin Films for Infrared Image Sensor Applications by Substitutional Incorporation of Li. Ceram. Int. 2018, 44, 7808–7813. [Google Scholar] [CrossRef]
- Bahaidra, E.; Al-Khalli, N.; Hezam, M.; Alduraibi, M.; Ilahi, B.; Debbar, N.; Abdel-Rahman, M. Electro-Optical Characterization of an Amorphous Germanium-Tin (Ge1−XSnX) Microbolometer. J. Infrared Millim. Terahertz Waves 2023, 44, 233–244. [Google Scholar] [CrossRef]
- Holmes, S.N.; Gul, Y.; Pullen, I.; Gough, J.; Thomas, K.J.; Jia, H.; Tang, M.; Liu, H.; Pepper, M. MBE Growth of Ge1−xSnx Devices with Intrinsic Disorder. J. Phys. D Appl. Phys. 2024, 57, 385105. [Google Scholar] [CrossRef]
- Wang, L.; Zhang, Y.; Wu, Y.; Liu, T.; Miao, Y.; Meng, L.; Jiang, Z.; Hu, H. Effects of Annealing on the Behavior of Sn in GeSn Alloy and GeSn-Based Photodetectors. IEEE Trans. Electron. Devices 2020, 67, 3229–3234. [Google Scholar] [CrossRef]
- Ni, W.-X.; Ekberg, J.O.; Joelsson, K.B.; Radamson, H.H.; Henry, A.; Shen, G.-D.; Hansson, G.V. A Silicon Molecular Beam Epitaxy System Dedicated to Device-Oriented Material Research. J. Cryst. Growth 1995, 157, 285–294. [Google Scholar] [CrossRef]
- Myronov, M.; Jahandar, P.; Rossi, S.; Sewell, K.; Murphy-Armando, F.; Pezzoli, F. Efficient In Situ Doping of Strained Germanium Tin Epilayers at Unusually Low Temperature. Adv. Electron. Mater. 2024, 10, 2300811. [Google Scholar] [CrossRef]
- Kong, Z.; Wang, G.; Liang, R.; Su, J.; Xun, M.; Miao, Y.; Gu, S.; Li, J.; Cao, K.; Lin, H.; et al. Growth and Strain Modulation of GeSn Alloys for Photonic and Electronic Applications. Nanomaterials 2022, 12, 981. [Google Scholar] [CrossRef]
- Huang, Y.-C. (Invited) Epitaxial Germanium and Germanium Tin Alloys By Thermal Chemical Vapor Deposition. ECS Meet. Abstr. 2018, MA2018-02, 1010. [Google Scholar] [CrossRef]
- Radamson, H.H.; Noroozi, M.; Jamshidi, A.; Thompson, P.E.; Östling, M. Strain Engineering in GeSnSi Materials. ECS Trans. 2013, 50, 527. [Google Scholar] [CrossRef]
- Yang, J.; Hu, H.; Miao, Y.; Dong, L.; Wang, B.; Wang, W.; Su, H.; Xuan, R.; Zhang, H. High-Quality GeSn Layer with Sn Composition up to 7% Grown by Low-Temperature Magnetron Sputtering for Optoelectronic Application. Materials 2019, 12, 2662. [Google Scholar] [CrossRef] [PubMed]
- Miao, Y.; Wang, Y.; Hu, H.; Liu, X.; Su, H.; Zhang, J.; Yang, J.; Tang, Z.; Wu, X.; Song, J.; et al. Characterization of Crystalline GeSn Layer on Tensile-Strained Ge Buffer Deposited by Magnetron Sputtering. Mater. Sci. Semicond. Process. 2018, 85, 134–140. [Google Scholar] [CrossRef]
- Tanaka, T.; Shibuya, T.; Tonouchi, N.; Miyamoto, T.; Kanaori, M.; Fukuda, N.; Yuge, R. Evaluation and Modeling of Electrical Conductivity of Semi-Conducting Carbon Nanotube Networks for Bolometric Infrared Detectors. In Proceedings of the Infrared Technology and Applications XLIX, Orlando, FL, USA, 13 June 2023; Ting, D.Z., Fulop, G.F., Zheng, L.L., Eds.; SPIE: Bellingham, WA, USA, 2023; p. 60. [Google Scholar]
- Yon, J.-J.; Mottin, E.; Tissot, J.-L. Latest Amorphous Silicon Microbolometer Developments at LETI-LIR. In Proceedings of the Infrared Technology and Applications XXXIV, Orlando, FL, USA, 3 April 2008; Andresen, B.F., Fulop, G.F., Norton, P.R., Eds.; SPIE: Bellingham, WA, USA, 2008; p. 69401W. [Google Scholar]
- Xia, Y.; Wang, Z.; Song, L.; Wang, W.; Chen, J.; Ma, S. Inductively Coupled Plasma Etching of Bulk Tungsten for MEMS Applications. Sens. Actuators A Phys. 2022, 345, 113825. [Google Scholar] [CrossRef]
- Hao, X.; He, P.; Li, X. Selective Electrochemical Etching of Cantilever-Type SOI-MEMS Devices. Nanotechnol. Precis. Eng. 2022, 5, 023003. [Google Scholar] [CrossRef]
- Laermer, F.; Urban, A. MEMS at Bosch—Si Plasma Etch Success Story, History, Applications, and Products. Plasma Process. Polym. 2019, 16, 1800207. [Google Scholar] [CrossRef]
- Fischer, A.C.; Belova, L.M.; Rikers, Y.G.M.; Malm, B.G.; Radamson, H.H.; Kolahdouz, M.; Gylfason, K.B.; Stemme, G.; Niklaus, F. 3D Free-Form Patterning of Silicon by Ion Implantation, Silicon Deposition, and Selective Silicon Etching. Adv. Funct. Mater. 2012, 22, 4004–4008. [Google Scholar] [CrossRef]
- Guo, Y.; Luo, M.; Ma, H.; Zhu, H.; Yu, L.; Yan, F.; Han, P.; Ji, X. Microbolometer with a Salicided Polysilicon Thermistor in CMOS Technology. Opt. Express 2021, 29, 37787. [Google Scholar] [CrossRef]
- Fujisawa, D.; Maegawa, T.; Ohta, Y.; Kosasayama, Y.; Ohnakado, T.; Hata, H.; Ueno, M.; Ohji, H.; Sato, R.; Katayama, H.; et al. Two-Million-Pixel SOI Diode Uncooled IRFPA with 15 Μm Pixel Pitch. In Proceedings of the Infrared Technology and Applications XXXVIII, Baltimore, MD, USA, 1 May 2012; Andresen, B.F., Fulop, G.F., Norton, P.R., Eds.; SPIE: Bellingham, WA, USA, 2012; Volume 8353, pp. 496–508. [Google Scholar]
- Kwon, H.; Suzuki, K.; Ishii, K.; Yagi, H.; Honda, H.; Atsuta, M.; Fujiwara, I.; Sasaki, K.; Ogata, M.; Ueno, R.; et al. A SOI-Based CMOS-MEMS IR Image Sensor with Partially Released Reference Pixels. J. Micromech. Microeng. 2011, 21, 025028. [Google Scholar] [CrossRef]
- Boudou, N.; Durand, A.; Tinnes, S.; Gorecki, A.; Cueff, M.; Virot, A. ULIS Bolometer Improvements for Fast Imaging Applications. In Proceedings of the Infrared Technology and Applications XLV, Baltimore, MD, USA, 9 May 2019; Fulop, G.F., Hanson, C.M., Andresen, B.F., Eds.; SPIE: Bellingham, WA, USA, 2019; p. 59. [Google Scholar]
- Vogt, H.; Weiler, D.; Hochschulz, F.; Busch, C.; Stein, M.; Michel, M.D.; Würfel, D.; Lerch, R.; Petermann, M.; Geruschke, T.; et al. High-Performance Uncooled Digital 17 Μm QVGA-IRFPA-Using Microbolometer Based on Amorphous Silicon with Massively Parallel Sigma-Delta-ADC Readout. In Proceedings of the Infrared Technology and Applications XLIV, Orlando, FL, USA, 29 May 2018; Fulop, G.F., Hanson, C.M., Norton, P.R., Andresen, B.F., Miller, J.L., Eds.; SPIE: Bellingham, WA, USA, 2018; p. 48. [Google Scholar]
- Généreux, F.; Tremblay, B.; Gay, D.; Briand, M.; Deshaies, S.; Poirier, M.; Caron, J.-S.; Alain, C.; Béland, D.; Provencal, F.; et al. Small Uncooled Bolometers with a Broad Spectral Response. In Proceedings of the Infrared Technology and Applications XLIV, Orlando, FL, USA, 29 May 2018; Fulop, G.F., Hanson, C.M., Norton, P.R., Andresen, B.F., Miller, J.L., Eds.; SPIE: Bellingham, WA, USA, 2018; p. 52. [Google Scholar]
- Liddiard, K.C. Perspective of Australian Uncooled IR Sensor Technology. In Proceedings of the Infrared Technology and Applications XLIV, San Diego, CA, USA, 15 December 2000; Andresen, B.F., Fulop, G.F., Strojnik, M., Eds.; SPIE: Bellingham, WA, USA, 2000; p. 208. [Google Scholar]
- Liddiard, K.C. Thin-Film Resistance Bolometer IR Detectors. Infrared Phys. 1984, 24, 57–64. [Google Scholar] [CrossRef]
- Liddiard, K.C. Thin-Film Resistance Bolometer IR Detectors—II. Infrared Phys. 1986, 26, 43–49. [Google Scholar] [CrossRef]
- Bañobre, A. Silicon Based Uncooled Microbolometer. Ph.D. Thesis, New Jersey Institute of Technology, Newark, NJ, USA, 2018. [Google Scholar]
- Ambrosio, R.; Moreno, M.; Mireles, J., Jr.; Torres, A.; Kosarev, A.; Heredia, A. An Overview of Uncooled Infrared Sensors Technology Based on Amorphous Silicon and Silicon Germanium Alloys. Phys. Status Solidi C 2010, 7, 1180–1183. [Google Scholar] [CrossRef]
- Ruß, M.; Bauer, J.; Vogt, H. The Geometric Design of Microbolometer Elements for Uncooled Focal Plane Arrays. In Proceedings of the Infrared Technology and Applications XXXIII, Orlando, FL, USA, 27 April 2007; Andresen, B.F., Fulop, G.F., Norton, P.R., Eds.; SPIE: Bellingham, WA, USA, 2007; p. 654223. [Google Scholar]
- Sedky, S.; Fiorini, P.; Caymax, M.; Verbist, A.; Baert, C. IR Bolometers Made of Polycrystalline Silicon Germanium. Sens. Actuators A Phys. 1998, 66, 193–199. [Google Scholar] [CrossRef]
- Roer, A.; Lapadatu, A.; Wolla, E.; Kittilsland, G. High-Performance LWIR Microbolometer with Si/SiGe Quantum Well Thermistor and Wafer Level Packaging. In Proceedings of the Infrared Technology and Applications XXXIX, Baltimore, MD, USA, 11 June 2013; Andresen, B.F., Fulop, G.F., Hanson, C.M., Norton, P.R., Robert, P., Eds.; SPIE: Bellingham, WA, USA, 2013; p. 87041B. [Google Scholar]
- Xu, B.; Wang, G.; Du, Y.; Miao, Y.; Li, B.; Zhao, X.; Lin, H.; Yu, J.; Su, J.; Dong, Y.; et al. Monolithic Integration of O-Band InAs Quantum Dot Lasers with Engineered GaAs Virtual Substrate Based on Silicon. Nanomaterials 2022, 12, 2704. [Google Scholar] [CrossRef]
- Muckensturm, K.-M.; Weiler, D.; Hochschulz, F.; Busch, C.; Geruschke, T.; Wall, S.; Heß, J.; Würfel, D.; Lerch, R.; Vogt, H. Measurement Results of a 12 Μm Pixel Size Microbolometer Array Based on a Novel Thermally Isolating Structure Using a 17 Μm ROIC. In Proceedings of the Infrared Technology and Applications XLII, Baltimore, MD, USA, 20 May 2016; Andresen, B.F., Fulop, G.F., Hanson, C.M., Miller, J.L., Norton, P.R., Eds.; SPIE: Bellingham, WA, USA, 2016; p. 98191N. [Google Scholar]
- Kuhl, A.; Weiler, D.; Hochschulz, F.; Busch, C.; Stein, M.; Michel, M.D.; Lerch, R.; Petermann, M.; Geruschke, T.; Blaeser, S.; et al. Digital Uncooled IRFPAs Based on Microbolometers with 17 Μm and 12 Μm Pixel Pitch. In Proceedings of the Electro-Optical and Infrared Systems: Technology and Applications XV, Berlin, Germany, 9 October 2018; Hickman, D.L., Huckridge, D.A., Bürsing, H., Eds.; SPIE: Bellingham, WA, USA, 2018; p. 3. [Google Scholar]
- Michel, M.; Weyers, S.; Weiler, D.; Blaeser, S.; Zakizade, E.; Hochschulz, F.; Vogt, H. Scalable Nanotube-Microbolometer Technology with Pixel Pitches from 12 down to 6 Μm. In Proceedings of the Electro-Optical and Infrared Systems: Technology and Applications XVII, Online Only, 20 September 2020; Hickman, D.L., Bürsing, H., Eds.; SPIE: Bellingham, WA, USA, 2020; p. 3. [Google Scholar]
- Michel, M.; Blaeser, S.; Zakizade, E.; Weyers, S.; Weiler, D. 6 Μm Microbolometers for Uncooled Thermal Imaging. In Proceedings of the Electro-Optical and Infrared Systems: Technology and Applications XVIII and Electro-Optical Remote Sensing XV, Online Only, 12 September 2021; Hickman, D.L., Bürsing, H., Kamerman, G.W., Steinvall, O., Eds.; SPIE: Bellingham, WA, USA, 2021; p. 3. [Google Scholar]
- Michel, M.; Blaeser, S.; Litke, A.; Zakizade, E.; Weyers, S.; Weiler, D. Capabilities of Scaled Microbolometers for Uncooled Thermal Imaging below 10 µm Pixel Pitch. In Proceedings of the Infrared Technology and Applications XLIX, Orlando, FL, USA, 13 June 2023; Ting, D.Z., Fulop, G.F., Zheng, L.L., Eds.; SPIE: Bellingham, WA, USA, 2023; p. 39. [Google Scholar]
- Celik, O.; Aydin, O.; Aydemir, K.; Yidizak, C.; Keskin, S.; Nuzumlali, O.L.; Yuce, F.G. Electro-Optical Characterization of TEC-Less ASELSAN SAFIR640 Microbolometer FPA. In Proceedings of the Infrared Technology and Applications XLVIII, Orlando, FL, USA, 27 May 2022; Fulop, G.F., Kimata, M., Zheng, L., Andresen, B.F., Miller, J.L., Kim, Y.-H., Eds.; SPIE: Bellingham, WA, USA, 2022; p. 41. [Google Scholar]
- Jeong, Y.; Kwon, M.-H.; Jung, H.; Kang, S.G. Development of Titanium Oxide Based 12 µm Pixel Pitch Uncooled Infrared Detector. In Proceedings of the Infrared Technology and Applications XLIV, Orlando, FL, USA, 14 May 2018; Fulop, G.F., Hanson, C.M., Norton, P.R., Andresen, B.F., Miller, J.L., Eds.; SPIE: Bellingham, WA, USA, 2018; p. 54. [Google Scholar]
- Tanaka, T.; Sano, M.; Noguchi, M.; Miyazaki, T.; Kanaori, M.; Miyamoto, T.; Oda, N.; Yuge, R. Fabrication and Characterization of Bolometer Type Uncooled IRFPAs Using Semi-Conducting SWCNT Networks in VGA Formats. In Proceedings of the Infrared Technology and Applications L, Oxon Hill, MD, USA, 7 June 2024; Ting, D.Z., Fulop, G.F., Kimata, M., MacDougal, M.H., Eds.; SPIE: Bellingham, WA, USA, 2024; p. 31. [Google Scholar]
- Radamson, H.; Luo, J.; Simoen, E.; Zhao, C. (Eds.) CMOS Past, Present, and Future; Woodhead Publishing series in electronic and optical materials; Woodhead Publishing: Cambridge, UK, 2018; ISBN 978-0-08-102139-2. [Google Scholar]
- Radamson, H.H.; Miao, Y.; Zhou, Z.; Wu, Z.; Kong, Z.; Gao, J.; Yang, H.; Ren, Y.; Zhang, Y.; Shi, J.; et al. CMOS Scaling for the 5 Nm Node and Beyond: Device, Process and Technology. Nanomaterials 2024, 14, 837. [Google Scholar] [CrossRef]
- Radamson, H.H.; Wang, G. Special Issue: Silicon Nanodevices. Nanomaterials 2022, 12, 1980. [Google Scholar] [CrossRef]
- Cortial, S.; Pautet, C.; Bruneau, B.; Robert, P.; Guillaumont, M.; Henaff, E.; Siladie, A.-M.; Rousseau, K.; Magnin Oddos, J.; Bouvard, F.; et al. Status of 8.5 μm Pitch Bolometer Developments at Lynred. In Proceedings of the Infrared Technology and Applications XLIX, Orlando, FL, USA, 13 June 2023; Ting, D.Z., Fulop, G.F., Zheng, L.L., Eds.; SPIE: Bellingham, WA, USA, 2023; p. 40. [Google Scholar]
- World’s 1st 8 μm Uncooled Infrared Detector with Large Array of 1920x1080 Was Launched by Infiray. Available online: https://www.infirayoutdoor.com/ (accessed on 25 April 2024).
- Varpula, A.; Murros, A.; Sovanto, K.; Rantala, A.; Gomes Martins, D.; Tappura, K.; Tiira, J.; Prunnila, M. High-Performance Silicon-Based Nano-Thermoelectric Bolometers for Uncooled Infrared Sensing. In Proceedings of the Electro-Optical and Infrared Systems: Technology and Applications XX, Amsterdam, The Netherlands, 23 October 2023; Hickman, D.L., Bürsing, H., Steinvall, O., Kamerman, G.W., Eds.; SPIE: Bellingham, WA, USA, 2023; p. 1. [Google Scholar]
- Du, Y.; Xu, B.; Wang, G.; Miao, Y.; Li, B.; Kong, Z.; Dong, Y.; Wang, W.; Radamson, H.H. Review of Highly Mismatched III-V Heteroepitaxy Growth on (001) Silicon. Nanomaterials 2022, 12, 741. [Google Scholar] [CrossRef]
- Du, Y.; Kong, Z.; Toprak, M.S.; Wang, G.; Miao, Y.; Xu, B.; Yu, J.; Li, B.; Lin, H.; Han, J.; et al. Investigation of the Heteroepitaxial Process Optimization of Ge Layers on Si (001) by RPCVD. Nanomaterials 2021, 11, 928. [Google Scholar] [CrossRef]
- Du, Y.; Wang, G.; Miao, Y.; Xu, B.; Li, B.; Kong, Z.; Yu, J.; Zhao, X.; Lin, H.; Su, J.; et al. Strain Modulation of Selectively and/or Globally Grown Ge Layers. Nanomaterials 2021, 11, 1421. [Google Scholar] [CrossRef]
- Gonçalves Dalkiranis, G.; Ferrando-Villalba, P.; Lopeandia-Fernández, A.; Abad-Muñoz, L.; Rodríguez-Viejo, J. Thermoelectric Photosensor Based on Ultrathin Single-Crystalline Si Films. Sensors 2019, 19, 1427. [Google Scholar] [CrossRef] [PubMed]
- Yamamoto, Y.; Goritz, A.; Korndoerfer, F.; Zaumseil, P.; Kulse, P.; Schulz, K.; Wietstruck, M.; Shafique, A.; Gurbuz, Y.; Kaynak, M.; et al. Pixel Resistance Optimization of a Si0.5Ge0.5/Si MQWs Thermistor Based on in-Situ B Doping for Microbolometer Applications. In Proceedings of the Infrared Technology and Applications XLIV, Orlando, FL, USA, 29 May 2018; Fulop, G.F., Hanson, C.M., Norton, P.R., Andresen, B.F., Miller, J.L., Eds.; SPIE: Bellingham, WA, USA, 2018; p. 53. [Google Scholar]
- Varpula, A.; Timofeev, A.V.; Shchepetov, A.; Grigoras, K.; Hassel, J.; Ahopelto, J.; Ylilammi, M.; Prunnila, M. Thermoelectric Thermal Detectors Based on Ultra-Thin Heavily Doped Single-Crystal Silicon Membranes. Appl. Phys. Lett. 2017, 110, 262101. [Google Scholar] [CrossRef]
- Miao, Y.-H.; Hu, H.-Y.; Li, X.; Song, J.-J.; Xuan, R.-X.; Zhang, H.-M. Evaluation of Threading Dislocation Density of Strained Ge Epitaxial Layer by High Resolution X-Ray Diffraction. Chin. Phys. B 2017, 26, 127309. [Google Scholar] [CrossRef]
- Shchepetov, A.; Prunnila, M.; Alzina, F.; Schneider, L.; Cuffe, J.; Jiang, H.; Kauppinen, E.I.; Sotomayor Torres, C.M.; Ahopelto, J. Ultra-Thin Free-Standing Single Crystalline Silicon Membranes with Strain Control. Appl. Phys. Lett. 2013, 102, 192108. [Google Scholar] [CrossRef]
- Radamson, H.H.; Joelsson, K.B.; Ni, W.-X.; Hultman, L.; Hansson, G.V. Characterization of Highly Boron-Doped Si, Si1 − xGex and Ge Layers by High-Resolution Transmission Electron Microscopy. J. Cryst. Growth 1995, 157, 80–84. [Google Scholar] [CrossRef]
- Watanabe, S.; Sugawara, H.; Häusermann, R.; Blülle, B.; Yamamura, A.; Okamoto, T.; Takeya, J. Remarkably Low Flicker Noise in Solution-Processed Organic Single Crystal Transistors. Commun. Phys. 2018, 1, 37. [Google Scholar] [CrossRef]
- Andersson, J.Y.; Ericsson, P.; Radamson, H.H.; Wissmar, S.G.E.; Kolahdouz, M. SiGe/Si Quantum Structures as a Thermistor Material for Low Cost IR Microbolometer Focal Plane Arrays. Solid-State Electron. 2011, 60, 100–104. [Google Scholar] [CrossRef]
- Di Benedetto, L.; Kolahdouz, M.; Malm, B.G.; Ostling, M.; Radamson, H.H. Strain Balance Approach for Optimized Signal-to-Noise Ratio in SiGe Quantum Well Bolometers. In Proceedings of the 2009 European Solid State Device Research Conference, Athens, Greece, 14–18 September 2009; pp. 101–104. [Google Scholar]
























| Year | Organization | Technique | Materials | TCR (%/K) @RT | Resistivity (Ω·cm) | Refs |
|---|---|---|---|---|---|---|
| 2013 | NEC | ELAMOD | Vanadium niobate | −3.6 | - | [175] |
| 2019 | Hacettepe University | DC magnetron sputtering | α-VWOx | −2.45 −2.75 −3.02 | 2.4 4.8 8.1 | [176] |
| 2022 | Ajou University | ALD | Al-doped VOx | −4.2 | - | [177] |
| 2023 | UNT | DC sputtering | VOx/SWCNT composite | −3.65 | - | [178] |
| 2024 | Ajou University | PEALD | Al2O3/Al:VOx | −3.5 | - | [179] |
| Year | Organization | Technique | Materials | TCR (%/K) @RT | Resistivity (Ω·cm) | Refs |
|---|---|---|---|---|---|---|
| 2010 | KTH | RPCVD | Si0.35Ge0.65 (C)/Si(C) MQWs | −4.5 | - | [74] |
| 2010 | L-3 | PECVD | α-Si:H | ~−3.9 | - | [188] |
| 2018 | University of Missouri | RF magnetron sputtering | α-Si0.054Ge0.877O0.069 | −3.5 | 629 | [189] |
| 2020 | INAOE | PECVD | pm-SixGe1−x:H | −4.08 | 6.67 × 104 | [190] |
| 2023 | Chungnam National University | PECVD | high SCCM B-doped α-Si:H low SCCM B-doped α-Si:H high SCCM P-doped α-Si:H low SCCM P-doped α-Si:H | −3.01 −4.16 −5.01 −5.08 | 2.28 × 103 3.45 × 103 1.49 × 105 2.48 × 106 | [191] |
| Year | Organization | Technique | Materials | TCR (%/K) @RT | Resistivity (Ω·cm) | Refs |
|---|---|---|---|---|---|---|
| 2008 | i3 system Company | reactive sputtering | TiO2−δ | −2.1 | 1 | [193] |
| 2015 | KAIST | RF reactive magnetron sputtering | TiO2−x @RO2 = 3.7% | −3.65 | 42.65 | [194] |
| 2016 | ASTU | ALD | TiOx | −7.2 | 4.5 × 10−4 | [195] |
| 2018 | KAIST | RF reactive sputtering | 0 at.% Nb:TiO2−x 0.5 at.% Nb:TiO2−x 1 at.% Nb:TiO2−x | −2.54 −2.65 −2.78 | 0.82 0.75 0.69 | [196] |
| 2022 | Solid State Physics Laboratory | RF reactive magnetron sputtering | TiO1.5 TiO1.9 | −1.12 −4.87 | 1.2 58.7 | [197] |
| Year | Organization | Technique | Materials | TCR (%/K) @RT | Resistivity (Ω·cm) | Refs |
|---|---|---|---|---|---|---|
| 2003 | INAOE | LP-PECVD | α-Ge | −5 | 400 | [199] |
| 2015 | Rensselaer Polytechnic Institute | drying solution | Semiconductive SWNT Semi-Metal SWNT Metallic SWNT | −6.5 ± 1.9 −2.3 ± 0.9 −3.0 ± 0.4 | 1.1 × 106 4.8 × 105 5.3 × 105 | [200] |
| 2017 | Universidad Autónoma de San Luís Potosí | drying solution | t-MWNT | −5.6 ± 0.1 | - | [201] |
| 2017 | KAIST | RF magnetron sputtering | Poly-Ni1−xO at 1 mTorr Poly-Ni1−xO at 2 mTorr Poly-Ni1−xO at 5 mTorr Poly-Ni1−xO at 10 mTorr | −2.76 −2.82 −3.80 −5.62 | 10.22 13.35 205.34 4.55 × 104 | [202] |
| 2018 | KAIST | RF magnetron sputtering | (LiyNi1−y)1−xO | −2.78 | - | [203] |
| 2023 | King Saud University | co-sputtering | Ge Ge0.83Sn0.17 Ge0.78Sn0.22 Ge0.75Sn0.25 Ge0.69Sn0.31 Ge0.65Sn0.35 Ge0.6Sn0.4 | −4.45 −3.96 −3.63 −3.29 −3.12 −2.74 −2.52 | 487.2 164.6 69.14 45.46 27.98 9.23 4.86 | [204] |
Disclaimer/Publisher’s Note: The statements, opinions and data contained in all publications are solely those of the individual author(s) and contributor(s) and not of MDPI and/or the editor(s). MDPI and/or the editor(s) disclaim responsibility for any injury to people or property resulting from any ideas, methods, instructions or products referred to in the content. |
© 2025 by the authors. Licensee MDPI, Basel, Switzerland. This article is an open access article distributed under the terms and conditions of the Creative Commons Attribution (CC BY) license (https://creativecommons.org/licenses/by/4.0/).
Share and Cite
Wang, B.; Zhao, X.; Dong, T.; Li, B.; Zhang, F.; Su, J.; Ren, Y.; Duan, X.; Lin, H.; Miao, Y.; et al. Convergence of Thermistor Materials and Focal Plane Arrays in Uncooled Microbolometers: Trends and Perspectives. Nanomaterials 2025, 15, 1316. https://doi.org/10.3390/nano15171316
Wang B, Zhao X, Dong T, Li B, Zhang F, Su J, Ren Y, Duan X, Lin H, Miao Y, et al. Convergence of Thermistor Materials and Focal Plane Arrays in Uncooled Microbolometers: Trends and Perspectives. Nanomaterials. 2025; 15(17):1316. https://doi.org/10.3390/nano15171316
Chicago/Turabian StyleWang, Bo, Xuewei Zhao, Tianyu Dong, Ben Li, Fan Zhang, Jiale Su, Yuhui Ren, Xiangliang Duan, Hongxiao Lin, Yuanhao Miao, and et al. 2025. "Convergence of Thermistor Materials and Focal Plane Arrays in Uncooled Microbolometers: Trends and Perspectives" Nanomaterials 15, no. 17: 1316. https://doi.org/10.3390/nano15171316
APA StyleWang, B., Zhao, X., Dong, T., Li, B., Zhang, F., Su, J., Ren, Y., Duan, X., Lin, H., Miao, Y., & Radamson, H. H. (2025). Convergence of Thermistor Materials and Focal Plane Arrays in Uncooled Microbolometers: Trends and Perspectives. Nanomaterials, 15(17), 1316. https://doi.org/10.3390/nano15171316

