An Experimental Investigation on the Flow Boiling Heat Transfer Performance of Nanofluid in 3D Printing Minichannel Heat Sinks: A Comparative Study
Abstract
1. Introduction
2. Experiments
2.1. Experimental Apparatus and Procedure
2.2. Preparation and Stability of Nanofluids
3. Experimental Results and Discussions

4. Conclusions
- (1)
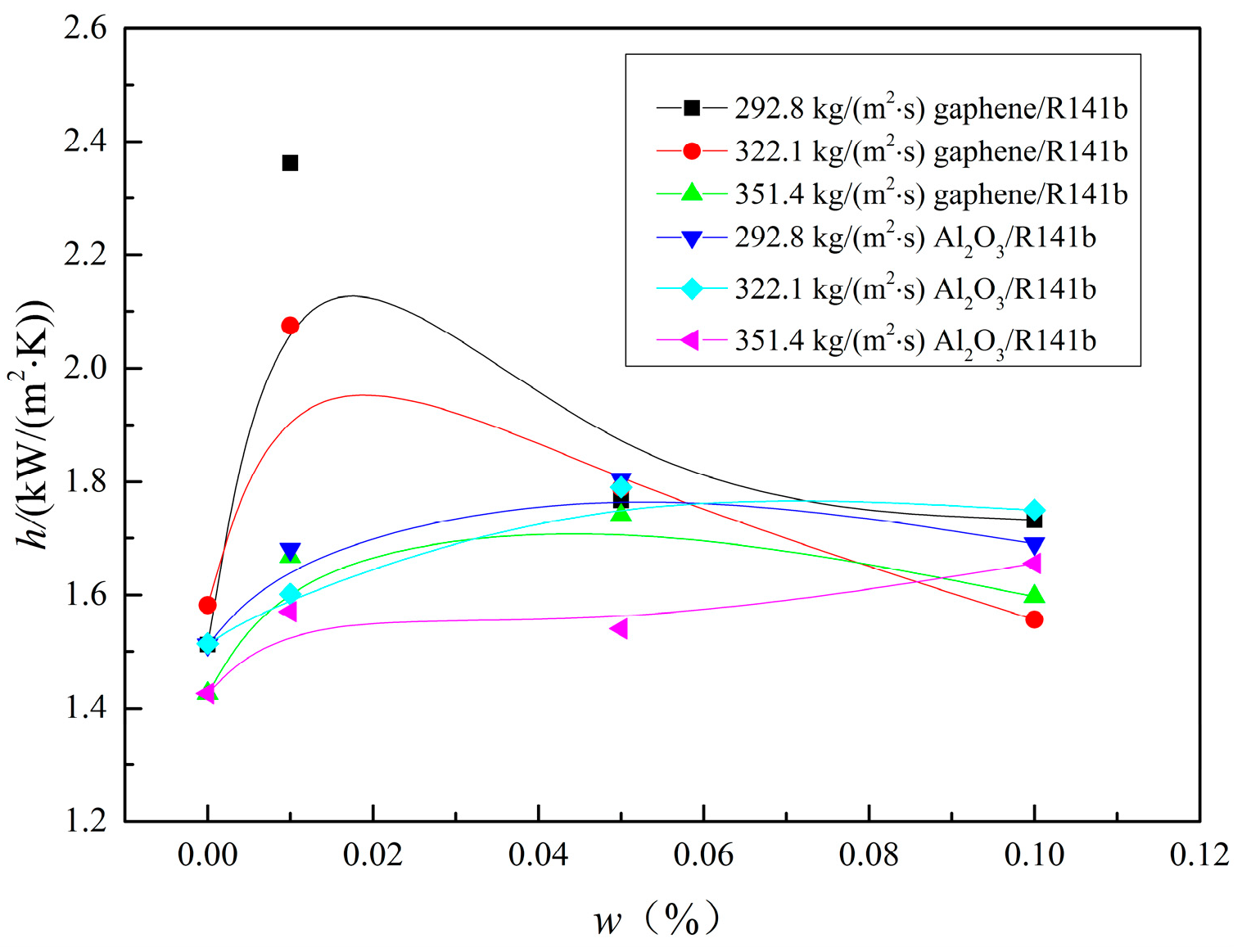
- Experimental results indicate that introducing nanoparticles into pure R141b fluid enhances its heat transfer performance. Compared to pure R141b, the maximum average heat transfer coefficients of graphene/R141b and Al2O3/R141b nanofluids increase by 35.4% and 31.7%, respectively. The heat transfer performance of these nanofluids exhibits nonlinear growth with increasing mass concentration: it peaks at 0.02 wt% and then slightly declines.
- (2)
- It is interesting to observe that the heat transfer coefficient of graphene/R141b is larger than that of Al2O3/R141b under the same conditions. The average heat transfer coefficient of graphene/R141b increased by 19.7% compared with that of Al2O3/R141b. The main reason is that graphene nanosheets have a larger contact area with the liquid working medium compared with the nanoparticle Al2O3, and the graphene/R141b thermal conductivity is also significantly higher than that of Al2O3/R141b nanofluids.
- (3)
- The key factor behind the improved heat transfer performance is that suspended nanoparticles enhance the fluid’s effective thermal conductivity, making it higher than that of the base fluid. Furthermore, the Brownian motion of nanoparticles intensifies mixing fluctuations and turbulence within the fluid. Additionally, the liquid film thickness thins, reducing the movement space of nanoparticles in the film. For graphene/R141b and Al2O3/R141b nanofluids, their heat transfer coefficients decrease as mass concentration increases, primarily due to nanoparticle deposition on the channel surface during flow boiling experiments.
Author Contributions
Funding
Data Availability Statement
Conflicts of Interest
Nomenclature
| A | Minichannel heating area |
| cf | Liquid specific heat, J/(kg∙K) |
| M | Mass flow rate, kg/s |
| G | Mass flux, kg/(m2∙s) |
| hfg | Latent heat of vaporization, J/kg |
| Hch | Channel depth, m |
| kal | Aluminum thermal conductivity, W/(m∙K) |
| kst | Heat sink thermal conductivity, W/(m∙K) |
| kdr | Silica thermal conductivity, W/(m∙K) |
| q | Heat flux, kW/m2 |
| Q | Input power produced, W |
| Ql | Heat absorbed by working fluid, W |
| Rt | Thermal conductivity of copper, W/(m∙K) |
| Tw | Wall temperature, °C |
| Tsat | Fluid saturation temperature, °C |
| Tj | Upper wall temperature, °C |
| Ti | Bottom wall temperature, °C |
| Ww | Minichannel interval spacing, m |
| Wch | Channel spacing, m |
| Greeks | |
| μnp,l | Liquid viscosity, Pa.s |
| ρnp,l | Liquid density, kg/m3 |
| cnp,l | Specific heat capacity, kJ∙kg−1∙K−1 |
| λnp,l | Thermal conductivity, W∙m−1∙K−1 |
References
- Lee, H.; Park, I.; Mudawar, I.; Hasan, M.M. Micro-channel evaporator for space applications-1. Experimental pressure drop and heat transfer results for different orientations in earth gravity. Int. J. Heat Mass Transf. 2014, 77, 1213–1230. [Google Scholar] [CrossRef]
- Mudawar, I.; Bharathan, D.; Kelly, K.; Narumanchi, S. Two-phase Spray Cooling of Hybrid Vehicle Electronics. IEEE Trans. Compon. Packag. Technol. 2009, 32, 501–512. [Google Scholar] [CrossRef]
- Sadaghiani, A.K.; Saadi, N.S.; Parapari, S.S.; Karabacak, T.; Keskinoz, M.; Koşar, A. Boiling heat transfer performance enhancement using micro and nano structured surfaces for high heat flux electronics cooling systems. Appl. Therm. Eng. 2017, 127, 484–498. [Google Scholar] [CrossRef]
- Li, S.-F.; Bao, Y.-Y.; Wang, P.-Y.; Liu, Z.-H. Effect of nano-structure coating on thermal performance of thermosyphon boiling in micro-channels. Int. J. Heat Mass Transf. 2018, 124, 463–474. [Google Scholar] [CrossRef]
- Wei, W.; Deng, D.; Huang, Q.; Zeng, T.; Huang, Y. Experimental study and optimization of pin fin shapes in flow boiling of micro pin fin heat sinks. Appl. Therm. Eng. 2017, 114, 436–449. [Google Scholar]
- Wonga, M.; Owen, I.; Sutcliffe, C.J.; Puri, A. Convective heat transfer and pressure losses across novel heat sinks fabricated by Selective Laser Melting. Int. J. Heat Mass Transf. 2009, 52, 281–288. [Google Scholar] [CrossRef]
- Saidur, R.; Kazi, S.; Hossain, M.; Rahman, M.; Mohammed, H. A review on the performance of nanoparticles suspended with refrigerants and lubricating oils in refrigeration systems. Renew. Sustain. Energy Rev. 2011, 15, 310–323. [Google Scholar] [CrossRef]
- Patil, M.; Kim, S.; Seo, J.H.; Lee, M.Y. Review of the Thermo-Physical Properties and Performance Characteristics of a Refrigeration System Using Refrigerant-Based Nanofluids. Energies 2015, 9, 22–39. [Google Scholar] [CrossRef]
- Peng, H.; Lin, L.; Ding, G. Influences of primary particle parameters and surfactant on aggregation behavior of nanoparticles in nanorefrigerant. Energy 2015, 89, 410–420. [Google Scholar] [CrossRef]
- Abdollahi, A.; Mohammed, H.A.; Vanaki, S.M.; Sharma, R.N. Numerical investigation of fluid flow and heat transfer of nanofluids in microchannel with longitudinal fins. Ain Shams Eng. J. 2018, 9, 3411–3418. [Google Scholar] [CrossRef]
- Wu, J.; Zhao, J.; Lei, J.; Liu, B. Effectiveness of nanofluid on improving the performance of microchannel heat sink. Appl. Therm. Eng. 2016, 101, 402–412. [Google Scholar] [CrossRef]
- Bahiraei, M. Particle migration in nanofluids: A critical review. Int. J. Therm. Sci. 2016, 109, 90–113. [Google Scholar] [CrossRef]
- Bahiraei, M.; Hangi, M. Flow and heat transfer characteristics of magnetic nanofluids: A review. J. Magn. Magn. Mater. 2015, 374, 125–138. [Google Scholar] [CrossRef]
- Bahiraei, M.; Abdi, F. Development of a model for entropy generation of water-TiO2 nanofluid flow considering nanoparticle migration within a minichannel. Chemom. Intell. Lab. Syst. 2016, 157, 16–28. [Google Scholar] [CrossRef]
- Bahiraei, M.; Majd, S.M. Prediction of entropy generation for nanofluid flow through a triangular minichannel using neural network. Adv. Powder Technol. 2016, 27, 673–683. [Google Scholar] [CrossRef]
- Boudouh, M.; Gualous, H.L.; Labachelerie, M.D. Local convective boiling heat transfer and pressure drop of nanofluid in narrow rectangular channels. Appl. Therm. Eng. 2010, 30, 2619–2631. [Google Scholar] [CrossRef]
- Xu, L.; Xu, J. Nanofluid stabilizes and enhances convective boiling heat transfer in a single microchannel. Int. J. Heat Mass Transf. 2012, 55, 5673–5686. [Google Scholar] [CrossRef]
- Safaei, M.; Ahmadi, G.; Goodarzi, M.; Safdari Shadloo, M.; Goshayeshi, H.; Dahari, M. Heat Transfer and Pressure Drop in Fully Developed Turbulent Flows of Graphene Nanoplatelets-Silver/Water Nanofluids. Fluids 2016, 1, 20. [Google Scholar] [CrossRef]
- Yarmand, H.; Gharehkhani, S.; Ahmadi, G.; Shirazi, S.F.S.; Baradaran, S.; Montazer, E.; Zubir, M.N.M.; Alehashem, M.S.; Kazi, S.; Dahari, M. Graphene nanoplatelets–silver hybrid nanofluids for enhanced heat transfer. Energy Convers. Manag. 2015, 100, 419–428. [Google Scholar] [CrossRef]
- Yarmand, H.; Gharehkhani, S.; Shirazi, S.F.S.; Goodarzi, M.; Amiri, A.; Sarsam, W.S.; Alehashem, M.S.; Dahari, M.; Kazi, S.N. Study of synthesis, stability and thermo-physical properties of graphene nanoplatelet/platinum hybrid nanofluid. Int. Commun. Heat Mass Transf. 2016, 77, 15–21. [Google Scholar] [CrossRef]
- Wang, Y.; Deng, K.H.; Liu, B.; Wu, J.M.; Su, G.H. A correlation of nanofluid flow boiling heat transfer based on the experimental results of AlN/H2O and Al2O3/H2O nanofluid. Exp. Therm. Fluid Sci. 2017, 80, 376–383. [Google Scholar] [CrossRef]
- Zhou, J.; Luo, X.; Pan, Y.; Wang, D.; Xiao, J.; Zhang, J.; He, B. Flow boiling heat transfer coefficient and pressure drop in minichannels with artificial activation cavities by direct metal laser sintering. Appl. Therm. Eng. 2019, 160, 113837. [Google Scholar] [CrossRef]
- Zhou, J.; Luo, X.; Feng, Z.; Xiao, J.; Zhang, J.; Guo, F.; Li, H. Saturated flow boiling heat transfer investigation for nanofluid in minichannel. Exp. Therm. Fluid Sci. 2017, 85, 189–200. [Google Scholar] [CrossRef]
- Zhou, J.; Luo, X.; Deng, C.; Xie, M.; Zhang, L.; Wu, D.; Guo, F. Influence of nanoparticle concentrations on flow boiling heat transfer coefficients of Al2O3/R141b in micro heat exchanger by direct metal laser sintering. Chin. J. Chem. Eng. 2017, 25, 1714–1726. [Google Scholar] [CrossRef]
- Yong, T.; Chen, C.; Zhang, S.; Sun, Y.; Zeng, J.; Yuan, W.; Li, Z. Effects of structural parameter on flow boiling performance of interconnected microchannel net. Appl. Therm. Eng. 2016, 112, 164–173. [Google Scholar]
- Deng, D.; Xie, Y.; Huang, Q.; Wan, W. On the flow boiling enhancement in interconnected reentrant microchannels. Int. J. Heat Mass Transfer. 2017, 108, 453–467. [Google Scholar] [CrossRef]
- Moffat, R.J. Describing the uncertainties in experimental results. Exp. Therm. Fluid Sci. 1988, 1, 3–17. [Google Scholar] [CrossRef]
- Si, Y.; Samulski, E.T. Synthesis of water soluble graphene. Nano Lett. 2008, 8, 1679–1682. [Google Scholar] [CrossRef]
- Kandlikar, S.G.; Grande, W.J. Evolution of Microchannel Flow Passages--Thermohydraulic Performance and Fabrication Technology. Heat Transf. Eng. 2003, 24, 3–17. [Google Scholar] [CrossRef]
- Sommers, A.D.; Yerkes, K.L. Experimental investigation into the convective heat transferand system-level effects of Al2O3-propanol nanofluid. J. Nanoparticle Res. 2010, 12, 1003–1014. [Google Scholar] [CrossRef]
- Yang, X.-F.; Liu, Z.-H. Flow boiling heat transfer in the evaporator of a loop thermosyphon operating with CuO based aqueous nanofluid. Int. J. Heat Mass Transf. 2012, 55, 7375–7384. [Google Scholar] [CrossRef]
- Prajapati, O.S.; Rohatgi, N. Flow Boiling Heat Transfer Enhancement by Using ZnO-Water Nanofluids. Sci. Technol. Nucl. Install. 2014, 2014, 1–7. [Google Scholar] [CrossRef]
- Ahmed, O.; Hamed, M. Experimental investigation of the effect of particle deposition on pool boiling of nanofluids. Int. J. Heat Mass Transf. 2012, 55, 3423–3436. [Google Scholar] [CrossRef]
- Ding, Y.; Wen, D. Particle migration in a flow of nanoparticle suspensions. Powder Technol. 2005, 149, 84–92. [Google Scholar] [CrossRef]
- Hsu, Y.Y. On the Size Range of Active Nucleation Cavities on a Heating Surface. J. Heat Transf. 1962, 84, 207–213. [Google Scholar] [CrossRef]



| w/% | ρnp,l/(kg·m−3) | cnp,l/(kJ·kg−1·K−1) | λnp,l/(W·m−1·K−1) | μnp,l × 10−3/(Pa·s) | |
|---|---|---|---|---|---|
| Al2O3/R141b | 0.01% | 1186.708 | 1.188 | 0.454 | 0.315 |
| 0.05% | 1186.716 | 1.186 | 0.454 | 0.315 | |
| 0.1% | 1186.733 | 1.186 | 0.453 | 0.316 | |
| Graphene/R141b | 0.01% | 1186.703 | 1.188 | 2.908 | 0.315 |
| 0.05% | 1186.716 | 1.189 | 2.910 | 0.315 | |
| 0.1% | 1186.733 | 1.189 | 2.912 | 0.316 |
Disclaimer/Publisher’s Note: The statements, opinions and data contained in all publications are solely those of the individual author(s) and contributor(s) and not of MDPI and/or the editor(s). MDPI and/or the editor(s) disclaim responsibility for any injury to people or property resulting from any ideas, methods, instructions or products referred to in the content. |
© 2025 by the authors. Licensee MDPI, Basel, Switzerland. This article is an open access article distributed under the terms and conditions of the Creative Commons Attribution (CC BY) license (https://creativecommons.org/licenses/by/4.0/).
Share and Cite
Zhou, J.; Yin, Z. An Experimental Investigation on the Flow Boiling Heat Transfer Performance of Nanofluid in 3D Printing Minichannel Heat Sinks: A Comparative Study. Nanomaterials 2025, 15, 1054. https://doi.org/10.3390/nano15141054
Zhou J, Yin Z. An Experimental Investigation on the Flow Boiling Heat Transfer Performance of Nanofluid in 3D Printing Minichannel Heat Sinks: A Comparative Study. Nanomaterials. 2025; 15(14):1054. https://doi.org/10.3390/nano15141054
Chicago/Turabian StyleZhou, Jianyang, and Zhixin Yin. 2025. "An Experimental Investigation on the Flow Boiling Heat Transfer Performance of Nanofluid in 3D Printing Minichannel Heat Sinks: A Comparative Study" Nanomaterials 15, no. 14: 1054. https://doi.org/10.3390/nano15141054
APA StyleZhou, J., & Yin, Z. (2025). An Experimental Investigation on the Flow Boiling Heat Transfer Performance of Nanofluid in 3D Printing Minichannel Heat Sinks: A Comparative Study. Nanomaterials, 15(14), 1054. https://doi.org/10.3390/nano15141054
