Effect of Rising Time on AC Stress-Induced Performance Degradation in a-ITGZO Thin-Film Transistors
Abstract
1. Introduction
2. Materials and Methods
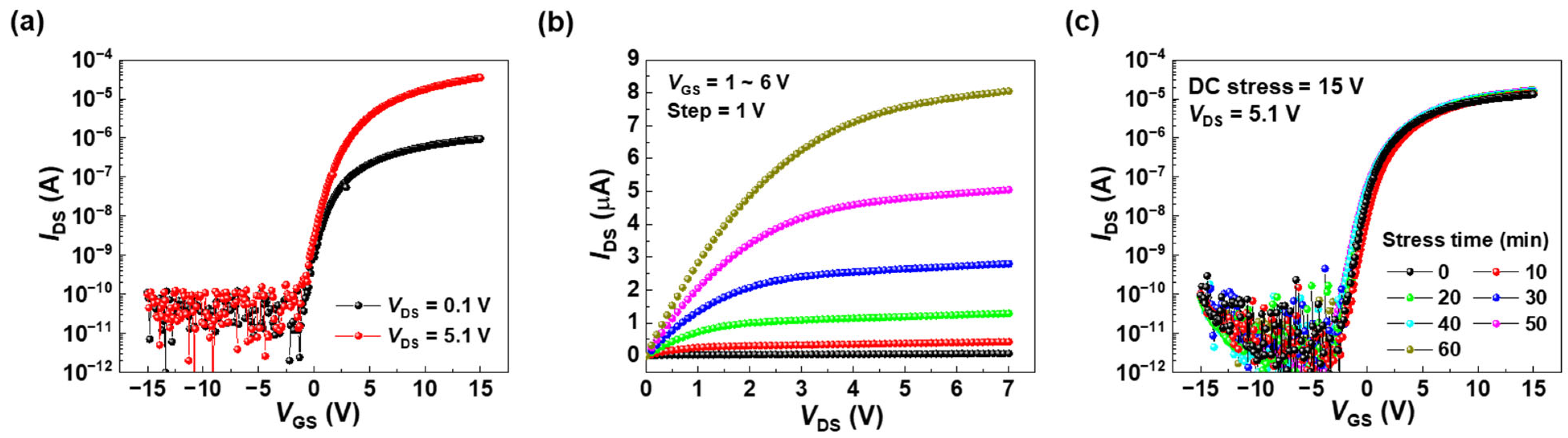
3. Results and Discussions
4. Conclusions
Author Contributions
Funding
Data Availability Statement
Conflicts of Interest
References
- Nomura, K.; Ohta, H.; Takagi, A.; Kamiya, T.; Hirano, M.; Hosono, H. Room-temperature fabrication of transparent flexible thin-film transistors using amorphous oxide semiconductors. Nature 2004, 432, 488–492. [Google Scholar] [CrossRef] [PubMed]
- Fortunato, E.; Barquinha, P.; Martins, R. Oxide semiconductor thin-film transistors: A review of recent advances. Adv. Mater. 2012, 24, 2945–2986. [Google Scholar] [CrossRef] [PubMed]
- Dargar, S.K.; Srivastava, V.M. Design and analysis of IGZO thin film transistor for AMOLED pixel circuit using double-gate tri active layer channel. Heliyon 2019, 5, e01452. [Google Scholar] [CrossRef]
- Fan, C.-L.; Lin, W.-Y.; Chen, C.-Y. New low-frame-rate compensating pixel circuit based on low-temperature poly-Si and oxide TFTs for high-pixel-density portable AMOLED displays. Micromachines 2021, 12, 1514. [Google Scholar] [CrossRef]
- Yan, A.; Wang, C.; Yan, J.; Wang, Z.; Zhang, E.; Dong, Y.; Yan, Z.Y.; Lu, T.; Cui, T.; Li, D. Thin-Film Transistors for Integrated Circuits: Fundamentals and Recent Progress. Adv. Funct. Mater. 2024, 34, 2304409. [Google Scholar] [CrossRef]
- An, J.; Liao, C.; Zhu, Y.; Zheng, X.; Dai, C.; Zhang, X.; Zhang, S. Gate driver on array with multiple outputs and variable pulse widths for low-temperature polysilicon and oxide (LTPO) TFTs driven AMOLED displays. IEEE Trans. Circuits Syst. II Express Briefs 2022, 70, 934–938. [Google Scholar] [CrossRef]
- Kim, J.; Chen, Y.; Lee, S.; Jang, J. A novel gate driver working under depletion mode oxide TFTs using low-temperature poly-Si oxide TFTs. IEEE Electron. Device Lett. 2021, 42, 1619–1622. [Google Scholar] [CrossRef]
- Yu, E.K.-H.; Abe, K.; Kumomi, H.; Kanicki, J. AC bias-temperature stability of a-InGaZnO thin-film transistors with metal source/drain recessed electrodes. IEEE Trans. Electron. Devices 2014, 61, 806–812. [Google Scholar] [CrossRef]
- Priyadarshi, S.; Billah, M.M.; Lim, T.; Urmi, S.S.; Jang, J. Reduced dynamic gate pulse stress instability in dual gate a-InGaZnO thin film transistors. IEEE Electron. Device Lett. 2023, 44, 428–431. [Google Scholar] [CrossRef]
- Lee, S.; Jeon, K.; Park, J.-H.; Kim, S.; Kong, D.; Kim, D.M.; Kim, D.H.; Kim, S.; Kim, S.; Hur, J. Electrical stress-induced instability of amorphous indium-gallium-zinc oxide thin-film transistors under bipolar ac stress. Appl. Phys. Lett. 2009, 95, 132101. [Google Scholar] [CrossRef]
- Kim, H.; Kim, B.J.; Oh, J.; Choi, S.-Y.; Park, H. Bi-directional threshold voltage shift of amorphous InGaZnO thin film transistors under alternating bias stress. Semicond. Sci. Technol. 2024, 39, 025011. [Google Scholar] [CrossRef]
- Kim, S.-J.; Lee, S.-Y.; Lee, Y.W.; Kuk, S.-H.; Kwon, J.-Y.; Han, M.-K. Effect of charge trapping/detrapping on threshold voltage shift of IGZO TFTs under AC bias stress. Electrochem. Solid-State Lett. 2012, 15, H108. [Google Scholar] [CrossRef]
- Kim, E.; Kim, C.-K.; Lee, M.K.; Bang, T.; Choi, Y.-K.; Park, S.-H.K.; Choi, K.C. Influence of the charge trap density distribution in a gate insulator on the positive-bias stress instability of amorphous indium-gallium-zinc oxide thin-film transistors. Appl. Phys. Lett. 2016, 108, 182104. [Google Scholar] [CrossRef]
- Zhu, G.; Chen, Z.; Zhang, M.; Lu, L.; Deng, S.; Wong, M.; Kwok, H.-S. Reliability of indium-tin-zinc-oxide thin-film transistors under dynamic drain voltage stress. Appl. Phys. Lett. 2024, 125, 023505. [Google Scholar] [CrossRef]
- Park, S.; Ho, D.; Park, H.-B.; Park, S.K.; Kim, C. Bilayer channel structure to improve the stability of solution-processed metal oxide transistors under AC stress. Mater. Sci. Semicond. Process. 2024, 171, 108000. [Google Scholar] [CrossRef]
- Kim, J.; Kim, S.; Kim, H.; Kim, S.; Ho, D.; Kim, C. Enhancing AC stress stability in amorphous indium gallium zinc oxide thin-film transistors via controlled hydrogen diffusion. J. Mater. Chem. C 2025, 13, 3587. [Google Scholar] [CrossRef]
- Chen, Y.; Kim, H.; Lee, J.; Lee, S.; Do, Y.; Choi, M.; Jang, J. An 18.6-μm-pitch gate driver using a-IGZO TFTs for ultrahigh-definition AR/VR displays. IEEE Trans. Electron. Devices 2020, 67, 4929–4933. [Google Scholar] [CrossRef]
- Oh, H.; Cho, K.; Park, S.; Kim, S. Electrical characteristics of bendable a-IGZO thin-film transistors with split channels and top-gate structure. Microelectron. Eng. 2016, 159, 179–183. [Google Scholar] [CrossRef]
- Fujii, M.; Ishikawa, Y.; Horita, M.; Uraoka, Y. Unique phenomenon in degradation of amorphous In2O3–Ga2O3–ZnO thin-film transistors under dynamic stress. Appl. Phys. Express 2011, 4, 104103. [Google Scholar] [CrossRef]
- Takahashi, T.; Fujii, M.N.; Miyanaga, R.; Miyanaga, M.; Ishikawa, Y.; Uraoka, Y. Unique degradation under AC stress in high-mobility amorphous In–W–Zn–O thin-film transistors. Appl. Phys. Express 2020, 13, 054003. [Google Scholar] [CrossRef]
- Li, H.; Cai, L.; Xu, G.; Long, S. Positive-bias stress stability of solution-processed oxide semiconductor thin-film transistor. IEEE Trans. Electron. Devices 2022, 69, 3727–3731. [Google Scholar] [CrossRef]
- Park, S.; Cho, E.N.; Yun, I. Effects of alternating pulse bias stress on amorphous InGaZnO thin film transistors. ECS Trans. 2012, 45, 111. [Google Scholar] [CrossRef]
- Mativenga, M.; Choi, J.W.; Hur, J.H.; Kim, H.J.; Jang, J. Highly stable amorphous indium–gallium–zinc-oxide thin-film transistor using an etch-stopper and a via-hole structure. J. Inf. Disp. 2011, 12, 47–50. [Google Scholar] [CrossRef][Green Version]
- Park, S.; Cho, E.N.; Yun, I. Threshold voltage shift prediction for gate bias stress on amorphous InGaZnO thin film transistors. Microelectron. Reliab. 2012, 52, 2215–2219. [Google Scholar] [CrossRef]
- Lee, J.-M.; Cho, I.-T.; Lee, J.-H.; Kwon, H.-I. Bias-stress-induced stretched-exponential time dependence of threshold voltage shift in InGaZnO thin film transistors. Appl. Phys. Lett. 2008, 93, 093504. [Google Scholar] [CrossRef]
- Cho, I.-T.; Lee, J.-M.; Lee, J.-H.; Kwon, H.-I. Charge trapping and detrapping characteristics in amorphous InGaZnO TFTs under static and dynamic stresses. Semicond. Sci. Technol. 2008, 24, 015013. [Google Scholar] [CrossRef]
- Wang, H.; Wang, M.; Shan, Q. Dynamic degradation of a-InGaZnO thin-film transistors under pulsed gate voltage stress. Appl. Phys. Lett. 2015, 106, 133506. [Google Scholar] [CrossRef]
- Zhou, X.; Shao, Y.; Zhang, L.; Lu, H.; He, H.; Han, D.; Wang, Y.; Zhang, S. Oxygen interstitial creation in a-IGZO thin-film transistors under positive gate-bias stress. IEEE Electron. Device Lett. 2017, 38, 1252–1255. [Google Scholar] [CrossRef]
- Dao, V.A.; Trinh, T.T.; Jang, K.; Ryu, K.; Yi, J. Trapping time characteristics of carriers in a-InGaZnO thin-film transistors fabricated at low temperatures for next-generation displays. J. Electron. Mater. 2013, 42, 711–715. [Google Scholar] [CrossRef]
- Fan, W.-T.; Liu, P.-T.; Kuo, P.-Y.; Chang, C.-M.; Liu, I.H.; Kuo, Y. Numerical analysis of oxygen-related defects in amorphous In-WO nanosheet thin-film transistor. Nanomaterials 2021, 11, 3070. [Google Scholar] [CrossRef]
- Song, J.; Lee, D.; Woo, J.; Koo, Y.; Cha, E.; Lee, S.; Park, J.; Moon, K.; Misha, S.H.; Prakash, A. Effects of RESET current overshoot and resistance state on reliability of RRAM. IEEE Electron. Device Lett. 2014, 35, 636–638. [Google Scholar]
- Lee, S.; Song, J.; Lee, D.; Woo, J.; Cha, E.; Hwang, H. Effect of AC pulse overshoot on nonlinearity and reliability of selectorless resistive random access memory in AC pulse operation. Solid-State Electron. 2015, 104, 70–74. [Google Scholar] [CrossRef]
- Zhu, Z.; Cao, W.; Huang, X.; Shi, Z.; Zhou, D.; Xu, W. Analysis of nitrogen-doping effect on sub-gap density of states in a-IGZO TFTs by TCAD simulation. Micromachines 2022, 13, 617. [Google Scholar] [CrossRef]
- Janotti, A.; Van de Walle, C.G. Native point defects in ZnO. Phys. Rev. B—Condens. Matter Mater. Phys. 2007, 76, 165202. [Google Scholar] [CrossRef]
- Chowdhury, M.D.H.; Migliorato, P.; Jang, J. Time-temperature dependence of positive gate bias stress and recovery in amorphous indium-gallium-zinc-oxide thin-film-transistors. Appl. Phys. Lett. 2011, 98, 153511. [Google Scholar] [CrossRef]






| Disclaimer/Publisher’s Note: The statements, opinions and data contained in all publications are solely those of the individual author(s) and contributor(s) and not of MDPI and/or the editor(s). MDPI and/or the editor(s) disclaim responsibility for any injury to people or property resulting from any ideas, methods, instructions or products referred to in the content. | 
© 2025 by the authors. Licensee MDPI, Basel, Switzerland. This article is an open access article distributed under the terms and conditions of the Creative Commons Attribution (CC BY) license (https://creativecommons.org/licenses/by/4.0/).
Share and Cite
Kang, M.; Cho, K.; Kim, S. Effect of Rising Time on AC Stress-Induced Performance Degradation in a-ITGZO Thin-Film Transistors. Nanomaterials 2025, 15, 880. https://doi.org/10.3390/nano15120880
Kang M, Cho K, Kim S. Effect of Rising Time on AC Stress-Induced Performance Degradation in a-ITGZO Thin-Film Transistors. Nanomaterials. 2025; 15(12):880. https://doi.org/10.3390/nano15120880
Chicago/Turabian StyleKang, Mingu, Kyoungah Cho, and Sangsig Kim. 2025. "Effect of Rising Time on AC Stress-Induced Performance Degradation in a-ITGZO Thin-Film Transistors" Nanomaterials 15, no. 12: 880. https://doi.org/10.3390/nano15120880
APA StyleKang, M., Cho, K., & Kim, S. (2025). Effect of Rising Time on AC Stress-Induced Performance Degradation in a-ITGZO Thin-Film Transistors. Nanomaterials, 15(12), 880. https://doi.org/10.3390/nano15120880
 
        


 
                        