Effect of Strain Rate, Temperature, Vacancy, and Microcracks on Mechanical Properties of 8-16-4 Graphyne
Abstract
1. Introduction
2. Materials and Methods
3. Results and Discussions
3.1. Boundary Effect
3.2. Strain Rate Effect
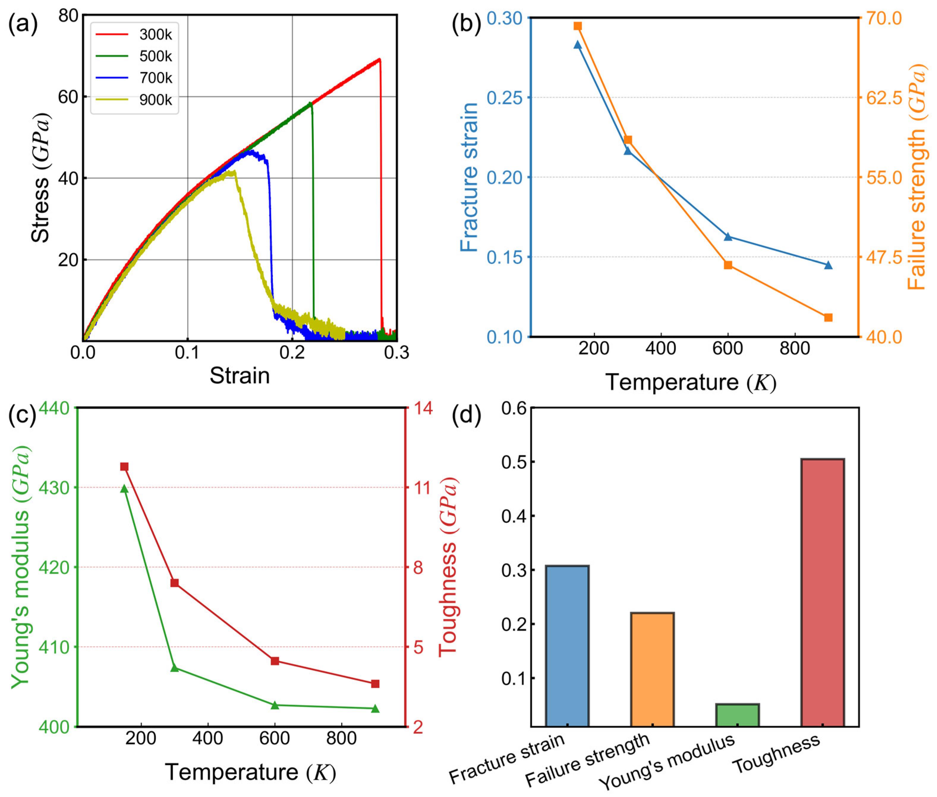
3.3. Temperature Effect
3.4. The Vacancy-Defect Effect
3.5. Cracks and Fracture Toughness
4. Conclusions
Author Contributions
Funding
Data Availability Statement
Conflicts of Interest
References
- Fan, Q.; Yan, L.; Tripp, M.W.; Krejčí, O.; Dimosthenous, S.; Kachel, S.R.; Chen, M.; Foster, A.S.; Koert, U.; Liljeroth, P.; et al. Biphenylene Network: A Nonbenzenoid Carbon Allotrope. Science 2021, 372, 852–856. [Google Scholar] [CrossRef] [PubMed]
- Kaiser, K.; Scriven, L.M.; Schulz, F.; Gawel, P.; Gross, L.; Anderson, H.L. An Sp-Hybridized Molecular Carbon Allotrope, Cyclo[18]Carbon. Science 2019, 365, 1299–1301. [Google Scholar] [CrossRef] [PubMed]
- Jiang, J.-W.; Leng, J.; Li, J.; Guo, Z.; Chang, T.; Guo, X.; Zhang, T. Twin Graphene: A Novel Two-Dimensional Semiconducting Carbon Allotrope. Carbon. 2017, 118, 370–375. [Google Scholar] [CrossRef]
- Kroto, H.W.; Heath, J.R.; O’Brien, S.C.; Curl, R.F.; Smalley, R.E. C60: Buckminsterfullerene. Nature 1985, 318, 162–163. [Google Scholar] [CrossRef]
- Zhao, M.; Dong, W.; Wang, A. Two-Dimensional Carbon Topological Insulators Superior to Graphene. Sci. Rep. 2013, 3, 3532. [Google Scholar] [CrossRef] [PubMed]
- Mbayachi, V.B.; Ndayiragije, E.; Sammani, T.; Taj, S.; Mbuta, E.R.; Khan, A.U. Graphene Synthesis, Characterization and Its Applications: A Review. Results Chem. 2021, 3, 100163. [Google Scholar] [CrossRef]
- Jiang, P.H.; Liu, H.J.; Cheng, L.; Fan, D.D.; Zhang, J.; Wei, J.; Liang, J.H.; Shi, J. Thermoelectric Properties of γ-Graphyne from First-Principles Calculations. Carbon 2017, 113, 108–113. [Google Scholar] [CrossRef]
- Lu, J.; Guo, Y.; Zhang, Y.; Cao, J. Li Decorated 6,6,12-Graphyne: A New Star for Hydrogen Storage Material. Int. J. Hydrog. Energy 2014, 39, 17112–17117. [Google Scholar] [CrossRef]
- León, A.; Pacheco, M. Electronic Properties of β-Graphyne Bilayers. Chem. Phys. Lett. 2015, 620, 67–72. [Google Scholar] [CrossRef]
- Wen, Y.; Gao, E.; Hu, Z.; Xu, T.; Lu, H.; Xu, Z.; Li, C. Chemically Modified Graphene Films with Tunable Negative Poisson’s Ratios. Nat. Commun. 2019, 10, 2446. [Google Scholar] [CrossRef]
- Lu, C.-T.; Weerasinghe, A.; Maroudas, D.; Ramasubramaniam, A. A Comparison of the Elastic Properties of Graphene- and Fullerene-Reinforced Polymer Composites: The Role of Filler Morphology and Size. Sci. Rep. 2016, 6, 31735. [Google Scholar] [CrossRef] [PubMed]
- Wei, X.; Xiao, S.; Li, F.; Tang, D.-M.; Chen, Q.; Bando, Y.; Golberg, D. Comparative Fracture Toughness of Multilayer Graphenes and Boronitrenes. Nano Lett. 2015, 15, 689–694. [Google Scholar] [CrossRef] [PubMed]
- Papageorgiou, D.G.; Kinloch, I.A.; Young, R.J. Mechanical Properties of Graphene and Graphene-Based Nanocomposites. Prog. Mater. Sci. 2017, 90, 75–127. [Google Scholar] [CrossRef]
- Afyouni Akbari, S.; Ghafarinia, V.; Larsen, T.; Parmar, M.M.; Villanueva, L.G. Large Suspended Monolayer and Bilayer Graphene Membranes with Diameter up to 750 Μm. Sci. Rep. 2020, 10, 6426. [Google Scholar] [CrossRef] [PubMed]
- Suk, J.W.; Piner, R.D.; An, J.; Ruoff, R.S. Mechanical Properties of Monolayer Graphene Oxide. ACS Nano 2010, 4, 6557–6564. [Google Scholar] [CrossRef] [PubMed]
- Berciaud, S.; Ryu, S.; Brus, L.E.; Heinz, T.F. Probing the Intrinsic Properties of Exfoliated Graphene: Raman Spectroscopy of Free-Standing Monolayers. Nano Lett. 2009, 9, 346–352. [Google Scholar] [CrossRef] [PubMed]
- Tsoukleri, G.; Parthenios, J.; Papagelis, K.; Jalil, R.; Ferrari, A.C.; Geim, A.K.; Novoselov, K.S.; Galiotis, C. Subjecting a Graphene Monolayer to Tension and Compression. Small 2009, 5, 2397–2402. [Google Scholar] [CrossRef] [PubMed]
- Rasool, H.I.; Ophus, C.; Klug, W.S.; Zettl, A.; Gimzewski, J.K. Measurement of the Intrinsic Strength of Crystalline and Polycrystalline Graphene. Nat. Commun. 2013, 4, 2811. [Google Scholar] [CrossRef]
- Lee, C.; Wei, X.; Kysar, J.W.; Hone, J. Measurement of the Elastic Properties and Intrinsic Strength of Monolayer Graphene. Science 2008, 321, 385–388. [Google Scholar] [CrossRef]
- Zhang, P.; Ma, L.; Fan, F.; Zeng, Z.; Peng, C.; Loya, P.E.; Liu, Z.; Gong, Y.; Zhang, J.; Zhang, X.; et al. Fracture Toughness of Graphene. Nat. Commun. 2014, 5, 3782. [Google Scholar] [CrossRef]
- Feng, S.; Cao, K.; Gao, Y.; Han, Y.; Liu, Z.; Lu, Y.; Xu, Z. Experimentally Measuring Weak Fracture Toughness Anisotropy in Graphene. Commun. Mater. 2022, 3, 28. [Google Scholar] [CrossRef]
- Hou, J.; Deng, B.; Zhu, H.; Lan, Y.; Shi, Y.; De, S.; Liu, L.; Chakraborty, P.; Gao, F.; Peng, Q. Magic Auxeticity Angle of Graphene. Carbon 2019, 149, 350–354. [Google Scholar] [CrossRef]
- Andrew, R.C.; Mapasha, R.E.; Ukpong, A.M.; Chetty, N. Mechanical Properties of Graphene and Boronitrene. Phys. Rev. B 2012, 85, 125428. [Google Scholar] [CrossRef]
- Peng, Q.; Liang, C.; Ji, W.; De, S. A Theoretical Analysis of the Effect of the Hydrogenation of Graphene to Graphane on Its Mechanical Properties. Phys. Chem. Chem. Phys. 2013, 15, 2003–2011. [Google Scholar] [CrossRef] [PubMed]
- Luo, Y.; Ren, C.; Xu, Y.; Yu, J.; Wang, S.; Sun, M. A First Principles Investigation on the Structural, Mechanical, Electronic, and Catalytic Properties of Biphenylene. Sci. Rep. 2021, 11, 19008. [Google Scholar] [CrossRef]
- Puigdollers, A.R.; Alonso, G.; Gamallo, P. First-Principles Study of Structural, Elastic and Electronic Properties of α-, β- and γ-Graphyne. Carbon 2016, 96, 879–887. [Google Scholar] [CrossRef]
- Peng, Q.; Peng, S.; Cao, Q. Ultrahigh Ballistic Resistance of Twisted Bilayer Graphene. Crystals 2021, 11, 206. [Google Scholar] [CrossRef]
- Cranford, S.W.; Buehler, M.J. Mechanical Properties of Graphyne. Carbon 2011, 49, 4111–4121. [Google Scholar] [CrossRef]
- Asadpour, M.; Malakpour, S.; Faghihnasiri, M.; Taghipour, B. Mechanical Properties of Two-Dimensional Graphyne Sheet, Analogous System of BN Sheet and Graphyne-like BN Sheet. Solid. State Commun. 2015, 212, 46–52. [Google Scholar] [CrossRef]
- Liu, F.; Ming, P.; Li, J. Ab Initio Calculation of Ideal Strength and Phonon Instability of Graphene under Tension. Phys. Rev. B 2007, 76, 064120. [Google Scholar] [CrossRef]
- Zhao, H.; Min, K.; Aluru, N.R. Size and Chirality Dependent Elastic Properties of Graphene Nanoribbons under Uniaxial Tension. Nano Lett. 2009, 9, 3012–3015. [Google Scholar] [CrossRef]
- Hamed Mashhadzadeh, A.; Zarghami Dehaghani, M.; Molaie, F.; Fooladapanjeh, S.; Farzadian, O.; Spitas, C. A Theoretical Insight into the Mechanical Properties and Phonon Thermal Conductivity of Biphenylene Network Structure. Comput. Mater. Sci. 2022, 214, 111761. [Google Scholar] [CrossRef]
- Javvaji, B.; Budarapu, P.R.; Sutrakar, V.K.; Mahapatra, D.R.; Paggi, M.; Zi, G.; Rabczuk, T. Mechanical Properties of Graphene: Molecular Dynamics Simulations Correlated to Continuum Based Scaling Laws. Comput. Mater. Sci. 2016, 125, 319–327. [Google Scholar] [CrossRef]
- Rossi, A.; Piccinin, S.; Pellegrini, V.; De Gironcoli, S.; Tozzini, V. Nano-Scale Corrugations in Graphene: A Density Functional Theory Study of Structure, Electronic Properties and Hydrogenation. J. Phys. Chem. C 2015, 119, 7900–7910. [Google Scholar] [CrossRef]
- De Oliveira, R.B.; Borges, D.D.; Machado, L.D. Mechanical and Gas Adsorption Properties of Graphene and Graphynes under Biaxial Strain. Sci. Rep. 2022, 12, 22393. [Google Scholar] [CrossRef] [PubMed]
- Peng, Q.; Ji, W.; De, S. Mechanical Properties of Graphyne Monolayers: A First-Principles Study. Phys. Chem. Chem. Phys. 2012, 14, 13385. [Google Scholar] [CrossRef] [PubMed]
- Zhang, Y.Y.; Pei, Q.X.; Wang, C.M. Mechanical Properties of Graphynes under Tension: A Molecular Dynamics Study. Appl. Phys. Lett. 2012, 101, 081909. [Google Scholar] [CrossRef]
- Xie, L.; Sun, T.; He, C.; An, H.; Qin, Q.; Peng, Q. Effect of Angle, Temperature and Vacancy Defects on Mechanical Properties of PSI-Graphene. Crystals 2019, 9, 238. [Google Scholar] [CrossRef]
- Akhunova, A.K.; Galiakhmetova, L.K.; Baimova, J.A. The Effects of Dislocation Dipoles on the Failure Strength of Wrinkled Graphene from Atomistic Simulation. Appl. Sci. 2022, 13, 9. [Google Scholar] [CrossRef]
- Ahmad, W.; Ullah, Z.; Sonil, N.I.; Khan, K. Introduction, Production, Characterization and Applications of Defects in Graphene. J. Mater. Sci. Mater. Electron. 2021, 32, 19991–20030. [Google Scholar] [CrossRef]
- Chu, K.; Wang, J.; Liu, Y.; Geng, Z. Graphene Defect Engineering for Optimizing the Interface and Mechanical Properties of Graphene/Copper Composites. Carbon 2018, 140, 112–123. [Google Scholar] [CrossRef]
- Schweizer, P.; Dolle, C.; Spiecker, E. In Situ Manipulation and Switching of Dislocations in Bilayer Graphene. Sci. Adv. 2018, 4, eaat4712. [Google Scholar] [CrossRef]
- Kumar, Y.; Sahoo, S.; Chakraborty, A.K. Mechanical Properties of Graphene, Defective Graphene, Multilayer Graphene and SiC-Graphene Composites: A Molecular Dynamics Study. Phys. B Condens. Matter 2021, 620, 413250. [Google Scholar] [CrossRef]
- Moura, M.J.B.; Marder, M. Tearing of Free-Standing Graphene. Phys. Rev. E 2013, 88, 032405. [Google Scholar] [CrossRef]
- He, L.; Guo, S.; Lei, J.; Sha, Z.; Liu, Z. The Effect of Stone–Thrower–Wales Defects on Mechanical Properties of Graphene Sheets—A Molecular Dynamics Study. Carbon 2014, 75, 124–132. [Google Scholar] [CrossRef]
- Yazyev, O.V.; Louie, S.G. Topological Defects in Graphene: Dislocations and Grain Boundaries. Phys. Rev. B 2010, 81, 195420. [Google Scholar] [CrossRef]
- Roy, S.; Roy, A. A Computational Investigation of Length-Scale Effects in the Fracture Behaviour of a Graphene Sheet Using the Atomistic J-Integral. Eng. Fract. Mech. 2019, 207, 165–180. [Google Scholar] [CrossRef]
- Banhart, F.; Kotakoski, J.; Krasheninnikov, A.V. Structural Defects in Graphene. ACS Nano 2011, 5, 26–41. [Google Scholar] [CrossRef] [PubMed]
- Sun, X.; Fu, Z.; Xia, M.; Xu, Y. Effects of Vacancy Defect on the Tensile Behavior of Graphene. Theor. Appl. Mech. Lett. 2014, 4, 051002. [Google Scholar] [CrossRef]
- Yu, T.; Li, J.; Yang, Z.; Li, H.; Peng, Q.; Tang, H.-K. Effects of Crack Formation on the Mechanical Properties of Bilayer Graphene: A Comparative Analysis. Crystals 2023, 13, 584. [Google Scholar] [CrossRef]
- Yin, H.; Qi, H.J.; Fan, F.; Zhu, T.; Wang, B.; Wei, Y. Griffith Criterion for Brittle Fracture in Graphene. Nano Lett. 2015, 15, 1918–1924. [Google Scholar] [CrossRef]
- Alahmed, I.I.; Altanany, S.M.; Abdulazeez, I.; Shoaib, H.; Alsayoud, A.Q.; Abbout, A.; Peng, Q. The Crack Angle of 60° Is the Most Vulnerable Crack Front in Graphene According to MD Simulations. Crystals 2021, 11, 1355. [Google Scholar] [CrossRef]
- Tromer, R.M.; Pereira Júnior, M.L.; Lima, K.A.; Fonseca, A.F.; Da Silva, L.R.; Galvão, D.S.; Ribeiro, L.A., Jr. Mechanical, Electronic, and Optical Properties of 8-16-4 Graphyne: A 2D Carbon Allotrope with Dirac Cones. J. Phys. Chem. C 2023, 127, 12226–12234. [Google Scholar] [CrossRef]
- Bandyopadhyay, A.; Majumdar, A.; Chowdhury, S.; Ahuja, R.; Jana, D. 8-16-4 Graphyne: Square-Lattice Two-Dimensional Nodal Line Semimetal with a Nontrivial Topological Zak Index. Phys. Rev. B 2021, 103, 075137. [Google Scholar] [CrossRef]
- Jafari, G.; Reisi-Vanani, A.; Tabandeh, Z. Evaluation of the Structural, Electronic and Magnetic Properties of Modified 8-16-4 Graphyne by 3d Transition Metals: A DFT-D2 Study. Diam. Relat. Mater. 2024, 142, 110836. [Google Scholar] [CrossRef]
- Momma, K.; Izumi, F. VESTA 3 for Three-Dimensional Visualization of Crystal, Volumetric and Morphology Data. J. Appl. Crystallogr. 2011, 44, 1272–1276. [Google Scholar] [CrossRef]
- Thompson, A.P.; Aktulga, H.M.; Berger, R.; Bolintineanu, D.S.; Brown, W.M.; Crozier, P.S.; In ’T Veld, P.J.; Kohlmeyer, A.; Moore, S.G.; Nguyen, T.D.; et al. LAMMPS—A Flexible Simulation Tool for Particle-Based Materials Modeling at the Atomic, Meso, and Continuum Scales. Comput. Phys. Commun. 2022, 271, 108171. [Google Scholar] [CrossRef]
- O’Connor, T.C.; Andzelm, J.; Robbins, M.O. AIREBO-M: A Reactive Model for Hydrocarbons at Extreme Pressures. J. Chem. Phys. 2015, 142, 024903. [Google Scholar] [CrossRef]
- Thamaraikannan, S.; Pradhan, S.C. Atomistic Study of Carbon Nanotubes: Effect of Cut-Off Distance. In TMS 2016 145th Annual Meeting & Exhibition, Nashville, TN, USA, 14–18 February 2016; The Minerals, Metals & Materials Society, Ed.; Springer International Publishing: Cham, Switzerland, 2016; pp. 293–300. ISBN 978-3-319-48624-6. [Google Scholar]
- Stukowski, A. Visualization and Analysis of Atomistic Simulation Data with OVITO–the Open Visualization Tool. Model. Simul. Mater. Sci. Eng. 2010, 18, 015012. [Google Scholar] [CrossRef]
- Wu, Y.; Rao, Q.; Best, J.P.; Mu, D.; Xu, X.; Huang, H. Superior Room Temperature Compressive Plasticity of Submicron Beta-Phase Gallium Oxide Single Crystals. Adv. Funct. Mater. 2022, 32, 2207960. [Google Scholar] [CrossRef]
- Chen, M.Q.; Quek, S.S.; Sha, Z.D.; Chiu, C.H.; Pei, Q.X.; Zhang, Y.W. Effects of Grain Size, Temperature and Strain Rate on the Mechanical Properties of Polycrystalline Graphene—A Molecular Dynamics Study. Carbon 2015, 85, 135–146. [Google Scholar] [CrossRef]
- Mortazavi, B.; Rémond, Y.; Ahzi, S.; Toniazzo, V. Thickness and Chirality Effects on Tensile Behavior of Few-Layer Graphene by Molecular Dynamics Simulations. Comput. Mater. Sci. 2012, 53, 298–302. [Google Scholar] [CrossRef]
- Zhang, Y.; Zheng, L.; Sun, G.; Zhan, Z.; Liao, K. Failure Mechanisms of Carbon Nanotube Fibers under Different Strain Rates. Carbon 2012, 50, 2887–2893. [Google Scholar] [CrossRef]
- Ju, S.-P.; Lee, W.-J.; Lin, J.-S.; Liao, M.-L. Strain Rate Effect on Tensile Behavior of the Helical Multi-Shell Gold Nanowires. Mater. Chem. Phys. 2006, 100, 48–53. [Google Scholar] [CrossRef]
- Zhang, Y.-Y.; Pei, Q.-X.; Mai, Y.-W.; Gu, Y.-T. Temperature and Strain-Rate Dependent Failure strength of Graphynes. J. Phys. D Appl. Phys. 2014, 47, 425301. [Google Scholar] [CrossRef]
- Zhao, H.; Aluru, N.R. Temperature and Strain-Rate Dependent Failure strength of Graphene. J. Appl. Phys. 2010, 108, 064321. [Google Scholar] [CrossRef]
- Whittaker, A.G. Carbon: A New View of Its High-Temperature Behavior. Science 1978, 200, 763–764. [Google Scholar] [CrossRef]
- Giannopoulos, G.I.; Avntoulla, G.S. Tensile Strength of Graphene versus Temperature and Crack Size: Analytical Expressions from Molecular Dynamics Simulation Data. Proc. Inst. Mech. Eng. Part N J. Nanomater. Nanoeng. Nanosyst. 2017, 231, 67–73. [Google Scholar] [CrossRef]
- Kotrechko, S.; Mikhailovskij, I.; Mazilova, T.; Sadanov, E.; Timoshevskii, A.; Stetsenko, N.; Matviychuk, Y. Mechanical Properties of Carbyne: Experiment and Simulations. Nanoscale Res. Lett. 2015, 10, 24. [Google Scholar] [CrossRef]
- Casillas, G.; Mayoral, A.; Liu, M.; Ponce, A.; Artyukhov, V.I.; Yakobson, B.I.; Jose-Yacaman, M. New Insights into the Properties and Interactions of Carbon Chains as Revealed by HRTEM and DFT Analysis. Carbon 2014, 66, 436–441. [Google Scholar] [CrossRef]
- Zhu, J.; Shi, D. The Integrated Effects of Temperature and Stress on the Formation of Carbon Linear Atomic Chains from Graphene Nanoribbons. J. Appl. Phys. 2011, 110, 104311. [Google Scholar] [CrossRef]
- Hashimoto, A.; Suenaga, K.; Gloter, A.; Urita, K.; Iijima, S. Direct Evidence for Atomic Defects in Graphene Layers. Nature 2004, 430, 870–873. [Google Scholar] [CrossRef] [PubMed]
- Lehtinen, O.; Kotakoski, J.; Krasheninnikov, A.V.; Tolvanen, A.; Nordlund, K.; Keinonen, J. Effects of Ion Bombardment on a Two-Dimensional Target: Atomistic Simulations of Graphene Irradiation. Phys. Rev. B 2010, 81, 153401. [Google Scholar] [CrossRef]
- Ovdat, O.; Don, Y.; Akkermans, E. Vacancies in Graphene: Dirac Physics and Fractional Vacuum Charges. Phys. Rev. B 2020, 102, 075109. [Google Scholar] [CrossRef]
- Mortazavi, B.; Ahzi, S.; Toniazzo, V.; Rémond, Y. Nitrogen Doping and Vacancy Effects on the Mechanical Properties of Graphene: A Molecular Dynamics Study. Phys. Lett. A 2012, 376, 1146–1153. [Google Scholar] [CrossRef]
- Griffith, A.A., VI. The Phenomena of Rupture and Flow in Solids. Phil. Trans. R. Soc. Lond. A 1921, 221, 163–198. [Google Scholar] [CrossRef]










Disclaimer/Publisher’s Note: The statements, opinions and data contained in all publications are solely those of the individual author(s) and contributor(s) and not of MDPI and/or the editor(s). MDPI and/or the editor(s) disclaim responsibility for any injury to people or property resulting from any ideas, methods, instructions or products referred to in the content. |
© 2024 by the authors. Licensee MDPI, Basel, Switzerland. This article is an open access article distributed under the terms and conditions of the Creative Commons Attribution (CC BY) license (https://creativecommons.org/licenses/by/4.0/).
Share and Cite
Peng, Q.; Huang, Z.; Chen, G.; Zhang, Y.; Zhang, X.; Chen, X.-J.; Hu, Z. Effect of Strain Rate, Temperature, Vacancy, and Microcracks on Mechanical Properties of 8-16-4 Graphyne. Nanomaterials 2024, 14, 556. https://doi.org/10.3390/nano14060556
Peng Q, Huang Z, Chen G, Zhang Y, Zhang X, Chen X-J, Hu Z. Effect of Strain Rate, Temperature, Vacancy, and Microcracks on Mechanical Properties of 8-16-4 Graphyne. Nanomaterials. 2024; 14(6):556. https://doi.org/10.3390/nano14060556
Chicago/Turabian StylePeng, Qing, Zeyu Huang, Gen Chen, Yuqiang Zhang, Xiaofan Zhang, Xiao-Jia Chen, and Zhongwei Hu. 2024. "Effect of Strain Rate, Temperature, Vacancy, and Microcracks on Mechanical Properties of 8-16-4 Graphyne" Nanomaterials 14, no. 6: 556. https://doi.org/10.3390/nano14060556
APA StylePeng, Q., Huang, Z., Chen, G., Zhang, Y., Zhang, X., Chen, X.-J., & Hu, Z. (2024). Effect of Strain Rate, Temperature, Vacancy, and Microcracks on Mechanical Properties of 8-16-4 Graphyne. Nanomaterials, 14(6), 556. https://doi.org/10.3390/nano14060556

