Terahertz Detection by Asymmetric Dual Grating Gate Bilayer Graphene FETs with Integrated Bowtie Antenna
Abstract
1. Introduction
2. Materials and Methods
3. Results
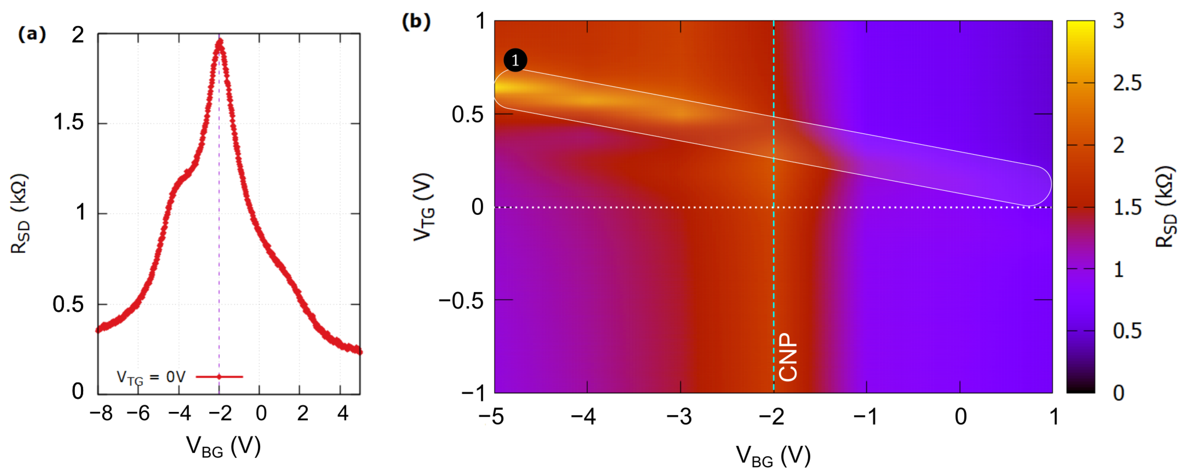
3.1. DC Measurements Results
3.2. THz Measurements Results
4. Discussion
5. Conclusions
Author Contributions
Funding
Data Availability Statement
Acknowledgments
Conflicts of Interest
Abbreviations
| ADGG | Asymmetric Dual Grating Gates |
| BG | Back Gate |
| CNP | Charge Neutrality Point |
| D | drain |
| EBL | Electron Beam Lithography |
| EM | Electromagnetic |
| FET | Field Effect Transistor |
| FWHM | full width at half maximum |
| S | Source |
| SNR | Signal to Noise Ratio |
| TG | Top Gate |
| THz | Terahertz |
| vdW | van der Waals |
References
- Leitenstorfer, A.; Moskalenko, A.S.; Kampfrath, T.; Kono, J.; Castro-Camus, E.; Peng, K.; Qureshi, N.; Turchinovich, D.; Tanaka, K.; Markelz, A.G.; et al. The 2023 terahertz science and technology roadmap. J. Phys. D Appl. Phys. 2023, 56, 223001. [Google Scholar] [CrossRef]
- Markelz, A.G.; Mittleman, D.M. Perspective on Terahertz Applications in Bioscience and Biotechnology. ACS Photonics 2022, 9, 1117–1126. [Google Scholar] [CrossRef]
- Rainsford, T.J.; Mickan, S.P.; Abbott, D. T-ray sensing applications: Review of global developments. Smart Struct. Devices Syst. 2005, 5649, 826–838. [Google Scholar]
- Fu, X.; Liu, Y.; Chen, Q.; Fu, Y.; Cui, T.J. Applications of Terahertz Spectroscopy in the Detection and Recognition of Substances. Front. Phys. 2022, 10, 869537. [Google Scholar] [CrossRef]
- Chen, Z.; Ma, X.; Zhang, B.; Zhang, Y.; Niu, Z.; Kuang, N.; Chen, W.; Li, L.; Li, S. A survey on terahertz communications. China Commun. 2019, 16, 1–35. [Google Scholar] [CrossRef]
- Song, H.J.; Nagatsuma, T. Present and Future of Terahertz Communications. IEEE Trans. Terahertz Sci. Technol. 2011, 1, 256–263. [Google Scholar] [CrossRef]
- Kleine-Ostmann, T.; Nagatsuma, T. A Review on Terahertz Communications Research. J. Infrared Millim. Terahertz Waves 2011, 32, 143–171. [Google Scholar] [CrossRef]
- Federici, J.; Moeller, L.; Su, K. 6 - Terahertz wireless communications. In Handbook of Terahertz Technology for Imaging, Sensing and Communications; Saeedkia, D., Ed.; Woodhead Publishing Series in Electronic and Optical Materials; Woodhead Publishing: Cambridge, UK, 2013; pp. 156–214. [Google Scholar] [CrossRef]
- Tzydynzhapov, G.; Gusikhin, P.; Muravev, V.; Dremin, A.; Nefyodov, Y.; Kukushkin, I. New Real-Time Sub-Terahertz Security Body Scanner. J. Infrared Millim. Terahertz Waves 2020, 41, 632–641. [Google Scholar] [CrossRef]
- Mittleman, D.M. Twenty years of terahertz imaging (Invited). Opt. Express 2018, 26, 9417–9431. [Google Scholar] [CrossRef]
- Kemp, M.C.; Taday, P.; Cole, B.E.; Cluff, J.; Fitzgerald, A.J.; Tribe, W.R. Security applications of terahertz technology. In Proceedings of the Terahertz for Military and Security Applications. SPIE, Orlando, FL, USA, 21–25 April 2003; Volume 5070, pp. 44–52. [Google Scholar]
- Popovic, Z.; Grossman, E.N. THz Metrology and Instrumentation. IEEE Trans. Terahertz Sci. Technol. 2011, 1, 133–144. [Google Scholar] [CrossRef]
- Li, X.; Li, J.; Li, Y.; Ozcan, A.; Jarrahi, M. High-throughput terahertz imaging: Progress and challenges. Light Sci. Appl. 2023, 12, 233. [Google Scholar] [CrossRef]
- Woodward, R.M.; Cole, B.E.; Wallace, V.P.; Pye, R.J.; Arnone, D.D.; Linfield, E.H.; Pepper, M. Terahertz pulse imaging in reflection geometry of human skin cancer and skin tissue. Phys. Med. Biol. 2002, 47, 3853. [Google Scholar] [CrossRef] [PubMed]
- Castro Neto, A.H.; Guinea, F.; Peres, N.M.R.; Novoselov, K.S.; Geim, A.K. The electronic properties of graphene. Rev. Mod. Phys. 2009, 81, 109–162. [Google Scholar] [CrossRef]
- Falkovsky, L.A. Optical properties of graphene. J. Phys. Conf. Ser. 2008, 129, 012004. [Google Scholar] [CrossRef]
- Wallace, P.R. The Band Theory of Graphite. Phys. Rev. 1947, 71, 622–634. [Google Scholar] [CrossRef]
- Novoselov, K.S.; Geim, A.K.; Morozov, S.V.; Jiang, D.; Zhang, Y.; Dubonos, S.V.; Grigorieva, I.V.; Firsov, A.A. Electric Field Effect in Atomically Thin Carbon Films. Science 2004, 306, 666–669. [Google Scholar] [CrossRef]
- Kanayama, K.; Nagashio, K. Gap state analysis in electric-field-induced band gap for bilayer graphene. Sci. Rep. 2015, 5, 15789. [Google Scholar] [CrossRef]
- Yankowitz, M.; Ma, Q.; Jarillo-Herrero, P.; LeRoy, B.J. van der Waals heterostructures combining graphene and hexagonal boron nitride. Nat. Rev. Phys. 2019, 1, 112–125. [Google Scholar] [CrossRef]
- Yang, X.; Vorobiev, A.; Generalov, A.; Andersson, M.A.; Stake, J. A flexible graphene terahertz detector. Appl. Phys. Lett. 2017, 111, 021102. [Google Scholar] [CrossRef]
- Bianco, F.; Perenzoni, D.; Convertino, D.; De Bonis, S.L.; Spirito, D.; Perenzoni, M.; Coletti, C.; Vitiello, M.S.; Tredicucci, A. Terahertz detection by epitaxial-graphene field-effect-transistors on silicon carbide. Appl. Phys. Lett. 2015, 107, 131104. [Google Scholar] [CrossRef]
- Jiang, Z.; Wang, Y.; Chen, L.; Yu, Y.; Yuan, S.; Deng, W.; Wang, R.; Wang, Z.; Yan, Q.; Wu, X.; et al. Antenna-integrated silicon–plasmonic graphene sub-terahertz emitter. APL Photonics 2021, 6, 066102. [Google Scholar] [CrossRef]
- Chen, X.; Tian, Z.; Li, Q.; Li, S.; Zhang, X.; Ouyang, C.; Gu, J.; Han, J.; Zhang, W. Recent progress in graphene terahertz modulators. Chin. Phys. B 2020, 29, 077803. [Google Scholar] [CrossRef]
- Kakenov, N.; Ergoktas, M.S.; Balci, O.; Kocabas, C. Graphene based terahertz phase modulators. 2D Mater. 2018, 5, 035018. [Google Scholar] [CrossRef]
- Jessop, D.S.; Kindness, S.J.; Xiao, L.; Braeuninger-Weimer, P.; Lin, H.; Ren, Y.; Ren, C.X.; Hofmann, S.; Zeitler, J.A.; Beere, H.E.; et al. Graphene based plasmonic terahertz amplitude modulator operating above 100 MHz. Appl. Phys. Lett. 2016, 108, 171101. [Google Scholar] [CrossRef]
- Bandurin, D.A.; Svintsov, D.; Gayduchenko, I.; Xu, S.G.; Principi, A.; Moskotin, M.; Tretyakov, I.; Yagodkin, D.; Zhukov, S.; Taniguchi, T.; et al. Resonant terahertz detection using graphene plasmons. Nat. Commun. 2018, 9, 5392. [Google Scholar] [CrossRef]
- Zak, A.; Andersson, M.A.; Bauer, M.; Matukas, J.; Lisauskas, A.; Roskos, H.G.; Stake, J. Antenna-Integrated 0.6 THz FET Direct Detectors Based on CVD Graphene. Nano Lett. 2014, 14, 5834–5838. [Google Scholar] [CrossRef] [PubMed]
- Fedorov, G.; Gayduchenko, I.; Titova, N.; Gazaliev, A.; Moskotin, M.; Kaurova, N.; Voronov, B.; Goltsman, G. Carbon Nanotube Based Schottky Diodes as Uncooled Terahertz Radiation Detectors. Phys. Status Solidi B 2018, 255, 1700227. [Google Scholar] [CrossRef]
- Ryu, M.; Kim, S.H.; Kim, K. Enhanced Photoresponse of Plasmonic Terahertz Wave Detector Based on Silicon Field Effect Transistors with Asymmetric Source and Drain Structures. J. Semicond. Technol. Sci. 2013, 13, 576–580. [Google Scholar] [CrossRef]
- Lisauskas, A.; Boppel, S.; Matukas, J.; Palenskis, V.; Minkevičius, L.; Valušis, G.; Haring-Bolívar, P.; Roskos, H.G. Terahertz responsivity and low-frequency noise in biased silicon field-effect transistors. Appl. Phys. Lett. 2013, 102, 153505. [Google Scholar] [CrossRef]
- Popov, V.V.; Fateev, D.V.; Otsuji, T.; Meziani, Y.M.; Coquillat, D.; Knap, W. Plasmonic terahertz detection by a double-grating-gate field-effect transistor structure with an asymmetric unit cell. Appl. Phys. Lett. 2011, 99, 243504. [Google Scholar] [CrossRef]
- Kurita, Y.; Ducournau, G.; Coquillat, D.; Satou, A.; Kobayashi, K.; Boubanga Tombet, S.; Meziani, Y.M.; Popov, V.V.; Knap, W.; Suemitsu, T.; et al. Ultrahigh sensitive sub-terahertz detection by InP-based asymmetric dual-grating-gate high-electron-mobility transistors and their broadband characteristics. Appl. Phys. Lett. 2014, 104, 251114. [Google Scholar] [CrossRef]
- Notario, J.A.D.; Clericò, V.; Diez, E.; Velázquez-Pérez, J.E.; Taniguchi, T.; Watanabe, K.; Otsuji, T.; Meziani, Y.M. Asymmetric dual-grating gates graphene FET for detection of terahertz radiations. APL Photonics 2020, 5, 66102. [Google Scholar] [CrossRef]
- Delgado-Notario, J.A.; Knap, W.; Clericò, V.; Salvador-Sánchez, J.; Calvo-Gallego, J.; Taniguchi, T.; Watanabe, K.; Otsuji, T.; Popov, V.V.; Fateev, D.V.; et al. Enhanced terahertz detection of multigate graphene nanostructures. Nanophotonics 2022, 11, 519–529. [Google Scholar] [CrossRef]
- Pizzocchero, F.; Gammelgaard, L.; Jessen, B.S.; Caridad, J.e.M.; Wang, L.; Hone, J.; Booth, T.J. The hot pick-up technique for batch assembly of van der Waals heterostructures. Nat. Commun. 2016, 7, 11894. [Google Scholar] [CrossRef]
- Hao, Y.; Wang, Y.; Wang, L.; Ni, Z.; Wang, Z.; Wang, R.; Koo, C.K.; Shen, Z.; Thong, J.T.L. Probing Layer Number and Stacking Order of Few-Layer Graphene by Raman Spectroscopy. Small 2010, 6, 195–200. [Google Scholar] [CrossRef]
- Rumsey, V. Frequency independent antennas. In Proceedings of the 1958 IRE International Convention Record, New York, NY, USA, 21–25 March 1966; Volume 5, pp. 114–118. [Google Scholar]
- Balanis, C.A. Antenna Theory: Analysis and Design; John Wiley & Sons: Hoboken, NJ, USA, 2016. [Google Scholar]
- Brown, G.; Woodward, O., Jr. Experimentally Determined Radiation Characteristics of Conical and Triangular Antennas. RCA Rev. 1952, 13, 425–452. [Google Scholar]
- Velasco, J., Jr.; Lee, Y.; Jing, L.; Liu, G.; Bao, W.; Lau, C.N. Quantum transport in double-gated graphene devices. Solid State Commun. 2012, 152, 1301–1305. [Google Scholar] [CrossRef]
- Gammelgaard, L.; Caridad, J.M.; Cagliani, A.; Mackenzie, D.M.A.; Petersen, D.H.; Booth, T.J.; Bøggild, P. Graphene transport properties upon exposure to PMMA processing and heat treatments. 2D Mater. 2014, 1, 035005-12. [Google Scholar] [CrossRef]
- Kim, S.; Nah, J.; Jo, I.; Shahrjerdi, D.; Colombo, L.; Yao, Z.; Tutuc, E.; Banerjee, S.K. Realization of a high mobility dual-gated graphene field-effect transistor with Al2O3 dielectric. Appl. Phys. Lett. 2009, 94, 062107-4. [Google Scholar] [CrossRef]
- Satou, A.; Tamamushi, G.; Sugawara, K.; Mitsushio, J.; Ryzhii, V.; Otsuji, T. A Fitting Model for Asymmetric I–V Characteristics of Graphene FETs for Extraction of Intrinsic Mobilities. IEEE Trans. Electron Devices 2016, 63, 3300–3306. [Google Scholar] [CrossRef]
- Fateev, D.; Mashinsky, K.; Polischuk, O.; Popov, V. Excitation of Propagating Plasmons in a Periodic Graphene Structure by Incident Terahertz Waves. Phys. Rev. Appl. 2019, 11, 064002. [Google Scholar] [CrossRef]
- Delgado-Notario, J.A.; Velazquez-Perez, J.E.; Meziani, Y.M.; Fobelets, K. Sub-THz Imaging Using Non-Resonant HEMT Detectors. Sensors 2018, 18, 543. [Google Scholar] [CrossRef] [PubMed]
- Olbrich, P.; Kamann, J.; König, M.; Munzert, J.; Tutsch, L.; Eroms, J.; Weiss, D.; Liu, M.H.; Golub, L.E.; Ivchenko, E.L.; et al. Terahertz ratchet effects in graphene with a lateral superlattice. Phys. Rev. B 2016, 93, 075422. [Google Scholar] [CrossRef]
- Zhang, Y.; Tang, T.T.; Girit, C.; Hao, Z.; Martin, M.C.; Zettl, A.; Crommie, M.F.; Shen, Y.R.; Wang, F. Direct observation of a widely tunable bandgap in bilayer graphene. Nature 2009, 459, 820–823. [Google Scholar] [CrossRef] [PubMed]
- Titova, E.; Mylnikov, D.; Kashchenko, M.; Safonov, I.; Zhukov, S.; Dzhikirba, K.; Novoselov, K.S.; Bandurin, D.A.; Alymov, G.; Svintsov, D. Ultralow-noise Terahertz Detection by p–n Junctions in Gapped Bilayer Graphene. ACS Nano 2023, 17, 8223–8232. [Google Scholar] [CrossRef]
- Mylnikov, D.A.; Titova, E.I.; Kashchenko, M.A.; Safonov, I.V.; Zhukov, S.S.; Semkin, V.A.; Novoselov, K.S.; Bandurin, D.A.; Svintsov, D.A. Terahertz Photoconductivity in Bilayer Graphene Transistors: Evidence for Tunneling at Gate-Induced Junctions. Nano Lett. 2023, 23, 220–226. [Google Scholar] [CrossRef]





Disclaimer/Publisher’s Note: The statements, opinions and data contained in all publications are solely those of the individual author(s) and contributor(s) and not of MDPI and/or the editor(s). MDPI and/or the editor(s) disclaim responsibility for any injury to people or property resulting from any ideas, methods, instructions or products referred to in the content. |
© 2024 by the authors. Licensee MDPI, Basel, Switzerland. This article is an open access article distributed under the terms and conditions of the Creative Commons Attribution (CC BY) license (https://creativecommons.org/licenses/by/4.0/).
Share and Cite
Abidi, E.; Khan, A.; Delgado-Notario, J.A.; Clericó, V.; Calvo-Gallego, J.; Taniguchi, T.; Watanabe, K.; Otsuji, T.; Velázquez, J.E.; Meziani, Y.M. Terahertz Detection by Asymmetric Dual Grating Gate Bilayer Graphene FETs with Integrated Bowtie Antenna. Nanomaterials 2024, 14, 383. https://doi.org/10.3390/nano14040383
Abidi E, Khan A, Delgado-Notario JA, Clericó V, Calvo-Gallego J, Taniguchi T, Watanabe K, Otsuji T, Velázquez JE, Meziani YM. Terahertz Detection by Asymmetric Dual Grating Gate Bilayer Graphene FETs with Integrated Bowtie Antenna. Nanomaterials. 2024; 14(4):383. https://doi.org/10.3390/nano14040383
Chicago/Turabian StyleAbidi, E., A. Khan, J. A. Delgado-Notario, V. Clericó, J. Calvo-Gallego, T. Taniguchi, K. Watanabe, T. Otsuji, J. E. Velázquez, and Y. M. Meziani. 2024. "Terahertz Detection by Asymmetric Dual Grating Gate Bilayer Graphene FETs with Integrated Bowtie Antenna" Nanomaterials 14, no. 4: 383. https://doi.org/10.3390/nano14040383
APA StyleAbidi, E., Khan, A., Delgado-Notario, J. A., Clericó, V., Calvo-Gallego, J., Taniguchi, T., Watanabe, K., Otsuji, T., Velázquez, J. E., & Meziani, Y. M. (2024). Terahertz Detection by Asymmetric Dual Grating Gate Bilayer Graphene FETs with Integrated Bowtie Antenna. Nanomaterials, 14(4), 383. https://doi.org/10.3390/nano14040383

