A Numerical Simulation Study of the Impact of Kesterites Hole Transport Materials in Quantum Dot-Sensitized Solar Cells Using SCAPS-1D
Abstract
1. Introduction
2. Materials and Methods
3. Results and Discussion
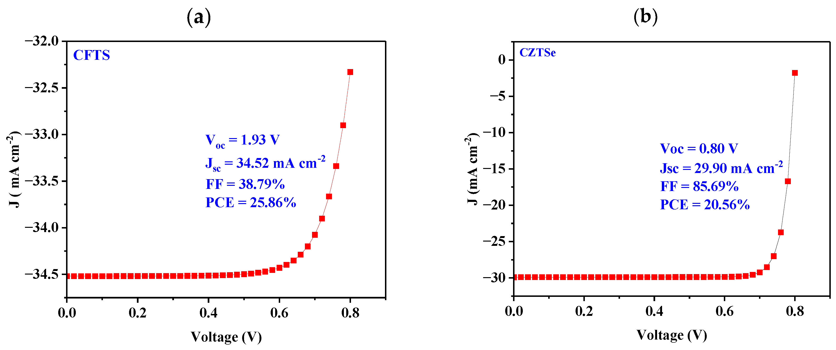
3.1. Impact of the Utilization of Different Hole Transport Layers
3.2. Optimization of Absorber Layer (MoS2) Thickness
3.3. HTL Material Thickness Optimization
3.4. Influence of ETL (TiO2) Thickness in Different HTL Materials
3.5. Defect Density of an Absorber
3.6. Effect of Doping the ETL Donor Density
3.7. The Effect of Varying Temperature
3.8. Effect of Bandgap Variation
3.9. Effect of Varying Metal Back Contact
4. Conclusions
Supplementary Materials
Author Contributions
Funding
Data Availability Statement
Acknowledgments
Conflicts of Interest
References
- Hussain, J.; Zhou, K. Globalization, industrialization, and urbanization in Belt and Road Initiative countries: Implications for environmental sustainability and energy demand. Environ. Sci. Pollut. Res. 2022, 29, 80549–80567. [Google Scholar] [CrossRef] [PubMed]
- Azni, M.A.; Khalid, R.M.; Hasran, U.A.; Kamarudin, S.K. Review of the Effects of Fossil Fuels and the Need for a Hydrogen Fuel Cell Policy in Malaysia. Sustainability 2023, 15, 4033. [Google Scholar] [CrossRef]
- Ali, A.; Audi, M.; Roussel, Y. Natural resources depletion, renewable energy consumption and environmental degradation: A comparative analysis of developed and developing world. Int. J. Energy Econ. Policy 2021, 11, 251–260. [Google Scholar] [CrossRef]
- Majeed, Y.; Khan, M.U.; Waseem, M.; Zahid, U.; Mahmood, F.; Majeed, F.; Sultan, M.; Raza, A. Renewable energy as an alternative source for energy management in agriculture. Energy Rep. 2023, 10, 344–359. [Google Scholar] [CrossRef]
- Ang, T.Z.; Salem, M.; Kamarol, M.; Das, H.S.; Nazari, M.A.; Prabaharan, N. A comprehensive study of renewable energy sources: Classifications, challenges and suggestions. Energy Strategy Rev. 2022, 43, 100939. [Google Scholar] [CrossRef]
- Zhao, J.; Patwary, A.K.; Qayyum, A.; Alharthi, M.; Bashir, F.; Mohsin, M.; Hanif, I.; Abbas, Q. The determinants of renewable energy sources for the fueling of green and sustainable economy. Energy 2022, 238, 122029. [Google Scholar] [CrossRef]
- Goh, H.H.; Li, C.; Zhang, D.; Dai, W.; Lim, C.S.; Kurniawan, T.A.; Goh, K.C. Application of choosing by advantages to determine the optimal site for solar power plants. Sci. Rep. 2022, 12, 4113. [Google Scholar] [CrossRef]
- Yap, K.Y.; Chin, H.H.; Klemeš, J.J. Solar Energy-Powered Battery Electric Vehicle charging stations: Current development and future prospect review. Renew. Sustain. Energy Rev. 2022, 169, 112862. [Google Scholar] [CrossRef]
- Al-Hamadani, S. Solar energy as a potential contributor to help bridge the gap between electricity supply and growing demand in Iraq: A review. Int. J. Adv. Appl. Sci. ISSN 2020, 9, 302–312. [Google Scholar] [CrossRef]
- Novas, N.; Garcia, R.M.; Camacho, J.M.; Alcayde, A. Advances in solar energy towards efficient and sustainable energy. Sustainability 2021, 13, 6295. [Google Scholar] [CrossRef]
- Li, G.; Li, M.; Taylor, R.; Hao, Y.; Besagni, G.; Markides, C.N. Solar energy utilisation: Current status and roll-out potential. Appl. Therm. Eng. 2022, 209, 118285. [Google Scholar] [CrossRef]
- Rabaia, M.K.H.; Abdelkareem, M.A.; Sayed, E.T.; Elsaid, K.; Chae, K.J.; Wilberforce, T.; Olabi, A.G. Environmental impacts of solar energy systems: A review. Sci. Total Environ. 2021, 754, 141989. [Google Scholar] [CrossRef] [PubMed]
- Rehman, F.; Syed, I.H.; Khanam, S.; Ijaz, S.; Mehmood, H.; Zubair, M.; Massoud, Y.; Mehmood, M.Q. Fourth-generation solar cells: A review. Energy Adv. 2023, 2, 1239–1262. [Google Scholar] [CrossRef]
- Schmid, M. Revisiting the Definition of Solar Cell Generations. Adv. Opt. Mater. 2023, 11, 2300697. [Google Scholar] [CrossRef]
- Shilpa, G.; Kumar, P.M.; Kumar, D.K.; Deepthi, P.R.; Sadhu, V.; Sukhdev, A.; Kakarla, R.R. Recent advances in the development of high efficiency quantum dot sensitized solar cells (QDSSCs): A review. Mater. Sci. Energy Technol. 2023, 6, 533–546. [Google Scholar] [CrossRef]
- Abega, F.X.A.; Ngoupo, A.T.; Ndjaka, J.M.B. Numerical Design of Ultrathin Hydrogenated Amorphous Silicon-Based Solar Cell. Int. J. Photoenergy 2021, 2021, 7506837. [Google Scholar] [CrossRef]
- Farhana, M.A.; Manjceevan, A.; Bandara, J. Recent advances and new research trends in Sb2S3 thin film based solar cells. J. Sci.-Adv. Mater. Dev. 2023; 8, 100533. [Google Scholar]
- Wang, J.; Zheng, Z.; Bi, P.; Chen, Z.; Wang, Y.; Liu, X.; Zhang, S.; Hao, X.; Zhang, M.; Li, Y.; et al. Tandem organic solar cells with 20.6% efficiency enabled by reduced voltage losses. Natl. Sci. Rev. 2023, 10, nwad085. [Google Scholar] [CrossRef]
- Yang, Z.; Chen, W.; Mei, A.; Li, Q.; Liu, Y. Flexible MAPbI3 perovskite solar cells with the high efficiency of 16.11% by low-temperature synthesis of compact anatase TiO2 film. J. Alloys Compd. 2021, 854, 155488. [Google Scholar] [CrossRef]
- Nowsherwan, G.A.; Iqbal, M.A.; Rehman, S.U.; Zaib, A.; Sadiq, M.I.; Dogar, M.A.; Azhar, M.; Maidin, S.S.; Hussain, S.S.; Morsy, K.; et al. Numerical optimization and performance evaluation of ZnPC:PC70BM based dye-sensitized solar cell. Sci. Rep. 2023, 13, 10431. [Google Scholar] [CrossRef]
- Elibol, E. Quantum dot sensitized solar cell design with surface passivized CdSeTe QDs. Sol. Energy 2020, 206, 741–750. [Google Scholar] [CrossRef]
- Panachikkool, M.; Pandiyarajan, T. Graphene quantum dots as game-changers in solar cell technology: A review of synthetic processes and performance enhancement. Carbon Lett. 2024, 34, 445–475. [Google Scholar] [CrossRef]
- Alavi, M.; Rahimi, R.; Maleki, Z.; Hosseini-Kharat, M. Improvement of Power Conversion Efficiency of Quantum Dot-Sensitized Solar Cells by Doping of Manganese into a ZnS Passivation Layer and Cosensitization of Zinc-Porphyrin on a Modified Graphene Oxide/Nitrogen-Doped TiO2 Photoanode. ACS Omega 2020, 5, 11024–11034. [Google Scholar] [CrossRef] [PubMed]
- Archana, T.; Vijayakumar, K.; Subashini, G.; Grace, A.N.; Arivanandhan, M.; Jayavel, R. Effect of co-sensitization of InSb quantum dots on enhancing the photoconversion efficiency of CdS based quantum dot sensitized solar cells. RSC Adv. 2020, 10, 14837–14845. [Google Scholar] [CrossRef]
- Zheng, D.; Yang, X.; Čuček, L.; Wang, J.; Ma, T.; Yin, C. Revolutionizing dye-sensitized solar cells with nanomaterials for enhanced photoelectric performance. J. Clean. Prod. 2024, 464, 142717. [Google Scholar] [CrossRef]
- Sattar, F.; Zhou, X.; Ullah, Z. High-Efficiency Triple-Junction Polymer Solar Cell: A Theoretical Approach, Molecules. Molecules 2024, 29, 5370. [Google Scholar] [CrossRef]
- Yan, J.; Savenije, T.J.; Mazzarella, L.; Isabella, O. Progress and challenges on scaling up of perovskite solar cell technology. Sustain. Energy Fuels 2022, 6, 243–266. [Google Scholar] [CrossRef]
- Roy, P.; Ghosh, A.; Barclay, F.; Khare, A.; Cuce, E. Perovskite Solar Cells: A Review of the Recent Advances. Coatings 2022, 12, 1089. [Google Scholar] [CrossRef]
- Kharboot, L.H.; Fadil, N.A.; Bakar, T.A.A.; Najib, A.S.M.; Nordin, N.H.; Ghazali, H. A Review of Transition Metal Sulfides as Counter Electrodes for Dye-Sensitized and Quantum Dot-Sensitized Solar Cells. Materials 2023, 16, 2881. [Google Scholar] [CrossRef]
- Yu, M.; Saeed, M.H.; Zhang, S.; Wei, H.; Gao, Y.; Zou, C.; Zhang, L.; Yang, H. Luminescence Enhancement, Encapsulation, and Patterning of Quantum Dots Toward Display Applications. Adv. Funct. Mater. 2022, 32, 2109472. [Google Scholar] [CrossRef]
- Liu, G.; Zhang, S.; Xu, L.; Hu, Y.; Li, X.; Zhang, S.; Zeng, H. Recent advances of eco-friendly quantum dots light-emitting diodes for display. Prog. Quantum Electron. 2022, 86, 100415. [Google Scholar] [CrossRef]
- Singh, S.; Khan, Z.H.; Khan, M.B.; Kumar, P.; Kumar, P. Quantum dots-sensitized solar cells: A review on strategic developments. Bull. Mater. Sci. 2022, 45, 81. [Google Scholar] [CrossRef]
- de Arquer, F.P.G.; Talapin, D.V.; Klimov, V.I.; Arakawa, Y.; Bayer, M.; Sargent, E.H. Semiconductor quantum dots: Technological progress and future challenges. Science 2021, 373, eaaz8541. [Google Scholar] [CrossRef] [PubMed]
- Kim, T.; Lim, S.; Yun, S.; Jeong, S.; Park, T.; Choi, J. Design Strategy of Quantum Dot Thin-Film Solar Cells. Small 2020, 16, e2002460. [Google Scholar] [CrossRef] [PubMed]
- Al-Douri, Y.; Khan, M.M.; Jennings, J.R. Synthesis and optical properties of II–VI semiconductor quantum dots: A review. J. Mater. Sci. Mater. Electron. 2023, 34, 993. [Google Scholar] [CrossRef]
- Omran, B.A.; Whitehead, K.A.; Baek, K.H. One-pot bioinspired synthesis of fluorescent metal chalcogenide and carbon quantum dots: Applications and potential biotoxicity. Colloids Surf. B 2021, 200, 111578. [Google Scholar] [CrossRef]
- Cotta, M.A. Quantum Dots and Their Applications: What Lies Ahead? ACS Appl. Nano Mater. 2020, 3, 4920–4924. [Google Scholar] [CrossRef]
- Su, Q.; Zhang, H.; Chen, S. Carrier Dynamics in Quantum Dot Light-Emitting Diodes: The Conversion between Electrons. Excit. Photons Adv. Phys. Res. 2024, 2024, 2400130. [Google Scholar] [CrossRef]
- Chen, H.; He, J.; Wu, S.T. Recent Advances on Quantum-Dot-Enhanced Liquid-Crystal Displays. IEEE J. Sel. Top. Quantum Electron. 2017, 23, 1900611. [Google Scholar] [CrossRef]
- Rasal, A.S.; Yadav, S.; Kashale, A.A.; Altaee, A.; Chang, J.Y. Stability of quantum dot-sensitized solar cells: A review and prospects. Nano Energy 2022, 94, 106854. [Google Scholar] [CrossRef]
- Kharboot, L.H.; Fadil, N.A.; Asma, T.; Abu, B.; Sani, A.; Najib, B.M.; Nordin, N.H. The Quantum Dot-sensitized Solar Cells (QDSSCs): A Review on Recent Achievements (2010–2021). In Proceedings of the 3rd Asia Pacific International Conference on Industrial Engineering and Operations Management, Johor Bahru, Malaysia, 13–15 September 2023; pp. 4144–4160. [Google Scholar]
- Alanazi, T.I.; Alanazi, A.; Touti, E.; Agwa, A.M.; Kraiem, H.; Alanazi, M.; Alanazi, A.M.; El Sabbagh, M. Proposal and Numerical Analysis of Organic/Sb2Se3 All-Thin-Film Tandem Solar Cell. Polym. J. 2023, 15, 2578. [Google Scholar] [CrossRef]
- Bhattarai, S.; Pandey, R.; Madan, J.; Ahmed, F.; Shabnam, S. Performance improvement approach of all inorganic perovskite solar cell with numerical simulation. Mater. Today Commun. 2022, 33, 104364. [Google Scholar] [CrossRef]
- Singhal, V.K.; Verma, U.K.; Joshi, M.; Kumar, B. Charge transport in quantum dot sensitized solar cells: A mathematical model. Sol. Energy 2022, 245, 120–126. [Google Scholar] [CrossRef]
- Krzywanski, J.; Sosnowski, M.; Grabowska, K.; Zylka, A.; Lasek, L.; Kijo-Kleczkowska, A. Advanced Computational Methods for Modeling, Prediction and Optimization—A Review. J. Mater. Sci. 2024, 17, 3521. [Google Scholar] [CrossRef] [PubMed]
- Laoufi, A.M.; Dennai, B.; Kadi, O.; Fillali, M. Numerical modeling of multi-junction solar cell-based CIGS with two sub-cells in parallel using silvaco TCAD. Chalcogenide Lett. 2021, 18, 297–301. [Google Scholar] [CrossRef]
- Mishra, A.K.; Shukla, R.K. Simulation of photovoltaic material (donor blends PTB7:PC70BM) polymer for solar cell application. Mater. Today 2021, 46, 2288–2293. [Google Scholar] [CrossRef]
- Wang, X.; Zou, X.; Zhu, J.; Zhang, C.; Cheng, J.; Zhou, Z.; Ren, H.; Wang, Y.; Li, X.; Ren, B.; et al. Device modeling and design of inverted solar cell based on comparative experimental analysis between effect of organic and inorganic hole transport layer on morphology and photo-physical property of perovskite thin film. J. Mater. Sci. 2021, 14, 2191. [Google Scholar] [CrossRef]
- Rai, S.; Pandey, B.K.; Dwivedi, D.K. Modeling of highly efficient and low cost CH3NH3Pb(I1-xClx)3 based perovskite solar cell by numerical simulation. Opt. Mater. 2020, 100, 109631. [Google Scholar] [CrossRef]
- Shoab, M.; Aslam, Z.; Zulfequar, M.; Khan, F. Numerical interface optimization of lead-free perovskite solar cells (CH3NH3SnI3) for 30% photo-conversion efficiency using SCAPS-1D. J. Mater. Sci. 2024, 4, 100200. [Google Scholar] [CrossRef]
- Wahid, M.F.; Das, U.; Paul, B.K.; Paul, S.; Howlader, M.N.; Rahman, M.S. Numerical Simulation for Enhancing Performance of MoS2 Hetero-Junction Solar Cell Employing Cu2O as Hole Transport Layer. Mater. Sci. Appl. 2023, 14, 458–472. [Google Scholar]
- Moustafa, M.; Al Zoubi, T.; Yasin, S. Exploration of CZTS-based solar using the ZrS2 as a novel buffer layer by SCAPS simulation. Opt. Mater. 2022, 24, 112001. [Google Scholar] [CrossRef]
- Giraldo, S.; Jehl, Z.; Placidi, M.; Izquierdo-Roca, V.; Pérez-Rodríguez, A.; Saucedo, E. Progress and Perspectives of Thin Film Kesterite Photovoltaic Technology: A Critical Review. Adv. Mater. 2019, 31, e1806692. [Google Scholar] [CrossRef]
- Maalouf, A.; Okoroafor, T.; Gahr, S.; Ernits, K.; Meissner, D.; Resalati, S. Environmental performance of Kesterite monograin module production in comparison to thin-film technology. Sol. Energy Mater. Sol. Cells 2023, 251, 112161. [Google Scholar] [CrossRef]
- Nazligul, A.S.; Wang, M.; Choy, K.L. Recent development in earth-abundant kesterite materials and their applications. Sustainability 2020, 12, 5138. [Google Scholar] [CrossRef]
- Gok, A. Reliability and Ecological Aspects of Photovoltaic Modules Edited by Abdülkerim Gok; IntechOpen: London, UK, 2020. [Google Scholar]
- Machín, A.; Márquez, F. Advancements in Photovoltaic Cell Materials: Silicon, Organic, and Perovskite Solar Cells. Materials 2024, 17, 1165. [Google Scholar] [CrossRef] [PubMed]
- Khan, Z.; Noman, M.; Jan, S.T.; Khan, A.D. Systematic investigation of the impact of kesterite and zinc based charge transport layers on the device performance and optoelectronic properties of ecofriendly tin (Sn) based perovskite solar cells. Sol. Energy 2023, 257, 58–87. [Google Scholar] [CrossRef]
- Rono, N.; Ahia, C.C.; Meyer, E.L. Recent advances in transition metal dichalcogenides-based materials for fourth-generation perovskite solar cell devices. AIP Adv. 2024, 14, 070702. [Google Scholar] [CrossRef]
- Rono, N.; Merad, A.E.; Kibet, J.K.; Martincigh, B.S.; Nyamori, V.O. Simulation of the photovoltaic performance of a perovskite solar cell based on methylammonium lead iodide. Opt. Quantum Electron. 2022, 54, 317. [Google Scholar] [CrossRef]
- Rono, N.; Ahia, C.C.; Meyer, E.L. A numerical simulation and analysis of chalcogenide BaZrS3-based perovskite solar cells utilizing different hole transport materials. Results Phys. 2024, 61, 107722. [Google Scholar] [CrossRef]
- Korir, B.K.; Kibet, J.K.; Ngari, S.M. Computational Simulation of a Highly Efficient Hole Transport—Free Dye—Sensitized Solar Cell Based on Titanium Oxide (TiO2) and Zinc Oxysulfide (ZnOS) Electron Transport Layers. J. Electron. Mater. 2021, 50, 7259–7274. [Google Scholar] [CrossRef]
- Zamir, M.; Hamzah, H.M. SCAPS 1D based study of hole and electron transfer layers to improve MoS2–ZrS2 solar cell efficiency SCAPS 1D based study of hole and MoS2–ZrS2 solar cell efficiency. Model. Simul. Mater. Sci. Eng. 2024, 32, 065015. [Google Scholar]
- Abdullah, A.S.; Ahmad, F.; Ibrahim, M.H.I.; Ibrahim, M.H. Results in Optics A numerical simulation of novel solid-state dye-sensitized solar cell based on kesterite as the electrolyte. J. Opt. 2024, 14, 100625. [Google Scholar]
- Dwivedi, D.K. Optik Modeling of CZTSSe solar photovoltaic cell for window layer optimization. Optik 2020, 222, 165407. [Google Scholar]
- Zhang, W.C.; Tang, J.Y.; Niu, Y.H.; Huang, R.; Chen, L.; Jiang, M.Y. Study the best ratio of S and Se in CZTSSe solar cells with nontoxic buffer layer. J. Renew. Sustain. Energy 2021, 13, 033701. [Google Scholar] [CrossRef]
- Njema, G.G.; Kibet, J.K.; Ngari, S.M.; Rono, N. Numerical optimization of interface engineering parameters for a highly efficient HTL-free perovskite solar cell. Mater. Today Commun. 2024, 39, 108957. [Google Scholar] [CrossRef]
- Hima, A.B. GPVDM simulation of layer thickness effect on power conversion efficiency of CH3NH3PbI3 based planar heterojunction solar cell. Int. J. Energetica 2018, 3, 37–41. [Google Scholar] [CrossRef]
- Rono, N. An Experimental Study of Graphitic Carbon Nitride-Based Materials and Selected Metal-Based Semiconductors in Organic Solar Cells Combined with a Computational Study of Perovskite Solar Cells. Ph.D. Thesis, University of KwaZulu-Natal, Durban, South Africa, 2023; pp. 1–388. [Google Scholar]
- Panahi, S.R.F.S.; Abbasi, A.; Ghods, V.; Amirahmadi, M. Analysis and improvement of CIGS solar cell efficiency using multiple absorber substances simultaneously, Journal of Materials Science. J. Mater. Sci. Mater. Electron. 2020, 31, 11527–11537. [Google Scholar] [CrossRef]
- Ying, M.; Wen, J.; Zhao, Y. Numerical simulation of CuInSe2 solar cells using wxAMPS software. Chin. J. Phys. 2022, 76, 24–34. [Google Scholar] [CrossRef]
- Singh, B.; Gupta, V. Modelling and simulation of silicon solar cells using PC1D. Mater. Today Proc. 2022, 54, 810–813. [Google Scholar]
- Izumi, F.; Watanabe, M.N.; Alândia, B.S.; Dos Santos Filho, S.G. Impact of the gate work function on the experimental I-V characteristics of MOS solar cells simulated with the Sentaurus TCAD software. J. Integr. Circuits Syst. 2024, 19, 1–7. [Google Scholar] [CrossRef]
- Bencherif, H.; Dehimi, L.; Mahsar, N.; Kouriche, E.; Pezzimenti, F. Modeling and optimization of CZTS kesterite solar cells using TiO2 as efficient electron transport layer. Mater. Sci. Eng. B 2022, 276, 115574. [Google Scholar] [CrossRef]
- Mattaparthi, S.; Sinha, D.K.; Bhura, A.; Khosla, R. Design of an eco-friendly perovskite Au/NiO/FASnI3/ZnO0.25S0.75/FTO, device structure for solar cell applications using SCAPS-1D. J. Opt. 2023, 12, 100444. [Google Scholar] [CrossRef]
- Njema, G.G.; Kibet, J.K.; Rono, N.; Meyer, E.L. Numerical simulation of a highly efficient perovskite solar cell based on FeSi2 photoactive layer. Nano Sel. 2024, 5, 2400020. [Google Scholar] [CrossRef]
- Kalambur, S.; Mouli, R.; Choudhari, N.J.; Kavya, D.M.; Raviprakash, Y. Exploring the potential of Cu2FeSnS4: A comprehensive review on structural properties, optoelectronic features, and future prospects in earth-abundant thin film solar cells. Cogent Eng. 2024, 11, 2322076. [Google Scholar] [CrossRef]
- Haris, M.; Ullah, Z.; Lee, S.; Ryu, D.H.; Ryu, S.U.; Kang, B.J.; Jeon, N.J.; Kim, B.J.; Park, T.; Shin, W.S.; et al. Amplifying High-Performance Organic Solar Cells Through Differencing Interactions of Solid Additive with Donor/Acceptor Materials Processed from Non-Halogenated Solvent. Adv. Energy Mater. 2024, 14, 2401597. [Google Scholar] [CrossRef]
- Bispo, A.G., Jr.; Saraiva, L.F.; Lima, S.A.M.; Pires, A.M.; Davolos, M.R. Recent prospects on phosphor-converted LEDs for lighting, displays, phototherapy, and indoor farming. J. Lumin. 2021, 237, 118167. [Google Scholar] [CrossRef]
- Yagoub, M.S.; Adnane, M. Simulation of PEDOT: PSS Solid-State CdS Quantum Dot Solar Cells with TiO2 Ultrathin Film via SCAPS-1D. J. Opt. 2024, 1–12. [Google Scholar] [CrossRef]
- Reza, M.S.; Ghosh, A.; Wornob, S.N.; Reza, M.S.; Azad, A.K.; Hossain, M.M.; Awwad, N.S.; Ibrahium, H.A. Tuning the hole transport layer in the Ca3SbI3 absorber-based solar cells to improve the power conversion efficiency. J. Phys. Chem. Solids 2024, 194, 112250. [Google Scholar] [CrossRef]
- Ashfaq, A.; Alghamdi, S.M.; Shokralla, E.A.; HE, M.M.S.; Rehman, U.U.; Albalawi, H.; Bayhan, Z.; Alsalhi, S.A. Numerical optimization of inorganic p-Sb2Se3/n-ZrS2 heterojunction solar cells: Achieving high efficiency through SCAPS-1D simulation. Phys. Scr. 2024, 99, 115966. [Google Scholar] [CrossRef]
- Njema, G.G.; Kibet, J.K.; Ngari, S.M. Performance optimization of a novel perovskite solar cell with power conversion efficiency exceeding 37% based on methylammonium tin iodide. Next Energy 2025, 6, 100182. [Google Scholar] [CrossRef]
- Üstün, K.; Kılıç, F.; Yılmaz, İ.H. Design of spectrally selective multilayer stacks with optimized properties for mid-temperature concentrating solar applications. Sol. Energy Mater. Sol. Cells 2024, 276, 113072. [Google Scholar] [CrossRef]
- Zhan, X.; Kim, D.; Ullah, Z.; Lee, W.; Gross, Z.; Churchill, D.G. Photophysics of corroles and closely related systems for emergent solar energy, medicinal, and materials science applications. Coord. Chem. Rev. 2023, 495, 215363. [Google Scholar] [CrossRef]
- Sobayel, K.; Akhtaruzzaman, M.; Rahman, K.S.; Ferdaous, M.T.; Al-Mutairi, Z.A.; Alharbi, H.F.; Alharthi, N.H.; Karim, M.R.; Hasmady, S.; Amin, N. A comprehensive defect study of tungsten disulfide (WS2) as electron transport layer in perovskite solar cells by numerical simulation. Results Phys. 2019, 12, 1097–1103. [Google Scholar] [CrossRef]
- Rono, N.; Merad, A.E.; Kibet, J.K.; Martincigh, B.S.; Nyamori, V.O. A theoretical investigation of the effect of the hole and electron transport materials on the performance of a lead-free perovskite solar cell based on CH3NH3SnI3. J. Comput. Electron. 2021, 20, 993–1005. [Google Scholar] [CrossRef]
- Haris, M.; Ryu, D.H.; Ullah, Z.; Kang, B.J.; Jeon, N.J.; Lee, S.; Lee, H.K.; Lee, S.K.; Lee, J.C.; Kwon, H.W.; et al. Morphological modulation enabled by non-halogenated solvent-processed simple solid additives for high-efficiency organic solar cells. EcoMat 2024, 6, e12436. [Google Scholar] [CrossRef]
- Abena, A.M.N.; Ngoupo, A.T.; Abega, F.X.A.; Ndjaka, J.M.B. Numerical investigation of solar cells based on hybrid organic cation perovskite with inorganic HTL via SCAPS-1D. Chin. J. Phys. 2022, 76, 94–109. [Google Scholar] [CrossRef]
- Maka, A.O.M.; O’Donovan, T.S. Effect of thermal load on performance parameters of solar concentrating photovoltaic: High-efficiency solar cells. Energy Built Environ. 2022, 3, 201–209. [Google Scholar] [CrossRef]
- Lin, L.; Ravindra, N.M. Temperature dependence of CIGS and perovskite solar cell performance: An overview. SN Appl. Sci. 2020, 2, 1361. [Google Scholar] [CrossRef]
- Rana, M.S.; Islam, M.M.; Julkarnain, M. Enhancement in efficiency of CZTS solar cell by using CZTSe BSF layer. Sol. Energy 2021, 226, 272–287. [Google Scholar] [CrossRef]
- Reyes, A.C.P.; Lázaro, R.C.A.; Leyva, K.M.; López, J.A.L.; Méndez, J.F.; Jiménez, A.H.H.; Zurita, A.L.M.; Carrillo, F.S.; Durán, E.O. Study of a lead-free perovskite solar cell using CZTS as HTL to achieve a 20% PCE by SCAPS-1D simulation. Micromachines 2021, 12, 1508. [Google Scholar]
- Chander, S.; Purohit, A.; Sharma, A.; Arvind; Nehra, S.P.; Dhaka, M.S. A study on photovoltaic parameters of mono-crystalline silicon solar cell with cell temperature. Energy Rep. 2015, 1, 104–109. [Google Scholar] [CrossRef]
- Tariq Jan, S.; Noman, M. Influence of layer thickness, defect density, doping concentration, interface defects, work function, working temperature and reflecting coating on lead-free perovskite solar cell. Sol. Energy 2022, 237, 29–43. [Google Scholar] [CrossRef]
- B1__Workfunction_Values_(Reference_Table) (2), (n.d.). Available online: https://chem.libretexts.org/Ancillary_Materials/Reference/Reference_Tables/Bulk_Properties/B1%3A_Workfunction_Values_(Reference_Table) (accessed on 24 November 2024).
- Shin, D.H.; Jang, C.W.; Ko, J.S.; Choi, S. Enhancement of efficiency and stability in organic solar cells by employing MoS2 transport layer, graphene electrode, and graphene quantum dots-added active layer. Appl. Surf. Sci. 2021, 538, 148155. [Google Scholar] [CrossRef]
- Shah, B.S.; Tailor, J.P.; Chaki, S.H.; Deshpande, M.P. SCAPS 1D based study of hole and electron transfer layers to improve MoS2-ZrS2 solar cell efficiency. Model. Simul. Mat. Sci. Eng. 2024, 32, 065015. [Google Scholar] [CrossRef]
- Gupta, S.; Shishodia, G.; Shishodia, P.K. Modeling of ZrS2/MoS2 Heterostructures for Photovoltaic Applications. J. Electron. Mater. 2024, 53, 997–5006. [Google Scholar] [CrossRef]










| Parameters | FTO [61] | TiO2 [62] | MoS2 [63] | CFTS [64] | CZTSe [64] | CNTS [64] | CZTSSe [65] | 
|---|---|---|---|---|---|---|---|
| Band gap, Eg (eV) | 3.50 | 3.20 | 1.29 | 1.30 | 1.40 | 1.74 | 1.30 | 
| Electron affinity, χ (eV) | 4.00 | 3.90 | 4.20 | 4.20 | 4.10 | 3.87 | 4.20 | 
| Dielectric Permittivity, er | 9.00 | 32.00 | 20.00 | 3.00 | 9.00 | 9.00 | 13.60 | 
| Density of states at CB, Nc (cm–3) | 2.2 × 1018 | 1.0 × 1019 | 2.2 × 1018 | 2.2 × 1018 | 2.2 × 1018 | 2.2 × 1018 | 2.2 × 1018 | 
| Density of states at VB, Nv (cm–3) | 1.8 × 1019 | 1.0 × 1019 | 1.8 × 1019 | 1.8 × 1019 | 1.8 × 1019 | 1.8 × 1019 | 1.8 × 1019 | 
| Electron mobility, μe (cm2 V−1s−1) | 20.00 | 20.00 | 1.0 × 102 | 21.98 | 100.00 | 11.00 | 100.00 | 
| Hole mobility, μh (cm2 V−1s−1) | 10.00 | 10.00 | 1.5 × 102 | 21.98 | 12.50 | 11.00 | 25.00 | 
| Density n-type doping, ND (cm–3) | 1.0 × 1019 | 1.0 × 1017 | 1.0 × 1014 | 0.00 | 0.00 | 0.00 | 1.0 × 101 | 
| Density p-type doping, NA (cm–3) | 0.00 | 0.00 | 1.0 × 1015 | 1.0 × 1019 | 1.0 × 1019 | 1.0 × 1019 | 1.0 × 1015 | 
| Defect density, Nt (cm−3) | 0.00 | 1.0 × 1016 | 1.0 × 1014 | 1.0 × 1014 | 1.0 × 1014 | 1.0 × 1014 | 1.0 × 1013 [66] | 
| Interface Parameter | HTL/Active Layer | ETL/Active Layer | 
|---|---|---|
| Defect type | Neutral | Neutral | 
| Capture cross-section electrons (cm2) | 1.0 × 10−19 | 1.0 × 10−19 | 
| Capture cross-section holes (cm2) | 1.0 × 10−19 | 1.0 × 10−19 | 
| Energetic distribution | Single | Single | 
| Reference for defect energy level Et | Above the highest EV | Above the highest EV | 
| Energy with respect to a reference (eV) | 0.600 | 0.600 | 
| Interface defect (cm−2) | Variable | Variable | 
| Cell Configuration | FTO (μm) | ETL (μm) | Absorber (μm) | HTL (μm) | 
|---|---|---|---|---|
| FTO/TiO2/MoS2/CFTS/Ag | 0.030 | 0.001 | 0.020 | 1.900 | 
| FTO/TiO2/MoS2/CZTSe/Ag | 0.050 | 0.001 | 0.001 | 2.400 | 
| FTO/TiO2/MoS2/CNTS/Ag | 0.200 | 0.600 | 0.400 | 0.600 | 
| FTO/TiO2/MoS2/CZTSSe/Ag | 0.100 | 0.001 | 3.100 | 1.900 | 
| HTL Material | Metal Back Contacts PCE (%) | ||||
|---|---|---|---|---|---|
| Al | Au | Cu | Mo | Se | |
| CFTS | 22.23 | 27.87 | 27.87 | 27.87 | 27.87 | 
| CZTSe | - | 24.04 | 23.90 | 26.22 | 26.22 | 
| CNTS | - | 24.64 | 24.37 | 20.64 | 24.81 | 
| CZTSSe | - | 25.22 | 22.16 | 18.12 | 25.25 | 
| Cell Configuration | Nature | Voc (V) | Jsc (mA cm−2) | FF (%) | PCE (%) | Ref | 
|---|---|---|---|---|---|---|
| TFSA-GR/MoS2/P3HT:PCBM/Al | Experimental | 0.58 | 10.01 | 60.94 | 3.56 | [97] | 
| FTO/ZnO/ZrS2/MoS2/CuO2/Au | Simulation | 0.84 | 36.02 | 68.54 | 20.64 | [98] | 
| AZO/ZrS2/MoS2 | Simulation | 0.57 | 34.02 | 71.35 | 14.13 | [99] | 
| FTO/TiO2/MoS2/CFTS/Ag | Simulation | 1.93 | 34.52 | 38.79 | 25.86 | This study | 
| FTO/TiO2/MoS2/CZTSe/Ag | Simulation | 0.80 | 29.90 | 85.69 | 20.56 | This study | 
| FTO/TiO2/MoS2/CZNTS/Ag | Simulation | 0.70 | 31.67 | 59.84 | 13.29 | This study | 
| FTO/TiO2/MoS2/CZTSSe/Ag | Simulation | 0.37 | 35.34 | 74.95 | 9.86 | This study | 
| Disclaimer/Publisher’s Note: The statements, opinions and data contained in all publications are solely those of the individual author(s) and contributor(s) and not of MDPI and/or the editor(s). MDPI and/or the editor(s) disclaim responsibility for any injury to people or property resulting from any ideas, methods, instructions or products referred to in the content. | 
© 2024 by the authors. Licensee MDPI, Basel, Switzerland. This article is an open access article distributed under the terms and conditions of the Creative Commons Attribution (CC BY) license (https://creativecommons.org/licenses/by/4.0/).
Share and Cite
Jakalase, S.; Nqombolo, A.; Meyer, E.L.; Agoro, M.A.; Rono, N. A Numerical Simulation Study of the Impact of Kesterites Hole Transport Materials in Quantum Dot-Sensitized Solar Cells Using SCAPS-1D. Nanomaterials 2024, 14, 2016. https://doi.org/10.3390/nano14242016
Jakalase S, Nqombolo A, Meyer EL, Agoro MA, Rono N. A Numerical Simulation Study of the Impact of Kesterites Hole Transport Materials in Quantum Dot-Sensitized Solar Cells Using SCAPS-1D. Nanomaterials. 2024; 14(24):2016. https://doi.org/10.3390/nano14242016
Chicago/Turabian StyleJakalase, Sindisiwe, Azile Nqombolo, Edson L. Meyer, Mojeed A. Agoro, and Nicholas Rono. 2024. "A Numerical Simulation Study of the Impact of Kesterites Hole Transport Materials in Quantum Dot-Sensitized Solar Cells Using SCAPS-1D" Nanomaterials 14, no. 24: 2016. https://doi.org/10.3390/nano14242016
APA StyleJakalase, S., Nqombolo, A., Meyer, E. L., Agoro, M. A., & Rono, N. (2024). A Numerical Simulation Study of the Impact of Kesterites Hole Transport Materials in Quantum Dot-Sensitized Solar Cells Using SCAPS-1D. Nanomaterials, 14(24), 2016. https://doi.org/10.3390/nano14242016
 
        





 
       