Visualization and Estimation of 0D to 1D Nanostructure Size by Photoluminescence
Abstract
1. Introduction
2. Materials and Methods
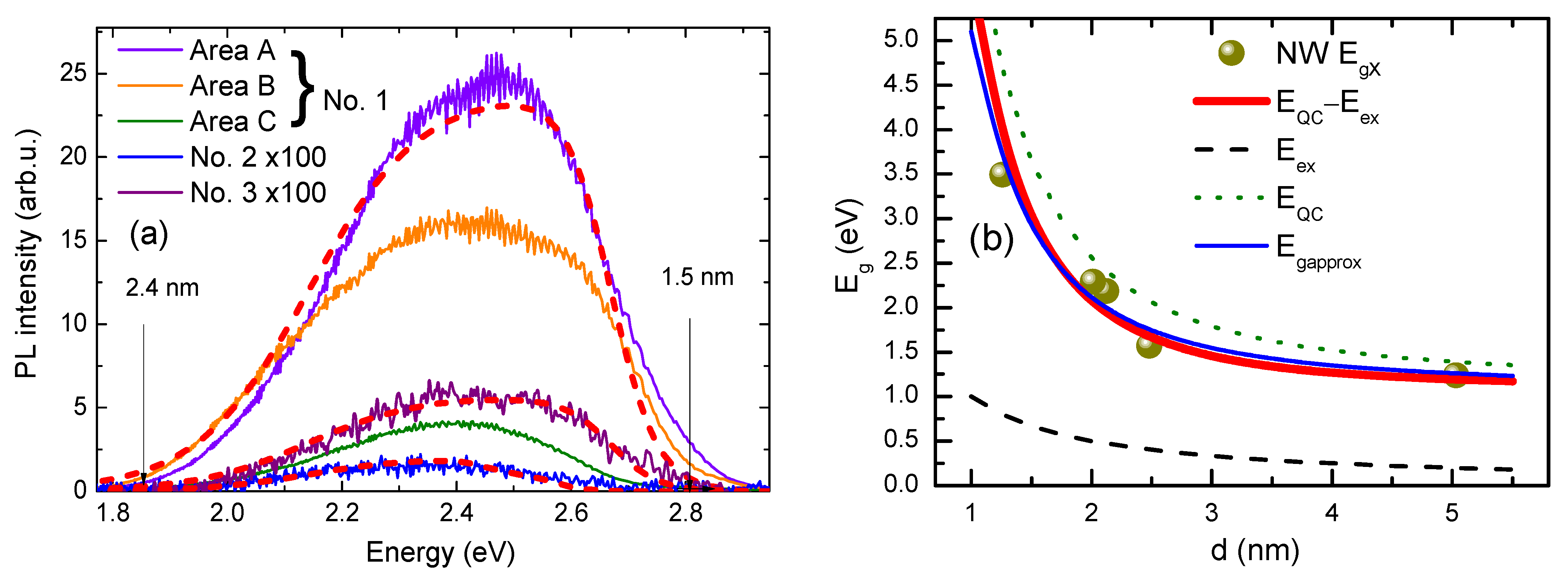
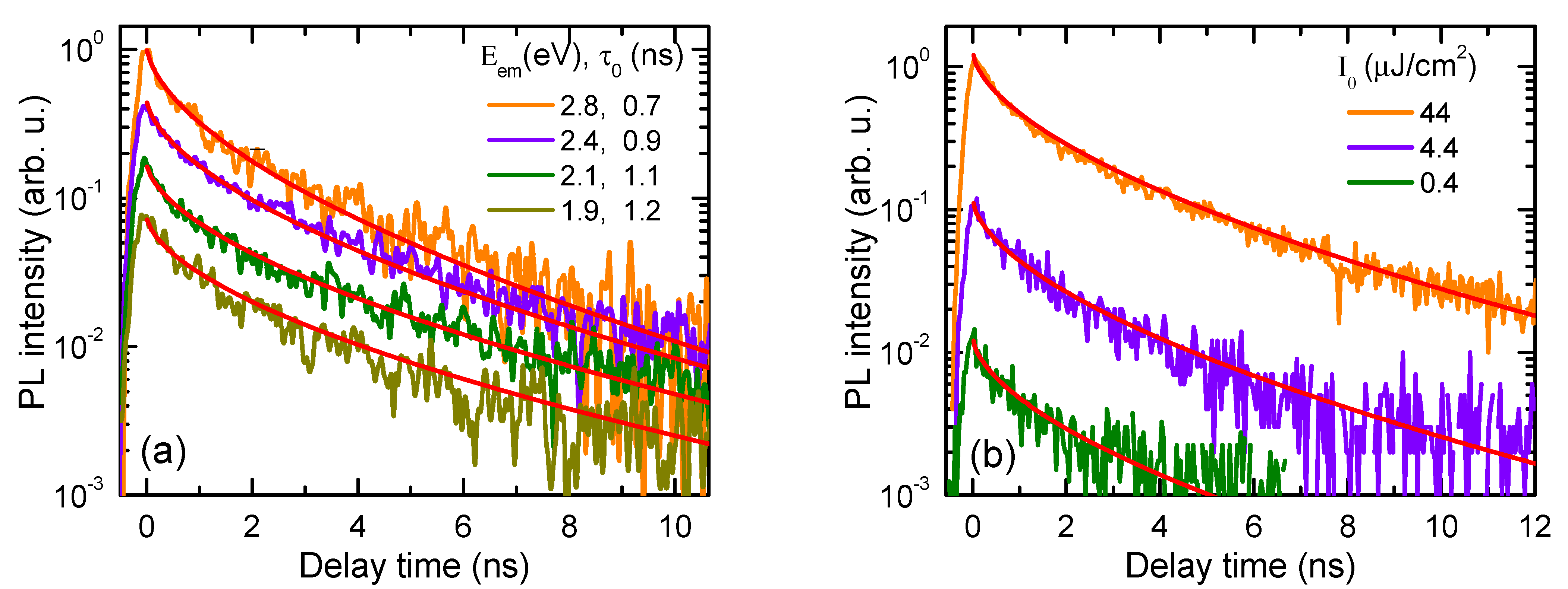
3. Results and Discussion

4. Conclusions
Author Contributions
Funding
Data Availability Statement
Conflicts of Interest
References
- Motz, J.T.; Hunter, M.; Galindo, L.H.; Gardecki, J.A.; Kramer, J.R.; Dasari, R.R.; Feld, M.S. Optical fiber probe for biomedical Raman spectroscopy. Appl. Opt. 2004, 43, 542–554. [Google Scholar] [CrossRef] [PubMed]
- Brus, L.E. Electron–electron and electron-hole interactions in small semiconductor crystallites: The size dependence of the lowest excited electronic state. J. Chem. Phys. 1984, 80, 4403–4444. [Google Scholar] [CrossRef]
- Murray, C.B.; Norris, D.J.; Bawendi, M.G. Synthesis and characterization of nearly monodisperse CdE (E = sulfur, selenium, tellurium) semiconductor nanocrystallites. J. Amer. Chem. Soc. 1993, 115, 8706–8715. [Google Scholar] [CrossRef]
- Ekimov, A.I.; Hache, F.; Schanne-Klein, M.C.; Ricard, D.; Flytzanis, C.; Kudryavtsev, I.A. Absorption and intensity-dependent photoluminescence measurements on CdSe quantum dots: Assignment of the first electronic transitions. J. Opt. Soc. Am. B 1993, 10, 100–107. [Google Scholar] [CrossRef]
- Hu, S.; Shabani, F.; Liu, B.; Zhang, L.; Guo, M.; Lu, G.; Zhou, Z.; Wang, J.; Huang, J.C.; Min, Y.; et al. High-Performance Deep Red Colloidal Quantum Well Light-Emitting Diodes Enabled by the Understanding of Charge Dynamics. ACS Nano 2022, 16, 10840–10851. [Google Scholar] [CrossRef]
- Medvid’, A.; Dmytruk, I.; Onufrijevs, P.; Pundyk, I. Quantum confinement effect in nanohills formed on a surface of Ge by laser radiation. Phys. Status Solidi C 2007, 4, 3066–3069. [Google Scholar] [CrossRef]
- Medvid’, A.; Dmitruk, I.; Onufrijevs, P.; Pundyk, I. Properties of Nanostructure Formed on SiO2/Si Interface by Laser Radiation. Diffus. Defect Data Pt B Solid State Phenom. 2008, 131, 559–562. [Google Scholar] [CrossRef]
- Medvid, A.; Onufrijevs, P. Properties of nanocones formed on a surface of semiconductors by laser radiation: QC effect of electrons, phonons, and excitons. Nanoscale Res. Lett. 2011, 6, 582. [Google Scholar] [CrossRef]
- Medvid, A.; Mychko, A.; Gnatyuk, V.; Levytskyi, S.; Naseka, Y. Mechanism of nano-cone formation on Cd0.9Zn0.1Te crystal by laser radiation. Opt. Mater. 2010, 32, 836–839. [Google Scholar] [CrossRef]
- Medvids, A.; Mychko, A.; Onufrijevs, P.; Dauksta, E. Application of Nd:YAG Laser in Semiconductors Nanotechnology; Dumitras, D., Ed.; INTECH: London, UK, 2012. [Google Scholar] [CrossRef]
- Medvid, A.; Mychko, A.; Strilchyk, O.; Litovchenko, N.; Naseka, Y.; Onufrijevs, P.; Pludonis, A. Exciton quantum confinement effect in nanostructures formed by laser radiation on the surface of CdZnTe ternary compound. Phys. Status Solidi C 2009, 6, 209–212. [Google Scholar] [CrossRef]
- Carra, C.; Medvids, A.; Litvinas, D.; Ščajev, P.; Malinauskas, T.; Selskis, A. Hierarchical Carbon Nano-Silica Metamaterials: Implications for White Light Photoluminescence. ACS Appl. Nano Mater. 2022, 5, 4787–4800. [Google Scholar] [CrossRef]
- Takagahara, T.; Takeda, K. Theory of the quantum confinement effect on excitons in quantum dots of indirect-gap materials. Phys. Rev. B 1992, 46, 15578–15581. [Google Scholar] [CrossRef]
- Efros, A.L.; Efros, A.L. Interband absorption of light in a semiconductor sphere. Phys. Techn. Semicond. 1982, 16, 1209–1215. [Google Scholar]
- Available online: https://www.nanosensors.com/search/products?term=super (accessed on 11 December 2024).
- Li, J.; Wang, L.-W. Comparison between Quantum Confinement Effect of Quantum Wires and Dots. Chem. Mater. 2004, 16, 4012. [Google Scholar] [CrossRef]
- Kupchak, I.M.; Korbutyak, D.V.; Kryuchenko, Y.V.; Sachenko, A.V.; Sokolovskiœ, I.O.; Sreseli, O.M. Exciton Characteristics and Exciton Luminescence of Silicon Quantum Dot Structures. Semiconductors 2006, 40, 94–103. [Google Scholar] [CrossRef]
- Lisachenko, M.G.; Konstantinova, E.A.; Kashkarov, P.K.; Timoshenko, V.Y. Dielectric Effect in Silicon Quantum Wires. Phys. Stat. Sol. A 2000, 182, 297. [Google Scholar] [CrossRef]
- Ma, D.D.D.; Lee, C.S.; Au, F.C.K.; Tong, S.Y.; Lee, S.T. Small-Diameter Silicon Nanowire Surfaces. Science 2003, 299, 1874–1877. [Google Scholar] [CrossRef]
- Khalilov, U.; Pourtois, G.; van Duin, A.C.T.; Neyts, E.C. Self-Limiting Oxidation in Small-Diameter Si Nanowires. Chem. Mater. 2012, 24, 2141–2147. [Google Scholar] [CrossRef]
- Macdonald, D.; Liu, A.; Nguyen, H.T.; Lim, S.Y.; Rougieux, F.E. Physical modelling of luminescence spectra from crystalline silicon. In Proceedings of the 31st European Photovoltaic Solar Energy Conference and Exhibition, Hamburg, Germany, 14–18 September 2015. [Google Scholar] [CrossRef]
- Huang, M.-J.; Weng, C.-C.; Chang, T.-M. An investigation of the phonon properties of silicon nanowires. Int. J. Therm. Sci. 2010, 49, 1095–1102. [Google Scholar] [CrossRef]
- Sachenko, A.V.; Kryuchenko, Y.V.; Sokolovski, I.O.; Sreseli, O.M. Manifestation of Size-Related Quantum Oscillations of the Radiative Exciton Recombination Time in the Photoluminescence of Silicon Nanostructures. Semiconductors 2004, 38, 842–848. [Google Scholar] [CrossRef]
- Canham, L. Introductory lecture: Origins and applications of efficient visible photoluminescence from silicon-based nanostructures. Faraday Discuss. 2020, 222, 10. [Google Scholar] [CrossRef] [PubMed]
- Medvids, A.; Ščajev, P.; Hara, K. Quantum Cone—A Nano-Source of Light with Dispersive Spectrum Distributed along Height and in Time. Nanomaterials 2024, 14, 1580. [Google Scholar] [CrossRef] [PubMed]
- Ščajev, P.; Malinauskas, T.; Seniutinas, G.; Arnold, M.D.; Gentle, A.; Aharonovich, I.; Gervinskas, G.; Michaux, P.; Hartley, J.S.; Mayes, E.L.H.; et al. Light-induced reflectivity transients in black-Si nanoneedles. Sol. Energ. Mater. Sol. Cells 2016, 144, 221–227. [Google Scholar] [CrossRef]
- Bonilla, R.S.; Reichel, C.; Hermle, M.; Wilshaw, P.R. Extremely low surface recombination in 1 Ω cm n-type monocrystalline silicon. Phys. Status Solidi RRL 2017, 11, 1600307. [Google Scholar] [CrossRef]
- Geng, X.; Li, Z.; Hu, Y.; Liu, H.; Sun, Y.; Meng, H.; Wang, Y.; Qu, L.; Lin, Y. One pot green synthesis of ultrabright N-doped fuorescent silicon nanoparticles for cellular imaging by using ethylenediaminetetracetic acid disodium salt as an effective reductant. ACS Appl. Mater. Interfaces 2018, 10, 27979–27986. [Google Scholar] [CrossRef]
- Scajev, P.; Jurkevicius, J.; Mickevicius, J.; Jarasiunas, K.; Kato, H. Features of free carrier and exciton recombination, diffusion, and photoluminescence in undoped and phosphorus-doped diamond layers. Diam. Relat. Mater. 2015, 57, 9–16. [Google Scholar] [CrossRef]
- Available online: https://www.universitywafer.com/silicon-resistivity.html (accessed on 11 December 2024).





Disclaimer/Publisher’s Note: The statements, opinions and data contained in all publications are solely those of the individual author(s) and contributor(s) and not of MDPI and/or the editor(s). MDPI and/or the editor(s) disclaim responsibility for any injury to people or property resulting from any ideas, methods, instructions or products referred to in the content. |
© 2024 by the authors. Licensee MDPI, Basel, Switzerland. This article is an open access article distributed under the terms and conditions of the Creative Commons Attribution (CC BY) license (https://creativecommons.org/licenses/by/4.0/).
Share and Cite
Medvids, A.; Plūdons, A.; Vaitkevičius, A.; Miasojedovas, S.; Ščajev, P. Visualization and Estimation of 0D to 1D Nanostructure Size by Photoluminescence. Nanomaterials 2024, 14, 1988. https://doi.org/10.3390/nano14241988
Medvids A, Plūdons A, Vaitkevičius A, Miasojedovas S, Ščajev P. Visualization and Estimation of 0D to 1D Nanostructure Size by Photoluminescence. Nanomaterials. 2024; 14(24):1988. https://doi.org/10.3390/nano14241988
Chicago/Turabian StyleMedvids, Artūrs, Artūrs Plūdons, Augustas Vaitkevičius, Saulius Miasojedovas, and Patrik Ščajev. 2024. "Visualization and Estimation of 0D to 1D Nanostructure Size by Photoluminescence" Nanomaterials 14, no. 24: 1988. https://doi.org/10.3390/nano14241988
APA StyleMedvids, A., Plūdons, A., Vaitkevičius, A., Miasojedovas, S., & Ščajev, P. (2024). Visualization and Estimation of 0D to 1D Nanostructure Size by Photoluminescence. Nanomaterials, 14(24), 1988. https://doi.org/10.3390/nano14241988

